Los procesos de confinamiento social provocados por la crisis de salud mundial (COVID-19), han obligado a los docentes a asumir nuevas competencias investigativas que le permitan mejorar los indicadores de ciencia y aportar a la cultura de investigación en la era digital para la región latinoamericana. Este artículo analiza la cultura investigativa de los docentes latinoamericanos de 20 países, en la era digital y su relación con la producción de documentos científicos indexados en Journal Citation Report (JCR) entre 1996 y 2019. Se aplicó un cuestionario (con criterios de validez y confiabilidad) con escala tipo Likert a 2.215 docentes derivados de cinco eventos científicos internacionales. Los principales resultados dan cuenta que el 78% de los docentes tienen menos de 15 años de experiencia docente con edades que no superan los 44 años y un nivel académico del 38,9% de pregrado. Estos, a su vez, en un 62,5% respondieron que nunca han publicado en revistas indexadas, además desconociendo la aplicación adecuada de los paradigmas y diseños de investigación. Por otra parte, el 23,86% de las citaciones totales son auto citas. Por tanto, los resultados reflejan una relación significativa entre la cultura investigativa del docente y la producción científica latinoamericana. Finalmente, los docentes latinoamericanos se han visto en circunstancias económicas, políticas y sociales que afectan las buenas prácticas de investigación y publicación científica dejando entre ver una brecha de formación sobre competencias investigativas en la nueva era digital.
Palabras clave
Cultura científica, digitalización, pandemia, formación de docentes, investigación cultural, ciencia
Keywords
Scientific culture, digitization, pandemics, professor education, cultural research, science
The processes of social confinement caused by the global health crisis (COVID-19), have forced professors to assume new research competencies that allow them to improve science indicators and contribute to the research culture in the digital era for the Latin American region. This article analyzes the research culture of Latin American professors in 20 countries in the digital era, and their relationship with the production of scientific papers indexed in the Journal Citation Report (JCR) between 1996 and 2019. A questionnaire (with validity and reliability criteria) with a Likert-type scale was applied to 2,215 professors selected from five international scientific events. The main results show that 78% of the professors have less than 15 years of teaching experience, with ages under 44 years of age and 38.9% of them with an undergraduate academic level, 62.5% of whom responded that they have never published in indexed journals, and that they do not know the proper application of paradigms and research designs. On the other hand, 23.86% of the total citations are self-citations. Therefore, the results reflect a significant relationship between the research culture of professors and Latin American scientific production. Finally, Latin American professors have found themselves in economic, political and social circumstances that affect good research and scientific publication practices, leaving a training gap in research competencies in the new digital era.
Palabras clave
Cultura científica, digitalización, pandemia, formación de docentes, investigación cultural, ciencia
Keywords
Scientific culture, digitization, pandemics, professor education, cultural research, science
La universidad contemporánea tiene como misión: fomentar, estimular, y difundir conocimientos tendientes a buscar un mejoramiento continuo en la formación integral del ser humano y su papel dentro de la sociedad, siendo también plataformas para el desarrollo continuo de innovación, ciencias y tecnologías. Los nuevos profesionales deben orientarse no solo a una buena formación académica, sino también a favorecer el compromiso con las buenas prácticas investigativas (Batista-Mainegra et al., 2017). Para ello, los centros académicos, grupos de investigación y demás entidades asociadas a los procesos científicos, tienden a organizarse bajo los criterios establecidos por los sistemas de calidad internacional (Strauka, 2020). Las instituciones con un perfil de educación superior de vanguardia, en oportunidad suelen hacer ostentación de su buen trabajo, eficacia, eficiencia y mayor conexión con la esfera pública, privada y social, en su capacidad de labrar un conocimiento multidisciplinario y aplicado (Basso et al., 2021), en contraste con la supuesta inercia improductiva y autorreferente de la investigación universitaria tradicional, anclada en saberes codificados y en jurisdicciones disciplinares socialmente impertinentes y económicamente estériles.
Los rankings internacionales de universidades han sido una alternativa utilizada por los gobiernos y agencias de cooperación internacional para otorgar financiamientos a proyectos y becas de estudios (Kalhor & Mehrparvar, 2020). Estos procesos de calidad son examinados dentro de un sistema de evaluación e indicadores como: aspectos de cualificación docente, investigación, transferencia e internacionalización. Sin embargo, el alza en la producción científica y el impacto de estas, constituyen factores determinantes en los rankings mundiales tales como: Webometrics Ranking of World Universities, The World University Ranking, World’s best universities Ranking, Ranking Shanghai, Performance Ranking of Science Papers for World Universities y Leiden Ranking. En resumen, la investigación a nivel mundial se mide con indicadores de productividad, impacto y visibilidad académica de sus investigadores (Powell, 2020).
La investigación materializada en número de documentos producidos y su impacto social, permea la relación entre calidad educativa y desarrollo a través de escenarios para la gestión del conocimiento y esfuerzos intelectuales de sus docentes, cristalizada en el saber y la habilidad para hacer conocimiento científico. Las universidades que destinan recursos a la generación de conocimientos aumentan su alcance e impacto en la sociedad, ya que no solo recaen en su responsabilidad, educar con calidad a sus estudiantes, sino también el impulsar el desarrollo y perfeccionamiento profesional de sus docentes en investigación, a fin de proveerles una cultura investigativa sostenible en beneficio de la sociedad (González-Díaz et al., 2021). Sin embargo, esta nueva era ha traído consigo nuevos retos y formas de hacer ciencia desde la virtualidad, esto conlleva al diagnóstico (institucional e individual) sobre las nuevas necesidades de formación docente y poder mantener los criterios de calidad educativa institucionales.
De este modo, las universidades intentan conectar la práctica pedagógica con los conocimientos actuales derivados de la evidencia empírica de cada área de estudio, propiciando espacios para una cultura investigativa sustentable, donde se estimule el crecimiento científico de cada miembro de la comunidad universitaria (Castro-Sánchez, 2021).
Cabe señalar, que los rasgos de una cultura investigativa remiten, a un conjunto de elementos cognitivos, valorativos y actitudinales compartidos por una determinada comunidad educativa y, al mismo tiempo, a la práctica, promoción e irradiación de estos hacia todos los que se vinculan de modo con ella. En el núcleo de la cultura investigativa, esos elementos compartidos remiten a un conjunto de significados, valores y conductas que impregnan toda la red de actividades (formativas, de servicio, de innovación), desarrolladas como parte de las interacciones sociales en contextos específicos. Es por ello, que se puede asociar al conjunto de interacciones presentes en la actividad de investigación, centradas al concepto de responsabilidad en el contexto académico con características propias (Criado-Dávila et al., 2020). Los efectos de la cultura investigativa se extienden a sus diferentes manifestaciones, desde la relación entre investigación y docencia, formación para la investigación, integridad de los actores, entre otros con interés por publicar, autoría, prevención y control del plagio (Espinoza-Freire, 2020).
Actualmente, las políticas educativas de acreditación institucional, muestran que los procesos para alcanzar una calidad en la educación universitaria está asociada con la práctica investigativa, donde el propósito institucional es fomentar la cultura investigativa y con ella, incrementar la productividad científica de docentes y estudiantes quienes unifican criterios para desarrollar actitudes y propiciar intercambios de saberes mediante proyectos de investigación productivos y acordes con las líneas de investigación institucional (Guerrero-Sosa et al., 2021). En otras palabras, los docentes y estudiantes son quienes deben hacer, consultar y aplicar la investigación pertinentemente en el desarrollo de los programas de estudios (Bracho, 2012).
En Latinoamérica, esta situación se ha agudizado. Por una parte, la cantidad de documentos científicos publicados en bases de datos como SCOPUS ha ido aumentando en los últimos tres años en un promedio de: 7,7% (2017-2020) (Vázquez-Miraz & Posada-Llorente, 2020), sin embargo, la cantidad de documentos citados se mantiene en una tasa decreciente de 20,2%, es decir, los documentos científicos publicados en Latinoamérica han ido creciendo, pero el impacto social de ellos ha disminuido. Esta situación ha despertado el compromiso de quienes hacen vida en el sistema de educación superior. Siendo las universidades un espacio para propiciar e impulsar procesos de innovación y generación de nuevos conocimientos a través de la investigación científica, tecnológica y social. El interés de las universidades de la región Latinoamericana ha sido por mejorar las competencias investigativas de los docentes, quienes han mostrado ciertas debilidades en las competencias investigativas que afectan la cultura práctica investigativa (Castro-Sánchez, 2021).
Esto acentúa la brecha que se interpone en el desarrollo de la producción científica tanto en los programas de investigación de las universidades como también en aquellas organizaciones de orientación pública en los países. Bajo esta perspectiva, la pregunta para esta investigación es: ¿Cómo es la cultura investigativa del docente en la era digital en la ciencia Latinoamérica? Por tanto, la presente investigación analiza la cultura investigativa latinoamericana y, la producción científica entre 1996-2019 del docente en la era digital, para lo cual se encuestaron 2.215 docentes dedicados a la investigación, distribuidos en 20 países latinoamericanos. Los resultados dan cuenta que existe una relación fuerte entre el nivel educativo y la publicación en revistas indexadas, dejando en evidencia que mientras más alto sea el grado académico del docente, mayor interés en publicar en revistas indexadas existe. Asimismo, los países con mayor producción científica presentan un alto nivel de citaciones totales. Sin embargo, los países con muy baja producción científica tienen un mayor impacto con citaciones en la comunidad científica. A pesar de la compleja crisis sistemática y estructural en la que se encuentra sumergida la región latinoamericana, los docentes han aprovechado las bondades de Internet para autoformarse y mejorar las competencias investigativas.
En un entorno organizacional, la cultura no es lo único que influye en el comportamiento gerencial y laboral (Velandia-Mesa et al., 2021). Este comportamiento está influenciado por diferentes niveles de cultura, que van desde el nivel supranacional (regional, étnico, religioso, lingüístico) a los niveles nacional, profesional y organizacional, hasta el nivel de grupo (De-Filippo et al., 2021). En los últimos años, la cultura investigativa ha estado presente en los debates sobre política exterior sobre investigación y desarrollo entre Agencias de Cooperación Internacional como la Unesco (Organización de las Naciones Unidas para la Educación, la Ciencia y la Cultura). Desde la Conferencia Mundial sobre Educación Superior de 1998 han venido recalcando el tema de la investigación para el desarrollo de los pueblos. El Banco Mundial, desde 1999, presentó el problema del conocimiento científico como elemento esencial para la generación de la riqueza. Posteriormente, la Unesco, a través de la Conferencia Mundial de la Ciencia (1999-Budapest), señaló que los procesos de investigación deben estar acompañados de inversión, tecnológica e intelectual de los sectores económicos y gobierno, con el fin de propiciar un espacio para la generación de nuevos conocimientos.
En tanto, la cultura investigativa desde la perspectiva de los fundamentos epistemológicos se remota al avance del positivismo y la rehabilitación de la hermenéutica, dando enfoque integrador a la metodología mixta (MM) permitiendo fusionar las perspectivas cualitativa y cuantitativa durante el proceso de investigación, como modo propio de conocimiento en ciencias sociales, esta ha cambiado el panorama en la investigación (Bolívar, 1995; Bagur-Pons et al., 2021). No solo debe ser un discurso, debe ser una reflexión abordada desde la estructuración del capital intelectual (Guedes-Farias & deAndrade-Maia, 2020) en los ambientes académicos y científicos donde se articule el talento humano, infraestructura tecnológica y capital relacional. La literatura científica da cuenta de la discusión sobre las fortalezas de una cultura investigativa y su capital intelectual asociado a las organizaciones educativas, empresariales, semilleros de conocimientos y grupos de investigación dedicados a la construcción de conocimientos científicos que den respuestas a los nuevos requerimientos del mercado laboral (Fu et al., 2020).
En Latinoamérica, la cultura investigativa intenta articular la producción intelectual con lo humano y tecnológico constituyendo un conjunto de capacidades intangibles de diversa naturaleza en distintas implicaciones estratégicas (Limaymanta et al., 2020). A pesar de que los países latinoamericanos comparten diferentes comportamientos culturales, se puede decir que la falta de cooperación y cohesión de los investigadores en los procesos de científicos lo caracterizan(Guedes-Farias & de-Andrade--Maia, 2020). En ese sentido, las instituciones intentan establecer mecanismos para estimular el trabajo en equipo entre connacional y entre países a través de un conjunto de activos inmateriales, invisibles o intangibles fuera del balance, que permite que este tipo de organizaciones funcione, creando valor para sí misma y para la sociedad. Estos aspectos de la cultura investigativa dan esperanza para mejorar el impacto en el conocimiento, en la intangibilidad y creación de valor que constituyen factores relevantes al momento de definir las capacidades estratégicas institucionales (Oliveira-Filho, 2020).
El mundo se está enfrentando al vertiginoso desarrollo de la era digital, uno de sus mayores retos y desafíos desde su existencia y profesionalización (Briseño-Senosiain, 2021). Los medios digitales como Internet, Google, las redes sociales y las diversas plataformas que existen en el mercado han inundado literalmente de información a la humanidad, y muy especialmente al docente, obligándolos a adquirir y desarrollar competencias, acoplándose a los cambios del proceso de formación universitaria, los cuales surgen con el transcurrir del tiempo y la innovación que se enfrenta día a día.
Es así como la Universidad, como centro de educación superior, es quien rige la tarea de gestión de conocimiento y donde se desarrolla la actividad de enseñanza aprendizaje de toda estrategia y recurso teórico práctico (Rodríguez & Espinoza, 2017), desarrollados con fines de formación de profesionales de calidad, sumando a la aportación de ideas innovadoras y creativas que satisfagan las necesidades de la sociedad, así como del mercado laboral. Por tal razón, es importante el papel del docente universitario, y el desempeño de estos en los procesos de enseñanza aprendizaje, los cuales deben fundamentar la integración y ejecución de sus competencias en Tecnología de la Información y Comunicación (TIC) (Cruz-Rodríguez, 2019), siendo definida una competencia con habilidad práctica y de conocimiento, reconociendo como una de las más importantes, la utilización de nuevas tecnologías denominada competencia digital, las cuales son consideradas en la última década como, recursos estratégicos para la gestión formativa y el aprendizaje. Por ello, la formación continua de agentes educativos adquiere gran relevancia en la actualidad (Pozos & Tejada, 2018), sobre todo porque han enfrentado retos a partir de la crisis mundial, al grado de poner en evidencia sus competencias en la práctica investigativas, pero que los enfrenta a una nueva era sin tener las herramientas y conocimientos necesarios para cambiar de paradigma presencial a virtual. La presente investigación pone en la mesa de análisis a la profesionalización docente como una necesidad actual, la cual puede ser abordada desde una nueva perspectiva tecnológica y digital.
En la actualidad, la profesionalización docente es una necesidad latente dentro del Sistema Educativo Nacional e internacional y que requiere atención, ya que es fundamental para la actualización y transformación de docentes (Rojas et al., 2016), aunque esto implica generar un trayecto formativo con nuevos estudios y formación para el desarrollo de competencias docentes para el Siglo XXI, la cual debe mejorar las funciones del docente coadyuvando a la adquisición de nuevas habilidades y capacidades en la nueva era digital.
Esta investigación se ejecutó bajo un diseño de campo, no experimental de corte transversal, debido a que no se manipularon las variables de estudio y se tomaron los datos una vez en el tiempo para luego ser analizados y obtener los resultados. Al respecto, Hernández et al. (2020) plantean que en este tipo de diseño los datos recolectados en un momento único permiten describir las variables en estudio y analizar la repercusión de las variables estudiadas sobre las unidades de análisis o informantes, que en este caso son los docentes universitarios encuestados para esta investigación. Con respecto a la unidad de análisis, fue escogida a través de un muestreo aleatorio simple en cinco eventos científicos desarrollados por el Centro Internacional de Investigación y Desarrollo – CIID (relacionados con la construcción de artículos científicos de manera virtual), para un total de 2.215 docentes investigadores encuestados, estratificados de la siguiente manera (Tabla 1).
|
|
El proceso de análisis de datos se desarrolló en tres fases.
Fase 1: Se determinó el siguiente sistema de hipótesis de investigación:
El estadístico prueba la hipótesis para la relación entre la variable (categórica)=Cultura Investigativa del docente en la era digital y la variable (numérica)=producción e impacto científico en Latinoamérica a través de las citaciones, cuyos datos numéricos según la prueba de normalidad Kolmogorov-Smirnov son anormales para una muestra. Por consiguiente, se utilizó la prueba de bondad de ajuste chi cuadrado, la cual se fundamenta en el ajuste entre frecuencia de ocurrencias de las medidas en una muestra observada y las frecuencias esperadas obtenidas a partir de la distribución hipotética. El nivel de significancia asintótica considerado es: 0,05. Para determinar la fuerza de la relación se consideró el coeficiente de contingencia.
Fase 2: Para determinar la variable: cultura investigativa del docente en la era digital, el instrumento de recolección de datos fue un cuestionario integrado por 26 ítems, donde se consultó sobre las creencias y valores en la investigación, juicio crítico de la investigación y competencias investigativas. El mismo fue validado a juicio de 5 expertos, fue sometido a un pilotaje para calcular la confiabilidad se aplicó el coeficiente Alpha de Cronbach para determinar la confiabilidad del instrumento, la cual fue de: 0,93 (Muy alta).
El cuestionario, presentó dos secciones: 1) Caracterización del docente digital latinoamericano (respuestas de selección simple). En detalle, los ítems están relacionados con la experiencia docente, ubicación laboral, nivel académico de la docencia, área de estudio, rango etario, género, nivel de educación y publicación en revistas indexadas; y 2) Cultura investigativa del docente latinoamericano (Escala tipo Likert con 3 alternativas de respuesta).
Fase 3: Para determinar la variable producción científica e impacto, se consideró la producción científica de Latinoamérica desde 1996-2019 según los datos recolectados de SJR. Para ello, se exploraron las siguientes categorías: 1) Documentos totales, 2) Citaciones totales y 3) Auto-citas. Así mismo, se consideró la población total por países latinoamericano para el año 2019 a través del reloj de población global del sitio web (http://ww1.worldodometers.info/) calculado sobre la base de World Population Prospects elaborada por la División de Población de la Organización de las Naciones Unidas (ONU). Para facilitar la interpretación de los resultados de la población y la producción científica se dividen en 5 categorías en función de WorldOdometers. Población (Números de habitantes para el 2019 (WorldOdometers)): 1) menos de 5.000.000 (Muy baja), 2) entre 5.000.001 y 15.000.000 (baja), 3) entre 15.000.001 y 35.0000.000 (mediana), 4) entre 35.000.001 y 100.000.000 (alta) y 5) más de 100.000.001 (muy alta). Producción científica (documentos publicados en SJR (1996-2019)): 1) menos de 20.000 (Muy baja), 2) entre 20.001 y 100.000 (baja), 3) entre 100.001 y 250.000 (media), 4) entre 250.001 y 500.000 y 5) más de 500.001. Esto permitió calcular el impacto real de las publicaciones científicas a través del indicador: citas por documentos, para ello se sustraen las auto citas de las citas totales; para conocer el impacto real de las publicaciones en otras regiones. Esto permitió generar discusiones sobre la cultura investigativa del docente latinoamericano en la era digital y el impacto en la generación del conocimiento científico.
Una vez recolectada y procesada la información, se puede caracterizar la población docente en la era digital en Latinoamérica en un 78% con menos de 15 años de experiencia o práctica docente (50% tiene menos de cinco años). El ejercicio académico que desempeñan está un 91,9% en estudios de pregrado. En cuanto al área de estudio está el 31% en ciencias sociales, 27,4% en empresas y tecnologías, 25,4% en ciencias humanas y educación; y 14,2% en ciencias de la salud. El grupo etario de docentes en era digital están en un 38,9% menos de 35 años, un 29,8% entre 35 y 44 años; y un 21,7% más de 45 años. Nivel académico de los docentes en un 69,8% pregrado, 17,1% con maestría; y 6,3% con doctorado (Carabantes-Alarcón, 2020).
|
|
En cuanto a cultura investigativa latinoamericana, el 62,5% de los docentes respondió que nunca ha publicado en revistas indexadas mientras que el 70,5% manifiestan tener una buena práctica en la citación de documentos. El 64,9% desconoce usar el paradigma de investigación con relación al objeto de estudio. El 90,9% considera que siempre aplican un diseño de investigación acorde a los objetivos del estudio. El 77,4% desconocen la aplicación adecuada de la metodología cualitativa, un 68,7% desconocen la aplicación adecuada de la metodología cuantitativa y un 82,7% desconoce las diferentes formas de integración de la metodología mixta. El 58,1% de los docentes-investigadores manifiestan capacitarse en materia de investigación sólo ocasionalmente.
|
|
La Figura 1 muestra una relación (Coeficiente de Contingencia: 0,473 - Fuerte) entre el nivel educativo y la publicación en revistas indexadas dejando en evidencia que, cuanto mayor es el grado académico del docente, mayor es el interés en publicar en revistas indexadas. Para Carranza-Esteban et al. (2020) y Guerrero-Casado (2017), el ejercicio de la investigación científica para docentes en la era digital es fundamental para el desarrollo de la ciencia.
|
|
En esta investigación se pudo obtener como resultados que existe un grupo importante de docentes con maestría que solo ocasionalmente realizan publicaciones científicas. Así mismo, se muestra que el grupo etario con mayor publicación científica esta entre los 45 y 54 años. Sin embargo, entre los 35 y 44 años los docentes investigadores latinoamericanos se centran en actividades de docencia y extensión.
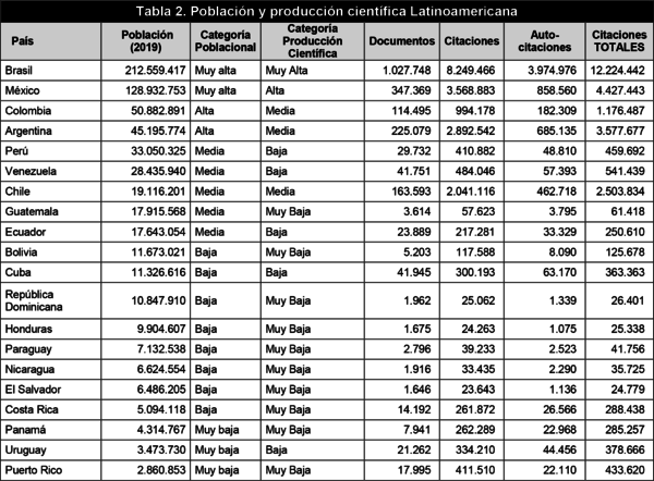
La Tabla 2 muestra la población latinoamericana para el año 2019 y su relación con la producción científica. Latinoamérica es un continente con una debilidad política, social y económica, por lo que la mayoría de los países de esta región sufren de los mismos problemas que hacen que no sea una de las regiones con mayor producción científica (Guerrero-Casado, 2017; Guerrero-Sosa et al., 2021).
Para resultados de la presente investigación, la población Latinoamericana (20 países estudiados) abarca un total de 633.470.842 de habitantes con una producción de documentos científicos indexados en Journal Citation Reports (JCR) para el 2019 de 2.095.803 documentos entre 1996-2019, con un volumen total de citaciones de 27.252.063, de las cuales 23,86% son auto citas, quedando un impacto real en otras regiones de 76,14%.
En la Figura 2 se muestra la dispersión de 3D agrupada de las citaciones, en relación con las citaciones totales y auto citaciones. Se evidencia que los países con una población mediana y muy alta tienden a tener muy bajas las citaciones, altas auto citas y un índice H alto. Latinoamérica a pesar de ser un área muy extensa que abarca 46 países tiene un peso relativamente bajo en la producción científica mundial, así como un impacto (citas por documentos) bajo en comparación con las regiones desarrolladas (Hermes-Lima et al 2007, Chinchilla-Rodríguez et al., 2015; Bonilla et al., 2015).
En detalle, los resultados dan cuenta que los países con una población muy baja tuvieron un impacto de 23,87% de citas en promedio por documento publicado, los países con baja población obtuvieron 15,16% de citas en promedio por documento publicado. Los países con mediana población obtuvieron 12,59% de citas en promedio por documento publicado, los países con alta población tienen un 10,77% de citas en promedio por documento publicado y los países con muy alta población tienen un 9,15% de citas en promedio por documento publicado (Figura 3).
|
|
En la Figura 4 se muestran los diferentes países latinoamericanos estudiados y categorizados en función su producción científica (documentos en SJR): Los países con muy alta producción científica (Brasil), alta producción científica (México), media producción científica (Argentina, Chile, Colombia), baja producción científica (Cuba, Venezuela, Perú, Ecuador, Uruguay) y muy baja producción científica (Puerto Rico, Costa Rica, Panamá, Bolivia, Guatemala, Paraguay, República Dominicana, Nicaragua, Honduras, El Salvador). Los países con mayor producción científica presentan un alto nivel de citaciones totales. Sin embargo, los países con muy baja producción científica tienen un mayor impacto con citaciones en la comunidad científica (Chinchilla-Rodríguez et al., 2015; Bonilla et al., 2015, Guerrero-Sosa et al. 2021).
|
|
Para determinar la relación entre la cultura investigativa y el nivel de producción científica se aplicó el estadístico de prueba Chi-cuadrado de Pearson (221, 997ª), Razón de verosimilitud (241,001), Asociación lineal por lineal (0,242). Los resultados reflejan una significación asintótica (bilateral) de ,000 con una fuerza moderada-baja. Este resultado rechaza la hipótesis nula y acepta la hipótesis alternativa. Es decir, existe relación entre la cultura investigativa del docente en la era digital y la producción e impacto científico en Latinoamérica (Castro-Sánchez, 2021). La Figura 3 muestra cuando un país tiene una cultura investigativa adecuada y tendiente a la cooperación, colaboración y cohesión, está propenso a producir científicamente documentos en revistas indexadas.
Los resultados muestran una clara relación entre la cultura investigativa del docente en la era digital y la producción científica latinoamericana. Estos hallazgos concuerdan con los planteamientos de Limaymanta et al. (2020) y Vázquez-Stanescu et al. (2020), quienes consideran una nueva era de gestión del conocimiento estimulada por tiempos de confinamiento e inestabilidad en el sistema educativo, lo cual constituye un reto para las instituciones de educación superior en garantizar escenarios estimuladores para la investigación desde casa. Entre los principales hallazgos en la presente investigación la región latinoamericana, se caracteriza por una población de docentes jóvenes con poca experiencia, quienes se desempeñan generalmente en carreras de pregrado con una mayor inclinación a las ciencias sociales, con niveles académicos de maestría de los cuales pocos han publicado en revistas indexadas. Dado a lo mencionado, en la Figura 1 se muestra que los docentes se centran en labores de docencia y extensión.
Sin embargo, quienes publican tienen buenas prácticas en la redacción y citación del escrito científico, a pesar de no reconocer aspectos onto-epistémicos en los procesos de investigación, lo cual confirma la falta de conocimientos de las metodologías cuantitativas, cualitativas y mixta. La Tabla 2 de la presente investigación muestra que el 23,86% son auto citas, quedando un impacto real en otras regiones del 76,14%. La cultura investigativa reflejada en este estudio desvela las debilidades de la sociedad latinoamericana por la deficiencia de los sistemas de investigaciones de cada país. Estos resultados coinciden con King-Domínguez et al. (2020) y Vázquez-Stanescu et al. (2020), quienes consideran que, a pesar de evidenciar un alza en indicadores como el número de documentos citables, se pone de manifiesto una caída sustancial en el impacto de las publicaciones científicas.
Para González-Díaz et al. (2020) estos escenarios cada vez son más complejos, debido al aumento de la carga administrativa y académica que deben afrontar los docentes. Esto ha conllevado a situaciones de estrés académico y disminución en la calidad de la producción científica. Sin lugar a duda, los países latinoamericanos con una menor población y escasos presupuestos para la investigación y desarrollo desafortunadamente no alcanzan los niveles de producción científica esperados, con algunas excepciones en Suramérica como Chile, quien, a pesar de ser un país con una población mediana, en comparación con países que tienen una alta densidad de población, alcanza altos niveles de producción científica. Sin embargo, el principal reto que tiene el docente latinoamericano es lograr buenos niveles de calidad en sus escritos científicos para poder impactar a la comunidad científica mundial. Según datos recopilados en esta investigación países como Brasil, México y Argentina son los principales generadores de conocimiento científico de Latinoamérica, estableciendo un equilibrio en las auto citaciones de sus documentos científicos.
Las citaciones dan cuenta del impacto real de la ciencia generada por un país en otras regiones del planeta. Por otra parte, las perspectivas de investigación para el progreso de Latinoamérica del siglo XXI recaen en la planificación de ideas emergentes dentro de las organizaciones públicas y privadas, así como de naturaleza social, adoptando estrategias innovadoras acordes a las exigencias desafiantes del entorno. Por ello, las organizaciones tradicionales ceden su espacio a la incorporación de mecanismos que den respuestas a las necesidades investigativas del mundo, a fin de convertirse en organizaciones inteligentes, proactivas, dinámicas, creativas y descentralizadas, donde las competencias sean la pieza fundamental para el logro de los propósitos estratégicos en todas las naciones latinoamericanas.
Para Torres-Samuel et al. (2021), Kumar et al. (2020), quienes presentan un debate crítico sobre la investigación y desarrollo de Latinoamérica, la gestión del conocimiento de las instituciones de educación superior latinoamericanas se caracteriza por su bajo nivel en los indicadores de impacto mundial para el desarrollo de la ciencia. Así mismo, Hermes-Lima et al. (2007) plantean que uno de los aspectos centrales del deterioro de la investigación en Latinoamérica es la poca inversión en actividades asociadas a ciencia, tecnología e innovación, con una “inversión menor a 8.000 millones de dólares anuales, esto representa el 2,3% del gasto mundial en el sector y la fuga de cerebros” (Vega-Muñoz et al., 2021: 23). Según lo comentado por Torres-Samuel et al. (2020), los países latinoamericanos invierten menos del 1% de su Producto Interno Bruto (PIB) en investigación y desarrollo, excepto Brasil quien invierte más de la mitad del total de la inversión en investigación y desarrollo de Latinoamérica, seguido de México y Argentina.
Sobre la inversión en tecnología, innovación y ciencia en los países latinoamericanos, excluyendo Brasil y México, representan menos del 0,5% promedio del PIB, mientras los países desarrollados se encuentran entre el 2% y el 3% del PIB en la mayoría de los casos. Esta situación se agudiza debido a la dependencia del Estado para el financiamiento de los proyectos de investigación y desarrollo (Fu et al. 2020). Por el contrario, en países desarrollados las inversiones en este sector son asumidas casi en su totalidad por la empresa privada (Wouters et al., 2020). Estas instituciones generan prospectiva que atenúa en crear acciones compartidas con sus ciudadanos, orientando sus esfuerzos hacia la búsqueda de la eficiencia, con el compromiso de coadyuvar a la gestión de redes de cooperación, sin exclusión de aquellas que operan bajo principios sociales.
A pesar de este panorama, los docentes latinoamericanos han mejorado la cantidad de producción científica indexadas en bases de datos con factor de impacto, dado a las redes de cooperación, aliados estratégicos, investigadores extranjeros, patrocinios y auspicios de centros de investigación independientes quienes aportan sus plataformas tecnológicas de comunicación y coadyuvan a la cooperación internacional de proyectos de investigación (Valdés-Pérez, 2020). Tanto Guedes-Farias y De-Andrade-Maia (2020) como Limaymanta et al. (2020) dan cuenta de la importancia de la investigación en el desarrollo de la ciencia moderna, donde todo esfuerzo de publicaciones científicas de alto impacto de los docentes latinoamericanos involucra un sacrificio que abarca desde las condiciones socioeconómicas y políticas hasta decidir sobre disminuir los gastos familiares para pagos de cargos de publicación.
Hernández et al. (2020), son enfáticos en considerar que la articulación de las instituciones públicas y privadas con los grupos que se dedican a la investigación y desarrollo es el principal problema. Por una parte, en la mayoría de las universidades latinoamericanas se desarrollan proyectos de investigación que, en el mejor de los casos, reposan en los repositorios de las bibliotecas institucionales, quedando como material bibliográfico sin impacto en la sociedad del conocimiento científico.
Partiendo del objetivo de la presente investigación, como fue analizar la cultura investigativa del docente en la era digital en la ciencia Latinoamérica, se considera que el trabajo realizado ha provisto una infraestructura de información interesante, que impulsará a iniciar el desarrollo de una cultura investigativa docente en Latinoamérica más sustentable. Esta situación genera buenas prospectivas que facilitarían acciones a las política de crear cultura investigativa e inversión en los escenarios de tecnología e innovación en estas regiones, las cuales evidenciarían el gran interés por el desarrollo investigativo a través de los lineamientos y reglamentaciones que apuestan por un ejercicio riguroso integrado y sobre todo respaldado, en el que docentes y estudiantes en la era digital optimicen las grandes ventajas de la investigación para su desarrollo social, ambiental, personal y profesional.
Esto muestra que los docentes en la era digital latinoamericanos que participaron en esta investigación se han visto en circunstancias económicas, políticas y sociales para ejercer adecuadamente su profesión, llegando al punto de un grado de doctor y no hacer investigación, afectando así las buenas prácticas investigativas, dejando entre ver una brecha de formación sobre competencias investigativas, interés en la investigación y manejo de habilidades para la nueva era digital. Los hallazgos en este trabajo muestran un problema por resolver en este campo de la docencia, los problemas que se presentan requieren de un colaborador que no solo conozca bien el terreno científico donde se desenvuelve, sino que cuente con un sin número de competencias y habilidades que, aunadas a un método innovador, le posibiliten el acceso a la producción de conocimiento a través del proceso de investigación científica.
Finalmente, y a partir de los resultados obtenidos fruto del análisis de la información, se puede decir que la cultura investigativa del docente digital latinoamericano muestra el interés vertiginoso en adaptarse a los cambios, generando competencias comunicativas e investigativas necesarias para la investigación. El docente en la era digital, además de reunir las características mencionadas, debe conocer el campo que le es propio y debe gustarle, con el fin de encontrar divertida y fascinante su tarea. De acuerdo con los principales hallazgos de esta investigación, se estima que las universidades en articulación con el Estado y la sociedad en general deberían trabajar de manera coordinada para mejorar las capacidades de investigación de sus cuerpos académicos y con ello la deconstrucción y reconstrucción de los programas de académicos.
Este trabajo está dedicado a la memoria de un joven y prometedor investigador el Dr. Romel González-Diaz. Nos deja la tarea de promover la cultura investigativa en todo el mundo.
Idea, AA-D; RG-D Revisión de literatura (estado del arte), RG-D.; AA-D.; Metodología, RG-D.; AA-D; Análisis de datos, AA-D; Resultados, AA-D; RG-D.; Discusión y conclusiones AA-D; RG-D; Redacción (borrador original), AA-D; RG-D.; Revisiones finales, AA-D; RG-D; Diseño del Proyecto y patrocinios, AA-D; RG-D. (1)
Published on 31/12/21
Accepted on 31/12/21
Submitted on 31/12/21
Volume 30, Issue 1, 2022
DOI: 10.3916/C70-2022-06
Licence: CC BY-NC-SA license
Are you one of the authors of this document?