1 Introducción

El uso de materiales compuestos en la industria aeroespacial ha aumentado de forma progresiva desde los años 70 debido, principalmente, a la excelente combinación de propiedades mecánicas y baja densidad que proporcionan estos materiales. Tanto es así que, actualmente, algunos aviones comerciales incorporan estos materiales en más del 50% (en peso) de sus estructuras. Uno de los factores que impiden aumentar este porcentaje es poder asegurar la integridad estructural de las aeronaves, especialmente cuando son sometidas a estados de carga críticos como impactos. Este factor, además, impide optimizar las estructuras ya realizadas con estos materiales y ajustar los coeficientes de seguridad en la industria aeroespacial. Por ello, en los últimos años los esfuerzos en investigación se centran en medir y cuantificar la tolerancia al daño de estructuras de material compuesto y determinar si es posible aumentar su resistencia manteniendo el mismo peso.

En lo referente a impactos en materiales compuestos, éstos suelen dividirse en impactos de alta y baja velocidad. Si bien la frontera que divide ambos extremos es difusa, los factores que determinan el comportamiento en cada caso sí están claramente definidos. Olsson [1] clasificó los distintos tipos de impacto sobre placas de material compuesto en función del tiempo de duración del propio impacto y el tiempo de propagación de las ondas elásticas a través de la placa. De esta forma, un impacto con una duración muy pequeña, comparable al tiempo de propagación de las ondas a través del espesor de la placa, está dominado por la propagación tridimensional de las ondas producidas por el impacto. Este tipo de respuesta suele estar asociado con impactos balísticos que, generalmente, provocan daños fácilmente detectables. Para tiempos de impacto mayores, la respuesta del laminado está dominada por las ondas de flexión y cortante provocadas por el impacto. En la industria aeroespacial este tipo de comportamiento se asocia con impactos de fragmentos o granizo [2]. Por último, para impactos con una duración mucho mayor, la respuesta de una placa de material compuesto puede compararse con un ensayo cuasi-estático. Esto se debe a que la relación entre deflexión y carga es comparable a la de un caso estático. Tanto es así que, algunos autores han empleado ensayos cuasi-estáticos para analizar el comportamiento dinámico de placas de material compuesto sometidas a impactos de larga duración [3,4]. Este tipo de impactos se asocia comúnmente a la caída de herramientas pesadas a baja velocidad.

Los impactos de baja velocidad se caracterizan por provocar delaminaciones internas (no detectables por inspección visual) capaces de disminuir de forma drástica la resistencia del laminado. Este factor ha hecho que el estudio del comportamiento de laminados de material compuesto sometidos a impactos de baja velocidad sea de gran interés para determinar la pérdida de propiedades de las estructuras de material compuesto. Los primeros estudios se realizaron en los años 80, desarrollando la metodología a seguir para analizar este tipo de impactos [5]. Además, Caprino et al. [6] determinó la energía de impacto como parámetro de referencia para analizar los resultados. H. Zabala et al. [7] analizó el efecto de variar la velocidad en impactos equienergéticos concluyendo que, en rangos de energía en los que no se observa fallo de fibras, la magnitud del área delaminada sí depende de la velocidad del impacto. Por otro lado, J.A. Artero-Guerrero et al. [8] determinó que, en rangos de energía en los que se observa el fallo en fibras, la respuesta de laminados de tejido CFRP no se ve afectada por le velocidad en impactos equienergéticos.

En relación con optimización de propiedades, los estudios se centran en analizar los parámetros que afectan directamente al laminado o a su resistencia. Ramzi Othman et al. [9] estudió el efecto de la temperatura ambiental en la respuesta de laminados de CFRP ante impactos de baja velocidad, observando una disminución en los picos de fuerza, energía absorbida y propiedades residuales con el aumento de la temperatura. Por otro lado, los ensayos realizados Celal Evci [10] demostraron que el inicio y propagación de los distintos mecanismos de daño (delaminación, fallo de la matriz y fallo en fibras) están directamente relacionados con el espesor o número de láminas del laminado. Además constató que la fuerza máxima así como la energía absorbida aumentan a medida que se aumenta el número de láminas.

Uno de los parámetros más interesantes a la hora de modificar las propiedades en laminados de material compuesto es la secuencia de apilamiento. Esto se debe a la ventaja que supondría aumentar la capacidad de absorción de energía de un laminado sin necesidad de modificar el espesor del mismo. De esta forma podrían desarrollarse estructuras más seguras manteniendo el mismo peso. En este sentido, varios estudios [11,12]demuestran que aumentar la dispersión en la orientación de las láminas disminuye las propiedades residuales del laminado. No obstante, dado el carácter anisótropo de los laminados de CFRP, resulta interesante apilar láminas en distintas orientaciones. Por ello, uno de los parámetros más interesantes a estudiar en este sentido es el ply clustering. El ply clustering consiste en apilar de forma adyacente variar láminas con la misma orientación, disminuyendo el número de intercaras entre láminas con distinta dirección de apilamiento. E.V. González et al. [13] observó que el pico de fuerza previo al inicio de la delaminación y el pico de fuerza máximo registrados durante un impacto disminuye al aumentar el cluster del laminado. Además, observó un aumento en la duración del impacto así como una degradación más atenuada de la rigidez durante el proceso de impacto en los laminados con más cluster. Como resultado, concluyó que el ply clustering disminuye la resistencia al daño ante un impacto de baja velocidad. No obstante, no observó cambios significativos en la resistencia residual de los laminados una vez impactados. Por otro lado, el cluster puede emplearse para localizar los daños por delaminación en determinadas posiciones, o superficies de delaminación preferentes, y evitar su propagación en otras intercaras, aumentando la resistencia residual del laminado pese a disipar la misma energía durante el impacto [14].

En este trabajo se analiza la el comportamiento de laminados de tejido carbono/epoxi sometidos a impactos de baja velocidad. Este estudio pretende aclarar el efecto del ply clustering en estos laminados y cuantificar la energía mínima necesaria para perforar completamente cada uno de ellos. Para llevar a cabo este estudio, se han realizado ensayos de torre caída en tres laminados con distinto nivel de ply clustering. El análisis se ha realizado empleando la metodología propuesta por Feraboli y Kedward [14], conocida como Composite Structure Impact Performance Assesment Program (CSIPAP). Además, el proceso de impacto se ha estudiado empleando técnicas de correlación digital de imágenes en tres dimensiones (DIC-3D). Utilizando esta técnica ha sido posible analizar los desplazamientos fuera del plano del laminado y comprender mejor el comportamiento de cada uno. Además se han realizado ensayos CAI para evaluar la resistencia residual del laminado.

2 Materiales y ensayos

Los materiales empleados para realizar el estudio del efecto del ply-clustering han sido laminados de tejido carbono/epoxi fabricados en el Instituto Nacional de Técnica Aeroespacial (INTA). Las probetas de ensayo han sido fabricadas empleando láminas de tejido de fibras AS4 y matriz epoxi 8852, comercialmente conocidas como AGP250-5H, preimpregnadas y curadas en autoclave. Las dimensiones de las probetas de ensayo, siguiendo la norma ASTM D7136 [15] para ensayos de torre caída en materiales compuestos de matriz polimérica reforzados con fibras, son 100x150 $mm^2$.

Los laminados han sido fabricados con las secuencias de apilamiento mostradas en la Tabla 1. Todos ellos están formados por 16 láminas y por tanto 4.6mm, 8 de ellas con una orientación de 0/90o, paralelas a los bordes de las probetas, y 8 láminas a ±45o. Las secuencias de apilamiento se han seleccionado para aumentar de forma escalonada el número de láminas apiladas con la misma orientación, variando así el espesor del cluster en cada laminado y el número superficies de contacto entre láminas con distinta orientación o superficies de delaminación preferentes. De esta forma, en el laminado F hay un clúster de dos láminas orientadas a 0/90o en el centro de la probeta (debido a emplear un laminado simétrico) y catorce superficies de delaminación preferente. El laminado G, está compuesto por cuatro clúster de dos láminas orientadas a ±45o dos clúster de dos láminas orientadas a 0/90o, un clúster de cuatro láminas orientadas a 0/90o en el centro de la probeta y seis superficies de delaminación preferentes. Por último, el laminado H está formado por dos clúster de cuatro láminas orientadas a ±45o, un clúster de ocho láminas orientadas a 0/90o en el centro de la probeta y dos únicas superficies de delaminación preferente. Estas tres configuraciones representan tres niveles distintos de cluster, siendo la configuración F la de menor cluster y la configuración H la de mayor cluster.

Tabla 1 Laminados usados en los ensayos experimentales
Laminado Apilamiento
F [(+-45)/(0/90)]4S
G [(+-45)2/(0/90)2]2S
H [(+-45)4/(0/90)4]S


Experimentalmente, las probetas han sido sometidas a impactos de baja velocidad empleando una torre de caída INSTRON CEAST9350. Siguiendo la norma ASTM D7136 [15], las probetas han sido colocadas sobre una superficie rígida dejando un espacio libre de 75x125 mm2. En la torre de caída Los impactos han sido realizados dejando caer libremente, y de forma perpendicular a la probeta, un impactador semiesférico de 16 mm de diámetro. En estos ensayos, la masa del percutor se ha mantenido constante en 5.585 kg mientras que la velocidad de impacto se ha variado entre 1.89 y 5.01 m/s para obtener un rango de energías comprendido entre 10 J y 70 J. En este rango es posible analizar la evolución de los daños por delaminación y rotura de fibras desde su inicio hasta la perforación total del laminado. El sistema de adquisición de datos de la torre caída proporciona las curvas de fuerza, velocidad, desplazamiento y energía del percutor en función del tiempo, permitiendo analizar el proceso de impacto en términos de fuerza y energía disipada. Esta información ha permitido utilizar la metodología propuesta por Feraboli y Kedward [14] en la que se se establecen la fuerza máxima, energía de impacto y coeficiente de restitución (COR) como parámetros fundamentales para analizar los resultados experimentales. Finalmente los laminados han sido sometidos a una compresión después de impacto acorde a la normativa ASTM D7137 [16].

3 Análisis de impactos

3.1 Primer fallo

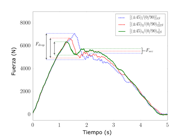
Uno de los principales mecanismos de fallo en laminados de CFRP es la delaminación. Este modo de fallo consiste en la separación de las láminas debido a la flexión del laminado. Por ello, suele ser el primer mecanismo de fallo en aparecer en un impacto de baja velocidad. En la Figura 1 se muestra la señal fuerza tiempo resultante de realizar un impacto a 10J en los laminados incluidos en el estudio. A esta energía, el principal mecanismo de fallo observado mediante inspección visual e inspección por ultrasonidos es la delaminación. El pico de fuerza registrado en estos ensayos representa la fuerza umbral o fuerza mínima necesaria para disminuir la rigidez del laminado. Como puede observarse en la Figura 1, el pico de fuerza del laminado con menor cluster (laminado F) es mayor que el del resto, seguido del laminado con un nivel intermedio de cluster. Interpretando esta gráfica puede concluirse que el inicio de la delaminación se adelanta a medida que aumenta el cluster. C.S. Lopez et al. [11] y T. A. Sebaey et al. [12] demostraron que la delaminación aparece de forma preferente en intercaras entre láminas con distinta orientación. De esta forma, el laminado con más cluster tiene dos únicas superficies de delaminación preferente, concentrando este modo de fallo en ellas. A medida que disminuye el cluster, el número de superficies preferentes de delaminación aumenta y los daños se reparten disminuyendo el área delaminada. Además, en la Figura 1 se observa como la caída de fuerza (Fdrop) es menor cuanto mayor es el cluster, indicando una menor disipación de energía. Al igual que el número de superficies de delaminación preferente explica el adelantamiento de la delaminación y la concentración de daños en puntos determinados, también explica que el la energía disipada sea menor cuantas menos intercaras se vean afectadas por la delaminación. Esta suposición se ve reforzada por el pico de fuerza registrado tras el inicio de la delaminación (Fsec). Este segundo pico de fuerza aumenta conforme aumenta el cluster, e indica una menor degradación de la rigidez del laminado.

Draft Compuestos 229146658-image5.png
Figura 1. Evolución temporal de la fuerza de impacto en un ensayo a 10J.

3.2 Evolución del daño

A medida que aumenta la energía de impacto, se propaga la delaminación y se inician otros mecanismos de fallo como la rotura de fibras. Para analizar de forma conjunta la iniciación y propagación de los distintos mecanismos de fallo, y estudiar la respuesta del laminado a medida que se deteriora la resistencia del mismo resulta interesante comparar todos los ensayos realizados. Esta comparación no es posible realizarla directamente con la señal de fuerza en función del tiempo obtenida de la torre caída, puesto que la velocidad de impacto y, por tanto, la velocidad de deformación del laminado son distintas. No obstante, teniendo en cuenta el carácter cuasi-estático de los ensayos a baja velocidad [1,3,4] es posible comparar las curvas fuerza-desplazamiento obtenidas en cada ensayo.

En la Figura 2 se muestran las curvas fuerza-desplazamiento, en particular la comparación de la media de los ensayos obtenida en cada secuencia de apilamiento. En esta figura se observa, al igual que en la Figura 1 un aumento progresivo de la fuerza hasta alcanzar un valor máximo que provoca el fallo inicial en el laminado. Un vez alcanzado este pico de fuerza, se produce una caída debida al inicio y propagación de la delaminación. Tras este punto, y a medida que aumenta el desplazamiento, los daños por delaminación y rotura de fibras se propagan de forma continua y la fuerza aumenta hasta alcanzar su valor máximo. Este valor se alcanza, en todas las configuraciones, entre 22J y 30J de energía de impacto. A partir de este punto se observan fisuras tanto en la superficie sobre la que se produce el impacto como en la cara contraria al mismo. Por el contrario, en los ensayos a energías menores únicamente se observaron fisuras en la cara opuesta a la superficie de impacto. Además, en los ensayos con energías de impacto mayores a 30J, comienza a apreciarse indentación en el punto de impacto. Estos factores sugieren que, a partir de 30J de energía de impacto, se producen fallos en las fibras de todas las láminas del laminado, explicando así por qué la fuerza disminuye a partir de este punto.

Hasta alcanzar los 30J de energía de impacto, las diferencias producidas por el efecto de clúster son claras: la fuerza disminuye conforme aumenta el clúster. Estos resultados concuerdan con estudios anteriores [13]. No obstante, a partir de este punto la tendencia entre las distintas configuraciones comienza a cambiar. En el laminado F (laminado con menor nivel de clúster), la fuerza comienza a disminuir de forma abrupta mientras que en los laminados G y H la fuerza disminuye de forma más progresiva. A partir de los 55J la tendencia se invierte, siendo el laminado con menor nivel de clúster (laminado F) el que menor fuerza registra, seguido por el laminado con mayor clúster (laminado H). En este punto también se observa un desplazamiento del percutor significativamente menor en el laminado con un nivel intermedio de clúster (laminado G), indicando una menor penetración del percutor en el laminado. A 60J las tendencias terminan de cambiar, siendo el laminado con mayor clúster (laminado H) el que mayor desplazamiento y mayor pico último de fuerza registra. Comparando los ensayos más próximos al punto de perforación de cada laminado (60J para el laminado F y 65J para los laminado G y H), se observa claramente cómo el desplazamiento último de percutor previo a la perforación aumenta conforme aumenta el clúster. Finalmente se puede comprobar que el clúster produce un retraso en la energía de perforación, y por tanto una mejora en la energía máxima disipada por el laminado.

Draft Compuestos 229146658-image7-c.png
Figura 2. Registro de fuerza desplazamientos para los imapctos de baja velocidad.

4 Análisis del daño

4.1 Energía disipada

Para completar el estudio del daño, es preciso analizar la energía disipada durante el proceso de impacto. Para ello se ha empleado el coeficiente de restitución (COR) propuesto por Feraboli y Kedward [14]. Este coeficiente relaciona la energía de impacto (Ei) con la energía disipada (Edis) de la siguiente forma: Failed to parse (MathML with SVG or PNG fallback (recommended for modern browsers and accessibility tools): Invalid response ("Math extension cannot connect to Restbase.") from server "https://mathoid.scipedia.com/localhost/v1/":): {\textstyle COR=\sqrt{\frac{{E}_{i}-{E}_{dis}}{{E}_{i}}}}


En esta fórmula, el valor del COR se reduce a medida que la diferencia entre energía de impacto y energía disipada disminuye. Al estar normalizado con la energía de impacto, los valores varían entre 1 y 0, indicando menor o mayor proximidad a la energía de perforación. Una vez alcanzado el punto de perforación, la energía disipara se mantiene constante mientras que la energía de impacto sigue aumentando, aumentando el valor del COR.

En la Figura 3 se muestran los resultados del COR representados frente a la energía de impacto. Tal y como se observa la disipación de energía del laminado H es algo menor que la del resto. Esta menor disipación de energía se debe a una menor propagación de daños por rotura de fibras. Analizando este punto puede establecerse que, en este caso, la propagación de los daños por delaminación en determinadas intercaras, retrasa el inicio de los daños por rotura de fibras. No obstante, entre 15J y 40J esta tendencia cambia, siendo el laminado H el que más energía disipa. Con esta información, es razonable pensar que el clúster favorece la propagación de fisuras internas, contribuyendo a reducir la fuerza de reacción durante el impacto (Figura 2). A partir de 40J el laminado F (laminado con menor clúster) comienza a disipar energía de forma más rápida conforme aumenta la energía de impacto, debido a una mayor penetración del percutor en el laminado, provocando el fallo de fibras por esfuerzos cortantes. A 60J se observa una gran diferencia en energía absorbida entre los laminados F, G y H, siendo el laminado con menor clúster (laminado F) el que más energía absorbe y el laminado con más clúster (laminado H) el que menos. A 65J el COR del laminado F vuelve a aumentar debido a la perforación. Además se aprecia un menor valor del COR en el laminado con un nivel de clúster intermedio (laminado G), indicando una mayor proximidad al punto de perforación.

Draft Compuestos 229146658-image9.png
Figura 3. COR frente a energía de impacto.

4.2 Compresión después de impacto

En la Figura 4 se incluyen los resultados de la resistencia residual después de impacto normalizados según su resistencia residual en el laminado sin impacto previo. Se puede observar que la reducción de la resistencia residual es más acusada en el laminado H (de mayor clúster). Como hemos observado antes en este laminado las delaminaciones son mayores que en los anteriores ya que se concentran en solo dos superficies preferentes. Esto provoca una mayor reducción de la resistencia residual del mismo frente a los otros casos.

Draft Compuestos 229146658-image10.png

.

Figura 4. Resistencia residual frente a energía de impacto.

5 Conclusiones

En el presente trabajo se ha realizado el estudio del efecto del “ply-clustering” en laminados de tejido de fibra de carbono sometidos a impactos de baja velocidad. Para ello, se han realizado ensayos en torre de caída sobre tres laminados con distintos niveles de clúster. Por último, se han realizado unos ensayos de compresión después de impacto.

Los datos obtenidos mediante el sistema de adquisición de datos de la torre de caída han permitido analizar las curvas fuerza-tiempo y fuerza-desplazamiento en cada impacto. Se ha comprobado que la iniciación y propagación de los daños por delaminación se ve favorecida al aumentar el clúster, debido a la reducción del número de superficies de delaminación preferente. Una vez iniciados los daños por delaminación y rotura de fibras, la propagación de los mismos se ve favorecida por el clúster, reduciendo la fuerza de contacto entre probeta e impactador. Una vez alcanzado el pico de fuerza máximo, se inicia la rotura de fibras en el punto de impacto causada por esfuerzos cortantes a través del espesor. Estos daños provocan una degradación acelerada de las propiedades mecánicas del laminado debido a la penetración del percutor. Analizando las curvas fuerza-desplazamiento, obtenidas en impactos a energías cercanas a la perforación, se ha comprobado que la propagación de los daños por cortante se produce de forma más paulatina a medida que aumenta el cluster en el laminado.

El análisis del COR ha permitido interpretar de forma más eficiente los datos de la energía disipada en cada impacto. Hasta alcanzar los 40J de energía de impacto, los resultados muestran una mayor disipación de energía y un aumento en la degradación del laminado conforme aumenta el nivel de clúster. Esto ha sido observado también en los ensayos de resistencia residual de compresión después de impacto. Estos resultados están en consonancia con otros estudios realizados sobre el efecto del ply-clustering [13], en los que se demuestra que la reducción del número de superficies de delaminación preferentes disminuye la capacidad de disipación de energía del laminado. No obstante, se ha podido demostrar que, por el contrario, en rangos de energía cercanos al punto de perforación, el clúster aumenta la tolerancia al daño por cortante, aumentando de esta forma la capacidad de disipación máxima de energía del laminado.

Agradecimientos

Esta investigación ha sido realizado gracias al apoyo financiero del Ministerio de Economía y Competitividad bajo los proyectos DPI2017-85073-R y DPI2013-41094-R y el vicerrectorado de Política Científica (Proyecto 2014/00006/002 y 2013/00413/003)

Referencias

[1] R. Olsson. Mass criterion for wave controlled impact response of composite plates. Composites Part A: Applied Science and Manufacturing, 31(8):879–887, 2000.

[2] J. Pernas-Sánchez, J. A. Artero-Guerrero, D. Varas, and J. LópezPuente. Experimental analysis of ice sphere impacts on unidirectional carbon/epoxy laminates. International Journal of Impact Engineering, 96:1–10, 2016.

[3] A. Wagih, P. Maimí, N. Blanco, and J. Costa. A quasi-static

indentation test to elucidate the sequence of damage events in low velocity impacts on composite laminates. Composites Part A: Applied Science and Manufacturing, 82:180–189, 2016.

[4] L. S. Sutherland and C. Guedes Soares. The use of quasi-static testing to obtainthelow-velocityimpactdamageresistanceofmarineGRPlaminates. Composites Part B: Engineering, 43(3):1459–1467, 2012.

[5] Cantwell W and Morton J. Comparison of the low and high velocity impact response of cfrp. Composites, 20:545–551, 1989.

[6] G. Caprino, I.C. Visconti, and A.D. Ilio. Composite materials response under low-velocity impact. Compos Struct, 2:261–271, 1984.

[7] H. Zabala, L. Aretxabaleta, G. Castillo, J. Urien, and J. Aurrekoetxea. Impact velocity effect on the delamination of woven carbon-epoxy plates subjectedtolow-velocityequienergeticimpactloads. CompositesScience and Technology, 94:48–53, 2014.

[8] J. A. Artero-Guerrero, J. Pernas-Sánchez, J. López-Puente, and D. Varas. Experimentalstudyoftheimpactormasseffectonthelowvelocityimpact of carbon/epoxy woven laminates. Composite Structures, 133:774–781, 2015.

[9] U. A. Khashaba and Ramzi Othman. Low-velocity impact of woven CFRE composites under different temperature levels. International Journal of Impact Engineering, 108:191–204, 2017.

[10] Celal Evci. Thickness-dependent energy dissipation characteristics of laminated composites subjected to low velocity impact. Composite Structures, 133:508–521, 2015.

[11] C. S. Lopes, O. Seresta, Y. Coquet, Z. Gürdal, P. P. Camanho, and B. Thuis. Low-velocity impact damage on dispersed stacking sequence laminates. Part I: Experiments. Composites Science and Technology, 69(7-8):926–936, 2009.

[12] T. A. Sebaey, E. V. González, C. S. Lopes, N. Blanco, P. Maimí, and J. Costa. Damage resistance and damage tolerance of dispersed CFRP laminates: Effect of the mismatch angle between plies. Composite Structures, 101:255–264, 2013.

[13]E.V.González, P.Maimí, P.P.Camanho, C.S.Lopes,and N.Blanco. Effects of ply clustering in laminated composite plates under low-velocity impact loading. Composites Science and Technology, 71(6):805–817, 2011.

[14] Paolo Feraboli and Keith T. Kedward. A new composite structure impact performance assessment program. Composites Science and Technology, 66(10):1336–1347, 2006.

[15] American Society for Testing Materials. Standard test method for measuring the damage resistance of a fiber-reinforced polymer matrix composite to a drop-weight impact event. ASTM-D7136, 2007

[16] American Society for Testing Materials.Standard Test Method for Compressive Residual Strength Properties of Damaged Polymer Matrix Composite Plates. ASTM-D7137, 2017

Back to Top

Document information

Published on 13/07/22
Accepted on 13/07/22
Submitted on 13/07/22

Volume 04 - Comunicaciones Matcomp19 (2020), Issue Núm. 4 - Aplicaciones de los materiales compuestos. Nuevos procesos de fabricación y materiales compuestos avanzados., 2022
DOI: 10.23967/r.matcomp.2022.07.030
Licence: Other

Document Score

0

Views 8
Recommendations 0

Share this document

claim authorship

Are you one of the authors of this document?