Abstract

Background

Inducible nitric oxide synthase (iNOS) induced by inflammatory cytokines and iNOS activity in bronchial epithelial cells is a major determinant of fractional exhaled nitric oxide (FeNO) levels. The aim of this study was to investigate the association of iNOS promoter gene polymorphisms and FeNO levels in Japanese asthmatics before the introduction of asthma treatment.

Methods

Asthmatics were recruited from Fukushima Medical University Hospital. Genotyping of the pentanucleotide repeat (CCTTT)n and seven previously detected single nucleotide polymorphisms (SNPs) in the iNOS promoter lesion was performed. The relationships between the genotypes and FeNO levels before the introduction of asthma treatment were compared.

Results

In 91 asthmatics, the number of microsatellite repeats ranged from 9 to 20 and showed a bimodal distribution. According to this distribution, asthmatics were divided into two groups: genotypes with at least one long allele with more than 14 repeats (L/s or L/L) and genotypes with both short alleles with 14 or fewer repeats (s/s). No significant differences were observed in each parameter between the two groups. The mean FeNO level before treatment was significantly higher in the L/s or L/L subjects than in the s/s subjects. After treatment, the lowest FeNO level did not differ between the two groups. Three SNPs detected in the Japanese subjects were not associated with FeNO levels.

Conclusions

The number of CCTTT repeats in the iNOS promoter region was associated with FeNO levels in asthmatics before treatment, suggesting the importance of iNOS genotype in the clinical application of FeNO for asthmatics.

Keywords

Adult asthma; Asthma; Fractional exhaled nitric oxide; Genetic polymorphism; Single nucleotide polymorphism

List of abbreviations

FeNO, fractional exhaled nitric oxide; iNOS, inducible nitric oxide synthase; NOS2A, inducible nitric oxide synthase; SNPs, single nucleotide polymorphisms; ICS, inhaled corticosteroids; ATS, American Thoracic Society; PCR, polymerase chain reaction; SEM, standard error of the mean; FVC, forced expiratory volume; FEV1, forced expiratory volume in one second; FEV1/FVC, forced expiratory volume in one-second percent

Introduction

Fractional exhaled nitric oxide (FeNO) is a useful diagnostic tool for bronchial asthma.1, 2 and 3 NO is produced by a wide variety of cells and is generated through conversion of l-arginine to l-citrulline by nitric oxide synthase.4 In addition, inducible nitric oxide synthase (iNOS) is activated by inflammatory cytokines, and iNOS activity in bronchial epithelial cells is a major determinant of FeNO level.5

The inducible-NOS gene (NOS2A) is present on chromosome 17q11.2–12, which comprises 27 exons, with the transcription start site in exon 2 and stop codon in exon 27. 6NOS2A is predominantly transcriptionally regulated, therefore genetic variations within the 5′ region may influence gene expression. The proximal NOS2A promoter contains pentanucleotide microsatellites and single nucleotide polymorphisms (SNPs). These polymorphisms play important roles in several diseases. Pentanucleotide (CCTTT) polymorphisms in the promoter regions of NOS2A and other SNPs have been investigated in various diseases including asthma, rheumatoid arthritis, malaria, and inflammatory bowel diseases. 7 Konno et al. reported that a 14-repeat allele is inversely associated with atopy. 8 Pascual et al. reported in their case control study that the number of repeats could be associated with the inflammatory process of nasal polyposis. 9 SNPs at position −954 G/C, −1173 C/T, and −1659 A/T in the NOS2A promoter region have been shown to increase NO synthesis. 10 Batra et al. reported the association of NOS2A polymorphism with severity of asthma and eosinophils. They also found an association between serum nitric oxide levels and NOS2A promoter repeats. 11 The association between levels of FeNO and polymorphisms in NOS2A has previously been reported. A recent population-based study found SNPs in NOS2A to be significantly associated with FeNO, and the association was particularly strong in asthmatic children. 12 In a Swedish study of an adult general population, two SNPs in NOS2A and one in NOS3 revealed an independent association with levels of FeNO. However, this association varied in asthmatics, and no significant association was found between SNPs in NOS2A and levels of FeNO. 13

It should be noted that the majority of these studies were done mainly for asthmatic patients who were already being treated with inhaled corticosteroids, and few reports exist examining the influence of polymorphisms in the NOS2A promoter region and FeNO levels at diagnosis before the introduction of asthma treatment. For this reason, in the present study we analyzed the proximal NOS2A promoter pentanucleotide microsatellite and other SNPs, and studied the association between the polymorphisms and the levels of FeNO in asthmatics before treatment. Moreover, change in FeNO level after asthmatic treatment was analyzed.

Methods

Study subjects and study design

Present study was a retrospective observational study. Asthmatic subjects were recruited from the outpatient clinic at the Department of Pulmonary Medicine in Fukushima Medical University Hospital between September 2009 and December 2012. They had no abnormalities on chest X-ray and did not receive anti-asthma therapies, including inhaled and systemic corticosteroids, leukotriene receptor antagonists, theophylline, and omalizumab. All patients had been diagnosed according to the American Thoracic Society (ATS) criteria.14 Asthma was defined on a basis of recurrent episodes of at least one symptom (cough, wheeze, or dyspnea) associated with a demonstrated reversible airflow limitation (12% and 200 mL variability in forced expiratory volume in 1 s [FEV1] either spontaneously or with an inhaled short-acting β2-agonist) and/or increased airway responsiveness. Asthmatics who had upper or lower airway infection, malignancy, or collagen vascular disease at initial assessment were excluded from the study. Asthma severity was assessed according to the Global Initiative of Asthma 2012 guidelines, and classified into four groups: mild intermittent, mild persistent, moderate persistent and severe persistent. A concomitance of chronic sinusitis was based on the patients report or the presence of two or more of the following symptoms: nasal blockage/congestion, discharge, anterior/posterior nasal drip, facial pain/pressure, and reduction or loss of smell. All subjects provided written informed consent for both the analysis of their clinical data and the genotyping of their DNA extracted from peripheral blood. If subjects were under the age of 18, they and their guardians had to provide written informed consent prior to enrollment. This study was approved by the ethics committee of Fukushima Medical University on June 20, 2000 [No.65].

For initial assessment, FeNO measurement, blood tests, and pulmonary function tests were performed, and asthma severity was classified. All current smokers in this study stopped smoking at least two weeks before the initial assessment. Following the initial assessment, all recruited subjects were administered asthmatic treatment including inhaled corticosteroids (ICS) in accordance with treatment guidelines. During the treatment, we also performed FeNO measurement for monitoring asthma control. We defined: ‘FeNO level before treatment’ as the patients FeNO level at diagnosis; ‘FeNO level after treatment’ as the minimum FeNO level during the treatment periods; and ‘ΔFeNO’ as the difference between ‘FeNO level before treatment’ and ‘FeNO level after treatment.’ According to the ATS clinical practical guidelines, ‘high FeNO level’ in adults is defined as a level higher than 50 ppb.15

FeNO measurement

FeNO was measured in accordance with ATS and European Respiratory Society recommendations15 using a chemiluminescence analyzer NA623N® (Kimoto, Osaka, Japan), and is expressed as parts per billion. NA623N® is a stationary FeNO analyzer, and the measurement values of FeNO strongly correlated with the values measured by a widely-used portable FeNO analyzer, NIOX-MINO® (Aerocrine, AB, Solna, Sweden).16 Measurement was performed as described previously.17 In brief, FeNO was measured with patients in a sitting position and without the use of a nose clip. From total lung capacity without holding their breath, the patient exhaled at a constant flow of 50 mL/s. FeNO was measured three times, with differences in measured values within 10%. The mean value of the three measurements was used for statistical analysis.

Blood tests and pulmonary function test

Blood tests included peripheral blood eosinophil count, serum non-specific IgE, and antigen-specific IgE. A radioallergosorbent test for antigen-specific IgE was performed for weeds, mites, house dust, cats, dogs, cedar, cypress, orchard grass, moths, Aspergillus, Candida, and mixed molds. Non-specific IgE was measured by fluorescence enzyme immunoassay (UniCAP; Pharmacia & Upjohn, Uppsala, Sweden). Atopy was defined as either a non-specific IgE concentration greater than 250 IU/mL or any positive antigen-specific IgE (higher than 0.70 UA/mL). Pulmonary function testing was performed using rolling seal spirometers (Chestac-11 Cyber S-type; Chest MI, Inc., Tokyo, Japan) to measure forced expiratory volume (FVC) and FEV1. Tests were performed by experienced respiratory technicians according to ATS guidelines.18 The FVC and FEV1 are expressed as percent of predicted values.

Genotyping and analyses

Genotyping of the pentanucleotide repeats, (CCTTT)n in the NOS2A promoter region, was performed by polymerase chain reaction with appropriate primers (sense primer, 5′-ACC CCT GGA AGC CTA CAA CTG CAT-3′; anti-sense primer, 5′-GCC ACT GCA CCC TAG CCT GTC TCA-3′), and by a fluorescently labeled primer method and capillary gel electrophoresis with an ABI PRISM 3100 Genetic Analyzer (Applied Biosystems, Foster City, CA, USA). Allele distribution was analyzed, and asthmatics were divided into two groups: those with alleles with higher numbers of repeats, and all other genotypes. Xu et al. reported on the allelic frequency of NOS2A promoter pentanucleotide microsatellite in 210 Japanese individuals. 19 In the Japanese population, alleles showed a bimodal distribution pattern. Furthermore, previous reports on the relationship between the NOS2A promoter pentanucleotide repeat and fatal malaria in the Gambian and Tanzanian populations defined allele length based on a trough occurring repeat number of a bimodal distribution. 20 and 21 We defined that the cut-off number of repeats for distinguishing lower and higher repeat was a trough occurring repeat number of a bimodal distribution referred to these reports. Characteristics and FeNO levels before treatment were compared between the two groups.

A total of 11 SNPs have previously been detected in the proximal 2.6 kb of the NOS2A promoter in Gambians. 22 We selected seven SNPs with a population frequency of >0.05 in Gambians and UK Caucasians from a previous report.23 We defined the numbering of SNPs on the basis of the promoter sequence published by Spitsin et al. 24 Numbering is relative to the transcriptional start site. Fluorogenic allele-specific TaqMan probes and primers (TaqMan SNP Genotyping Assays, Applied Biosystems) were used for the genotyping of the SNPs. The primers used were as follows: (−277 a/g) rs2779248 primers; (−718 a/c) rs28973255 primers; (−954 g/c) forward 5′-GGG CAG ATC ACT TGA GCT TCA G-3′, reverse 3′-AGA CTG GGT TTC ACC ATG TTG TC-5′; (−1026 g/t) forward 5′-GGG AAT ACT GTA TTT CAG GCA TTA TAA GGA-3′, reverse 3′-GCC TCT CAA AGT GCT AGG ATT ACA A-5′; (−1173 c/t) rs9282799 primers; (−1657 c/t) rs8078340 primers; and (−2441 c/g) forward 5′-CAC CTG ATC CTC CTG AGT AGC TA-3′, reverse 5′-CAA CAT AGT GAG ATC CAA TCT CTA CAG AA-3′. Allelic discrimination was performed using the ABI Prism 7000 Sequence Detection System (Applied Biosystems).

Statistical analyses

All values are expressed as mean ± standard error of the mean (SEM) unless otherwise specified. Levels of FeNO and serum total IgE were not normally distributed and were natural log-transformed in parametric analyses. Comparisons of patient characteristics, clinical data and pulmonary function within the groups were performed by unpaired t tests and chi-square tests, unless otherwise specified. The correlation between levels of FeNO and (CCTTT) pentanucleotide repeat count was performed by the Pearson correlation coefficient. The comparison between FeNO levels before and after treatment was performed by paired t test. Values of p < 0.05 were considered statistically significant. Statistical analysis was performed with PASW Statistics Base for Windows (version 18; IBM, Armonk, NY, USA).

Results

In total, 91 asthmatics (36 males and 55 females) from the outpatient clinic were included in the study. The mean age was 55 (range 16–78) years. All subjects with a history of childhood asthma had outgrown their asthma in childhood. All subjects with allergic rhinitis had not been treated with leukotriene receptor antagonists. The numbers of asthmatics with mild intermittent, mild persistent, moderate persistent and severe persistent severity were 18, 40, 30, and 3, respectively. The mean FeNO level before treatment in the 91 asthmatics was 105.1 (range 10.3–585.0) ppb. The mean levels of FeNO before treatment in four seasons (Mar./Apr./May, June/July/Aug., Sept./Oct./Nov., and Dec./Jan./Feb.) were 93.0 ± 18.1 ppb (n = 14), 104.4 ± 20.0 ppb (n = 22), 131.7 ± 23.4 ppb (n = 30), and 80.7 ± 13.0 ppb (n = 25), respectively. No significant difference in FeNO levels before treatment was observed among four seasons.

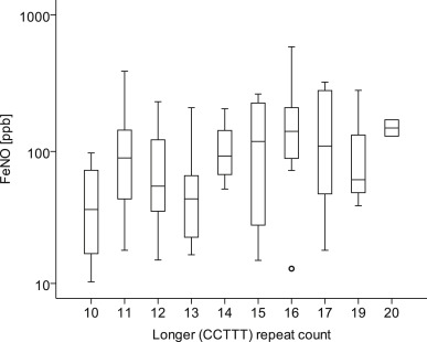
The distribution of the polymorphic (CCTTT)n repeats is shown in Figure 1, which was substantially matched with that previously reported in a study on the Japanese population.19 The number of microsatellite repeats ranged from 9 to 20 and showed a bimodal distribution, with a trough occurring at 15 repeats. We defined alleles of 14 repeats or fewer as short form (s) and alleles of 15 repeats or more as long form (L). The numbers of asthmatics in classified genotypes were 67, 19, and 5 in genotypes s/s, L/s, and L/L, respectively. The number of asthmatics classified as L/L genotype was fewer than those classified as other genotypes, and there was no significant difference observed in mean FeNO levels before treatment between the subjects with L/s genotype and L/L genotype (mean ± SEM; genotype s/s 87.6 ± 9.4 ppb, L/s 162.2 ± 32.1 ppb, and L/L 123.0 ± 43.1 ppb). The study subjects were classified into two genotype groups: genotype L/s or L/L group (at least one allele with a long form), and genotype s/s group (both alleles with short form). There were no significant differences between the two genotype groups in the clinical characteristics and laboratory data ( Table 1). The mean FeNO level before treatment was significantly higher in the L/s or L/L genotype group than in the s/s genotype group (mean ± SEM; 154.0 ± 26.8 ppb vs. 87.6 ± 9.4 ppb; p = 0.019) (Fig. 2). In addition, there was a significant positive correlation between FeNO level before treatment and longer (one longer allele of two) CCTTT microsatellite repeat count (r = 0.233, p = 0.026) (Fig. 3). In the comparison of clinical characteristics, no significant difference was observed between the L/s or L/L genotype group and s/s genotype group regarding serum house-dust specific IgE level. However, there was a significant positive correlation between serum house-dust specific IgE level and longer CCTTT microsatellite repeat count (r = 0.224, p = 0.034).


Allelic distribution of NOS2A promoter microsatellite alleles in Japanese ...


Fig. 1.

Allelic distribution of NOS2A promoter microsatellite alleles in Japanese asthmatic patients (91 subjects, 182 alleles).

Table 1. Baseline characteristics of asthmatics in separated genotype groups.
Genotype s/s Genotype L/s or L/L p value
Number (%) 67 (74) 24 (26)
Gender (male/female) 23/44 13/11 0.088
Age (years) 54.5 ± 2.1 55.5 ± 3.1 0.813
Body mass index (kg/m2) 24.4 ± 0.6 22.8 ± 0.6 0.072
Smoking status (never/former/current) 44/15/8 13/6/5 0.496
Allergic rhinitis (+/−) 19/48 12/12 0.055
Chronic sinusitis (+/−) 9/58 1/23 0.281
Nasal polyps (+/−) 5/62 1/23 0.577
Asthma in childhood (+/−) 5/62 3/21 0.430
Number with asthma severity (mild intermittent/mild persistent/moderate persistent/severe persistent) 14/31/19/3 4/9/11/0 0.365
Blood eosinophil in WBC (%) 5.5 ± 0.5 7.0 ± 1.5 0.343
Serum total IgE (IU/mL) 220 ± 36 700 ± 260 0.254
House dust–specific IgE (+/−) 26/41 9/15 0.910
Japanese Cedar–specific IgE (+/−) 24/43 11/13 0.387
Dog or cat specific IgE (+/−) 9/58 3/21 0.908
Atopic status (%) 41 (61%) 16 (67%) 0.634
 % predicted FVC (%) 94.7 ± 2.4 102.0 ± 3.7 0.119
 % predicted FEV1 (%) 105.7 ± 15.7 96.8 ± 5.2 0.738
FEV1/FVC (%) 77.4 ± 1.4 75.5 ± 1.8 0.465

Data are presented as mean ± standard error of the mean unless otherwise indicated.

WBC, white blood cell count; FVC, forced vital capacity; FEV1, forced expiratory volume in 1 s; FEV1/FVC, forced expiratory volume in 1 s percent.

†. Antigen specific serum IgE level is higher than 0.70 IU/mL.


Comparison of FeNO levels before treatment between the two genotype groups. The ...


Fig. 2.

Comparison of FeNO levels before treatment between the two genotype groups. The box signifies the 25th and 75th percentiles, and the median is represented by a short line within the box. The open circle indicates genotype L/s and the filled circle indicates genotype L/L.


Relationship between FeNO level and CCTTT repeat count in the NOS2A promoter of ...


Fig. 3.

Relationship between FeNO level and CCTTT repeat count in the NOS2A promoter of longer genotype. The box signifies the 25th and 75th percentiles, and the median is represented by a short line within the box.

The FeNO levels of 88 (23 with L/s or L/L group and 65 with s/s group) of the 91 subjects were also measured after treatment for asthma. Table 2 shows the clinical characteristics and outcome after asthmatic treatment. All asthmatics were treated with ICS, and no significant difference in the mean ICS dose between the two genotype groups was observed. There were no significant differences in mean treatment periods (19.5 ± 18.5 months vs. 19.6 ± 20.7 months; p = 0.645) and the mean number of the total FeNO measurements (4.48 ± 0.44 times vs. 4.45 ± 0.41 times; p = 0.290) in each subject between the two genotype groups, respectively. After asthmatic treatment, FeNO levels were significantly decreased (mean ± SEM; before treatment 107.4 ± 10.5 ppb, after treatment 35.6 ± 2.8 ppb; p < 0.001). However, the FeNO levels of 31 subjects (10 with L/s or L/L group and 21 with s/s group) were elevated temporarily above the levels before treatment; not all FeNO levels before treatment met the highest levels throughout the whole period. The levels were consistently high through the whole period also revealed a significant positive correlation with a longer CCTTT microsatellite repeat count (r = 0.295, p = 0.005). The lowest FeNO level after treatment did not significantly differ between the L/s or L/L genotype group and s/s genotype group (mean ± SEM; 41.2 ± 5.7 ppb vs. 33.6 ± 3.2 ppb; p = 0.209). Moreover, while no significant correlation between FeNO level after treatment and longer CCTTT microsatellite repeat count was observed (r = 0.155, p = 0.149), there was a significant positive correlation between ΔFeNO and longer (one longer allele of two) CCTTT microsatellite repeat count (r = 0.226, p = 0.034). In the s/s genotype group, significantly fewer subjects showed ‘high FeNO levels’ (higher than 50 ppb) than in the L/s or L/L genotype group throughout the entire period (29 of 53 [54.7%] subjects vs. 20 of 23 [87.0%] subjects; p = 0.038).

Table 2. Clinical characteristics and outcomes after asthmatic treatment.
Genotype s/s (n = 65) Genotype L/s or L/L (n = 23) p value
Treatment periods (months) 19.5 ± 18.5 19.6 ± 20.7 0.645
Number of total FeNO measurements (times) 4.48 ± 0.44 4.45 ± 0.41 0.290
ICS dose (equivalent to FP) (μg/day) 583 ± 30 609 ± 48 0.660
LABA (+/−) 53/12 20/3 0.750§
LTRA (+/−) 9/56 3/20 1.000§
Theophylline (+/−) 6/59 4/19 0.281§
Highest point of ACT score (points) 23.3 ± 0.3 23.5 ± 0.5 0.785
Highest % predicted FEV1 after treatment (%) 102.5 ± 2.6 106.1 ± 2.2 0.291
FeNO level before diagnosis (ppb) 89.6 ± 9.6 157.5 ± 27.7 0.026*
Highest FeNO level (ppb) 101.2 ± 10.8 185.1 ± 27.3 0.002*
Lowest FeNO level (ppb) 33.6 ± 3.2 41.2 ± 5.7 0.209

Data are presented as mean ± standard error of the mean unless otherwise indicated.

  • p < 0.05.

FeNO, fractional exhaled nitric oxide; ICS, inhaled corticosteroids; FP, Fluticasone propionate; LABA, long-acting β2-agonists; LTRA, leukotriene receptor antagonists; ACT, asthma control test; FEV1, forced expiratory volume in 1 s.

†. n = 54.

‡. n = 22.

§. Comparisons were calculated with Fishers exact test.

Three of seven analyzed SNPs shared by Gambians and the UK Caucasian population were detected in the subjects, but the minor allele frequencies were extremely low (allele frequency: −277 a/g 0.088, −1026 g/t 0.022, and −2447 c/g 0.049). Four SNPs (SNPs [dbSNP]: −718 a/c [rs28973255], −954 g/c [rs1800482], −1173 c/t [rs9282799], and −1657 c/t [rs8078340]) were not detected. In single-SNP analyses, the mean FeNO levels before treatment between asthmatics with and without minor alleles were not significantly different ( Table 3).

Table 3. Single nucleotide polymorphisms (SNPs) in proximal NOS2A promoter and FeNO levels before treatment in asthmatics.
SNP (dbSNP) Genotype Number (%) FeNO level (ppb) p value
−277 a/g (rs2779248) a/a 77 (84.6) 104.5 ± 11.5 0.792§
a/g 12 (13.2) 108.7 ± 22.7
g/g 2 (2.2)
−1026 g/t (rs2779249) g/g 87 (95.6) 106.9 ± 10.6 0.403§
g/t 4 (4.4) 67.2 ± 33.1
t/t
−2441 c/g (rs2301369) c/c 82 (90.1) 107.8 ± 11.1 0.576§
c/g 9 (9.9) 80.9 ± 24.6
g/g

Four of seven analyzed SNPs (−718a/c [rs28973255], −954 g/c [rs1800482], −1173 c/t [rs9282799], and −1657c/t [rs8078340]) were not identified in our study subjects.

Data are presented as number(%) of subjects or mean ± standard error of mean.

NOS2A, inducible nitric oxide synthase 2A; FeNO, fractional exhaled nitric oxide.

†. Reference SNP ID number of The Single Nucleotide Polymorphism Database.

‡. Reference genotype.

§. Comparison of mean FeNO levels before treatment between subjects with reference genotype and subjects with minor allele genotype.

Discussion

In the current study, we analyzed the proximal NOS2A promoter pentanucleotide microsatellite and SNPs in Japanese asthmatics. First, the number of microsatellite repeats ranged from 9 to 20 and showed a bimodal distribution. The mean FeNO level before treatment was significantly higher in longer genotype asthmatics than in shorter genotype asthmatics. Moreover, there were significant positive correlations between FeNO levels before treatment and longer (CCTTT) repeat length. Second, three of seven analyzed SNPs shared with the Gambian and UK Caucasian populations were detected in Japanese asthmatics but at lower allele frequencies. Moreover, we analyzed the FeNO levels after asthmatic treatment including ICS. There were no significant differences observed in the mean FeNO levels after treatment between the minor and major alleles in Japanese asthmatics. The FeNO levels after treatment including ICS were significantly decreased. However, in the shorter genotype group, significantly fewer subjects showed ‘high FeNO levels’ (higher than 50 ppb) than in the L/s or L/L genotype group throughout the whole period as defined by the ATS practical guidelines.

There are some reports about the proximal NOS2A promoter pentanucleotide repeat (CCTTT)n in the Japanese population. In a study comprising 210 Japanese individuals, Xu et al. reported that the allelic frequency of NOS2A promoter pentanucleotide repeat (CCTTT)n showed a bimodal distribution pattern. 19 Konno et al. reported that the number of microsatellite repeats ranged from 8 to 21 in the Japanese population (141 non-atopic healthy controls, 102 atopic healthy controls, 56 non-atopic asthmatic subjects, and 198 atopic asthma subjects). 8 The number of (CCTTT) pentanucleotide repeats in their study also represented bimodal distribution. In fact, Konno et al.s study reported a similar number of microsatellite repeat ranges as that in the present study, as well as a similar distribution of allele frequency (91 Japanese asthmatics and 182 alleles).

Additionally, an association between NOS2A pentanucleotide repeats and FeNO levels in asthmatics was reported by Leung et al. 25 Their analyses revealed that FeNO did not differ among subjects with different NOS2A pentanucleotide repeat genotypes or between those with none versus at least one 14-repeat allele. However, 48% of the asthmatics in their study underwent treatment with ICS before the FeNO measurement. As ICS affects FeNO levels in asthmatics, it may have affected the results. 26 In the present study, FeNO levels were significantly decreased after asthmatic treatment. When we evaluated the FeNO levels of asthmatics, the levels in asthmatics with and without anti-inflammatory treatment had to be recognized as heterogeneous data. Moreover, there was a significant positive correlation between ΔFeNO and longer (one longer allele of two) CCTTT microsatellite repeat count. From this result, we suspect that CCTTT repeat length might affect the change of FeNO levels in asthmatics. In the s/s genotype group, significantly fewer subjects revealed ‘high FeNO level’ (higher than 50 ppb) than in the L/s or L/L genotype group throughout the entire period. Thus, when we use the FeNO level as the control marker of asthma in addition to a diagnostic marker, we should consider the influence of NOS2A CCTTT repeat polymorphism.

In the sub-analysis of the present study, although a previous report suggested that the 14-repeat allele in the NOS2A promoter CCTTT repeat was inversely associated with atopy, 8 no significant difference in allele distribution for the 14-repeat allele was observed between non-atopic and atopic asthmatics (1 of 67 vs. 6 of 108; p = 0.260). However, while non-atopic asthmatics did not show a significant correlation between CCTTT repeat count and FeNO level before treatment, in atopic asthmatics, there was a significant positive correlation between longer CCTTT repeat count and FeNO level before treatment (r = 0.289, p = 0.029). From this result, we suspect that there is a possibility that FeNO levels in atopic asthmatics are more directly influenced by NOS2A promoter polymorphisms than FeNO levels in non-atopic asthmatics. Moreover, Pascual et al. reported a 15-repeat cut-off in nasal polyposis. 9 However, in the present study, we could not detect a significant difference in allele distribution for the 15-repeat allele between asthmatics with and without nasal polyps (1 of 12 alleles vs. 28 of 170 alleles; p = 0.694). Few asthmatics with nasal polyps were enrolled in this study, which may have affected the results.

While there were no significant differences in atopic status and serum total IgE levels between asthmatics in the s/s genotype group and the L/s or L/L genotype group, we cannot exclude the possibility that higher serum IgE levels affect FeNO levels in asthmatics. However, Batra et al. reported that the CCTTT promoter repeat was associated with serum total IgE levels in asthmatics. 11 In the present study, there was a significant positive correlation between serum house-dust specific IgE level and longer (CCTTT) repeat length. Xiong et al. reported the possibility that nitric oxide modulates the Th1/Th2 balance in NOS2A knockout mice. 27 They reported that NOS2 deficiency leads to a markedly enhanced production of IFN-γ, resulting in the Th1 dominant status. On the other hand, there is a possibility that high NOS2 activity, which down-regulates IFN-γ production, resulting in the Th2 dominant status and enhancing IgE production. Future studies are required to elucidate the direct relationship between NOS2A and IgE production in asthmatics.

In the present study, we analyzed seven SNPs that included low or no minor allele frequencies, and the minor alleles did not reveal any significant associations with FeNO levels before treatment in single-SNP analyses. However, there is a possibility that the relatively small sample size in the present study affected the result. The allele frequencies of these reported SNPs in Japanese asthmatics should be analyzed in future studies.

There are some limitations associated with our study. First, the number of subjects was relatively fewer than those in past reports on the relationships between iNOS promotor gene polymorphisms and FeNO. Due to the small sample size, we could not consider multiple logistic regression analyses or haplotype analyses of SNPs. However, we explored the weak, yet significant, positive correlation between FeNO levels before treatment (or maximum FeNO levels throughout the study periods) and NOS2A promoter CCTTT microsatellite repeat count. We could follow-up on the FeNO levels after asthmatic treatment, and evaluate the FeNO levels of asthmatics both before and after treatment. To our knowledge, this is the first study to attempt such evaluation. Second, the present study population may be atypical because of the rate of atopic status and disease severity. In this study, the reason for the smaller ratio of the atopic subjects may be due to most subjects (91%) having been categorized into adult onset asthma type.

In conclusion, the present study detected an association between NOS2A promoter polymorphisms and FeNO levels in Japanese asthmatics before the introduction of asthmatic treatment with ICS. To our knowledge, this is the first report to reveal a significant association between proximal NOS2A promoter (CCTTT) pentanucleotide microsatellite repeats and FeNO levels in asthmatics. In Japanese asthmatics with shorter NOS2A promoter CCTTT repeats, FeNO levels may not reflect the activation of eosinophilic airway inflammation. In future, by applying FeNO levels as a diagnostic or control tool for asthma, the association of FeNO levels with NOS2A promoter polymorphisms may provide important diagnostic information.

Conflict of interest

The authors have no conflict of interest to declare.

Authors' contributions

MM, JS contributed to conception and design of this study. SS, AF, JS, MU, YSu performed data collection. XW, SS, YSa, KM, TN, NF, YT conducted analysis and interpreted the results. SS, XW, MM prepared the manuscript.

Acknowledgments

The authors thank the study participants and Yasuko Sato at Central Clinical Laboratory, Fukushima Medical University Hospital for her technical assistance.

This study was supported by a grant from the Environmental Restoration and Conservation Agency of Japan.

References

  1. 1 S.A. Kharitonov, D. Yates, R.A. Robbins, R. Logan-Sinclair, E.A. Shinebourne, P.J. Barnes; Increased nitric oxide in exhaled air of asthmatic patients; Lancet, 343 (1994), pp. 133–135
  2. 2 A.C. Olin, A. Rosengren, D.S. Thelle, L. Lissner, K. Toren; Increased fraction of exhaled nitric oxide predicts new-onset wheeze in a general population; Am J Respir Crit Care Med, 181 (2010), pp. 324–327
  3. 3 J. Saito, K. Inoue, A. Sugawara, M. Yoshikawa, K. Watanabe, T. Ishida, et al.; Exhaled nitric oxide as a marker of airway inflammation for an epidemiologic study in schoolchildren; J Allergy Clin Immunol, 114 (2004), pp. 512–516
  4. 4 R.A. Dweik; Nitric oxide, hypoxia, and superoxide: the good, the bad, and the ugly!; Thorax, 60 (2005), pp. 265–267
  5. 5 C. Lane, D. Knight, S. Burgess, P. Franklin, F. Horak, J. Legg, et al.; Epithelial inducible nitric oxide synthase activity is the major determinant of nitric oxide concentration in exhaled breath; Thorax, 59 (2004), pp. 757–760
  6. 6 W. Xu, I.G. Charles, L. Liu, S. Moncada, P. Emson; Molecular cloning and structural organization of the human inducible nitric oxide synthase gene (NOS2); Biochem Biophys Res Commun, 219 (1996), pp. 784–788
  7. 7 T. Qidwai, F. Jamal; Inducible nitric oxide synthase (iNOS) gene polymorphism and disease prevalence; Scand J Immunol, 72 (2010), pp. 375–387
  8. 8 S. Konno, N. Hizawa, E. Yamaguchi, E. Jinushi, M. Nishimura; (CCTTT)n repeat polymorphism in the NOS2 gene promoter is associated with atopy; J Allergy Clin Immunol, 108 (2001), pp. 810–814
  9. 9 M. Pascual, C. Sanz, M. Isidoro-Garcia, I. Davila, E. Moreno, E. Laffond, et al.; (CCTTT)n polymorphism of NOS2A in nasal polyposis and asthma: a case-control study; J Investig Allergol Clin Immunol, 18 (2008), pp. 239–244
  10. 10 M.R. Hobbs, V. Udhayakumar, M.C. Levesque, J. Booth, J.M. Roberts, A.N. Tkachuk, et al.; A new NOS2 promoter polymorphism associated with increased nitric oxide production and protection from severe malaria in Tanzanian and Kenyan children; Lancet, 360 (2002), pp. 1468–1475
  11. 11 J. Batra, T. Pratap Singh, U. Mabalirajan, A. Sinha, R. Prasad, B. Ghosh; Association of inducible nitric oxide synthase with asthma severity, total serum immunoglobulin E and blood eosinophil levels; Thorax, 62 (2007), pp. 16–22
  12. 12 M.T. Salam, T.M. Bastain, E.B. Rappaport, T. Islam, K. Berhane, W.J. Gauderman, et al.; Genetic variations in nitric oxide synthase and arginase influence exhaled nitric oxide levels in children; Allergy, 66 (2011), pp. 412–419
  13. 13 S. Dahgam, F. Nyberg, L. Modig, A.T. Naluai, A.C. Olin; Single nucleotide polymorphisms in the NOS2 and NOS3 genes are associated with exhaled nitric oxide; J Med Genet, 49 (2012), pp. 200–205
  14. 14 Standards for the diagnosis and care of patients with chronic obstructive pulmonary disease (COPD) and asthma. This official statement of the American Thoracic Society was adopted by the ATS Board of Directors, November 1986; Am Rev Respir Dis, 136 (1987), pp. 225–244
  15. 15 R.A. Dweik, P.B. Boggs, S.C. Erzurum, C.G. Irvin, M.W. Leigh, J.O. Lundberg, et al.; An official ATS clinical practice guideline: interpretation of exhaled nitric oxide levels (FENO) for clinical applications; Am J Respir Crit Care Med, 184 (2011), pp. 602–615
  16. 16 J. Saito, A. Fukuhara, Y. Sato, S. Sato, K. Saito, N. Nakagawa, et al.; [Differences of fractional exhaled nitric oxide (FeNO) levels performed using two different analyzers]; Nihon Kokyuki Gakkai Zasshi, 48 (2010), pp. 17–22 (in Japanese)
  17. 17 S. Sato, J. Saito, Y. Sato, T. Ishii, W. Xintao, Y. Tanino, et al.; Clinical usefulness of fractional exhaled nitric oxide for diagnosing prolonged cough; Respir Med, 102 (2008), pp. 1452–1459
  18. 18 Standardization of spirometry, 1994 update. American Thoracic Society; Am J Respir Crit Care Med, 152 (1995), pp. 1107–1136
  19. 19 W. Xu, S. Humphries, M. Tomita, T. Okuyama, M. Matsuki, D. Burgner, et al.; Survey of the allelic frequency of a NOS2A promoter microsatellite in human populations: assessment of the NOS2A gene and predisposition to infectious disease; Nitric Oxide, 4 (2000), pp. 379–383
  20. 20 M.C. Levesque, M.R. Hobbs, N.M. Anstey, T.N. Vaughn, J.A. Chancellor, A. Pole, et al.; Nitric oxide synthase type 2 promoter polymorphisms, nitric oxide production, and disease severity in Tanzanian children with malaria; J Infect Dis, 180 (1999), pp. 1994–2002
  21. 21 D. Burgner, W. Xu, K. Rockett, M. Gravenor, I.G. Charles, A.V. Hill, et al.; Inducible nitric oxide synthase polymorphism and fatal cerebral malaria; Lancet, 352 (1998), pp. 1193–1194
  22. 22 D. Burgner, S. Usen, K. Rockett, M. Jallow, H. Ackerman, A. Cervino, et al.; Nucleotide and haplotypic diversity of the NOS2A promoter region and its relationship to cerebral malaria; Hum Genet, 112 (2003), pp. 379–386
  23. 23 D. Burgner, K. Rockett, H. Ackerman, J. Hull, S. Usen, M. Pinder, et al.; Haplotypic relationship between SNP and microsatellite markers at the NOS2A locus in two populations; Genes Immun, 4 (2003), pp. 506–514
  24. 24 S.V. Spitsin, H. Koprowski, F.H. Michaels; Characterization and functional analysis of the human inducible nitric oxide synthase gene promoter; Mol Med, 2 (1996), pp. 226–235
  25. 25 T.F. Leung, E.K. Liu, C.Y. Li, I.H. Chan, E. Yung, C.W. Lam, et al.; Lack of association between NOS2 pentanucleotide repeat polymorphism and asthma phenotypes or exhaled nitric oxide concentration; Pediatr Pulmonol, 41 (2006), pp. 649–655
  26. 26 S.A. Kharitonov, D.H. Yates, P.J. Barnes; Inhaled glucocorticoids decrease nitric oxide in exhaled air of asthmatic patients; Am J Respir Crit Care Med, 153 (1996), pp. 454–457
  27. 27 Y. Xiong, G. Karupiah, S.P. Hogan, P.S. Foster, A.J. Ramsay; Inhibition of allergic airway inflammation in mice lacking nitric oxide synthase 2; J Immunol, 162 (1999), pp. 445–452
Back to Top

Document information

Published on 05/04/17

Licence: Other

Document Score

0

Views 12
Recommendations 0

Share this document

claim authorship

Are you one of the authors of this document?