Civil Engineering as a discipline was introduced in the middle of the 18th century at the “École Nationale des Ponts et Chaussées” in Paris, aimed at instructing technicians capable of designing, constructing and maintaining public works (such as roads, railways, bridges or dams). Since its creation, the Civil Engineering profession has become one of the most prestigious and socially admired, which has resulted in a high demand for these degrees. This demand has contributed to the proliferation of Civil Engineering Schools worldwide. For example, in Spain the number of Civil Engineering Masters programs increased from only four in the 1970s to seventeen in 2013 [1]. Throughout this time social, technological, legal and economic changes have required Civil Engineering schools to address numerous challenges, such as the computer revolution [2], international regulations, or codes proliferation [3-4]. Due to the world globalization which has occurred in the last decade, the language has become a major challenge in Civil Engineering.
As with most university degrees, Civil Engineering education has been mainly taught in the local language. This is the case of Spain, where nowadays the predominant instruction language is still Spanish. The use of this language might be explained by the following: (1) Historical protectionism of Spanish in society at a national level. In fact, unlike other European countries such as Sweden or Norway, foreign movies and television programs are still systematically translated into Spanish. This protectionism has shrunk the curiosity of the citizens of this country towards other languages. (2) Historically low unemployment rate among Spanish Civil Engineering professionals that allowed them to develop their professional careers in Spain, making the learning of a second language non-essential. (3) Reticence of students of technical degrees to be evaluated in a foreign language. Until recently, the academic offer in foreign languages was based on some isolated and non-compulsory subjects.
In the last decade, the instruction language in European Civil Engineering schools was significantly influenced by the following events: (1) Economic crisis: Civil Engineering projects are strongly dependent on public investment. This characteristic is especially problematic in times of recession in a region or a country. In order to minimize the effects of this dependency, many Civil Engineering companies have evolved into a more global or international approach with international teams working abroad [5-6]. This restructuring of Civil Engineering companies has transformed the employees’ language into an important asset, as they need to adapt their working language to that of the project and the stakeholder’s location. This change is clearly illustrated in most Spanish companies, as they no longer do all their projects in Spanish. In fact, as their production abroad increases so does the number of projects and technical assistance services in other languages. This fact significantly increases the demand for Civil Engineers who can communicate efficiently in these languages. To produce competitive engineers in the current context, Civil Engineering schools must focus not only on the technical concepts, but also on the instruction language, and student should learn this new skill deeply. It is well known that hands-on training and problem-based learning (PBL) have a history of producing strong educational results in engineering [7]. This language is traditionally English due to its recognized popularity in all scientific fields worldwide. (2) Adaptation to the European Higher Education Area (EHEA) [8] to attain more homogenous European degrees. This standardization eased the students’ mobility and increased the demand for English subjects. In fact, the number of English subjects in Spanish Civil Engineering schools has increased dramatically. Furthermore, in some schools bilingual studies (Spanish-English) or even English-only studies are already offered.
The urgent internationalization of students and future professionals demanded by the current labour market has contributed to the increase in the students’ willingness to study in English as they are becoming more aware of its importance for their future careers. In the literature, a number of works have been presented investigating the technical vocabulary (see e.g. [9-10]) and to develop the language skills of the students (see e.g. [11-12]). A clear example of the growing interest of students in English language refers to the number of applications to participate in exchange programs with foreign institutions (such as Erasmus +) as it increases yearly in practically all Civil Engineering studies. However, students still maintain a certain reluctance to enrol in an engineering course taught in English because it can become a challenging obstacle if they do not possess an adequate language level. This disjunctive makes students face an important dilemma. On the one hand, they are aware of the importance of learning in English and they want to make the effort to study the course in this language. On the other hand, they do not dare to take the course in English because they do not know if they will be able to follow it with their current knowledge. Because of this dilemma, Civil Engineering schools in non-English speaking countries have chosen different strategies for their instruction language. Proposals to ensure the level are few and diverse. These strategies depend greatly on the educational stage. On the one hand, BSc Civil Engineering education is mostly taught in the mother language (this is the case of most studies in Spain, Germany, Italy or France). In these cases, the educational approach focuses only on the content with hardly any emphasis on language or solving language-related affairs [13-15]. For example, the Bachelor of Civil Engineering at the University of Castilla-La Mancha is taught completely in Spanish. Exceptions to the use of the mother tongue as an instruction language can be found in Eastern-European universities (e.g. Polyethnic University of Bucharest or University of Warsaw), where the study programmes are offered completely in English. A different scenario can be found in MSc Civil Engineering level. This is illustrated in Figure 1, where the ratio of English courses in the most representative Civil Engineering schools of several countries (Spain, Germany, Italy, France, Belgium, Romania, Poland and Sweden) are compared. This figure also includes the information from the school of the University of Castilla la Mancha outlined in this paper. The analysis of this figure shows that the schools in Sweden and Poland offer these studies totally in English. On the contrary, schools in the other countries tend to maintain the mother tongue in most of their Masters programmes, although English has a higher presence than in their undergraduate studies, with percentages that can reach up to 40%. In the case of the Masters at the University of Castilla-La Mancha, the current ratio is 50% but it will be increased up to 85% next year. The differences between the instruction language throughout the different instructional stages highlights the need for a soft transition from an education in the mother tongue to an education in English, which, in most cases, takes place with entry into the Masters studies.
Figure 1: Percentage of MSc Civil Engineering-related programmes taught in English in selected universities* and in University of Castilla-La Mancha
*Three universities have been chosen in each country according to international rankings (e.g. QS, NTU, and Shanghai). The number of enrolled students has been considered for selection in those countries less represented in the aforementioned rankings (e.g. Romania).
The main problem of increasing the offer of English courses is due to the students’ lack of an adequate language level. In order to ensure an adequate knowledge of English, universities might require their students to certificate their competence in this language. In fact, a number of universities require a certain English certification either to obtain the Bachelor´s Degree or to enter into the Masters studies. Examples of these language restrictions can be found in the University of Castilla-La Mancha (UCLM) which requires the B1 certificate to finish the degree in Civil Engineering or in the Polytechnic University of Catalonia (UPC) which requires the B2 certificate to enter into the Masters of Civil Engineering. In order to improve language competence, some universities offer specialized activities to help international students with technical engineering concepts in English. For example, the Institution of Civil Engineers in the UK holds “Lunch and Learn webinars” [16] of 30-45 minutes on current Civil Engineering topics, focused on “continuing professional development” for professionals. The London School of Economics celebrates “Lunchtime Lectures” [17] covering political, economic, financial, legal and social issues. Brown University in the US offers weekly workshops and “brown bag” conversation “Seminars for English Language Learners”, [18] where student-selected news articles trigger discussions about US culture, idiomatic language and vocabulary. These seminars are offered during lunchtime and food and refreshments are provided by the university. Other universities (e.g. the Polytechnic University of Valencia, UPV, in Spain or the Royal Institute of Technology. KTH, in Sweden) offer a course targeting English for Specific Purposes (“Technical English”), where students develop complementary English competences for their future professional profile. This course usually develops students’ writing skills (they must learn technical vocabulary and write technical reports), listening skills (courses are given in English and technical videos in this language are also used), and reading skills (they are asked to read both technical documents and reports). Some of the problems with these courses are as follows: (1) Speaking skills are rarely addressed. Because of the high demand for these courses, classes are traditionally based on the blackboard driven methodology. This approach is complemented with assignments, where the student is tasked to read, listen to or write some material, although, in some cases, students need to pass oral exams, the truth is that they rarely have the opportunity to develop their speaking skills under proper supervision in class. This fact significantly reduces the ability of students to properly communicate and therefore of being competitive in the current work market. (2) Professors are language specialists instead of Civil Engineers: Because of their background, professors put a lot of effort into the language. For example, a list of words including pictures, translations and definitions is usually provided to teach the technical vocabulary. Nevertheless, this language background complicates the establishment of deep conversations about the technical meaning of the vocabulary from an engineering perspective. This fact reduces the chances of the students to develop the skills that they will need to communicate with other technicians in their future jobs. Aware of the importance of developing their students’ communication skills, other universities (such as the Nanyang Technological University [19]) have designed courses based on the role playing of real issues and problems, simulating stressful situations from the real world.
In this sense, communication in this new globalized era is paramount and hence, English listening, speaking, and conversation skills should be strengthened in the curriculum of (Spanish) Civil Engineering studies. This fact represents one of the gaps between the Civil Engineering curriculum and the non-technical skills required by firms. To fill these gaps, this paper proposes an innovative training activity called “Lunch&Movies”. This activity is based on an informal way of learning that allows students to develop English skills that can rarely be worked on in the classroom (i.e. speaking and conversing), encouraging debate and participation and fostering their self-confidence to speak about technical topics in public in English. To illustrate the application of the method, the pilot implementation of this activity at the Civil Engineering School, UCLM, (Spain) is presented. Although the paper is based on a local analysis of this experience, it can certainly be extended to other education fields and countries lacking in communicative English skills.
The paper is structured as follows: In section 2 the UCLM School of Civil Engineering and its education in English are reviewed. In Section 3 the proposed activity, “Lunch&Movies”, in Civil Engineering education is described. Section 4 shows the surveys conducted prior to, during, and after the activity to evaluate its interest and impact. Section 5 tracks the academic performance of the students who participated in the proposed activity in a control subject. Section 6 proposes recommendations to adapt the proposed activity to other areas. Finally, in Section 7, some conclusions are drawn.
The Civil Engineering School of the University of Castilla-La Mancha, UCLM, was created in 1998. Since its origins, this school has striven to be a high-quality academic institution with teaching methodologies and specialization approaches different from the existing schools (Ureña, 1998). In this respect, the resulting school is characterized by (1) admitting a small number of students (50 each year), (2) an intense monitoring of student progress (with a student/faculty ratio of 6.5), (3) a special focus on topics relevant to the future, to which Spanish Civil Engineering education had traditionally paid less attention (i.e. heritage conservation and rehabilitation or the environmental and spatial aspects of Civil Engineering), and (4) the adoption of an alternative and innovative teaching method (Project Based Learning, PBL) (see e.g. [21]).
There is no doubt that this latest aspect was the most important differentiating feature for the UCLM School of Civil Engineering. The PBL method was first used at McMaster University Medical School in the early 1970s, and was successively used by other universities such as Aalborg University [22]. In this methodology, students get involved in the resolution of several real Civil Engineering projects in different fields during their studies. These projects, based on challenging questions or problems, involve students in design, problem solving, decision-making, or researching activities and give them the opportunity to work in a relatively autonomous way over extended periods, culminating in realistic products or presentations [23].
The adoption of this methodology made it possible for the UCLM School of Civil Engineering to instruct competitive professionals with a complete traditional Civil Engineering education. In addition, it also trained nontechnical skills that were required by firms, such as management, communication, critical thinking, teamwork, leadership, and innovative and entrepreneurial ability [24-31].
The UCLM School of Civil Engineering offers an undergraduate degree in Civil and Territorial Engineering and a Master’s degree in Civil Engineering. The undergraduate degree is taught completely in Spanish but 50% of the courses are “English friendly”1, and it is developed over a span of 4 years; the first two years are common and, from the third year, a specialization in Transport and Territory or in Hydrology must be chosen. The Master’s degree offers the professional attributions of the Civil Engineer in Spain. It is a bilingual Masters (60% of the courses are taught in Spanish and 40% in English), and a B1 level in English is required for admission. Both degrees implement the PBL methodology, but the Master’s degree adds (1) project management skills, (2) research and innovation in Civil Engineering seminars, and (3) fieldwork or internships in Civil Engineering firms, governmental or educational institutions.
Despite the student’s acceptance of a course in Technical English in their respective universities, the UCLM School of Civil Engineering does not have one. This fact significantly disturbs the students’ technical English education and makes them less competitive in the current labour market. Aware of this problem, and taking advantage of the effort being made by the Vice Chancellor of International Relations in its commitment to internationalization, the UCLM School of Civil Engineering has outlined a strategy to improve the competitiveness of the students at an international level, gradually promoting and introducing the use of English in its academic offer. This strategy includes the following actions: (1) improving the students’ self-confidence so that they can successfully face courses in English; (2) developing the students’ communicative skills in English (this is key to the school as it uses a project-based learning methodology); (3) encouraging critical thinking, discussion, and participation among students; (4) increasing the number of courses taught in English; (5) creating a “Technical English” course; and (6) promoting the creation of new ERASMUS agreements and double degrees with foreign universities.
The first step to responding to these actions is the “Lunch&Movies” proposed below.
(1) The UCLM “English-Friendly” initiative provides some of the class materials in English, offer the opportunity to take tests and exams in English, and attend office hours in this foreign language. This initiative is voluntary for the teaching staff and favors the arrival of international students and the departure of local students for study abroad exchange programs.
As has previously been explained, the purpose of this project is to develop students’ communicative skills (both listening and speaking) in English, encouraging discussion and participation, and increasing their confidence to speak English in public. For this reason, it is proposed as an entertaining and fun learning activity outside of the classroom and away from regular evaluation systems through voluntary training activities in sessions called “Lunch&Movies”. These sessions were carried out during lunchtime (the school provides the food) with an average duration of 75 minutes and were held throughout the 2015-2016 and 2016-2017 academic years.
In order to organize the sessions, the lecturers that are involved in the activity meet at the beginning of each semester. Then, they decide the dates for developing the different sessions (usually once a month). The schedule is defined taking into consideration the students’ availability and checking the different course timetables and exams that are planned to date.
Each lecturer has to prepare a session that deals with a topic that is normally related to their research field: urban planning, transportation, hydraulics, geotechnics, environment, technical drawing, and materials and structures (see Table 1, where the main characteristics of the videos are reported together with the attendance of students and lecturers). The organization of the sessions consists of searching for a video of about 20-40 minutes in length and preparing a “screening guide” with key technical vocabulary that is used in the recording (including opaque words as described by Watson Todd [32]) and around ten related questions for debate. Other alternatives to teach language skills used in the literature include role playing [33-35].
One week before each session, the activity is announced on the social networks and other platforms that are available in the school. An inscription survey is attached to this announcement that gives an estimate for the quantity of food that will need to be provided during the screening and offers a self-reported English level of the students.
The “Lunch&Movies” on Technical Civil Engineering activity has two clearly differentiated parts. During the first half of the session, attendees watch the video in English that has been chosen by the professor in charge. In the second half of the session, students are divided into groups of 3-4 people led by one or two lecturers to have a debate about the viewed video. It is important to note that the groups are defined at the beginning of the session according to the information compiled in the inscription survey, so that the members of each group have a similar level of English. Under the guidance of the assigned lecturer, students first identify the meanings of different English technical terms that appeared during the screening, followed by a debate about some issues related to the video. It has been proven that added exposure to terminology in different contexts, even when brief, contributes to learning even if the media are associated with different languages [36]. At the end of each session, a leader from each group is responsible for presenting their main conclusions to the rest of the participants.
| Area | Topic | Duration of the video (min) | Students | Lecturers | |
| 1 | Structural engineering | M. Garlock (Princeton University) at Conference of IABSE in Madrid 2014 | 23:11 | 41 | 11 |
| 2 | Urban planning | Do our cities still work? Our Canada documentary | 19:29 | 34 | 12 |
| 3 | Hydrogeology | Depleting the water: California’s groundwater crisis | 13:45 | 24 | 8 |
| 4 | Innovation | Robotics in engineering
TED-TALK: Robots that fly... and cooperate |
16:40 | 14 | 8 |
| 5 | Construction | Civil Engineering catastrophes | 19:39 | 15 | 11 |
| 6 | Hydraulics | NGC: Holland’s barriers to the sea | 20:14 | 6 | 8 |
| 7 | Structural engineering | NGC: The Oresund bridge | 18:48 | 9 | 5 |
| 8 | Construction | The big challenge: Construction of the Kennedy Space Complex | 24:00 | 20 | 10 |
| 9 | Transportation | How to manage a container terminal in a port | 30:10 | 22 | 8 |
| 10 | Hydrology | Floods: challenging our future #1 | 18:40 | 14 | 4 |
| 11 | Hydrology | Floods: challenging our future #2 | 21:30 | 20 | 10 |
In order to improve the learning process, students receive feedback on their speaking exercise during the debate as it is a key aspect if we are committed to improving students’ English skills [37-38]. After the sessions, students complete an online survey about what they have learnt and about the usefulness of the sessions. This evaluation may also be supplemented with pre-and post-participation level tests aiming to form groups composed of lecturers and students with a similar level of English, regardless of the academic year in which they are enrolled. Although students are not required to have a minimum level of English, lecturers are required to have at least a B2 level. In so doing, the project achieves three paramount objectives: firstly, students feel more comfortable and get over their shyness about speaking English in public; secondly, students from different years and degrees (undergraduate and Masters) get to know each other; and thirdly, it fosters collaboration between lecturers and students.
This project aims to develop and hone the different English skills related to the learning and improvement of a foreign language for Spanish Civil Engineering students:
In order to evaluate different aspects of the proposed activity (such as the activity interest, the participants’ satisfaction or the activity’s impact), a set of surveys were conducted and are analyzed in the following section.
Throughout the different stages of the project the following three surveys were conducted in the Civil Engineering School of UCLM: (1) Language preferences. This survey aimed at discovering the student’s preferences for their instruction language as well as their perception of the importance of English skills in their future careers. This survey was conducted among all school students before the realization of the proposed activity to justify its interest. (2) “Lunch&Movies” participants’ satisfaction: A satisfaction survey was delivered after each “Lunch&Movies” session. The analysis of this data enabled the detection and correction of problems for the following sessions as well as identifying whether or not the session fulfilled their expectations. (3) “Lunch&Movies” influence: the students’ perception was elaborated to check in what sense the sessions had helped them in better facing technical concepts in English in their courses, or outside the classroom in their personal life.
4.1- Survey 1: Language preference
In order to assess the students’ preferences of the lecture language at the UCLM School of Civil Engineering a survey was conducted in 2013, which was answered by 85% of the students enrolled at the school (135 students), showing the high interest in this issue. General results showed that (1) students agreed on the importance of technical English for their future career; (2) the students’ level of English was far from that required by other Spanish schools of Civil Engineering; (3) students had a lack of English skills that are difficult to train in regular courses (i.e. speaking) and would require complementary activities in order to develop these skills.
Both the questions and the proposed answers are summarized in Table 2. The questions are clustered in the three following blocks: English level, English understanding and Language preference.
Table 2. Language preference survey at the UCLM School of Civil Engineering
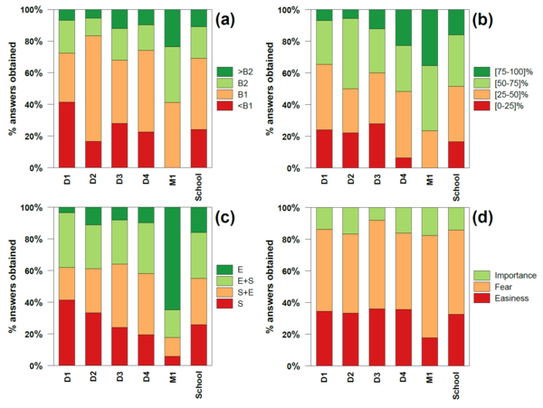
The answers to each of the four questions are summarized in Figures 2a-d. Each of these figures includes the results obtained for each of the courses of the undergraduate degree (D1 to D4), the first year of the Master’s degree (M1), and the school’s average.
Figure 2. Results of the language preference survey. a) Level of English. b) Percentage of understanding lectures in English. c) Preferences of course language, E: English, E+S: English with Spanish keywords, S+E: Spanish with English keywords, S: Spanish. d) Reason for preferring Spanish lectures. Results correspond to the first to fourth undergraduate degree courses (D1 to D4), first year of the master degree (M1), and the School’s average.
Figure 2a shows that the students’ level of English is, on average, B1 or lower. The course with the highest level is clearly M1, which is explained by the fact that a B1 certificate is required in the Master’s admission process. Regarding the school’s average, a level of English higher than B2 is only obtained by 11% of the students. As presented in Figure 2b, most of the students would understand less than 50% of a lecture in English. Again, there are big differences between the results from the degree courses and the Masters course, with the latter showing a significantly higher understanding. This issue might be explained by the fact that, unlike the degree, the Masters has a bilingual character and includes courses in English. Figure 2c illustrates how the students clearly change their language preference throughout their undergraduate studies, preferring Spanish lectures at the beginning and successively shifting towards “Spanish with English Keywords” towards the end. Then, Masters students prefer English lectures. Consequently, these results show that throughout their studies students become more interested and aware of the importance of learning technical English for their professional careers. The school’s average shows almost the same preferences for the four possible language options. Finally, Figure 2d shows that the main reason for preferring lectures in Spanish is the “fear of not being able to follow courses in English”, with the second being the easiness of studying in their mother tongue.
Before each session participants were required to register in order to efficiently organize the discussion groups according to language level. These records offer some interesting information. The registration form contains fields for name, email address, year, and self-reported English level measured in a range from 1 to 10. Although the final attendees do not match perfectly with the students registered initially, the registration records are statistically representative. For example, most of the registered students report an English level ranging from 5 to 7 (Figure 3a), which matches the results shown in Figure 2a, where the level of English is B1 or lower for two thirds of the students.
Attendance was also assessed in order to measure the students’ interest in the activity. Although most of the registered students participated three times or less (Figure 3b), there was a group of active, consistent attendees. In addition, it must be taken into account that the activity was developed over two academic years, and some of the participants had completed their studies and left the school. This can be seen in Figure 3c, where almost 60% of the attendees were either Masters students or final year undergraduate students.
Figure 3. Results of the analysis of the registration records. a) Distribution of the self-reported English level. b) Distribution of the number of attended sessions. c) Distribution of attendees by year (results correspond to the first to fourth undergraduate degree courses (D1 to D4), first to second year of the master degree (M1 and M2), and other situations (alumni, external, or supporters).
Finally, the self-perception of the English proficiency is crucial in this activity as it helps to assess whether their English proficiency level improves, remains the same, or even worsens. Although most students were consistent about the level of English they assigned to themselves, some of them changed the values as the sessions progressed. Figure 4 shows the declared English level in the ith session plotted against the value declared in (i + 1)th session. Points outside the diagonal (marked with a dashed line) are changes in the self-perception, showing more points on the upper side of the line than on the lower side. Overall, the level declared in an ith session is improved in the following session rather than worsened, probably triggered by the previous experience of video screening and group discussion.
Figure 4. Changes in perception of the self-reported English proficiency level.
In addition, shortly after sessions 1, 2, 3 (season 1, 2015), 8 and 10 (season 2, 2016) a survey was distributed among the participating students, usually within a day, to evaluate their satisfaction with the session. The survey requested them to rate their answers to several questions on a five-point Likert scale (1 – not at all, 2 – not really, 3 – neutral, 4 – somewhat, 5 – very much). Likert scale surveys can be helpful to evaluate students’ attitudes [40]. The questions were grouped into three blocks, which evaluated the first part of the session played (three questions), the discussion session (four questions), and the overall satisfaction (one question) (see Table 3).
Table 3. Satisfaction survey for the preceding “Lunch&Movies” session
On average, around 40% of the participants replied to the satisfaction survey after the sessions. Figure 5 represents the percentage of answers received in each of the 5 points of the scale. The percentages are plotted using diverging stacked bars [41]. The positive categories (“very much” and “somewhat”) are represented in positive percentages, while the negative categories (“not really” and “not at all”) are represented in negative percentages. The neutral category splits in half into positive and negative percentages. This provides a baseline of zero to compare results, in this case for different questions (Figure 5a) and in different sessions (Figure 5b).
Figure 5. Students’ answers to the Satisfaction survey questions in Table 3. a) Results obtained for each question for all the five analysed sessions. b) Overall satisfaction (question Q3) for each session.
Figure 5a shows the results obtained for each question for all five of the analysed sessions. We can observe that the results are mostly positive, with very few negative answers. The positive answers are more numerous than neutral and negative answers combined in all questions but one, question Q1b, which obtains more responses in the neutral category. This question assesses how easy to follow the video was, showing the difficulties students may face when listening to or watching videos in English and thus with their listening comprehension skills in English, especially regarding technical concepts in Civil Engineering. This fact would reinforce the motivation for holding these sessions, as it is necessary to be exposed to different accents that could be encountered in their professional careers when working with people of different nationalities [42]. However, their usefulness could also be hindered by this difficulty, so English subtitles were displayed during the video screening where possible to avoid this problem.
The question with the highest percentage of positive answers and no negative answers was question Q3 (Figure 5b), which evaluates the overall satisfaction with the session, showing the acceptance of this extracurricular activity. We can observe that the total percentage of positive answers is always large and does not oscillate much from session to session (between 87.5% and 100%). Consequently, the results show very high satisfaction on the part of the students with this innovative experience.
Finally, in order to evaluate the perception of the students on the usefulness of the experience, a new survey was conducted in March 2017 based on several keywords. The proposed questions, and the keywords they were based on, are summarized in Table 4. In this survey the students had to state the number of sessions they had attended (out of a total of 11) and rate their answers on a five-point Likert scale (1 – not at all, 2 – not really, 3 – neutral, 4 – somewhat, 5 – very much).
Table 4. Survey of the fruitfulness of the activity
The answers to the first four questions are summarized in Figure 6. Over 70% of the answers reported the effectiveness of the activity in terms of motivation, confidence, and self-reported English level, proving the benefit of the activity. However, this trend is more heterogeneous regarding the proposal of a medium or long-term stay/job abroad. This fact is influenced by other external factors (i.e. culture, family, education, etc.), but other activities might be undertaken at the school in order to improve this result (i.e. role-playing activities, more engineering courses in English, fostering the students’ educational mobility in study abroad exchange programs, etc).
As for the benefit of the activity for students taking further courses in English there are no clear conclusions (see Figure 6). The results could be related to their initial level of English: those with a lower level may have increased their level of understanding and those who reported a higher level would not necessarily need the activity in order to take further courses. In the end, the proposed activity is not a regular English teaching course since the main aim is in providing communicative skills in English technical concepts, which might not be necessary to continue on with a regular engineering course. This possible explanation could be partly related to the results in Figure 4 where a comparison is made between the self-perception level in consecutive sessions. In Figure 4, those who reported initial levels below 5 always increased their level in the following sessions, while those who reported initial levels above 5 have no clear trend. In order to better understand this issue, more information about the level of English of the respondents is needed so that some correlation could be established between the English level and the fruitfulness of the activity in relation to the courses.
In this section, the academic performance of the “Lunch&Movies” participants is evaluated. To do so, firstly their participation in international programs such as the Erasmus + or Texas A&M specialization course at UCLM is analysed. Secondly, the grades of these students in a pilot subject are studied.
The participation in international programs of the Degree and Masters students of Civil Engineering is illustrated in Figures 7 and 8, showing the participation of the students (M: Masters, D: Degree, M+L&M: Students from Masters taking part in the “Lunch&Movies” and D+L&M: idem with degree students) in two international programs. The first figure (Figure 7) studies the Erasmus + program for exchange students in Europe, while the second one (Figure 8) shows the results of the study abroad program with Texas A&M University at UCLM entitled “Advanced Studies in Civil Engineering” with the subjects Geomatics for Civil Engineering CVEN423 and Water Resources Engineering CVEN339.
Figure 8: Evolution of participation in the study abroad program organized by Texas A&M University at UCLM.
At first sight, in Fig. 7 a downward trend can be observed in the number of students that take part in the Erasmus+ program but, in fact, if we take into account the decrease in the number of degree students, it is not a real downward trend.
What we have observed when we analyze the reaction between “Lunch&Movies” and the students’ participation in the international programs is that there are two different types of behavior. On the one hand, there are those students who did not participate in any of them and tried to develop their English skills using other methods, such as “Lunch&Movies”. On the other hand, there are those for whom the “Lunch&Movies” sessions develop their confidence to participate in the programs.
The downward trend observed in Fig. 7 for Masters students taking part in the “Lunch&Movies” who obtain an Erasmus grant is related to the fact that there were no “Lunch&Movies” sessions in the previous year, so, many of the students who arrived to do a Masters in UCLM, had never had the opportunity to take part in a “Lunch&Movies”session. Furthermore, if we observe the same group of students, in Fig. 8, there is a growing tendency in participating in the Texas A&M study abroad program. For this reason, it can be said that the results are favorable due to the fact that when they have the opportunity to participate in “Lunch&Movies” sessions the trend leans towards an increased tendency to participate in the international programs.
This section analyzes the results of the pilot subject “Building Design”. This subject is taught during the first academic year of the Master of Civil Engineering. The instruction language is through English. The subject involves 33.75 academic hours of lectures, and two course projects carried out in groups. In return, they receive 4.5 ECTS. Unlike other courses in the curriculum, the students’ participation in class is highly encouraged and evaluated. In fact, their grade is calculated based on the following criteria: (a) 40% assignments, (b) 40% written exams and (c) 20% public exposition of the assignments and class participation.
Since 2015, the number of students in the course varied from 20 to 27 with the proportion of “Lunch&Movies” participants illustrated in Figure 9.
This section focuses on the analysis of the grades in the third criterion (public exposition of the assignments and class participation), as it refers to the same set of skills developed by the “Lunch&Movies” activity. In fact, a comparison of the grades obtained by the “Lunch&Movies” participants in the public expositions is carried out with those of the rest of students in Figure 10. This figure includes the mean, maximum and minimum grades of the students.
Figure 10: Comparisons of the grades obtained by the students participating into the L&M with the statistical distribution of the rest of the class.
In order to ascertain if the academic performance of the students who participated in the program is statistically better than that of those who did not participate, the following research hypothesis can be stated: The participation in the “Lunch&Movies” program improves the oral academic performance in the technical English of the students.
This leads to the following null Hypothesis 1: (For each year) Students participating in the “Lunch&Movies” program did not perform significantly better than the other students (that is to say, those who did not participate in the “Lunch&Movies” activity).
An unpaired, one-tailed Student’s t −test was applied. The calculated values of p show the probability of these results to make the null hypothesis assumption. Assuming, as in the traditional literature, an alpha level of p =0.05, we may reject the null hypothesis at values of p<0.05.
In all analyzed courses, the null hypothesis may certainly be rejected, as the values of p yielded (0.0056, 0.0083 and 0.0041 respectively) are marginal. Therefore, it can be concluded that the oral academic performance of the students who participated in the program was statistically better than that of those who did not participate. However, it should be noted that these results are influenced by the lower number of students participating in the “Building Design” course.
This paper is based on a specific experience regarding the informal learning of English skills in a Civil Engineering context, but the methodology here presented can certainly be extended to other educational fields or competences. On the one hand, the dynamics of the activity can be replicated to enhance students’ language skills in other areas. For example, in Spain it could be similarly applied in Nursing Schools, as, nowadays, Spanish nurses have a similar need to emigrate in order to find jobs abroad [43]. On the other hand, the method presented in this paper could be adapted to enhance specific competences. For example, it could be used within the field of language skills to help exchange students (e.g. Erasmus students) to learn or improve their local language skills. Informal training activities such as “Lunch&Movies” can serve to reinforce their skills in the local language and thus facilitate their adaptation to the classes and life in the host country. Outside the field of languages, this activity can be adapted to work, or reinforce other necessary skills such as teamwork, communication or critical thinking. In fact, in this same School of Civil Engineering there have already been "cine-forum" type experiences in which a film was used as a means of reflection and debate on topics as diverse as the human rights to water and sanitation, development cooperation, gender inequality, sustainable development, etc.
In any case, some lessons learned and recommendations for such activities can be summarized as follows:
Finally, an additional activity of further development could be envisaged to complement and reinforce this project. Even implementing a PBL methodology, a shared comment by students is the lack of facing real professional situations before graduation. Based on a “role play” game, a technique widely used in MBA studies, the UCLM School of Civil Engineering is planning to develop role-playing activities on real-life professional situations, where students train both their empathy and their communicative and negotiation skills in English [44]. During each session, and guided by lecturers as well, students will be divided into groups of 3-4 people. Each member of these groups is assigned a different role in a hypothetical professional situation. For example, if a problem occurred during the construction process of the Panama Canal, the different roles of a group of 4 people could be: a member of the local administration, a member of the construction firm, a member of the protection agency of birds, and the investor.
This paper presents an innovative methodology to improve the communicative skills of of Spanish Civil Engineering students during their undergraduate and Master’s degrees. This teaching methodology allows students to develop listening and speaking skills in English that are rarely enhanced in the degree. In this sense, an entertaining and fun learning process outside of the classroom and far from traditional evaluation systems is proposed. It has been successfully applied in the School of Civil Engineering of Ciudad Real, in the University of Castilla-La Mancha during two academic years, encouraging debate, participation and the improving student’s confidence in the English language by means of “Lunch&Movies” sessions.
The “Lunch&Movies” sessions deal with technical Civil Engineering topics, in which students watch a movie or a lecture on one of the main areas of Civil Engineering (urban planning, transportation, hydraulics, geotechnics, environment, technical drawing, and materials and structures) in English. After the screening, students work in small inter-cohort groups composed of students from different courses and a guiding lecturer. These groups first identify the meaning of the different technical terms in English that appeared during the screening, and subsequently debate the different questions related to the video. The project increases the technical vocabulary in English in the main areas of Civil Engineering and provides a broader engineering knowledge on concepts studied in the different courses. Moreover, the students are also introduced to the use of audio-visual material for language learning, increasing their listening skills in English, and furthermore with different accents that may be needed in their professional career when working with people of different nationalities. In this sense, the project encourages teamwork and trains the students’ social skills for communication and for looking for agreement, developing their critical thinking and respect for different opinions.
Different types of surveys were conducted at different stages of the project to evaluate the fulfillment of the objectives. The first one was conducted with all school students before the realization of the project to justify their interest and their level of English. The second type of survey was restricted to the participants of the “Lunch&Movies” sessions in each activity to verify the level of satisfaction and the possibilities of improvement in the next session. Finally, a third type of survey was carried out to find out the students’ perception as to how the sessions helped them in better facing technical concepts in English both in their courses and outside the classroom in their personal life.
The results of the initial survey reflected that the level of English certified by the Civil Engineering students was low, especially for the undergraduate students, however they were all aware of the importance of the technical English aspect for their future career. In addition, students presented a lack of skills that are difficult to train in regular courses (i.e. speaking). Therefore, complementary activities, like the ones suggested in this paper, are needed to develop these abilities.
The results of the polls in each “Lunch&Movies” session showed that, although most students reported a similar level of English throughout the activity, some of them improved their self-perception as the sessions progressed, giving evidence to the benefit of the activity. Then, activities like the ones proposed in this project become crucial when reinforcing and strengthening the curriculum of (Spanish) Civil Engineering studies for this new globalized era. Moreover, all the students manifested a positive satisfaction with the activity and a better comprehension of the video.
At the end of the project, students reported the effectiveness of the activity in terms of motivation, confidence, and self-reported English level, proving the benefit of the activity, however some of them showed difficulties in their predisposition to work abroad, that could be influenced by other external factors (i.e. culture, family, education, etc.).
On the other hand, the academic performance of the “Lunch&Movies” participants was evaluated through their oral performance in a pilot subject in English and by the participation in international programs, such us the Erasmus program.
The students participating in the sessions got better results in the pilot subject than those who did not. Furthermore, there was an increase in the number of applications for the Erasmus and Texas A&M Program. Thus, the participation in the “Lunch&Movies” program improved the oral academic performance in technical English and the confidence in a foreign language.
Finally, an additional activity of further development could be envisaged to complement and reinforce this project. Even implementing a PBL methodology, a shared comment by students is the lack of facing real professional situations before graduation. Role-playing activities on real professional situations are being planned to improve this project.
The economical support of the School of Civil Engineering of University of Castilla-La Mancha to carry out the activities described in the paper is greatly appreciated. The authors (Jose Antonio Lozano and Rocío Porras) are indebted to the Spanish Ministry of Economy, Industry, and Competitiveness for the funding provided through the research project BIA2017-86811-C2-2-R funded with FEDER funds.
1. Lozano-Galant, J.A., Ruiz, L., Olivella, S., and Turmo, J. (2013). Reinventing civil engineering studies in Spain to face new challenges. 2nd EUCEET Association Conference. Moscow, 19-23.
2. Law, K., Rasdorf, W.F., Karamouz, M. and Abudayyeh, O. (1989). The role of Computing in Civil Engineering Education, Proceedings of the Sixth Conference on Computing in Civil Engineering. (pp. 442-450). Atlanta, GA: American Society of Civil Engineers.
3. Lozano-Galant, J.A., Paya-Zaforteza, I. (2011) Structural analysis of Eduardo Torroja’s Frontón de Recoletos’ roof, Engineering Structures 33(3): 843-854.
4. Lozano-Galant, J.A., Paya-Zaforteza, I. (2018) Analysis of Eduardo Torroja’s Tempul Aqueduct an important precursor of modern cable-stayed bridges, extradosed bridges and prestressed concrete, Engineering Structures 150: 955-968.
5. Gömleksiz, M.N. (2007). Effectiveness of cooperative learning (jigsaw II) method in teaching English as a foreign language to engineering students (Case of Firat University, Turkey). European Journal of Engineering Education, 32 (5), 613-625.
6. Kaewpet, C. (2009). Communication needs of Thai civil engineering students. English for Specific Purposes 28 (4), 266-278.
7. Mann, L., Chang, R., Chandrasekaran, S., Coddington, A., Daniel, S., Cook, E., ... & Dohaney, J. (2020). From problem-based learning to practice-based education: A framework for shaping future engineers. European Journal of Engineering Education, 1-21.
8. Baeza, F.J.; Bru, D.; Ivorra, S.; Segovia, E. (2012) Reorganization of structures` teaching in civil engineering degrees inside the European higher education area, INTED 2012- International Technology, Education & Development Conference, Valencia, Spain.
9. Coxhead, A., Demecheleer, M. (2018) Investigating the technical vocabulary of Plumbing, English for Specific Purposes, 51, 84-97.
10. Gilmore, A., Millar, N. (2018) The language of civil engineering research articles: A corpus-based approach, English for Specific Purposes, 51, 1-17.
11. Maher, P., Milligan, S. (2019) Teaching master thesis writing to engineers: Insights from corpus and genre analysis of introductions, English for Specific Purposes, 55, 40-55.
12. Handford, M., Matous, P. (2015) Problem-solving discourse on an international construction site: Patterns and practices, English for Specific Purposes, 38, 85-98.
13. Arnó-Macià, E. and Mancho-Barés, G. (2015). The role of content and language integrated learning (CLIL) at university: challenges and implications for ESP. English for Specific Purposes, 37, 63-73.
14. Basturkmen, H. and Shackleford, N. (2015). How content lecturers help students with language: An observational study of language-related episodes in interaction in first year accounting classrooms. English for Specific Purposes, 37, 87-97.
15. Collins, R., Li, S., and Cheung, D. (2000). Language professionals in engineering faculty: cross-cultural experience. Journal of Professional Issues in Engineering Education and Practice, 126 (1), 32-34.
16. Institution of Civil Engineers (2018, April). Lunch and Learn webinars to aid your CPD. Retrieved from https://www.ice.org.uk/news/lunch-and-learn-webinars-to-aid-your-cpd.
17. London School of Economics (2018, April). BREXIT Lunchtime Lectures. Retrieved from http://www.lse.ac.uk/europeanInstitute/events/BREXIT-Lunchtime-Lectures.aspx
18. Brown University (2018, April). English Language Learners. Retrieved from https://www.brown.edu/academics/college/support/writing-center/english-second-language/english-language-learners
19. Cheung, D. (1993). A Task-Based Approach to Language Learning: Real-play versus role-play. Language & Development Conference Series, 193-197.
20. Ureña, J.M. (1998). Proyecto de nueva Escuela de Ingenieros de Caminos, Canales y Puertos en Ciudad Real. Revista de Obras Públicas, 145 (3380), 11-20
21. Bellido, P. Lozano-Galant, F., Castilla, F. and Lozano-Galant, J.A. (2019) Experiences learned from an international BIM contest: Software use and information workflow analysis, Journal of Building Engineering, 21, 149-157.
22. Kjersdam, F., and Enemark, S. (1994). The Aalborg Experiment: project innovation in university education. Aalborg University Press, Denmark.
23. Thomas, J.W. (2000). “A review of research on Project-Based Learning”, Retrieved from https://www.bie.org/object/document/a_review_of_research_on_project_based_learning
24. Nehdi, M. (2002). Crisis of civil engineering education in information technology age: Analysis and prospects. Journal of Professional Issues in Engineering Education and Practice, 128 (3), 131-137.
25. Aparicio, A., and Ruiz-Teran, A. (2007). Tradition and innovation in teaching structural design in civil engineering. Journal of Professional Issues in Engineering Education and Practice, 133 (4), 340-349.
26. Arlett, C., Lamb, F., Dales, R., Willis, L., and Hurdle, E. (2010). Meeting the needs of industry: The drivers for change in engineering education. Engineering Education 5 (2), 18-25.
27. Poitras, G., and Poitras, E. (2011). A cognitive apprenticeship approach to engineering education: The role of learning styles. Engineering Education 6 (1), 62-72.
28. Reyes, E., and Galvez, J. (2011). Introduction of innovations into the traditional teaching of construction and building materials. Journal of Professional Issues in Engineering Education and Practice 137 (1), 28-37.
29. Kirschenman, M., and Fasano, A. (2012). Developing engineering leaders. Leadership and Management in Engineering 12 (3), 189-191.
30. Lopez-Querol, S.; Sánchez-Cambronero, S.; Rivas, A., and Garmendia, M. (2015). Improving Civil Engineering Education: Transportation Geotechnics Taught through Project-Based Learning Methodologies. Journal of Professional Issues in Engineering Education and Practice 141 (1).
31. Ruiz, R.; Moyano, A.; Romero de Ávila, V.; Coronado, J.M, and Rodriguez, J. (2018) Heritage Preservation Training in Civil Engineering Education: Modern Roads Restoration Projects, Journal of Professional Issues in Engineering Education and Practice, In press.
32. Watson, R. (2017). An opaque engineering word list: Which words should a teacher focus on? English for Specific Purposes, 45, 31-39.
33. Farley, P.C. (2019) Using role-play to teach novice writers the expectations of journal editors and reviewers, English for specific purposes, 55, 1-11.
34. Lei, J. Hu, G. (2019) Doctoral candidates’ dual role as student and expert scholarly writer: An activity theory perspective, English for Specific Purposes, 54, 62-74.
35. Zhang, X., Ardasheva, Y. (2019) Sources of college EFL learners' self-efficacy in the English public speaking domain, English for Specific Purposes, 53, pp. 47-59
36. Mezek, S., Pecorari, D., Shaw, P., Irvine, A. and Malmström, H. (2015). Learning subject-specific terminology: the effect of medium and order of exposure. English for Specific Purposes 38, 57-69.
37. Kuhn, M.R., and Vaught-Alexander, K. (1994). Context for writing in engineering curriculum. Journal of Professional Issues in Engineering Education and Practice, 120 (4), 392-400.
38. Berthouex, P. M. (1996). Honing the writing skills of engineers. Journal of Professional Issues in Engineering Education and Practice, 122 (3), 107-110.
39. Mudraya, O. (2006). Engineering English: A lexical frequency instructional model. English for Specific Purposes 25 (2), 235-256.
40. Dermo, J. (2009). e-Assessment and the student learning experience: A survey of student perceptions of e-assessment. British Journal of Educational Technology 40 (2), 203-214.
41. Robbins, N.B. and Heiberger, R.M. (2011). Plotting Likert and Other Rating Scales. Proceedings of the 2011 Joint Statistical Meeting, Section on Survey Research Methods, 1058-1066.
42. 43Dai, J., and Goodrum, P. M. (2011). Differences in perspectives regarding labour productivity between Spanish- and English-speaking craft workers. Journal of Construction Engineering and Management, 137(9), 689-697.
43. Galbany-Estragués, P. and Nelson, S. (2016) Migration of Spanish nurses 2009-2014. Underemployment and surplus production of Spanish nurses and mobility among Spanish registered nurses: A case study. International Journal of Nursing Studies, 63, 112-123.
44. Dorathy, A.A., and Mahalakshmi, S.N. (2011). Second Language Acquisition through Task-based Approach – Role-play in English Language Teaching. English for Specific Purposes World 33 (11), 1-7.
Published on 25/11/20
Submitted on 04/11/20
Volume 2, 2020
Licence: CC BY-NC-SA license
Are you one of the authors of this document?