Abstract

The Peristaltic transport of conducting nanofluids under the effect of slip condition in an asymmetric channel is reported in the present work. The mathematical modelling has been carried out under long wavelength and low Reynolds number approximations. The analytical solutions are obtained for pressure rise, nanoparticle concentration, temperature distribution, velocity profiles and stream function. Influence of various parameters on the flow characteristics has been discussed with the help of graphs. The results showed that the pressure rise increases with increasing magnetic effect and decreases with increasing slip parameter. The effects of thermophoresis parameter and Brownian motion parameter on the nanoparticle concentration and temperature distribution are studied. It is observed that the pressure gradient increases with increasing slip parameter and magnetic effect. The trapping phenomenon for different parameters is presented.

Keywords

Peristaltic transport; Nanofluids; Magnetic effect; Slip parameter; Asymmetric channel

Nomenclature

Failed to parse (MathML with SVG or PNG fallback (recommended for modern browsers and accessibility tools): Invalid response ("Math extension cannot connect to Restbase.") from server "https://mathoid.scipedia.com/localhost/v1/":): {\textstyle a_1\mbox{,}\quad b_1} - amplitudes of the waves

Failed to parse (MathML with SVG or PNG fallback (recommended for modern browsers and accessibility tools): Invalid response ("Math extension cannot connect to Restbase.") from server "https://mathoid.scipedia.com/localhost/v1/":): {\textstyle d_1+d_2} - channel width

Failed to parse (MathML with SVG or PNG fallback (recommended for modern browsers and accessibility tools): Invalid response ("Math extension cannot connect to Restbase.") from server "https://mathoid.scipedia.com/localhost/v1/":): {\textstyle \lambda } - wavelength of the peristaltic wave

c- wave speed

p- pressure

Failed to parse (MathML with SVG or PNG fallback (recommended for modern browsers and accessibility tools): Invalid response ("Math extension cannot connect to Restbase.") from server "https://mathoid.scipedia.com/localhost/v1/":): {\textstyle \phi } - phase difference

Failed to parse (MathML with SVG or PNG fallback (recommended for modern browsers and accessibility tools): Invalid response ("Math extension cannot connect to Restbase.") from server "https://mathoid.scipedia.com/localhost/v1/":): {\textstyle \mu } - viscosity

M- Hartmann number

Failed to parse (MathML with SVG or PNG fallback (recommended for modern browsers and accessibility tools): Invalid response ("Math extension cannot connect to Restbase.") from server "https://mathoid.scipedia.com/localhost/v1/":): {\textstyle B_0} - uniform magnetic field

Failed to parse (MathML with SVG or PNG fallback (recommended for modern browsers and accessibility tools): Invalid response ("Math extension cannot connect to Restbase.") from server "https://mathoid.scipedia.com/localhost/v1/":): {\textstyle \psi } - steam function

Failed to parse (MathML with SVG or PNG fallback (recommended for modern browsers and accessibility tools): Invalid response ("Math extension cannot connect to Restbase.") from server "https://mathoid.scipedia.com/localhost/v1/":): {\textstyle \theta } - temperature distribution

Failed to parse (MathML with SVG or PNG fallback (recommended for modern browsers and accessibility tools): Invalid response ("Math extension cannot connect to Restbase.") from server "https://mathoid.scipedia.com/localhost/v1/":): {\textstyle \beta } - the slip parameter

Failed to parse (MathML with SVG or PNG fallback (recommended for modern browsers and accessibility tools): Invalid response ("Math extension cannot connect to Restbase.") from server "https://mathoid.scipedia.com/localhost/v1/":): {\textstyle \gamma } - thermal slip parameter

Failed to parse (MathML with SVG or PNG fallback (recommended for modern browsers and accessibility tools): Invalid response ("Math extension cannot connect to Restbase.") from server "https://mathoid.scipedia.com/localhost/v1/":): {\textstyle {\gamma }_1} - concentration slip parameter

Failed to parse (MathML with SVG or PNG fallback (recommended for modern browsers and accessibility tools): Invalid response ("Math extension cannot connect to Restbase.") from server "https://mathoid.scipedia.com/localhost/v1/":): {\textstyle N_t} - Brownian motion parameter

Failed to parse (MathML with SVG or PNG fallback (recommended for modern browsers and accessibility tools): Invalid response ("Math extension cannot connect to Restbase.") from server "https://mathoid.scipedia.com/localhost/v1/":): {\textstyle N_b} - thermophoresis parameter

Failed to parse (MathML with SVG or PNG fallback (recommended for modern browsers and accessibility tools): Invalid response ("Math extension cannot connect to Restbase.") from server "https://mathoid.scipedia.com/localhost/v1/":): {\textstyle G_r} - local temperature Grashof number

Failed to parse (MathML with SVG or PNG fallback (recommended for modern browsers and accessibility tools): Invalid response ("Math extension cannot connect to Restbase.") from server "https://mathoid.scipedia.com/localhost/v1/":): {\textstyle B_r} - nanoparticle Grashof number

Failed to parse (MathML with SVG or PNG fallback (recommended for modern browsers and accessibility tools): Invalid response ("Math extension cannot connect to Restbase.") from server "https://mathoid.scipedia.com/localhost/v1/":): {\textstyle \sigma } - nanoparticle concentration

1. Introduction

In recent times, Peristalsis has attracted much attention due to its important in engineering and medical applications such as chyme movement in the intestine, movement of ovum in the fallopian tube, flow from kidney to bladder, capillaries, arterioles and roller pumps. In view of such industrial and physiological applications, the peristalsis mechanism has been studied in nature by various researchers for different fluids under different conditions [1], [2], [3], [4], [5], [6], [7] and [8]. Nanoparticle research is currently an area of intense scientific interest due to a wide variety of potential applications in medical and electronic field. The nanofluids are a new class of fluids designed by dispersing nano-meter sized materials (nanoparticles, nanofibers, nanotubes, nanorods, nanosheet and nanowires) in base fluids. Choi and Eastman [9] was reported that an innovative technique to improve heat transfer is by using nanoscale particles in base fluid. In the other work by Choi et al. [10] it was also shown that the addition of small amount (less than 1% by volume) of nanoparticles to conventional heat transfer liquids increases the thermal conductivity of the fluid approximately two times.

A detailed analysis of nanofluids was discussed by Buongiorno [11] reveals that this massive increase in the thermal conductivity occurs due to the presence of two main effects namely the Brownian diffusion and thermophoretic diffusion of nanoparticles. Mekheimer and Abd elmaboud [12] pointed out that the cancer tissues may be destroyed when the temperature reaches 40–45 °C. The influence of slip conditions, wall properties and heat transfer on MHD peristaltic transport was studied by Srinivas et al. [13]. Peristaltic transport of a Jeffrey fluid under the effect of slip in an inclined asymmetric channel was studied by Srinivas and Muthuraj [14]. Endoscopic effects on peristaltic flow of nanofluids are studied by Akbar and Nadeem [15]. Ramana Kumari and Radhakrishnamacharya [16] have investigated effect of slip on heat transfer to peristaltic transport in the presence of magnetic field with wall effects. Further the study of Peristaltic flow of a nanofluid in non-uniform tube is done by Akbar et al. [17] using Homotopy Perturbation method. Akbar and Nadeem [18] have investigated the peristaltic flow of a Phan-Thien–Tanner nanofluid in a diverging tube. The analytical and numerical solutions for influence of wall properties on the peristaltic flow of a nanofluid were studied by Mustafa et al. [19]. Further Akbar et al. [20] have studied peristaltic flow of a nanofluid with slip effects. A note on the influence of heat and mass transfer on a peristaltic flow of a viscous fluid in a vertical asymmetric channel with wall slip was studied by Srinivas et al. [21].

Akram et al. [22] have studied consequences of nanofluids on peristaltic flow in an asymmetric channel. Numerical study of Williamson nanofluid in an asymmetric channel is investigated by Akbar et al. [23]. Exact analytical solution of the peristaltic nanofluids flow in an asymmetric channel with flexible walls and slip condition: Application to cancer treatment was discussed by Ebaid et al. [24]. Slip effects on the Peristaltic motion of nanofluids in a channel with wall properties were studied by Mustafa et al. [25].

Recently exact analytical solution for the peristaltic flow of nanofluids in an asymmetric channel with slip effect of the velocity, temperature and concentration was studied by Aly et al. [26]. The study on consequence of nanofluids on peristaltic transport of a hyperbolic tangent fluid model in the occurrence of apt (tending) magnetic field was discussed by Akram and Nadeem [27].

Mustafa et al. [28] studied the influence of induced magnetic field on the peristaltic flow of nanofluids. Peristaltic motion of nanofluids in curved channel was analysed by Hina et al. [29]. Sharidan Shafie et al. [30] studied Partial slip effect on heat and mass transfer of MHD peristaltic transport in a porous medium. Hayat et al. [31] studied Peristaltic transport of Carreau-Yasuda fluid in a curved channel with slip effects.

The nanofluids in peristaltic flow problem under the effect of magnetic field and radiation in the tapered asymmetric channel through porus space was described by Kothandapani and Prakash [32]. The peristaltic transport of Carreau nanofluids under the effect of magnetic field in a tapered asymmetric channel was studied by Kothandapani and Prakash [33]. Effect of thermal radiation parameter and magnetic field on the peristaltic motion of Williamson nanofluids in a tapered asymmetric channel was studied by Kothandapani and Prakash [34]. Nirmala et al. [35] studied combined effects of hall current, wall slip, viscous dissipation and soret effect on MHD Jeffrey fluid flow in a vertical channel with Peristalsis.

The Present work was to discuss the peristaltic flow of nanofluids in an asymmetric channel under the effect of both magnetic field and slip parameters. The governing equations are carried out under the assumption of long wavelength and low Reynolds number. The reduced equations are solved exactly.

The result of the present study finds applications in peristaltic pumping through corrogative and non-corrogative pipes. In the case of corrogative pipe flow the slip effect is important, whereas in the other case slip may not exist.

2. The mathematical model

Consider peristaltic transport of an incompressible Newtonian conducting nanofluid in an asymmetric channel with flexible walls. The channel asymmetry is generated by propagation of waves on the channel walls travelling with different amplitudes and phases but with same constant speed c.

In the Cartesian coordinates system Failed to parse (MathML with SVG or PNG fallback (recommended for modern browsers and accessibility tools): Invalid response ("Math extension cannot connect to Restbase.") from server "https://mathoid.scipedia.com/localhost/v1/":): {\textstyle \left(\overline{X}\mbox{,}\overline{Y}\right)}

of the fixed frame, the upper wall Failed to parse (MathML with SVG or PNG fallback (recommended for modern browsers and accessibility tools): Invalid response ("Math extension cannot connect to Restbase.") from server "https://mathoid.scipedia.com/localhost/v1/":): {\textstyle {\overline{h}}_1}
and lower wall Failed to parse (MathML with SVG or PNG fallback (recommended for modern browsers and accessibility tools): Invalid response ("Math extension cannot connect to Restbase.") from server "https://mathoid.scipedia.com/localhost/v1/":): {\textstyle {\overline{h}}_2}
are given by Fig. 1
Failed to parse (MathML with SVG or PNG fallback (recommended for modern browsers and accessibility tools): Invalid response ("Math extension cannot connect to Restbase.") from server "https://mathoid.scipedia.com/localhost/v1/":): \left\{\begin{array}{l} {\overline{h}}_1=d_1+a_1cos\left(\frac{2\pi }{\lambda }\left[\overline{X}-c\overline{t}\right]\right)\mbox{,}\\ {\overline{h}}_2=-d_2-b_1cos\left(\frac{2\pi }{\lambda }\left[\overline{X}-c\overline{t}\right]+\varphi \right) \end{array}\right\}

where Failed to parse (MathML with SVG or PNG fallback (recommended for modern browsers and accessibility tools): Invalid response ("Math extension cannot connect to Restbase.") from server "https://mathoid.scipedia.com/localhost/v1/":): {\textstyle a_1}

and Failed to parse (MathML with SVG or PNG fallback (recommended for modern browsers and accessibility tools): Invalid response ("Math extension cannot connect to Restbase.") from server "https://mathoid.scipedia.com/localhost/v1/":): {\textstyle b_1}
are amplitude of the waves, Failed to parse (MathML with SVG or PNG fallback (recommended for modern browsers and accessibility tools): Invalid response ("Math extension cannot connect to Restbase.") from server "https://mathoid.scipedia.com/localhost/v1/":): {\textstyle \lambda }
is the wavelength, Failed to parse (MathML with SVG or PNG fallback (recommended for modern browsers and accessibility tools): Invalid response ("Math extension cannot connect to Restbase.") from server "https://mathoid.scipedia.com/localhost/v1/":): {\textstyle d_1+d_2}
is the width of the channel, and the phase difference Failed to parse (MathML with SVG or PNG fallback (recommended for modern browsers and accessibility tools): Invalid response ("Math extension cannot connect to Restbase.") from server "https://mathoid.scipedia.com/localhost/v1/":): {\textstyle \phi }
varies in the range Failed to parse (MathML with SVG or PNG fallback (recommended for modern browsers and accessibility tools): Invalid response ("Math extension cannot connect to Restbase.") from server "https://mathoid.scipedia.com/localhost/v1/":): {\textstyle 0\leqslant \phi \leqslant \pi }
where Failed to parse (MathML with SVG or PNG fallback (recommended for modern browsers and accessibility tools): Invalid response ("Math extension cannot connect to Restbase.") from server "https://mathoid.scipedia.com/localhost/v1/":): {\textstyle \phi =0}
and Failed to parse (MathML with SVG or PNG fallback (recommended for modern browsers and accessibility tools): Invalid response ("Math extension cannot connect to Restbase.") from server "https://mathoid.scipedia.com/localhost/v1/":): {\textstyle \phi =\pi }
correspond to symmetric cannel with waves out of the phase and in the phase, respectively. Further, Failed to parse (MathML with SVG or PNG fallback (recommended for modern browsers and accessibility tools): Invalid response ("Math extension cannot connect to Restbase.") from server "https://mathoid.scipedia.com/localhost/v1/":): {\textstyle a_1\mbox{,}\quad b_1\mbox{,}\quad d_1\mbox{,}\quad d_2}
and Failed to parse (MathML with SVG or PNG fallback (recommended for modern browsers and accessibility tools): Invalid response ("Math extension cannot connect to Restbase.") from server "https://mathoid.scipedia.com/localhost/v1/":): {\textstyle \phi }
satisfy the following condition [32].
Failed to parse (MathML with SVG or PNG fallback (recommended for modern browsers and accessibility tools): Invalid response ("Math extension cannot connect to Restbase.") from server "https://mathoid.scipedia.com/localhost/v1/":): a_1^2+b_1^2+2a_1b_1cos\varphi \leqslant {\left(d_1+d_2\right)}^2

With the following non-dimensional phenomena

Failed to parse (MathML with SVG or PNG fallback (recommended for modern browsers and accessibility tools): Invalid response ("Math extension cannot connect to Restbase.") from server "https://mathoid.scipedia.com/localhost/v1/":): a=\frac{a_1}{d_1}\mbox{,}b=\frac{a_2}{d_1}\mbox{,}d=

Failed to parse (MathML with SVG or PNG fallback (recommended for modern browsers and accessibility tools): Invalid response ("Math extension cannot connect to Restbase.") from server "https://mathoid.scipedia.com/localhost/v1/":): \frac{d_2}{d_1}

In the moving frame of reference Failed to parse (MathML with SVG or PNG fallback (recommended for modern browsers and accessibility tools): Invalid response ("Math extension cannot connect to Restbase.") from server "https://mathoid.scipedia.com/localhost/v1/":): {\textstyle \left(\overline{X}\mbox{,}\overline{Y}\right)} , we have

Failed to parse (MathML with SVG or PNG fallback (recommended for modern browsers and accessibility tools): Invalid response ("Math extension cannot connect to Restbase.") from server "https://mathoid.scipedia.com/localhost/v1/":): \overline{x}=\overline{X}-c\overline{t}\mbox{,}\overline{y}=

Failed to parse (MathML with SVG or PNG fallback (recommended for modern browsers and accessibility tools): Invalid response ("Math extension cannot connect to Restbase.") from server "https://mathoid.scipedia.com/localhost/v1/":): \overline{Y}

The non-dimensional quantities are

Failed to parse (MathML with SVG or PNG fallback (recommended for modern browsers and accessibility tools): Invalid response ("Math extension cannot connect to Restbase.") from server "https://mathoid.scipedia.com/localhost/v1/":): x=\frac{2\pi \overline{x}}{\lambda }\mbox{,}\quad y=

Failed to parse (MathML with SVG or PNG fallback (recommended for modern browsers and accessibility tools): Invalid response ("Math extension cannot connect to Restbase.") from server "https://mathoid.scipedia.com/localhost/v1/":): \frac{\overline{Y}}{d_1}\mbox{,}\quad t=\frac{2\pi \overline{t}}{\lambda }\mbox{,}\quad h_1= Failed to parse (MathML with SVG or PNG fallback (recommended for modern browsers and accessibility tools): Invalid response ("Math extension cannot connect to Restbase.") from server "https://mathoid.scipedia.com/localhost/v1/":): \frac{{\overline{h}}_1}{d_1}\mbox{,}\quad h_2=\frac{{\overline{h}}_2}{d_2}\mbox{,}M= Failed to parse (MathML with SVG or PNG fallback (recommended for modern browsers and accessibility tools): Invalid response ("Math extension cannot connect to Restbase.") from server "https://mathoid.scipedia.com/localhost/v1/":): \sqrt{\frac{\sigma }{\mu }}{dB}_0

Under the assumptions of long wavelength and low Reynolds number approximation, Kothandapani and Prakash [32] found that the flow is governed by the following system of partial differential equations in non-dimensional form

Failed to parse (MathML with SVG or PNG fallback (recommended for modern browsers and accessibility tools): Invalid response ("Math extension cannot connect to Restbase.") from server "https://mathoid.scipedia.com/localhost/v1/":): \frac{{\partial }^2}{\partial y^2}\left[\frac{{\partial }^2\psi }{\partial y^2}-\right.

Failed to parse (MathML with SVG or PNG fallback (recommended for modern browsers and accessibility tools): Invalid response ("Math extension cannot connect to Restbase.") from server "https://mathoid.scipedia.com/localhost/v1/":): \left. M^2\psi \right]+G_r\frac{\partial \theta }{\partial y}+ Failed to parse (MathML with SVG or PNG fallback (recommended for modern browsers and accessibility tools): Invalid response ("Math extension cannot connect to Restbase.") from server "https://mathoid.scipedia.com/localhost/v1/":): B_r\frac{\partial \sigma }{\partial y}=0

(1)

Failed to parse (MathML with SVG or PNG fallback (recommended for modern browsers and accessibility tools): Invalid response ("Math extension cannot connect to Restbase.") from server "https://mathoid.scipedia.com/localhost/v1/":): \frac{dp}{dx}=\frac{\partial }{\partial y}\left[\frac{{\partial }^2\psi }{\partial y^2}-\right.

Failed to parse (MathML with SVG or PNG fallback (recommended for modern browsers and accessibility tools): Invalid response ("Math extension cannot connect to Restbase.") from server "https://mathoid.scipedia.com/localhost/v1/":): \left. M^2\psi \right]+G_r\theta +B_r\sigma

(2)

Failed to parse (MathML with SVG or PNG fallback (recommended for modern browsers and accessibility tools): Invalid response ("Math extension cannot connect to Restbase.") from server "https://mathoid.scipedia.com/localhost/v1/":): \frac{{\partial }^2\theta }{\partial y^2}+N_b\frac{\partial \theta }{\partial y}\frac{\partial \sigma }{\partial y}+

Failed to parse (MathML with SVG or PNG fallback (recommended for modern browsers and accessibility tools): Invalid response ("Math extension cannot connect to Restbase.") from server "https://mathoid.scipedia.com/localhost/v1/":): N_t{\left(\frac{\partial \theta }{\partial y}\right)}^2= Failed to parse (MathML with SVG or PNG fallback (recommended for modern browsers and accessibility tools): Invalid response ("Math extension cannot connect to Restbase.") from server "https://mathoid.scipedia.com/localhost/v1/":): 0

(3)

Failed to parse (MathML with SVG or PNG fallback (recommended for modern browsers and accessibility tools): Invalid response ("Math extension cannot connect to Restbase.") from server "https://mathoid.scipedia.com/localhost/v1/":): \frac{{\partial }^2\sigma }{\partial y^2}+\frac{N_t}{N_b}\left(\frac{{\partial }^2\theta }{\partial y^2}\right)=

Failed to parse (MathML with SVG or PNG fallback (recommended for modern browsers and accessibility tools): Invalid response ("Math extension cannot connect to Restbase.") from server "https://mathoid.scipedia.com/localhost/v1/":): 0

(4)

where Failed to parse (MathML with SVG or PNG fallback (recommended for modern browsers and accessibility tools): Invalid response ("Math extension cannot connect to Restbase.") from server "https://mathoid.scipedia.com/localhost/v1/":): {\textstyle \psi \mbox{,}\quad \theta \mbox{,}\quad \sigma }

and P   are the stream function, temperature distribution, nanoparticle concentration and pressure gradient respectively. Further Failed to parse (MathML with SVG or PNG fallback (recommended for modern browsers and accessibility tools): Invalid response ("Math extension cannot connect to Restbase.") from server "https://mathoid.scipedia.com/localhost/v1/":): {\textstyle N_t\mbox{,}\quad N_b\mbox{,}\quad G_r\mbox{,}\quad B_r}
and M are Brownian motion parameter, thermophoresis parameter, local temperature Grashof number, nanoparticle Grashof number and Hartmann number respectively.


Physical model.


Figure 1.

Physical model.

The corresponding boundary conditions are

Failed to parse (MathML with SVG or PNG fallback (recommended for modern browsers and accessibility tools): Invalid response ("Math extension cannot connect to Restbase.") from server "https://mathoid.scipedia.com/localhost/v1/":): \psi =\frac{F}{2}\mbox{,}\frac{\partial \psi }{\partial y}=

Failed to parse (MathML with SVG or PNG fallback (recommended for modern browsers and accessibility tools): Invalid response ("Math extension cannot connect to Restbase.") from server "https://mathoid.scipedia.com/localhost/v1/":): -\beta \frac{{\partial }^2\psi }{\partial y^2}-1\quad \mbox{at}\quad h_1= Failed to parse (MathML with SVG or PNG fallback (recommended for modern browsers and accessibility tools): Invalid response ("Math extension cannot connect to Restbase.") from server "https://mathoid.scipedia.com/localhost/v1/":): 1+acos(x)

(5)

Failed to parse (MathML with SVG or PNG fallback (recommended for modern browsers and accessibility tools): Invalid response ("Math extension cannot connect to Restbase.") from server "https://mathoid.scipedia.com/localhost/v1/":): \psi =-\frac{F}{2}\mbox{,}\frac{\partial \psi }{\partial y}=

Failed to parse (MathML with SVG or PNG fallback (recommended for modern browsers and accessibility tools): Invalid response ("Math extension cannot connect to Restbase.") from server "https://mathoid.scipedia.com/localhost/v1/":): \beta \frac{{\partial }^2\psi }{\partial y^2}-1\quad \mbox{at}\quad h_2= Failed to parse (MathML with SVG or PNG fallback (recommended for modern browsers and accessibility tools): Invalid response ("Math extension cannot connect to Restbase.") from server "https://mathoid.scipedia.com/localhost/v1/":): -d-bcos(x+\varphi )

(6)

Failed to parse (MathML with SVG or PNG fallback (recommended for modern browsers and accessibility tools): Invalid response ("Math extension cannot connect to Restbase.") from server "https://mathoid.scipedia.com/localhost/v1/":): \theta +\gamma \frac{\partial \theta }{\partial y}=

Failed to parse (MathML with SVG or PNG fallback (recommended for modern browsers and accessibility tools): Invalid response ("Math extension cannot connect to Restbase.") from server "https://mathoid.scipedia.com/localhost/v1/":): 0\quad \mbox{at}\quad y=h_1

(7)

Failed to parse (MathML with SVG or PNG fallback (recommended for modern browsers and accessibility tools): Invalid response ("Math extension cannot connect to Restbase.") from server "https://mathoid.scipedia.com/localhost/v1/":): \theta -\gamma \frac{\partial \theta }{\partial y}=

Failed to parse (MathML with SVG or PNG fallback (recommended for modern browsers and accessibility tools): Invalid response ("Math extension cannot connect to Restbase.") from server "https://mathoid.scipedia.com/localhost/v1/":): 1\quad \mbox{at}\quad y=h_2

(8)

Failed to parse (MathML with SVG or PNG fallback (recommended for modern browsers and accessibility tools): Invalid response ("Math extension cannot connect to Restbase.") from server "https://mathoid.scipedia.com/localhost/v1/":): \sigma +{\gamma }_1\frac{\partial \sigma }{\partial y}=

Failed to parse (MathML with SVG or PNG fallback (recommended for modern browsers and accessibility tools): Invalid response ("Math extension cannot connect to Restbase.") from server "https://mathoid.scipedia.com/localhost/v1/":): 0\quad \mbox{at}\quad y=h_1

(9)

Failed to parse (MathML with SVG or PNG fallback (recommended for modern browsers and accessibility tools): Invalid response ("Math extension cannot connect to Restbase.") from server "https://mathoid.scipedia.com/localhost/v1/":): \sigma -{\gamma }_1\frac{\partial \sigma }{\partial y}=

Failed to parse (MathML with SVG or PNG fallback (recommended for modern browsers and accessibility tools): Invalid response ("Math extension cannot connect to Restbase.") from server "https://mathoid.scipedia.com/localhost/v1/":): 1\quad \mbox{at}\quad y=h_2

(10)

where Failed to parse (MathML with SVG or PNG fallback (recommended for modern browsers and accessibility tools): Invalid response ("Math extension cannot connect to Restbase.") from server "https://mathoid.scipedia.com/localhost/v1/":): {\textstyle \beta \mbox{,}\quad \gamma }

and Failed to parse (MathML with SVG or PNG fallback (recommended for modern browsers and accessibility tools): Invalid response ("Math extension cannot connect to Restbase.") from server "https://mathoid.scipedia.com/localhost/v1/":): {\textstyle {\gamma }_1}
represent the slip parameter, thermal slip parameter and concentration slip parameter respectively.

3. The general closed form solution

Now from Eq. (4) we obtain,

Failed to parse (MathML with SVG or PNG fallback (recommended for modern browsers and accessibility tools): Invalid response ("Math extension cannot connect to Restbase.") from server "https://mathoid.scipedia.com/localhost/v1/":): \sigma =-\frac{N_t}{N_b}\theta +c_1(x)y+c_2(x)
(11)

where Failed to parse (MathML with SVG or PNG fallback (recommended for modern browsers and accessibility tools): Invalid response ("Math extension cannot connect to Restbase.") from server "https://mathoid.scipedia.com/localhost/v1/":): {\textstyle c_1(x)}

and Failed to parse (MathML with SVG or PNG fallback (recommended for modern browsers and accessibility tools): Invalid response ("Math extension cannot connect to Restbase.") from server "https://mathoid.scipedia.com/localhost/v1/":): {\textstyle c_2(x)}
are two unknown functions. By substituting Eq. (11) into (3) gives
Failed to parse (MathML with SVG or PNG fallback (recommended for modern browsers and accessibility tools): Invalid response ("Math extension cannot connect to Restbase.") from server "https://mathoid.scipedia.com/localhost/v1/":): \frac{{\partial }^2\theta }{\partial y^2}+N_bc_1(x)\frac{\partial \theta }{\partial y}=

Failed to parse (MathML with SVG or PNG fallback (recommended for modern browsers and accessibility tools): Invalid response ("Math extension cannot connect to Restbase.") from server "https://mathoid.scipedia.com/localhost/v1/":): 0

(12)

The above equation can be solved exactly to get the temperature distribution as

Failed to parse (MathML with SVG or PNG fallback (recommended for modern browsers and accessibility tools): Invalid response ("Math extension cannot connect to Restbase.") from server "https://mathoid.scipedia.com/localhost/v1/":): \theta (x\mbox{,}y)=c_4(x)e^{-N_bf_1(x)y}+\frac{1}{N_b}\frac{c_3(x)}{c_1(x)}
(13)

The nanoparticle concentration is given by

Failed to parse (MathML with SVG or PNG fallback (recommended for modern browsers and accessibility tools): Invalid response ("Math extension cannot connect to Restbase.") from server "https://mathoid.scipedia.com/localhost/v1/":): \sigma (x\mbox{,}y)=-\frac{N_t}{N_b}c_4(x)e^{-N_bc_1(x)y}+

Failed to parse (MathML with SVG or PNG fallback (recommended for modern browsers and accessibility tools): Invalid response ("Math extension cannot connect to Restbase.") from server "https://mathoid.scipedia.com/localhost/v1/":): c_1(x)y+c_2(x)-\frac{N_t}{N_b^2}\frac{c_3(x)}{c_1(x)}

(14)

where Failed to parse (MathML with SVG or PNG fallback (recommended for modern browsers and accessibility tools): Invalid response ("Math extension cannot connect to Restbase.") from server "https://mathoid.scipedia.com/localhost/v1/":): {\textstyle c_3(x)}

and Failed to parse (MathML with SVG or PNG fallback (recommended for modern browsers and accessibility tools): Invalid response ("Math extension cannot connect to Restbase.") from server "https://mathoid.scipedia.com/localhost/v1/":): {\textstyle c_4(x)}
are two unknown functions. By substituting boundary conditions (7) and (8) in Eq. (13) gives

Failed to parse (MathML with SVG or PNG fallback (recommended for modern browsers and accessibility tools): Invalid response ("Math extension cannot connect to Restbase.") from server "https://mathoid.scipedia.com/localhost/v1/":): c_4(x)e^{-N_bc_1(x)h_1}\left[1-\gamma N_bc_1\right]=

Failed to parse (MathML with SVG or PNG fallback (recommended for modern browsers and accessibility tools): Invalid response ("Math extension cannot connect to Restbase.") from server "https://mathoid.scipedia.com/localhost/v1/":): -\frac{1}{N_b}\frac{c_3(x)}{c_1(x)}

(15)

Failed to parse (MathML with SVG or PNG fallback (recommended for modern browsers and accessibility tools): Invalid response ("Math extension cannot connect to Restbase.") from server "https://mathoid.scipedia.com/localhost/v1/":): c_4(x)e^{-N_bc_1(x)h_2}\left[1+\gamma N_bc_1\right]=

Failed to parse (MathML with SVG or PNG fallback (recommended for modern browsers and accessibility tools): Invalid response ("Math extension cannot connect to Restbase.") from server "https://mathoid.scipedia.com/localhost/v1/":): 1-\frac{1}{N_b}\frac{c_3(x)}{c_1(x)}

(16)

By solving Eqs. (15) and (16) for Failed to parse (MathML with SVG or PNG fallback (recommended for modern browsers and accessibility tools): Invalid response ("Math extension cannot connect to Restbase.") from server "https://mathoid.scipedia.com/localhost/v1/":): {\textstyle c_3(x)}

and Failed to parse (MathML with SVG or PNG fallback (recommended for modern browsers and accessibility tools): Invalid response ("Math extension cannot connect to Restbase.") from server "https://mathoid.scipedia.com/localhost/v1/":): {\textstyle c_4(x)}
we have
Failed to parse (MathML with SVG or PNG fallback (recommended for modern browsers and accessibility tools): Invalid response ("Math extension cannot connect to Restbase.") from server "https://mathoid.scipedia.com/localhost/v1/":): c_4=\frac{1}{(1+\gamma N_bc_1)r_2^{c_1}-(1-\gamma N_bc_1)r_1^{c_1}}
(17)

and

Failed to parse (MathML with SVG or PNG fallback (recommended for modern browsers and accessibility tools): Invalid response ("Math extension cannot connect to Restbase.") from server "https://mathoid.scipedia.com/localhost/v1/":): c_3=\frac{-N_bc_1(1-\gamma N_bc_1)r_1^{c_1}}{(1+\gamma N_bc_1)r_2^{c_1}-(1-\gamma N_bc_1)r_1^{c_1}}
(18)
Failed to parse (MathML with SVG or PNG fallback (recommended for modern browsers and accessibility tools): Invalid response ("Math extension cannot connect to Restbase.") from server "https://mathoid.scipedia.com/localhost/v1/":): \mbox{Where}\quad r_1=e^{-N_bh_1}\quad \mbox{and}\quad r_2=

Failed to parse (MathML with SVG or PNG fallback (recommended for modern browsers and accessibility tools): Invalid response ("Math extension cannot connect to Restbase.") from server "https://mathoid.scipedia.com/localhost/v1/":): e^{-N_bh_2}

(19)

Applying boundary conditions (9) and (10) in Eq. (14) gives

Failed to parse (MathML with SVG or PNG fallback (recommended for modern browsers and accessibility tools): Invalid response ("Math extension cannot connect to Restbase.") from server "https://mathoid.scipedia.com/localhost/v1/":): \left({\gamma }_1c_1-\frac{1}{N_b}\right)N_tc_4r_1^{c_1}+

Failed to parse (MathML with SVG or PNG fallback (recommended for modern browsers and accessibility tools): Invalid response ("Math extension cannot connect to Restbase.") from server "https://mathoid.scipedia.com/localhost/v1/":): ({\gamma }_1+h_1)c_1+\left(c_2-\frac{N_t}{N_b^2}\frac{c_3}{c_1}\right)= Failed to parse (MathML with SVG or PNG fallback (recommended for modern browsers and accessibility tools): Invalid response ("Math extension cannot connect to Restbase.") from server "https://mathoid.scipedia.com/localhost/v1/":): 0

(20)
Failed to parse (MathML with SVG or PNG fallback (recommended for modern browsers and accessibility tools): Invalid response ("Math extension cannot connect to Restbase.") from server "https://mathoid.scipedia.com/localhost/v1/":): \left({\gamma }_1c_1+\frac{1}{N_b}\right)N_tc_4r_2^{c_1}+

Failed to parse (MathML with SVG or PNG fallback (recommended for modern browsers and accessibility tools): Invalid response ("Math extension cannot connect to Restbase.") from server "https://mathoid.scipedia.com/localhost/v1/":): ({\gamma }_1-h_2)c_1-\left(c_2-\frac{N_t}{N_b^2}\frac{c_3}{c_1}\right)= Failed to parse (MathML with SVG or PNG fallback (recommended for modern browsers and accessibility tools): Invalid response ("Math extension cannot connect to Restbase.") from server "https://mathoid.scipedia.com/localhost/v1/":): -1

(21)

Therefore Failed to parse (MathML with SVG or PNG fallback (recommended for modern browsers and accessibility tools): Invalid response ("Math extension cannot connect to Restbase.") from server "https://mathoid.scipedia.com/localhost/v1/":): {\textstyle c_2(x)}

is given from Eq. (20) is

Failed to parse (MathML with SVG or PNG fallback (recommended for modern browsers and accessibility tools): Invalid response ("Math extension cannot connect to Restbase.") from server "https://mathoid.scipedia.com/localhost/v1/":): c_2=\frac{N_t}{N_b^2}\frac{c_3}{c_1}-\left({\gamma }_1c_1-\right.

Failed to parse (MathML with SVG or PNG fallback (recommended for modern browsers and accessibility tools): Invalid response ("Math extension cannot connect to Restbase.") from server "https://mathoid.scipedia.com/localhost/v1/":): \left. \frac{1}{N_b}\right)N_tc_4r_1^{c_1}-({\gamma }_1+ Failed to parse (MathML with SVG or PNG fallback (recommended for modern browsers and accessibility tools): Invalid response ("Math extension cannot connect to Restbase.") from server "https://mathoid.scipedia.com/localhost/v1/":): h_1)c_1

(22)

By eliminating Failed to parse (MathML with SVG or PNG fallback (recommended for modern browsers and accessibility tools): Invalid response ("Math extension cannot connect to Restbase.") from server "https://mathoid.scipedia.com/localhost/v1/":): {\textstyle c_2(x)}

from Eqs. (22) and (23) to obtain we get,

Failed to parse (MathML with SVG or PNG fallback (recommended for modern browsers and accessibility tools): Invalid response ("Math extension cannot connect to Restbase.") from server "https://mathoid.scipedia.com/localhost/v1/":): N_tc_4\left[\left({\gamma }_1c_1-\frac{1}{N_b}\right)r_1^{c_1}+\right.

Failed to parse (MathML with SVG or PNG fallback (recommended for modern browsers and accessibility tools): Invalid response ("Math extension cannot connect to Restbase.") from server "https://mathoid.scipedia.com/localhost/v1/":): \left. \left({\gamma }_1c_1+\frac{1}{N_b}\right)r_2^{c_1}\right]+ Failed to parse (MathML with SVG or PNG fallback (recommended for modern browsers and accessibility tools): Invalid response ("Math extension cannot connect to Restbase.") from server "https://mathoid.scipedia.com/localhost/v1/":): (2{\gamma }_1+h_1-h_2)c_1=-1

(23)

This can be written as

Failed to parse (MathML with SVG or PNG fallback (recommended for modern browsers and accessibility tools): Invalid response ("Math extension cannot connect to Restbase.") from server "https://mathoid.scipedia.com/localhost/v1/":): \frac{N_t}{N_b}\left[\frac{({\gamma }_1N_bc_1-1)r_1^{c_1}+({\gamma }_1N_bc_1+1)r_2^{c_1}}{(\gamma N_bc_1-1)r_1^{c_1}+(\gamma N_bc_1+1)r_2^{c_1}}\right]+

Failed to parse (MathML with SVG or PNG fallback (recommended for modern browsers and accessibility tools): Invalid response ("Math extension cannot connect to Restbase.") from server "https://mathoid.scipedia.com/localhost/v1/":): (2{\gamma }_1+h_1-h_2)c_1=-1

(24)

which leads to an implicit algebraic equation in Failed to parse (MathML with SVG or PNG fallback (recommended for modern browsers and accessibility tools): Invalid response ("Math extension cannot connect to Restbase.") from server "https://mathoid.scipedia.com/localhost/v1/":): {\textstyle c_1(x)}

and exact solution is difficult to obtain; however, such exact solution is possible when Failed to parse (MathML with SVG or PNG fallback (recommended for modern browsers and accessibility tools): Invalid response ("Math extension cannot connect to Restbase.") from server "https://mathoid.scipedia.com/localhost/v1/":): {\textstyle \gamma ={\gamma }_1}

.

Substituting Failed to parse (MathML with SVG or PNG fallback (recommended for modern browsers and accessibility tools): Invalid response ("Math extension cannot connect to Restbase.") from server "https://mathoid.scipedia.com/localhost/v1/":): {\textstyle \gamma ={\gamma }_1}

in Eq. (24), we obtain the exact value of Failed to parse (MathML with SVG or PNG fallback (recommended for modern browsers and accessibility tools): Invalid response ("Math extension cannot connect to Restbase.") from server "https://mathoid.scipedia.com/localhost/v1/":): {\textstyle c_1(x)}


Failed to parse (MathML with SVG or PNG fallback (recommended for modern browsers and accessibility tools): Invalid response ("Math extension cannot connect to Restbase.") from server "https://mathoid.scipedia.com/localhost/v1/":): c_1(x)=\frac{1+\frac{N_t}{N_b}}{h_2-h_1-2{\gamma }_1}
(24a)

Therefore,

Failed to parse (MathML with SVG or PNG fallback (recommended for modern browsers and accessibility tools): Invalid response ("Math extension cannot connect to Restbase.") from server "https://mathoid.scipedia.com/localhost/v1/":): \left\{\begin{array}{l} c_2=\frac{N_t}{N_b^2}\frac{c_3}{c_1}-\left({\gamma }_1c_1-\frac{1}{N_b}\right)N_tc_4r_1^{c_1}-({\gamma }_1+h_1)c_1\\ c_3=\frac{-N_bc_1(1-\gamma N_bc_1)r_1^{c_1}}{(1+\gamma N_bc_1)r_2^{c_1}-(1-\gamma N_bc_1)r_1^{c_1}}\\ c_4=\frac{1}{(1+\gamma N_bc_1)r_2^{c_1}-(1-\gamma N_bc_1)r_1^{c_1}} \end{array}\right\}
(24b)

To obtain the stream function Failed to parse (MathML with SVG or PNG fallback (recommended for modern browsers and accessibility tools): Invalid response ("Math extension cannot connect to Restbase.") from server "https://mathoid.scipedia.com/localhost/v1/":): {\textstyle \psi (x\mbox{,}y)} ,

Consider Eq. (1)

Failed to parse (MathML with SVG or PNG fallback (recommended for modern browsers and accessibility tools): Invalid response ("Math extension cannot connect to Restbase.") from server "https://mathoid.scipedia.com/localhost/v1/":): \frac{\partial }{\partial y}\left[\frac{{\partial }^2\psi }{\partial y^2}-\right.

Failed to parse (MathML with SVG or PNG fallback (recommended for modern browsers and accessibility tools): Invalid response ("Math extension cannot connect to Restbase.") from server "https://mathoid.scipedia.com/localhost/v1/":): \left. M^2\psi \right]=-G_r\theta -B_r\sigma +c_5

(25)
Failed to parse (MathML with SVG or PNG fallback (recommended for modern browsers and accessibility tools): Invalid response ("Math extension cannot connect to Restbase.") from server "https://mathoid.scipedia.com/localhost/v1/":): ={\Omega }_1(x)+{\Omega }_2(x)e^{-N_bc_1y}-B_rc_1y+

Failed to parse (MathML with SVG or PNG fallback (recommended for modern browsers and accessibility tools): Invalid response ("Math extension cannot connect to Restbase.") from server "https://mathoid.scipedia.com/localhost/v1/":): c_5

(26)

Where

Failed to parse (MathML with SVG or PNG fallback (recommended for modern browsers and accessibility tools): Invalid response ("Math extension cannot connect to Restbase.") from server "https://mathoid.scipedia.com/localhost/v1/":): \left\{\begin{array}{l} {\Omega }_1(x)=\left(\frac{B_rN_t}{N_b}-G_r\right)\frac{1}{N_b}\frac{c_3}{c_1}-B_rc_2\\ {\Omega }_2(x)=\left(\frac{B_rN_t}{N_b}-G_r\right)c_4 \end{array}\right\}
(27)

Now the stream function is given by

Failed to parse (MathML with SVG or PNG fallback (recommended for modern browsers and accessibility tools): Invalid response ("Math extension cannot connect to Restbase.") from server "https://mathoid.scipedia.com/localhost/v1/":): \psi (x\mbox{,}y)=c_8e^{My}+c_7e^{-My}-\frac{1}{M^2}c_6-

Failed to parse (MathML with SVG or PNG fallback (recommended for modern browsers and accessibility tools): Invalid response ("Math extension cannot connect to Restbase.") from server "https://mathoid.scipedia.com/localhost/v1/":): \frac{1}{M^2}c_5y+g(y)

(28)

Where

Failed to parse (MathML with SVG or PNG fallback (recommended for modern browsers and accessibility tools): Invalid response ("Math extension cannot connect to Restbase.") from server "https://mathoid.scipedia.com/localhost/v1/":): g(y)=-\frac{1}{M^2}{\Omega }_1y-\frac{1}{N_bc_1\left(N_b^2c_1^2-M^2\right)}{\Omega }_2e^{-N_bc_1y}+

Failed to parse (MathML with SVG or PNG fallback (recommended for modern browsers and accessibility tools): Invalid response ("Math extension cannot connect to Restbase.") from server "https://mathoid.scipedia.com/localhost/v1/":): \frac{B_rc_1}{2M^2}\left(y^2+\frac{2}{M^2}\right)

(29)

Applying the boundary conditions (5) and (6) in Eqs. (28) and (29),

We obtain the following system of equations

Failed to parse (MathML with SVG or PNG fallback (recommended for modern browsers and accessibility tools): Invalid response ("Math extension cannot connect to Restbase.") from server "https://mathoid.scipedia.com/localhost/v1/":): \begin{array}{rl} & c_8e^{{Mh}_1}+c_7e^{-{Mh}_1}-c_6\frac{1}{M^2}-c_5\frac{h_1}{M^2}=R_1(x)\\ & c_8e^{{Mh}_2}+c_7e^{-{Mh}_2}-c_6\frac{1}{M^2}-c_5\frac{h_2}{M^2}=R_2(x)\\ & c_8e^{{Mh}_1}(M+M^2\beta )+c_7e^{-{Mh}_1}(-M+M^2\beta )-c_5\frac{1}{M^2}=S_1(x)\\ & c_8e^{{Mh}_2}(M-M^2\beta )+c_7e^{-{Mh}_2}(-M-M^2\beta )-c_5\frac{1}{M^2}=S_2(x) \end{array}
(30)

Where

Failed to parse (MathML with SVG or PNG fallback (recommended for modern browsers and accessibility tools): Invalid response ("Math extension cannot connect to Restbase.") from server "https://mathoid.scipedia.com/localhost/v1/":): \begin{array}{rl} & R_1(x)=\frac{F}{2}-g(h_1)\\ & R_2(x)=-\frac{F}{2}-g(h_2)\\ & S_1(x)=-1-g^{{'}}(h_1)-\beta g^{{''}}(h_1)\\ & S_2(x)=-1-g^{{'}}(h_2)+\beta g^{{''}}(h_2) \end{array}
(31)

The pressure gradient from Eqs. (2) and (25) is given by,

Failed to parse (MathML with SVG or PNG fallback (recommended for modern browsers and accessibility tools): Invalid response ("Math extension cannot connect to Restbase.") from server "https://mathoid.scipedia.com/localhost/v1/":): \frac{dp}{dx}=c_5(x)
(32)

By solving linear system of Eq. (30) for constants,

Failed to parse (MathML with SVG or PNG fallback (recommended for modern browsers and accessibility tools): Invalid response ("Math extension cannot connect to Restbase.") from server "https://mathoid.scipedia.com/localhost/v1/":): \begin{array}{rl} & c_5=\frac{\left\{\begin{array}{l} \left[\left(a_{11}\right)\left(M^2-M^4{\beta }^2\right)\right]+\left[s_1\left(a_{12}\right){\left(M-M^2\beta \right)}^2\right]\\ -\left[\left(R_1-R_2\right)\left(a_{13}\right){\left(M+M^2\beta \right)}^3\right]+\left[\left(R_1-R_2\right)e^{{Mh}_2}\left(M+M^2\beta \right)(M-M^2\beta \right]+\left[s_1(a_{14}){\left(M+M^2\beta \right)}^2\right] \end{array}\right\}}{\frac{1}{M^2}\left\{\begin{array}{l} \left[2a_{15}{\left(M+M^2\beta \right)}^2\right]+\left[a_{16}\left(M^2-M^4{\beta }^2\right)\right]\\ +\left[a_{17}{\left(M-M^2\beta \right)}^2\right]+\left[a_{18}\left(M+M^2\beta \right){\left(M-M^2\beta \right)}^2\right]+\left[a_{19}{\left(M+M^2\beta \right)}^3\right] \end{array}\right\}}c_5=\frac{a_{34}}{a_{35}}\\ & c_7=\frac{\left\{\frac{1}{M^2}\left[a_{20}-a_{21}\right]\left[\left(a_{22}\right)\left(a_{23}\right)-\left(a_{24}\right)\left(a_{25}\right)\right]-\left[\left(a_{26}\right)\left(a_{23}\right)-\left(a_{27}(M+M^2\beta )-s_1a_{14}\right)a_{28}\right]\left[a_{29}\right]\right\}}{\left\{\left[a_{30}-a_{31}\right]\frac{1}{M^2}\left[\left(a_{22}\right)\left(a_{23}\right)-a_{32}\left(a_{33}\right)\right]\right\}}c_7=\frac{a_{36}}{a_{37}}\\ & c_8=\frac{a_{35}\left\{\left[(R_1-R_2)a_{37}-(e^{-{Mh}_1}-e^{-{Mh}_2})a_{36}\right]-\left[\left(\frac{h_2-h_1}{M^2}\right)\left(a_{34}\right)\left(a_{37}\right)\right]\right\}}{\left(a_{14}\right)\left(a_{35}\right)\left(a_{37}\right)}\\ & C_8=\frac{a_{38}}{a_{39}}\\ & C_6=\frac{\left\{\left[\left(a_{35}\right)\left(a_{37}\right)\right]\left[e^{{Mh}_1}\left(a_{35}\right)-\left(a_{34}\right)\right]\right\}+\left\{\left[\left(a_{35}\right)\left(a_{39}\right)\right]\left[a_{36}-R_1M^2\left(a_{37}\right)\right]\right\}}{\left(a_{35}\right)\left(a_{37}\right)\left(a_{39}\right)} \end{array}

The Pressure rise Failed to parse (MathML with SVG or PNG fallback (recommended for modern browsers and accessibility tools): Invalid response ("Math extension cannot connect to Restbase.") from server "https://mathoid.scipedia.com/localhost/v1/":): {\textstyle \Delta p}

in terms of the flow rate Q is given as

Failed to parse (MathML with SVG or PNG fallback (recommended for modern browsers and accessibility tools): Invalid response ("Math extension cannot connect to Restbase.") from server "https://mathoid.scipedia.com/localhost/v1/":): \Delta p={\int }_0^1\left(\frac{dp}{dx}\right)dx={\int }_0^1\left[c_5\left(x\right)\right]dx=

Failed to parse (MathML with SVG or PNG fallback (recommended for modern browsers and accessibility tools): Invalid response ("Math extension cannot connect to Restbase.") from server "https://mathoid.scipedia.com/localhost/v1/":): {\int }_0^1\left[\frac{\left\{\begin{array}{l} \left[\left(a_{11}\right)\left(M^2-M^4{\beta }^2\right)\right]+\left[s_1\left(a_{12}\right){\left(M-M^2\beta \right)}^2\right]\\ -\left[\left(R_1-R_2\right)\left(a_{13}\right){\left(M+M^2\beta \right)}^3\right]+\left[\left(R_1-R_2\right)e^{{Mh}_2}\left(M+M^2\beta \right)(M-M^2\beta \right]+\left[s_1(a_{14}){\left(M+M^2\beta \right)}^2\right] \end{array}\right\}}{\frac{1}{M^2}\left\{\begin{array}{l} \left[2a_{15}{\left(M+M^2\beta \right)}^2\right]+\left[a_{16}\left(M^2-M^4{\beta }^2\right)\right]\\ +\left[a_{17}{\left(M-M^2\beta \right)}^2\right]+\left[a_{18}\left(M+M^2\beta \right){\left(M-M^2\beta \right)}^2\right]+\left[a_{19}{\left(M+M^2\beta \right)}^3\right] \end{array}\right\}}\right]dx={\int }_0^1\left[\frac{\left\{\begin{array}{l} \left[\left(a_{11}\right)\left(M^2-M^4{\beta }^2\right)\right]+\left[s_1\left(a_{12}\right){\left(M-M^2\beta \right)}^2\right]\\ -\left[\left(g(h_2)-g(h_1)\right)\left(a_{13}\right){\left(M+M^2\beta \right)}^3\right]+\left[\left(g(h_2)-g(h_1)\right)e^{{Mh}_2}\left(M+M^2\beta \right)(M-M^2\beta \right]+\\ \left[s_1(a_{14}){\left(M+M^2\beta \right)}^2\right] \end{array}\right\}}{\frac{1}{M^2}\left\{\begin{array}{l} \left[2a_{15}{\left(M+M^2\beta \right)}^2\right]+\left[a_{16}\left(M^2-M^4{\beta }^2\right)\right]\\ +\left[a_{17}{\left(M-M^2\beta \right)}^2\right]+\left[a_{18}\left(M+M^2\beta \right){\left(M-M^2\beta \right)}^2\right]+\left[a_{19}{\left(M+M^2\beta \right)}^3\right] \end{array}\right\}}\right]dx+{\int }_0^1\left[\frac{\left(Q-1-d\right)\left[e^{{Mh}_2}\left(M+M^2\beta \right){\left(M-M^2\beta \right)}^2-\left(a_{13}\right){\left(M+M^2\beta \right)}^3\right]}{\frac{1}{M^2}\left\{\begin{array}{l} \left[2a_{15}{\left(M+M^2\beta \right)}^2\right]+\left[a_{16}\left(M^2-M^4{\beta }^2\right)\right]\\ +\left[a_{17}{\left(M-M^2\beta \right)}^2\right]+\left[a_{18}\left(M+M^2\beta \right){\left(M-M^2\beta \right)}^2\right]+\left[a_{19}{\left(M+M^2\beta \right)}^3\right] \end{array}\right\}}\right]dx

(33)

where Failed to parse (MathML with SVG or PNG fallback (recommended for modern browsers and accessibility tools): Invalid response ("Math extension cannot connect to Restbase.") from server "https://mathoid.scipedia.com/localhost/v1/":): {\textstyle F=Q-1-d} .

4. Results and discussion

4.1. Pressure rise

The exact expression for the pressure rise is given by Eq. (33). It is observed that from Eq. (33) the pressure rise is always a decreasing function in terms of flow rate. The variation of pressure rise with flow rate for different values of slip parameter is presented in Fig. 2(a) and it is noticed that the pressure decreases with increasing slip parameter in the pumping region Failed to parse (MathML with SVG or PNG fallback (recommended for modern browsers and accessibility tools): Invalid response ("Math extension cannot connect to Restbase.") from server "https://mathoid.scipedia.com/localhost/v1/":): {\textstyle -1<Q<-3}

and converse behaviour occurs for the co pumping region Failed to parse (MathML with SVG or PNG fallback (recommended for modern browsers and accessibility tools): Invalid response ("Math extension cannot connect to Restbase.") from server "https://mathoid.scipedia.com/localhost/v1/":): {\textstyle Q>-1}

. The effect of increase in Hartmann number M on pressure rise is shown in Fig. 2(b). It is noticed that the pressure rise decreases with increasing Hartmann number M. From Fig. 2(c) it is observed that Failed to parse (MathML with SVG or PNG fallback (recommended for modern browsers and accessibility tools): Invalid response ("Math extension cannot connect to Restbase.") from server "https://mathoid.scipedia.com/localhost/v1/":): {\textstyle \Delta p}

decreases with increase in the values of thermophoresis parameter Failed to parse (MathML with SVG or PNG fallback (recommended for modern browsers and accessibility tools): Invalid response ("Math extension cannot connect to Restbase.") from server "https://mathoid.scipedia.com/localhost/v1/":): {\textstyle N_t}

. Fig. 2(d) reveals that the pressure rise increases with increase in Failed to parse (MathML with SVG or PNG fallback (recommended for modern browsers and accessibility tools): Invalid response ("Math extension cannot connect to Restbase.") from server "https://mathoid.scipedia.com/localhost/v1/":): {\textstyle N_b} . Fig. 2(e) and (f) shows the increase in pressure rise when increase in local nanoparticle Grashof number Failed to parse (MathML with SVG or PNG fallback (recommended for modern browsers and accessibility tools): Invalid response ("Math extension cannot connect to Restbase.") from server "https://mathoid.scipedia.com/localhost/v1/":): {\textstyle B_r}

and local temperature Grashof number Failed to parse (MathML with SVG or PNG fallback (recommended for modern browsers and accessibility tools): Invalid response ("Math extension cannot connect to Restbase.") from server "https://mathoid.scipedia.com/localhost/v1/":): {\textstyle G_r}

. These behaviours are similar to Kothandapani and Prakash [32].


Variation of pressure rise versus flow rate.


Figure 2.

Variation of pressure rise versus flow rate.

4.2. Temperature distribution

4.2.1. Temperature distribution (With slip parameters)

Variation of temperature profile Failed to parse (MathML with SVG or PNG fallback (recommended for modern browsers and accessibility tools): Invalid response ("Math extension cannot connect to Restbase.") from server "https://mathoid.scipedia.com/localhost/v1/":): {\textstyle \theta }

for different values of thermophoresis parameter Failed to parse (MathML with SVG or PNG fallback (recommended for modern browsers and accessibility tools): Invalid response ("Math extension cannot connect to Restbase.") from server "https://mathoid.scipedia.com/localhost/v1/":): {\textstyle N_t}
and Brownian motion parameter Failed to parse (MathML with SVG or PNG fallback (recommended for modern browsers and accessibility tools): Invalid response ("Math extension cannot connect to Restbase.") from server "https://mathoid.scipedia.com/localhost/v1/":): {\textstyle N_b}
is plotted. It is observed that from Figure 3 and Figure 4 the temperature profile increases when thermophoresis parameter Failed to parse (MathML with SVG or PNG fallback (recommended for modern browsers and accessibility tools): Invalid response ("Math extension cannot connect to Restbase.") from server "https://mathoid.scipedia.com/localhost/v1/":): {\textstyle N_t}
and Brownian motion parameter Failed to parse (MathML with SVG or PNG fallback (recommended for modern browsers and accessibility tools): Invalid response ("Math extension cannot connect to Restbase.") from server "https://mathoid.scipedia.com/localhost/v1/":): {\textstyle N_b}
increase.


Variation of temperature profile θ for different values of Nt.


Figure 3.

Variation of temperature profile Failed to parse (MathML with SVG or PNG fallback (recommended for modern browsers and accessibility tools): Invalid response ("Math extension cannot connect to Restbase.") from server "https://mathoid.scipedia.com/localhost/v1/":): {\textstyle \theta }

for different values of Failed to parse (MathML with SVG or PNG fallback (recommended for modern browsers and accessibility tools): Invalid response ("Math extension cannot connect to Restbase.") from server "https://mathoid.scipedia.com/localhost/v1/":): {\textstyle N_t}

.


Variation of temperature profile θ for different values of Nb.


Figure 4.

Variation of temperature profile Failed to parse (MathML with SVG or PNG fallback (recommended for modern browsers and accessibility tools): Invalid response ("Math extension cannot connect to Restbase.") from server "https://mathoid.scipedia.com/localhost/v1/":): {\textstyle \theta }

for different values of Failed to parse (MathML with SVG or PNG fallback (recommended for modern browsers and accessibility tools): Invalid response ("Math extension cannot connect to Restbase.") from server "https://mathoid.scipedia.com/localhost/v1/":): {\textstyle N_b}

.

4.2.2. Temperature distribution (without slip parameter)

Variation of temperature profile Failed to parse (MathML with SVG or PNG fallback (recommended for modern browsers and accessibility tools): Invalid response ("Math extension cannot connect to Restbase.") from server "https://mathoid.scipedia.com/localhost/v1/":): {\textstyle \theta }

for different values of thermophoresis parameter Failed to parse (MathML with SVG or PNG fallback (recommended for modern browsers and accessibility tools): Invalid response ("Math extension cannot connect to Restbase.") from server "https://mathoid.scipedia.com/localhost/v1/":): {\textstyle N_t}
and Brownian motion parameter Failed to parse (MathML with SVG or PNG fallback (recommended for modern browsers and accessibility tools): Invalid response ("Math extension cannot connect to Restbase.") from server "https://mathoid.scipedia.com/localhost/v1/":): {\textstyle N_b}
is plotted for Failed to parse (MathML with SVG or PNG fallback (recommended for modern browsers and accessibility tools): Invalid response ("Math extension cannot connect to Restbase.") from server "https://mathoid.scipedia.com/localhost/v1/":): {\textstyle \gamma ={\gamma }_1=0}

. The temperature distribution without thermal and concentration slip parameters is presented in Figure 5 and Figure 6. Comparing the results with previous Section 4.2.1, there are no remarkable differences observed for the effects of Failed to parse (MathML with SVG or PNG fallback (recommended for modern browsers and accessibility tools): Invalid response ("Math extension cannot connect to Restbase.") from server "https://mathoid.scipedia.com/localhost/v1/":): {\textstyle N_t}

and Failed to parse (MathML with SVG or PNG fallback (recommended for modern browsers and accessibility tools): Invalid response ("Math extension cannot connect to Restbase.") from server "https://mathoid.scipedia.com/localhost/v1/":): {\textstyle N_b}

.


Temperature distribution θ for different values of Nt (without slip parameters).


Figure 5.

Temperature distribution Failed to parse (MathML with SVG or PNG fallback (recommended for modern browsers and accessibility tools): Invalid response ("Math extension cannot connect to Restbase.") from server "https://mathoid.scipedia.com/localhost/v1/":): {\textstyle \theta }

for different values of Failed to parse (MathML with SVG or PNG fallback (recommended for modern browsers and accessibility tools): Invalid response ("Math extension cannot connect to Restbase.") from server "https://mathoid.scipedia.com/localhost/v1/":): {\textstyle N_t}
(without slip parameters).


Variation of temperature profile θ for different values of Nb (without slip ...


Figure 6.

Variation of temperature profile Failed to parse (MathML with SVG or PNG fallback (recommended for modern browsers and accessibility tools): Invalid response ("Math extension cannot connect to Restbase.") from server "https://mathoid.scipedia.com/localhost/v1/":): {\textstyle \theta }

for different values of Failed to parse (MathML with SVG or PNG fallback (recommended for modern browsers and accessibility tools): Invalid response ("Math extension cannot connect to Restbase.") from server "https://mathoid.scipedia.com/localhost/v1/":): {\textstyle N_b}
(without slip parameter).

4.3. Nanoparticle concentration

4.3.1. Nanoparticle concentration (with slip parameter)

Figure 7 and Figure 8 show the effects of thermophoresis parameter Failed to parse (MathML with SVG or PNG fallback (recommended for modern browsers and accessibility tools): Invalid response ("Math extension cannot connect to Restbase.") from server "https://mathoid.scipedia.com/localhost/v1/":): {\textstyle N_t}

and Brownian motion parameter Failed to parse (MathML with SVG or PNG fallback (recommended for modern browsers and accessibility tools): Invalid response ("Math extension cannot connect to Restbase.") from server "https://mathoid.scipedia.com/localhost/v1/":): {\textstyle N_b}
on the nanoparticle concentration Failed to parse (MathML with SVG or PNG fallback (recommended for modern browsers and accessibility tools): Invalid response ("Math extension cannot connect to Restbase.") from server "https://mathoid.scipedia.com/localhost/v1/":): {\textstyle \sigma }

. From Fig. 7 it is observed that Failed to parse (MathML with SVG or PNG fallback (recommended for modern browsers and accessibility tools): Invalid response ("Math extension cannot connect to Restbase.") from server "https://mathoid.scipedia.com/localhost/v1/":): {\textstyle \sigma }

decreases with increase in values of Failed to parse (MathML with SVG or PNG fallback (recommended for modern browsers and accessibility tools): Invalid response ("Math extension cannot connect to Restbase.") from server "https://mathoid.scipedia.com/localhost/v1/":): {\textstyle N_t}
and Fig. 8 shows the increase in Failed to parse (MathML with SVG or PNG fallback (recommended for modern browsers and accessibility tools): Invalid response ("Math extension cannot connect to Restbase.") from server "https://mathoid.scipedia.com/localhost/v1/":): {\textstyle \sigma }
as Failed to parse (MathML with SVG or PNG fallback (recommended for modern browsers and accessibility tools): Invalid response ("Math extension cannot connect to Restbase.") from server "https://mathoid.scipedia.com/localhost/v1/":): {\textstyle N_b}
increases and the results are similar to [26].


Variation of nanoparticle profile σ at different values of Nt.


Figure 7.

Variation of nanoparticle profile Failed to parse (MathML with SVG or PNG fallback (recommended for modern browsers and accessibility tools): Invalid response ("Math extension cannot connect to Restbase.") from server "https://mathoid.scipedia.com/localhost/v1/":): {\textstyle \sigma }

at different values of Failed to parse (MathML with SVG or PNG fallback (recommended for modern browsers and accessibility tools): Invalid response ("Math extension cannot connect to Restbase.") from server "https://mathoid.scipedia.com/localhost/v1/":): {\textstyle N_t}

.


Variation of nanoparticle profile σ at different values of Nb.


Figure 8.

Variation of nanoparticle profile Failed to parse (MathML with SVG or PNG fallback (recommended for modern browsers and accessibility tools): Invalid response ("Math extension cannot connect to Restbase.") from server "https://mathoid.scipedia.com/localhost/v1/":): {\textstyle \sigma }

at different values of Failed to parse (MathML with SVG or PNG fallback (recommended for modern browsers and accessibility tools): Invalid response ("Math extension cannot connect to Restbase.") from server "https://mathoid.scipedia.com/localhost/v1/":): {\textstyle N_b}

.

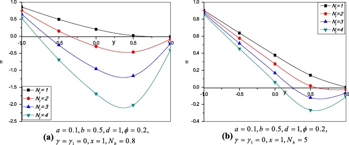
4.3.2. Nanoparticle concentration (without slip parameter)

The effects of thermophoresis parameter Failed to parse (MathML with SVG or PNG fallback (recommended for modern browsers and accessibility tools): Invalid response ("Math extension cannot connect to Restbase.") from server "https://mathoid.scipedia.com/localhost/v1/":): {\textstyle N_t}

and Brownian motion parameter Failed to parse (MathML with SVG or PNG fallback (recommended for modern browsers and accessibility tools): Invalid response ("Math extension cannot connect to Restbase.") from server "https://mathoid.scipedia.com/localhost/v1/":): {\textstyle N_b}
on the nanoparticle concentration Failed to parse (MathML with SVG or PNG fallback (recommended for modern browsers and accessibility tools): Invalid response ("Math extension cannot connect to Restbase.") from server "https://mathoid.scipedia.com/localhost/v1/":): {\textstyle \sigma }
are plotted for Failed to parse (MathML with SVG or PNG fallback (recommended for modern browsers and accessibility tools): Invalid response ("Math extension cannot connect to Restbase.") from server "https://mathoid.scipedia.com/localhost/v1/":): {\textstyle \gamma ={\gamma }_1=0}

. The nanoparticle concentration without thermal and concentration slip parameters is presented in Figure 9 and Figure 10. The results are similar as the Section 4.3.1.


Variation of nanoparticle profile σ at different values of Nt (without slip ...


Figure 9.

Variation of nanoparticle profile Failed to parse (MathML with SVG or PNG fallback (recommended for modern browsers and accessibility tools): Invalid response ("Math extension cannot connect to Restbase.") from server "https://mathoid.scipedia.com/localhost/v1/":): {\textstyle \sigma }

at different values of Failed to parse (MathML with SVG or PNG fallback (recommended for modern browsers and accessibility tools): Invalid response ("Math extension cannot connect to Restbase.") from server "https://mathoid.scipedia.com/localhost/v1/":): {\textstyle N_t}
(without slip parameter).


Variation of nanoparticle profile σ at different values of Nb (without slip ...


Figure 10.

Variation of nanoparticle profile Failed to parse (MathML with SVG or PNG fallback (recommended for modern browsers and accessibility tools): Invalid response ("Math extension cannot connect to Restbase.") from server "https://mathoid.scipedia.com/localhost/v1/":): {\textstyle \sigma }

at different values of Failed to parse (MathML with SVG or PNG fallback (recommended for modern browsers and accessibility tools): Invalid response ("Math extension cannot connect to Restbase.") from server "https://mathoid.scipedia.com/localhost/v1/":): {\textstyle N_b}
(without slip parameter).

4.4. Pressure gradient

Fig. 11(a)–(d) shows the variation of pressure gradient for different values of slip parameter, Hartmann number, Grashof number and thermophoresis parameters respectively. From these figures it is observed that the pressure gradient increases with increase in Failed to parse (MathML with SVG or PNG fallback (recommended for modern browsers and accessibility tools): Invalid response ("Math extension cannot connect to Restbase.") from server "https://mathoid.scipedia.com/localhost/v1/":): {\textstyle \beta \mbox{,}\quad M\mbox{,}\quad G_r}

and Failed to parse (MathML with SVG or PNG fallback (recommended for modern browsers and accessibility tools): Invalid response ("Math extension cannot connect to Restbase.") from server "https://mathoid.scipedia.com/localhost/v1/":): {\textstyle N_b}
The small increase in Failed to parse (MathML with SVG or PNG fallback (recommended for modern browsers and accessibility tools): Invalid response ("Math extension cannot connect to Restbase.") from server "https://mathoid.scipedia.com/localhost/v1/":): {\textstyle \beta \mbox{,}\quad M}
effects the large differences in pressure gradient can be observed from Fig. 11(a) and (b) respectively and maximum pressure gradient occurs at Failed to parse (MathML with SVG or PNG fallback (recommended for modern browsers and accessibility tools): Invalid response ("Math extension cannot connect to Restbase.") from server "https://mathoid.scipedia.com/localhost/v1/":): {\textstyle x=0.6}
where it was Failed to parse (MathML with SVG or PNG fallback (recommended for modern browsers and accessibility tools): Invalid response ("Math extension cannot connect to Restbase.") from server "https://mathoid.scipedia.com/localhost/v1/":): {\textstyle x=0.45}
in [26].


Variation of the pressure gradient.


Figure 11.

Variation of the pressure gradient.

4.5. Streamlines

The streamlines for different values of Failed to parse (MathML with SVG or PNG fallback (recommended for modern browsers and accessibility tools): Invalid response ("Math extension cannot connect to Restbase.") from server "https://mathoid.scipedia.com/localhost/v1/":): {\textstyle Q\mbox{,}\quad a\mbox{,}\quad \beta }

and M are presented from  Figure 12, Figure 13, Figure 14 and Figure 15. It is noticed from Fig. 12 that with increase in Q, the trapping bolus increases in the upper wall.  Fig. 13 displays the influence of amplitude on both lower and upper walls, and the trapping bolus decreases with increasing amplitude. Fig. 14 reveals that the bolus increases at both walls of the channel when Failed to parse (MathML with SVG or PNG fallback (recommended for modern browsers and accessibility tools): Invalid response ("Math extension cannot connect to Restbase.") from server "https://mathoid.scipedia.com/localhost/v1/":): {\textstyle \beta }
increases and from Fig. 15 it is examined that the trapped bolus decreases as M increases at lower and upper walls.


Streamlines for ...


Figure 12.

Streamlines for Failed to parse (MathML with SVG or PNG fallback (recommended for modern browsers and accessibility tools): Invalid response ("Math extension cannot connect to Restbase.") from server "https://mathoid.scipedia.com/localhost/v1/":): {\textstyle a=0.1\mbox{,}\quad d=1\mbox{,}\quad b=0.1\mbox{,}\quad \phi =} Failed to parse (MathML with SVG or PNG fallback (recommended for modern browsers and accessibility tools): Invalid response ("Math extension cannot connect to Restbase.") from server "https://mathoid.scipedia.com/localhost/v1/":): 0.2\mbox{,}\quad \gamma =0.5\mbox{,}\quad {\gamma }_1= Failed to parse (MathML with SVG or PNG fallback (recommended for modern browsers and accessibility tools): Invalid response ("Math extension cannot connect to Restbase.") from server "https://mathoid.scipedia.com/localhost/v1/":): 0.5\mbox{,}\quad B_r=2\mbox{,}\quad M=1\mbox{,}\quad G_r= Failed to parse (MathML with SVG or PNG fallback (recommended for modern browsers and accessibility tools): Invalid response ("Math extension cannot connect to Restbase.") from server "https://mathoid.scipedia.com/localhost/v1/":): 0.5\mbox{,}\quad N_b=2\mbox{,}\quad N_t=2\mbox{,}\quad \beta = Failed to parse (MathML with SVG or PNG fallback (recommended for modern browsers and accessibility tools): Invalid response ("Math extension cannot connect to Restbase.") from server "https://mathoid.scipedia.com/localhost/v1/":): 0.3

and for different values of (a) Failed to parse (MathML with SVG or PNG fallback (recommended for modern browsers and accessibility tools): Invalid response ("Math extension cannot connect to Restbase.") from server "https://mathoid.scipedia.com/localhost/v1/":): {\textstyle Q=2.5}
and (b) Failed to parse (MathML with SVG or PNG fallback (recommended for modern browsers and accessibility tools): Invalid response ("Math extension cannot connect to Restbase.") from server "https://mathoid.scipedia.com/localhost/v1/":): {\textstyle Q=3}

.


Streamlines for Q=2,d=1,b=0.1,ϕ=0.2,γ=0.5,γ1=0.5,Br=2,M=1,Gr=0.5,Nb=2,Nt=2,β=0.3 ...


Figure 13.

Streamlines for Failed to parse (MathML with SVG or PNG fallback (recommended for modern browsers and accessibility tools): Invalid response ("Math extension cannot connect to Restbase.") from server "https://mathoid.scipedia.com/localhost/v1/":): {\textstyle Q=2\mbox{,}\quad d=1\mbox{,}\quad b=0.1\mbox{,}\quad \phi =} Failed to parse (MathML with SVG or PNG fallback (recommended for modern browsers and accessibility tools): Invalid response ("Math extension cannot connect to Restbase.") from server "https://mathoid.scipedia.com/localhost/v1/":): 0.2\mbox{,}\quad \gamma =0.5\mbox{,}\quad {\gamma }_1= Failed to parse (MathML with SVG or PNG fallback (recommended for modern browsers and accessibility tools): Invalid response ("Math extension cannot connect to Restbase.") from server "https://mathoid.scipedia.com/localhost/v1/":): 0.5\mbox{,}\quad B_r=2\mbox{,}\quad M=1\mbox{,}\quad G_r= Failed to parse (MathML with SVG or PNG fallback (recommended for modern browsers and accessibility tools): Invalid response ("Math extension cannot connect to Restbase.") from server "https://mathoid.scipedia.com/localhost/v1/":): 0.5\mbox{,}\quad N_b=2\mbox{,}\quad N_t=2\mbox{,}\quad \beta = Failed to parse (MathML with SVG or PNG fallback (recommended for modern browsers and accessibility tools): Invalid response ("Math extension cannot connect to Restbase.") from server "https://mathoid.scipedia.com/localhost/v1/":): 0.3

and for different values of (a) Failed to parse (MathML with SVG or PNG fallback (recommended for modern browsers and accessibility tools): Invalid response ("Math extension cannot connect to Restbase.") from server "https://mathoid.scipedia.com/localhost/v1/":): {\textstyle a=0}
and (b) Failed to parse (MathML with SVG or PNG fallback (recommended for modern browsers and accessibility tools): Invalid response ("Math extension cannot connect to Restbase.") from server "https://mathoid.scipedia.com/localhost/v1/":): {\textstyle a=0.3}

.


Streamlines for a=0.1,Q=2,d=1,b=0.1,ϕ=0.2,γ=0.5,γ1=0.5,Br=2,M=1,Gr=0.5,Nb=2,Nt=2 ...


Figure 14.

Streamlines for Failed to parse (MathML with SVG or PNG fallback (recommended for modern browsers and accessibility tools): Invalid response ("Math extension cannot connect to Restbase.") from server "https://mathoid.scipedia.com/localhost/v1/":): {\textstyle a=0.1\mbox{,}\quad Q=2\mbox{,}\quad d=1\mbox{,}\quad b=} Failed to parse (MathML with SVG or PNG fallback (recommended for modern browsers and accessibility tools): Invalid response ("Math extension cannot connect to Restbase.") from server "https://mathoid.scipedia.com/localhost/v1/":): 0.1\mbox{,}\quad \phi =0.2\mbox{,}\quad \gamma =0.5\mbox{,}\quad {\gamma }_1= Failed to parse (MathML with SVG or PNG fallback (recommended for modern browsers and accessibility tools): Invalid response ("Math extension cannot connect to Restbase.") from server "https://mathoid.scipedia.com/localhost/v1/":): 0.5\mbox{,}\quad B_r=2\mbox{,}\quad M=1\mbox{,}\quad G_r= Failed to parse (MathML with SVG or PNG fallback (recommended for modern browsers and accessibility tools): Invalid response ("Math extension cannot connect to Restbase.") from server "https://mathoid.scipedia.com/localhost/v1/":): 0.5\mbox{,}\quad N_b=2\mbox{,}\quad N_t=2

and for different values of (a) Failed to parse (MathML with SVG or PNG fallback (recommended for modern browsers and accessibility tools): Invalid response ("Math extension cannot connect to Restbase.") from server "https://mathoid.scipedia.com/localhost/v1/":): {\textstyle \beta =0.4}
and (b) Failed to parse (MathML with SVG or PNG fallback (recommended for modern browsers and accessibility tools): Invalid response ("Math extension cannot connect to Restbase.") from server "https://mathoid.scipedia.com/localhost/v1/":): {\textstyle \beta =0.6}

.


Streamlines for ...


Figure 15.

Streamlines for Failed to parse (MathML with SVG or PNG fallback (recommended for modern browsers and accessibility tools): Invalid response ("Math extension cannot connect to Restbase.") from server "https://mathoid.scipedia.com/localhost/v1/":): {\textstyle a=0.1\mbox{,}\quad Q=2\mbox{,}\quad d=1\mbox{,}\quad b=} Failed to parse (MathML with SVG or PNG fallback (recommended for modern browsers and accessibility tools): Invalid response ("Math extension cannot connect to Restbase.") from server "https://mathoid.scipedia.com/localhost/v1/":): 0.1\mbox{,}\quad \phi =0.2\mbox{,}\quad \gamma =0.5\mbox{,}\quad {\gamma }_1= Failed to parse (MathML with SVG or PNG fallback (recommended for modern browsers and accessibility tools): Invalid response ("Math extension cannot connect to Restbase.") from server "https://mathoid.scipedia.com/localhost/v1/":): 0.5\mbox{,}\quad B_r=2\mbox{,}\quad G_r=0.5\mbox{,}\quad N_b= Failed to parse (MathML with SVG or PNG fallback (recommended for modern browsers and accessibility tools): Invalid response ("Math extension cannot connect to Restbase.") from server "https://mathoid.scipedia.com/localhost/v1/":): 2\mbox{,}\quad N_t=2\mbox{,}\quad \beta =0.3

and for different values of (a) Failed to parse (MathML with SVG or PNG fallback (recommended for modern browsers and accessibility tools): Invalid response ("Math extension cannot connect to Restbase.") from server "https://mathoid.scipedia.com/localhost/v1/":): {\textstyle M=1}
and (b) Failed to parse (MathML with SVG or PNG fallback (recommended for modern browsers and accessibility tools): Invalid response ("Math extension cannot connect to Restbase.") from server "https://mathoid.scipedia.com/localhost/v1/":): {\textstyle M=1.1}

.

5. Conclusions

The Peristaltic transport of conducting nanofluids under the effect of slip condition in an asymmetric channel is reported in the present work. The solution of the problem is solved exactly. Both slip effect and Magnetic effect on peristaltic transport of nanofluids are examined.

  • The pumping characteristics for different parameters are studied. The pressure rise decreases with increasing the parameters Failed to parse (MathML with SVG or PNG fallback (recommended for modern browsers and accessibility tools): Invalid response ("Math extension cannot connect to Restbase.") from server "https://mathoid.scipedia.com/localhost/v1/":): {\textstyle \beta \mbox{,}\quad M\mbox{,}\quad N_t}
and increases with increasing the parameters Failed to parse (MathML with SVG or PNG fallback (recommended for modern browsers and accessibility tools): Invalid response ("Math extension cannot connect to Restbase.") from server "https://mathoid.scipedia.com/localhost/v1/":): {\textstyle N_b\mbox{,}\quad B_r\mbox{,}\quad G_r}
respectively.
  • It is observed the large variations in pressure gradient by small increase in slip parameter and magnetic effects.
  • The temperature profile Failed to parse (MathML with SVG or PNG fallback (recommended for modern browsers and accessibility tools): Invalid response ("Math extension cannot connect to Restbase.") from server "https://mathoid.scipedia.com/localhost/v1/":): {\textstyle \theta }
increases with increase in Failed to parse (MathML with SVG or PNG fallback (recommended for modern browsers and accessibility tools): Invalid response ("Math extension cannot connect to Restbase.") from server "https://mathoid.scipedia.com/localhost/v1/":): {\textstyle N_t}
and Failed to parse (MathML with SVG or PNG fallback (recommended for modern browsers and accessibility tools): Invalid response ("Math extension cannot connect to Restbase.") from server "https://mathoid.scipedia.com/localhost/v1/":): {\textstyle N_b}
and similar behaviour is observed without thermal and concentration slip parameters.
  • Nanoparticle concentration decreases with increasing Failed to parse (MathML with SVG or PNG fallback (recommended for modern browsers and accessibility tools): Invalid response ("Math extension cannot connect to Restbase.") from server "https://mathoid.scipedia.com/localhost/v1/":): {\textstyle N_t}
and increases with increasing Failed to parse (MathML with SVG or PNG fallback (recommended for modern browsers and accessibility tools): Invalid response ("Math extension cannot connect to Restbase.") from server "https://mathoid.scipedia.com/localhost/v1/":): {\textstyle N_b}
and the behaviour is the same when there are no thermal and concentration slip parameters.
  • It is observed that the pressure gradient increases with increasing parameters Failed to parse (MathML with SVG or PNG fallback (recommended for modern browsers and accessibility tools): Invalid response ("Math extension cannot connect to Restbase.") from server "https://mathoid.scipedia.com/localhost/v1/":): {\textstyle \beta \mbox{,}\quad M\mbox{,}\quad G_r}
and Failed to parse (MathML with SVG or PNG fallback (recommended for modern browsers and accessibility tools): Invalid response ("Math extension cannot connect to Restbase.") from server "https://mathoid.scipedia.com/localhost/v1/":): {\textstyle N_b^{{'}}}

.

  • It is noticed that the size of the bolus increases with increasing parameters Failed to parse (MathML with SVG or PNG fallback (recommended for modern browsers and accessibility tools): Invalid response ("Math extension cannot connect to Restbase.") from server "https://mathoid.scipedia.com/localhost/v1/":): {\textstyle Q\mbox{,}\quad \beta }
and decreases with increasing Failed to parse (MathML with SVG or PNG fallback (recommended for modern browsers and accessibility tools): Invalid response ("Math extension cannot connect to Restbase.") from server "https://mathoid.scipedia.com/localhost/v1/":): {\textstyle a\mbox{,}\quad M}
respectively.

Acknowledgements

The authors thank the referees for their constructive comments which lead to betterment of the article.

Appendix A. 

Failed to parse (MathML with SVG or PNG fallback (recommended for modern browsers and accessibility tools): Invalid response ("Math extension cannot connect to Restbase.") from server "https://mathoid.scipedia.com/localhost/v1/":): a_{11}=\left(s_1e^{{Mh}_2}-2s_2e^{{Mh}_1}+s_2e^{{Mh}_1}e^{2{Mh}_2}\right)
Failed to parse (MathML with SVG or PNG fallback (recommended for modern browsers and accessibility tools): Invalid response ("Math extension cannot connect to Restbase.") from server "https://mathoid.scipedia.com/localhost/v1/":): a_{12}=\left(e^{{Mh}_2}-e^{{Mh}_1}e^{2{Mh}_2}+\frac{e^{2{Mh}_2}}{e^{{Mh}_1}}\right)
Failed to parse (MathML with SVG or PNG fallback (recommended for modern browsers and accessibility tools): Invalid response ("Math extension cannot connect to Restbase.") from server "https://mathoid.scipedia.com/localhost/v1/":): a_{13}=\left(\frac{e^{2{mh}_1}}{2}\right)
Failed to parse (MathML with SVG or PNG fallback (recommended for modern browsers and accessibility tools): Invalid response ("Math extension cannot connect to Restbase.") from server "https://mathoid.scipedia.com/localhost/v1/":): a_{14}=(e^{{Mh}_1}-e^{{Mh}_2})
Failed to parse (MathML with SVG or PNG fallback (recommended for modern browsers and accessibility tools): Invalid response ("Math extension cannot connect to Restbase.") from server "https://mathoid.scipedia.com/localhost/v1/":): a_{15}=\left(e^{{Mh}_1}-\frac{e^{2{Mh}_1}}{e^{{Mh}_2}}\right)
Failed to parse (MathML with SVG or PNG fallback (recommended for modern browsers and accessibility tools): Invalid response ("Math extension cannot connect to Restbase.") from server "https://mathoid.scipedia.com/localhost/v1/":): a_{16}=\left(2e^{{Mh}_1}-e^{2{Mh}_1}e^{{Mh}_2}-e^{{Mh}_2}\right)
Failed to parse (MathML with SVG or PNG fallback (recommended for modern browsers and accessibility tools): Invalid response ("Math extension cannot connect to Restbase.") from server "https://mathoid.scipedia.com/localhost/v1/":): a_{17}=\left(e^{{Mh}_1}e^{2{Mh}_2}-\frac{e^{2{Mh}_2}}{e^{{Mh}_1}}\right)
Failed to parse (MathML with SVG or PNG fallback (recommended for modern browsers and accessibility tools): Invalid response ("Math extension cannot connect to Restbase.") from server "https://mathoid.scipedia.com/localhost/v1/":): a_{18}=e^{{Mh}_2}\left(h_2-h_1\right)
Failed to parse (MathML with SVG or PNG fallback (recommended for modern browsers and accessibility tools): Invalid response ("Math extension cannot connect to Restbase.") from server "https://mathoid.scipedia.com/localhost/v1/":): a_{19}=\left(h_2-h_1\right)\frac{e^{2{Mh}_1}}{e^{{Mh}_2}}
Failed to parse (MathML with SVG or PNG fallback (recommended for modern browsers and accessibility tools): Invalid response ("Math extension cannot connect to Restbase.") from server "https://mathoid.scipedia.com/localhost/v1/":): \begin{array}{l} a_{20}=\left(R_1-R_2\right)e^{{Mh}_1}(M+M^2\beta )\\ a_{21}=s_1(e^{{Mh}_1}-e^{{Mh}_2})\\ a_{22}=\left(e^{{Mh}_1}\right)(M+M^2\beta )-\left(e^{{Mh}_2}\right)(M-M^2\beta )\\ a_{23}=\left(1-\frac{e^{{Mh}_1}}{e^{{Mh}_2}}\right)(M+M^2\beta )+\left(1-\frac{e^{{Mh}_2}}{e^{{Mh}_1}}\right)(M-M^2\beta )\\ a_{24}=\left(h_2-h_1\right)e^{{Mh}_1}(M+M^2\beta )+(e^{{Mh}_1}-e^{{Mh}_2})\\ a_{25}=\left(\frac{e^{{Mh}_1}}{e^{{Mh}_2}}{\left(M+M^2\beta \right)}^2-\frac{e^{{Mh}_2}}{e^{{Mh}_1}}{\left(M-M^2\beta \right)}^2\right)\\ a_{26}=\left(s_1e^{{Mh}_1}(M-M^2\beta )-s_2e^{{Mh}_1}(M+M^2\beta )\right)\\ a_{27}=\left(R_1-R_2\right)e^{{Mh}_1}\\ a_{28}=\left(\frac{e^{{Mh}_1}}{e^{{Mh}_2}}{\left(M+M^2\beta \right)}^2-\frac{e^{{Mh}_2}}{e^{{Mh}_1}}(M-M^2\beta )\right) \end{array}
Failed to parse (MathML with SVG or PNG fallback (recommended for modern browsers and accessibility tools): Invalid response ("Math extension cannot connect to Restbase.") from server "https://mathoid.scipedia.com/localhost/v1/":): \begin{array}{l} a_{29}=\left[\left(\frac{h_2-h_1}{M^2}\right)e^{{Mh}_1}(M+M^2\beta )+\frac{1}{M^2}(e^{{Mh}_1}-e^{{Mh}_2})\right]\\ a_{30}=e^{{Mh}_1}\left(e^{-{Mh}_1}-e^{-{Mh}_2}\right)(M+M^2\beta )\\ a_{31}=e^{-{Mh}_1}\left(e^{{Mh}_1}-e^{{Mh}_2}\right)(-M+M^2\beta ) \end{array}
Failed to parse (MathML with SVG or PNG fallback (recommended for modern browsers and accessibility tools): Invalid response ("Math extension cannot connect to Restbase.") from server "https://mathoid.scipedia.com/localhost/v1/":): \begin{array}{l} a_{32}=\left(\left(h_2-h_1\right)e^{{Mh}_1}(M+M^2\beta )+(e^{{Mh}_1}-e^{{Mh}_2})\right)\\ a_{33}=\left(\frac{e^{{Mh}_1}}{e^{{Mh}_2}}{\left(M+M^2\beta \right)}^2-\frac{e^{{Mh}_2}}{e^{{Mh}_1}}{\left(M-M^2\beta \right)}^2\right) \end{array}
Failed to parse (MathML with SVG or PNG fallback (recommended for modern browsers and accessibility tools): Invalid response ("Math extension cannot connect to Restbase.") from server "https://mathoid.scipedia.com/localhost/v1/":): a_{34}=\left\{\begin{array}{l} \left[\left(a_{11}\right)\left(M^2-M^4{\beta }^2\right)\right]+\left[s_1\left(a_{12}\right){\left(M-M^2\beta \right)}^2\right]-\left[\left(R_1-R_2\right)\left(a_{13}\right){\left(M+M^2\beta \right)}^3\right]+\left[\left(R_1-R_2\right)e^{{Mh}_2}\left(M+M^2\beta \right)(M-M^2\beta \right]+\left[s_1(a_{14}){\left(M+M^2\beta \right)}^2\right] \end{array}\right\}
Failed to parse (MathML with SVG or PNG fallback (recommended for modern browsers and accessibility tools): Invalid response ("Math extension cannot connect to Restbase.") from server "https://mathoid.scipedia.com/localhost/v1/":): a_{35}=\frac{1}{M^2}\left\{\begin{array}{l} \left[2a_{15}{\left(M+M^2\beta \right)}^2\right]+\left[a_{16}\left(M^2-M^4{\beta }^2\right)\right]+\left[a_{17}{\left(M-M^2\beta \right)}^2\right]+\left[a_{18}\left(M+M^2\beta \right){\left(M-M^2\beta \right)}^2\right]+\left[a_{19}{\left(M+M^2\beta \right)}^3\right] \end{array}\right\}
Failed to parse (MathML with SVG or PNG fallback (recommended for modern browsers and accessibility tools): Invalid response ("Math extension cannot connect to Restbase.") from server "https://mathoid.scipedia.com/localhost/v1/":): a_{36}=\left\{\frac{1}{M^2}\left[a_{20}-a_{21}\right]\left[\left(a_{22}\right)\left(a_{23}\right)-\right. \right.

Failed to parse (MathML with SVG or PNG fallback (recommended for modern browsers and accessibility tools): Invalid response ("Math extension cannot connect to Restbase.") from server "https://mathoid.scipedia.com/localhost/v1/":): \left. \left. \left(a_{24}\right)\left(a_{25}\right)\right]-\right. Failed to parse (MathML with SVG or PNG fallback (recommended for modern browsers and accessibility tools): Invalid response ("Math extension cannot connect to Restbase.") from server "https://mathoid.scipedia.com/localhost/v1/":): \left. \left[\left(a_{26}\right)\left(a_{23}\right)-\right. \right. Failed to parse (MathML with SVG or PNG fallback (recommended for modern browsers and accessibility tools): Invalid response ("Math extension cannot connect to Restbase.") from server "https://mathoid.scipedia.com/localhost/v1/":): \left. \left. \left(a_{27}(M+M^2\beta )-s_1a_{14}\right)a_{28}\right]\left[a_{29}\right]\right\}

Failed to parse (MathML with SVG or PNG fallback (recommended for modern browsers and accessibility tools): Invalid response ("Math extension cannot connect to Restbase.") from server "https://mathoid.scipedia.com/localhost/v1/":): a_{37}=\left\{\left[a_{30}-a_{31}\right]\frac{1}{M^2}\left[\left(a_{22}\right)\left(a_{23}\right)-\right. \right.

Failed to parse (MathML with SVG or PNG fallback (recommended for modern browsers and accessibility tools): Invalid response ("Math extension cannot connect to Restbase.") from server "https://mathoid.scipedia.com/localhost/v1/":): \left. \left. a_{32}\left(a_{33}\right)\right]\right\}

Failed to parse (MathML with SVG or PNG fallback (recommended for modern browsers and accessibility tools): Invalid response ("Math extension cannot connect to Restbase.") from server "https://mathoid.scipedia.com/localhost/v1/":): a_{38}=a_{35}\left\{\left[(R_1-R_2)a_{37}-(e^{-{Mh}_1}-\right. \right.

Failed to parse (MathML with SVG or PNG fallback (recommended for modern browsers and accessibility tools): Invalid response ("Math extension cannot connect to Restbase.") from server "https://mathoid.scipedia.com/localhost/v1/":): \left. \left. e^{-{Mh}_2})a_{36}\right]-\left[\left(\frac{h_2-h_1}{M^2}\right)\left(a_{34}\right)\left(a_{37}\right)\right]\right\}

Failed to parse (MathML with SVG or PNG fallback (recommended for modern browsers and accessibility tools): Invalid response ("Math extension cannot connect to Restbase.") from server "https://mathoid.scipedia.com/localhost/v1/":): a_{39}=\left(a_{14}\right)\left(a_{35}\right)\left(a_{37}\right)

References

  1. [1] T.W. Latham; Fluid Motion in a Peristaltic Pump; M.Sc. Thesis Massachusetts Institute of Technology, Cambridge (1966)
  2. [2] A.H. Shapiro, M.Y. Jaffrin, S.L. Weinberg; Peristaltic pumping with long Wavelengths and low Reynolds number; J. Fluid Mech., 37 (1969), pp. 799–825
  3. [3] T.F. Zien, S.A. Ostrach; A long wave approximation to Peristaltic motion; J. Biomech., 3 (1970), pp. 63–75
  4. [4] L.M. Srivastava, V.P. Srivastava, S.N. Sinha; Peristaltic transport of a physiological fluid: PartI: Flow in non-uniform geometry; Biorheology, 20 (1983), pp. 153–166
  5. [5] R.A. Ramachandra, S. Usha; Peristaltic transport of two immiscible viscous fluids in a circular tube; J. Fluid Mech., 298 (1995), pp. 271–285
  6. [6] K. Vajravelu, S. Sreenadh, V.R. Babu; Peristaltic transport of Herschel–Bulkley fluid in an inclined tube; Int. J. Non-Linear Mech., 40 (2005), pp. 83–90
  7. [7] K. Vajravelu, S. Sreenadh, P. Lakshminarayana; The influence of heat transfer on Peristaltic transport of Jeffrey fluid in a vertical porous stratum; Commun. Nonlinear Sci. Numer. Simul., 16 (2011), pp. 3107–3125
  8. [8] K. Vajravelu, S. Sreenadh, K. Rajinikanth, Changhoon Lee; Peristaltic transport of a Williamson fluid in asymmetric channel with permeable walls; Nonlinear Anal. Real World Appl., 13 (2012), pp. 2804–2822
  9. [9] S.U.S. Choi, Jeffrey A. Eastman; Enhancing Thermal Conductivity of Fluids with Nanoparticles; ASME Publications (1995)
  10. [10] S.U.S. Choi, Z.G. Zhang, W. Yu, F.E. Lockwood, E.A. Grulke; Anomalous thermal conductivity enhancement in nanotubes suspensions; Appl. Phys. Lett., 79 (2001), pp. 2252–2254
  11. [11] J. Buongiorno; Connective transport in nanofluids; ASME, J. Heat Transfer, 128 (2005), pp. 240–250
  12. [12] K.S. Mekheimer, Y. Abd elmaboud; The influence of heat transfer and magnetic field on Peristaltic transport of Newtonian fluid in a vertical annulus: application of an endoscope; Phys. Lett. A, 372 (2008), pp. 1657–1665
  13. [13] S. Srinivas, R. Gayathri, M. Kothandapani; The influence of slip conditions, wall properties and heat transfer and on MHD peristaltic transport; Comput. Phys. Commun., 180 (2009), pp. 2115–2122
  14. [14] S. Srinivas, R. Muthuraj; Peristaltic transport of a Jeffrey fluid under the effect of slip in an inclined asymmetric; Int. J. Appl. Mech., 2 (2) (2010), pp. 437–455
  15. [15] N.S. Akbar, S. Nadeem; Endoscopic effects on peristaltic flow of a nanofluid; Commun. Theor. Phys., 56 (2011), pp. 761–768
  16. [16] A.V. Ramana Kumari, G. Radhakrishnamacharya; Effect of slip on heat transfer to Peristaltic transport in the presence of magnetic field with wall effects; ARPN J. Eng. Appl. Sci., 6 (7) (2011), pp. 119–131
  17. [17] N.S. Akbar, S. Nadeem, T. Hayat, A.A. Hendi; Peristaltic transport of a nanofluid in non-uniform tube; Heat Mass Transfer, 48 (2012), pp. 451–459
  18. [18] N.S. Akbar, S. Nadeem; Peristaltic flow of a Phan-Thien–Tanner nanofluid in a diverging tube; Heat Transfer, 41 (2012), pp. 10–22
  19. [19] M. Mustafa, S. Hina, T. Hayat, A. Alsaedi; Influence of wall properties on the Peristaltic flow of a nanofluid: analytic and numerical solutions; Int. J. Heat Mass Transfer, 55 (2012), pp. 4871–4877
  20. [20] N.S. Akbar, S. Nadeem, T. Hayat, A.A. Hendi; Peristaltic transport of a nanofluid with slip Effects; Maccanica, 47 (2012), pp. 1283–1294
  21. [21] S. Srinivas, R. Muthuraj, J. Sakina; A note on the influence of heat and mass transfer on a Peristaltic flow of a viscous fluid in a vertical asymmetric channel with wall slip; Chem. Ind. Chem. Eng. Quart., 18 (3) (2012), pp. 483–493
  22. [22] S. Akram, S. Nadeem, A. Ghafoor, C. Lee; consequences of nanofluid on Peristaltic flow in an asymmetric Channel; Int. J. Basic Appl. Sci., 12 (2013), pp. 75–96
  23. [23] N.S. Akbar, S. Nadeem, Changhoon Lee, Zafar Hayat Khan, Rizwan UI Haq; Numerical study of Williamson nanofluid in an asymmetric channel; Results Phys., 3 (2013), pp. 161–166
  24. [24] A. Ebaid, E.H. Aly; Exact Analytical Solution of the Peristaltic Nanofluids Flow in an Asymmetric Channel with Flexible Walls and Slip Condition: Application to Cancer Treatment; Hindawi Publishing Corporation (2013)
  25. [25] M. Mustafa, S. Hina, T. Hayat, A. Alsaedi; Slip effects on the Peristaltic motion of nano fluid in a channel with wall properties; ASME J. Heat Transfer, 135 (2013)
  26. [26] E.H. Aly, A. Ebaid; Exact analytical solution for the peristaltic flow of nanofluids in an asymmetric channel with slip effect of the velocity, temperature and concentration; J. Mech., 30 (2014), pp. 411–422
  27. [27] S. Akram, S. Nadeem; Consequence of nanofluid on peristaltic transport of a hyperbolic Tangent fluid model in the occurrence of apt (tending) magnetic field; J. Magnet. Magnet. Mater., 358 (2014), pp. 183–191
  28. [28] M. Mustafa, S. Hina, T. Hayat, B. Ahmad; Influence of induced magnetic field on the Peristaltic flow of nanofluid; Maccanica, 49 (2014), pp. 521–534
  29. [29] S. Hina, M. Mustafa, S. Abbasbandy, T. Hayat, A. Alsaedi; Peristaltic motion of nanofluid in a curved channel; J. Heat Transfer ASME, 136 (2014)
  30. [30] Obaid Ullah Mehmood, Norzieha Mustapha, Sharidan Shafie, T. Hayat; Partial slip effect on heat and mass transfer of MHD peristaltic transport in a porous medium; Sains Malaysiana, 43 (7) (2014), pp. 1109–1118
  31. [31] Tasawar Hayat, Fahad Munir Abbasi, Bashir Ahmadz, Ahmed Alsaedi; Peristaltic transport of Carreau-Yasuda fluid in a curved channel with slip effects; Plos One, 9 (4) (2014) e95070
  32. [32] M. Kothandapani, J. Prakash; Effect of radiation and magnetic field on peristaltic transport of nanofluids through a porus space in a tapered asymmetric channel; J. Magnet. Magnet. Mater., 378 (2015), pp. 152–163
  33. [33] M. Kothandapani, J. Prakash; The peristaltic transport of Carreau nanofluid under effect of a magnetic field in a tapered asymmetric channel: application to cancer therapy; J. Mech. Med. Biol., 15 (2015), pp. 1550030–1550062
  34. [34] M. Kothandapani, J. Prakash; Effects of thermal radiation parameter and magnetic field on the peristaltic motion of Williamson nanofluids in a tapered asymmetric channel; Int. J. Heat Mass Transfer, 51 (2015), pp. 234–245
  35. [35] K. Nirmala, R. Muthuraj, S. Srinivas, D. Lourdu Immaculate; Combined effects of hall current, wall slip, viscous dissipation and soret effect on MHD Jeffrey fluid flow in a vertical channel with Peristalsis; JP J. Heat Mass Transfer, 12 (2) (2015), pp. 131–165
Back to Top

Document information

Published on 12/04/17

Licence: Other

Document Score

0

Views 43
Recommendations 0

Share this document

claim authorship

Are you one of the authors of this document?