1. Introducción

El dióxido de Titanio (TiO2) es uno de los semiconductores más utilizado debido a sus múltiples propiedades como su alto índice de refracción, su alta transparencia, es estable a la corrosión tanto química como física, etc…por ello se viene utilizando en la conversión y almacenamiento de energía solar, como sensor de gas, en catálisis, para tratamientos del agua.

En fotovoltaica, el TiO2 tiene varias aplicaciones, como recubrimiento antirreflectante [1], como contacto selectivo en diferentes células fotovoltaicas donde se están obteniendo resultados muy prometedores como en las células de perovskita, cuya eficiencia en la actualidad presenta una eficiencia del 24,05 % [2] o células solares sensibilizadas por colorante (DSSC) [3]

TiO2 es un semiconductor que puede ser encontrado en tres fases cristalinas, rutilo, anatasa y brookita. Las fases anatasa y rutilo existen en forma tetragonal mientras que la brookita tiene forma ortorrómbica que la hace menos interesante que las anteriores.

TiO2 posee un gap de energía de 3.2 e.V para la anatasa y 3.0 e.V para el rutilo. Estos valores se pueden modificar con la incorporación de iones metálicos de transición por lo que habría un mayor aprovechamiento de la luz solar. Existen numerosos estudios basados en Fe, Co y Al, en este trabajo se doparon las láminas de TiO2 con el metal de transición Mn.

El método de preparación del TiO2 tiene un efecto directo en las propiedades del material, ya que se generan diferencias en la estructura cristalina. Se pueden preparar por diferentes técnicas como: depósito por baño químico, pulverización catódica o “sputtering”, spray pyrolysis, sol-gel, etc.).

En este trabajo se ha optado por el método sol gel utilizando como técnica de depósito spin coating, ya que es un método sencillo y con bajo coste. El método sol gel consiste la transición de una suspensión coloidal de partículas sólidas a una fase sólida (sólido constituido por al menos dos fases, la fase líquida atrapada e inmovilizada por la fase sólida). Las reacciones químicas que ocurren durante la formación del sol y su transición a gel, son la hidrólisis y condensación.

2. Procedimiento Experimental

Se crecieron láminas de TiO2 dopadas con Mn sobre sustratos de vidrio y utilizando el sping coating a 2500 rpm. Esta técnica se basa en obtener láminas delgadas mediante centrifugación, primero se añade la disolución en el vidrio, a continuación, se produce una rotación acelerada, una rotación desacelerada y por último una evaporación. Se ha utilizado un spin-coater WS-655 series (Figura 1) con capacidad para sustratos circulares de radio de 150 mm.

Draft Asenjo 177809197-image1.png
Figura 1. spin-coater WS-655

2.1. Materiales

Se utilizaron como fuente de titanio Isoprópoxido de titanio (IV)(precursor A) y el Tetrabutóxido de titanio (IV) (precursor B), Alcohol Isopropanol, Ácido clorhídrico y como fuente de Mn (con concentraciones 0.2 y 0.6M) se partió de Nitrato de manganeso(II) tetrahidrato a temperatura ambiente.

2.2. Técnicas de caracterización

Para las medidas ópticas se realizaron medidas de transmitancia T y de reflectancia R de las muestras entre 350 y 2500 nm, utilizando un espectrofotómetro de doble haz, el PERKIN ELMER LAMBDA 900.

Mediante la Difracción de rayos X (DRX) se estudió la estructura de las láminas obtenidas. Las medidas se registraron con un difractómetro PHILIPS X´ PERTS-MPD, equipado con un polarizador de grafito, que utiliza radiación Cu Kα=1.540598 Å. Para el estudio de láminas delgadas se ha utilizado una variante conocida como “de ángulo de incidencia rasante” (“Grazing-incidence diffraction”). En ella la incidencia de rayos X se hace a un ángulo fijo pequeño, para total reflexión. Ello disminuye la profundidad de penetración de los rayos X, lo que permite estudiar láminas delgadas con menor influencia del substrato

Para comparar la morfología se realizaron imágenes ópticas mediante un Microscopio Óptico de la marca Nikon, con 4 objetivos: 5, 10, 40 y 100 aumentos.

Las medidas eléctricas se realizaron con un sistema de 4 puntas de la marca Signatone.

3. Resultados y discusión

Las láminas obtenidas presentaron diferentes espesores, 50, 80 y 100nm, dependiendo de los ciclos utilizados en el sping coating.

Draft Asenjo 177809197-image2-c.png Draft Asenjo 177809197-image3-c.png
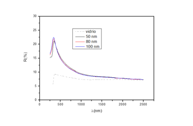
Figura 2. Espectros de transmitancia y reflectancia de láminas delgadas de Oxido de Titanio a 50, 80 y 100 nm preparadas a partir del precursor A

La figura 2 se muestran los espectros de transmitancia y reflectancia de las láminas obtenidas con espesores 50, 80 y 100 nm y misma concentración de Mn de partida. Se puede ver que los valores de transmitancia no difieren mucho, aunque se observa ligeramente algo más de diferencia en la intensidad del máximo de la reflectancia. Los valores más altos se observan alrededor de los 600 nm (luz visible).

Draft Asenjo 177809197-image4-c.png
Figura 3. Espectros del coeficiente de absorción de las láminas calculados a partir de los datos de la Fig. 1


En la figura 3, se observa que el borde de absorción está alrededor de 3.65 eV, valor un poco alto ya que la energía gap del TiO2 sin dopar está alrededor 3.2 eV para la estructura anatasa, cuyo valor es obtenido cuando se trata la lámina a 400ºC (Fig. 3a).

Draft Asenjo 177809197-image5-c.png
Figura 3a. Espectros del coeficiente de absorción de la lámina obtenida con espesor de 80 nm antes y después de calcinar a 400ºC.
Draft Asenjo 177809197-image6-c.jpeg
Draft Asenjo 177809197-image7-c.jpeg
Figura 4. Imágenes del microscopio óptico de las láminas obtenidas a partir del precursor B con 0.6 M (izquierda) y 0.2 M (derecha)[Mn].

Cuando se varia la concentración de Mn incorporado se observa una diferencia en la morfología, siendo más gruesa, menos homogénea la lámina que está más dopada (Fig. 4).

Draft Asenjo 177809197-image8-c.png
Figura 5. Difracción de rayos X a ángulo rasante (GAXRD) de láminas donde se utilizaron diferentes precursores (A y B).


Para estudiar la estructura cristalina de las láminas, se realizaron análisis GAXRD, los resultados se muestran en la Fig. 5. Las láminas preparadas con la misma concentración de Mn incorporado son bastantes amorfas, cuando se les realiza un tratamiento posterior a 400ºC es cuando aparecen los picos de difracción del óxido de Titanio en forma de anatasa (JPDS files no 21-1272). Ningún pico característico de óxido de manganeso se observa lo que puede indicar que el Mn elemental está disperso en la matriz de TiO2.

La resistividad eléctrica varía dependiendo de la fuente de titanio utilizada, siendo menor cuando se parte del precursor B: 7.77 Ω⋅cm frente a 36.3 Ω⋅cm del precursor A en las mismas condiciones de síntesis. Y disminuye al aumentar el porcentaje del dopante [0.6M]: 341 Ω⋅cm y [0.2M]: 582.04 Ω⋅cm .

4. Conclusión

Se han preparado láminas de óxido de titanio dopadas con Mn por el método sol gel mediante la técnica de spin coating, las láminas han presentado una cristalinidad independiente de la fuente de titanio de partida. La diferencia de espesor en el rango de 50 nm no es determinante para la variación de las propiedades. La influencia del dopante utilizado se ve reflejado en la morfología superficial y en la conductividad, cuanto más Mn incorporado mejor semiconductor es.

Bibliografía

[1] Afzal, A.; Habib, A.; Ulhasan, I.; Shahid, M.; Rehman, A. Antireflective Self-Cleaning TiO2 Coatings for Solar Energy Harvesting Applications. Front. Mater. 2021, 8, 687059



[2] Yong Ding, Bin Ding, Hiroyuki Kanda, Onovbaramwen Jennifer Usiobo, Thibaut Gallet. Nature Nanotechnology volume 17, pages598–605 (2022)


[3] Kuzmych O, Nonomura K, Johansson EMJ, Nyberg T, Hagfeldt A, Skompska M, Defect minimization and morphology optimization in TiO2 nanotube thin films, grown on transparent conducting substrate, for dye synthesized solar cell application, Thin Solid Films. Thin Solid Films. 2012;522: 71–78
Back to Top

Document information

Published on 08/01/25
Accepted on 26/01/24
Submitted on 02/04/23

Volume 08 - COMUNICACIONES MATCOMP21 (2022) Y MATCOMP23 (2023), Issue Núm. 7 - Caracterización - Sostenibilidad y Reciclaje, 2025
DOI: 10.23967/r.matcomp.2025.07.01
Licence: Other

Document Score

0

Views 77
Recommendations 0

Share this document

claim authorship

Are you one of the authors of this document?