1 Introducción

En las últimas décadas se han utilizado de manera habitual como modificadores de materiales poliméricos, nanopartículas de carbono, bien como nanotubos de carbono o como nanoláminas de grafeno. Dentro de los materiales poliméricos merecen especial mención las resinas termoestables de tipo epoxi, muy utilizadas como matrices de materiales compuestos y como adhesivos. Se ha reportado la mejora en propiedades mecánicas tales como la rigidez y resistencia, conductividad térmica y eléctrica, así como estabilidad térmica, asociada a contenidos de nanoaditivo que varían según los casos de 0,1 a 10 % en peso [1,2].

Recientemente ha adquirido especial interés la incorporación simultánea de nanotubos de carbono y grafeno a materiales termoestables buscando un efecto sinérgico en las propiedades de los materiales obtenidos. A pesar de la amplia bibliografía publicada sobre la caracterización de nanocompuestos de epoxi con nanorrefuerzos de carbono son escasos los estudios sobre el envejecimiento hidrotérmico de estos materiales [3,4]. Sin embargo, es bien sabido que la absorción de agua causa numerosos efectos no deseados, tales como hinchamiento, plastificación y en ciertos casos degradación, que pueden afectar significativamente la aplicación de estos materiales.

En este trabajo se ha investigado mediante gravimetría el proceso isotermo de absorción de agua, así como el efecto de la absorción de agua en las propiedades dinámico-mecánicas y en la conductividad eléctrica de varios nanocompuestos de matriz epoxídica dopados con nanotubos de carbono y nanoláminas de grafeno. La formulación epoxi elegida es un sistema epoxi-amina de interés aeronaútico de elevada temperatura de transición vítrea (Tg). Se han utilizado dos tipos de grafeno: grafeno funcionalizado con grupos amino (GNH2) de forma que la unión al termoestable sea por formación de enlaces tipo covalente y grafeno sin funcionalizar con el objetivo de comprobar el efecto de la funcionalización del grafeno en el nanocompuesto obtenido.

2 Experimental

2.1 Materiales

La resina epoxi utilizada es Araldite LY556 (Huntsman) de base diglicidil éter de bisfenol A (DGEBA). La amina aromática usada como agente de curado es Araldite XB3473 (Huntsman).

Se han utilizado nanotubos de carbono (CNT) de Nanocyl (NC7000) de longitud <1,5μm y diámetro 9,5 nm. El grafeno funcionalizado con 0,5% en peso de grupos amino (GNH2) ha sido suministrado por Cheaptubes y el grafeno sin funcionalizar (GM25) por XG Science. Las nanoláminas de GNH2 tienen longitud lateral de~5μm y un espesor menor de 4 nm. Las nanoláminas de GM25 tienen tamaño medio lateral de 25 μm y un espesor promedio de 6 nm. Se han preparado nanocompuestos conteniendo 5% en peso de GM25 y nanocompuestos conteniendo 5-12% en peso de GNH2. La proporción de nanotubos ha sido de 0,1% en peso en todos los casos, asegurando la percolación [5]. La composición de los materiales fabricados y su nomenclatura, se recogen en la Tabla 1.

Tabla 1. Materiales: nomenclatura y composición (porcentaje en peso)
Material CNT GNH2 GM25
Epoxi (Ep) - - -
Ep + 0.1 CNT 0.1 - -
Ep + 0.1CNT + 5GNH2 0.1 5 -
Ep + 0.1CNT + 8GNH2 0.1 8 -
Ep + 0.1CNT + 10GNH2 0.1 10 -
Ep + 0.1CNT + 12GNH2 0.1 12 -
Ep + 12GNH2 - 12 -
Ep + 0.1CNT + 5GM25 0.1 - 5


Para obtener una buena dispersión de los nanotubos y nanoláminas de grafeno, para la preparación de los nanocompuestos se utilizó una mini calandra de tres rodillos en la que la mezcla de la resina epoxi con los nanorrefuerzos se pasó cuatro veces [6]. La dispersión obtenida se desgasificó a 80ºC durante 15 minutos y a esta temperatura se añadió el agente de curado en relación estequiométrica (100g LY556: 23g XB3473). El curado se realizó a 140ºC durante 8 horas. A partir de las láminas curadas se cortaron probetas para medida de la absorción de agua y para DMTA de dimensiones 40x10x1,5-2 mm3, así como para la medida de la conductividad eléctrica de dimensiones 10x10x1,0-1,2 mm3.

2.2 Envejecimiento hidrotérmico

El envejecimiento hidrotérmico de las probetas se ha realizado en condiciones de inmersión total de las mismas en agua destilada. Las probetas sumergidas se mantuvieron a 40±0,5ºC.

A intervalos de tiempo apropiados las probetas se retiraban del agua, se secaban con papel absorbente e inmediatamente después se pesaban con precisión de 0,01 mg para determinar el aumento de masa, ΔM = M-M0, siendo M0 y M la masa inicial y la masa después de un tiempo de inmersión, t, respectivamente. Para cada composición se han estudiado 2 probetas.

2.3 Análisis térmico mecánico dinámico (DMTA)

El estudio por DMTA se realizó en modo de flexión en doble voladizo con un instrumento DMTAV Rheometric Scientific. Las medidas se efectuaron a 1, 2, 5, 10 y 50 Hz, con rampa de temperatura de 30ºC a 220ºC a 2ºC/min. La variación del módulo de almacenamiento (E´), del módulo de pérdida (E´´) y de la tangente de pérdida (tanδ) con la temperatura se registró para cada frecuencia. Los máximos en las curvas tanδ-temperatura se asocian a la relajación-α relacionada a la transición vítrea.

2.4 Medida de la conductividad eléctrica

La medida de la conductividad volumétrica se ha realizado de acuerdo a la norma ASTM D257 usando una fuente que suministra diferencia de potencial (KEITHLEY 2410) y la medida de la intensidad de corriente generada. Dos de los cantos opuestos de cada probeta se recubrieron con pintura de plata y se pusieron en contacto con los electrodos de la fuente de alimentación. La diferencia de potencial entre ellos varió de 0-16 V, midiéndose la intensidad en 9 puntos en este intervalo.

3 Resultados y Discusión

3.1 Absorción de agua

En la Figura 1a se muestran como ejemplo las curvas de absorción de agua: ΔM/M0 frente al tiempo, t, para varias muestras. Todas las muestras presentan un comportamiento similar.

Arribas et al 2019a-image5-c.jpeg
Figura 1.a) Aumento relativo de peso vs tiempo. b) Aumento relativo de peso vs raíz de tiempo dividido por el espesor de la probeta.

En todos los casos la incorporación de grafenos y/o nanotubos de carbono al termoestable curado, disminuye la absorción de agua. En la Tabla 2 se recogen los valores del aumento relativo de peso a saturación (ΔM/M0), tras 11 meses de inmersión (se da el valor promedio de las dos probetas estudiadas para cada composición). Puede observarse que en las muestras en las que se ha incorporado el GNH2 la absorción de agua es menor y tanto más baja cuando mayor es la cantidad de GNH2. Esto indica que la unión química de las nanoláminas de GNH2 con la matriz epoxi impide de forma más eficaz la absorción de agua. Sin embargo para la composición Ep+0.1CNT+5GM25 el aumento relativo de masa es cercano al que se produce en el termoestable epoxi sin aditivar.

En la Tabla 2 se muestra la absorción de agua referida a la masa de epoxi en cada muestra (ΔM/M0Ep).Se observa que el nanocompuesto con GM25 presenta similar saturación que el termoestable epoxi 1.9%, mientras que los nanocompuestos con GNH2 presentan menor saturación 1.8%, casi independiente del contenido en GNH2.

Tabla 2. Absorción de agua a saturación referido al peso total de la probeta y al peso de epoxi en la probeta expresado como porcentaje y coeficientes de difusión
Material ΔM/M0

%

ΔM/M0Ep

%

107

(mm2s-1)

Epoxi (Ep) 1.88 1.88 7.0
Ep + 0.1 CNT 1.75 1.75 6.9
Ep + 0.1CNT + 5GNH2 1.66 1.75 7.0
Ep + 0.1CNT + 8GNH2 1.64 1.78 6.9
Ep + 0.1CNT + 10GNH2 1.60 1.78 6.5
Ep + 0.1CNT + 12GNH2 1.61 1.83 6.0
Ep + 12GNH2 1.57 1.78 6.5
Ep + 0.1CNT + 5GM25 1.84 1.94 6.3


Los coeficientes de difusión, D, se han calculado suponiendo comportamiento de acuerdo a la ley de Fick:

Failed to parse (MathML with SVG or PNG fallback (recommended for modern browsers and accessibility tools): Invalid response ("Math extension cannot connect to Restbase.") from server "https://mathoid.scipedia.com/localhost/v1/":): \frac{\Delta M}{{\Delta M}_{\infty }}=\frac{4}{e}{\left( \frac{Dt}{\pi }\right) }^{1/2}\beta \quad \quad \quad \quad \quad \quad \quad \quad \quad \quad \quad \quad \quad \quad \, (1)


Para ello se ha representado la absorción de agua frente a t1/2/e, siendo e el espesor de la muestra. En la Figura 1b se muestran varias curvas a modo de ejemplo. A partir de la pendiente del primer tamo lineal y de acuerdo con la ecuación 1 se han obtenido los coeficientes de difusión que se muestran en la Tabla 2. La presencia de nanotubos (0.1%) y de GNH2 a baja concentración (5 y 8%) no modifica significativamente el coeficiente de difusión, pero a mayores concentraciones (10 y 12%) las nanoláminas de GNH2 disminuyen el coeficiente de difusión, es decir, dificultan la entrada de agua. Las nanoláminas grandes (GM25) son más efectivas (comparar resultados de Ep+0.1CNT+5GNH2 con Ep+0.1CNT+5GM25).

3.2 Propiedades dinámico mecánicas (DMTA)

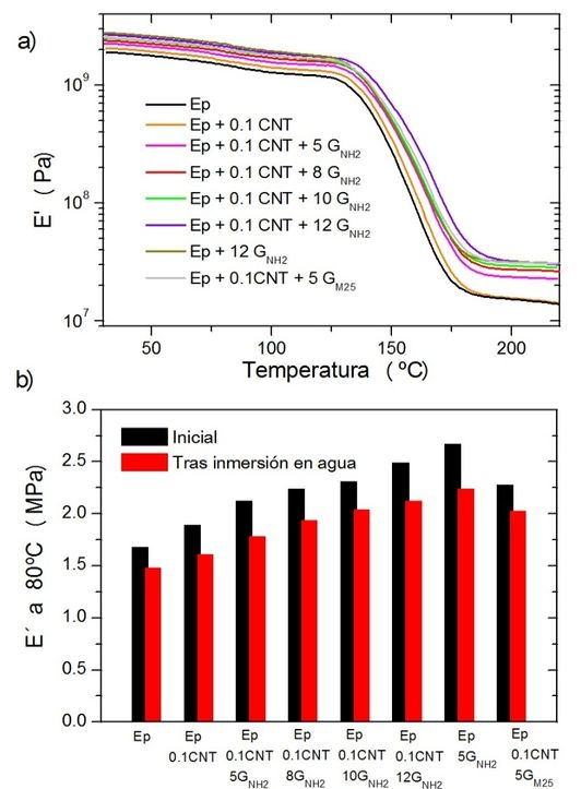
Se han realizado medidas de DMTA en las muestras sin envejecer y envejecidas (tras 11 meses de inmersión en agua a 40ºC). La Figura 2a muestra la variación de con la temperatura para algunas de las muestras envejecidas. Todas las curvas E´-Temperatura de los nanocompuestos quedan por encima de la correspondiente al termoestable no modificado.

En la Figura 2b se comparan los módulos de las muestras envejecidas y sin envejecer en la zona vítrea (T<Tg) Las nanoláminas y nanotubos de grafeno provocan un aumento de en la zona vítrea, este efecto aparece tanto en las muestras envejecidas, como en las no envejecidas. En la zona elastomérica (T>Tg) el aumento de por la presencia de nanorrefuerzo es más notorio que en la zona vítrea. La presencia de agua reduce en la zona vítrea un ~15% respecto a las muestras sin envejecer, independientemente del contenido de nanorrefuerzo. Este efecto no se detecta en la zona elastomérica ya que durante la medida se elimina el agua absorbida.

Arribas et al 2019a-image6-c.jpeg
Figura 2. a) vs Temperatura. b) E´ en la zona vítrea (T=80ºC) en muestras secas y tras envejecimiento hidrotérmico.

La Figura 3 muestra la variación de tanδ con la temperatura para algunas de las muestras envejecidas. Las curvas de tanδ presentan un doble pico característico de muestras que han absorbido agua. El primer pico corresponde a la Tg de la matriz epoxi plastificada por el agua, el segundo pico corresponde a la Tg de la matriz epoxi que ha perdido el agua durante la medida y coinciden con las Tgs de los materiales sin envejecer. En todas las composiciones las Tgs de los nano-compuestos son superiores a la del termoestable epoxi.

Arribas et al 2019a-image7-c.jpeg
Figura 3. Variación de tanδ con la temperatura tras envejecimiento hidrotérmico.

En relación a las medidas de conductividad se ha detectado: que la presencia de 0.1% CNT es suficiente para alcanzar la percolación eléctrica, que la adición de 5% GM25 triplica el valor de la conductividad, sin embargo la adición de GNH2 disminuye la conductividad. Finalmente la absorción de agua tiene una influencia mínima en la conductividad eléctrica de los nanocompuestos. En la Figura 4 se comparan los valores de conductividad de las muestras antes y después del envejecimiento hidrotérmico.

Arribas et al 2019a-image8-c.jpeg
Figura 4. Conductividad eléctrica de las muestras antes y después de su envejecimiento hidrotérmico.

4 Conclusiones

En nanocompuestos de matriz epoxi, la presencia de nanotubos (0.1%) y de GNH2 a baja concentración (5 y 8%) no modifica significativamente el coeficiente de difusión, pero a mayores concentraciones (10 y 12%) las nano-láminas de GNH2 disminuyen el coeficiente de difusión, es decir, dificultan la entrada de agua. Las nanoláminas grandes (GM25) son más efectivas

Las nanoláminas y nanotubos de grafeno aumentan la rigidez de las muestras no envejecidas y de las envejecidas en agua. La absorción de agua reduce el módulo en la zona vítrea.

El agua plastifica, esto es reduce Tg de los nanocompuestos y del termoestable, este efecto desaparece al calentar.

La conductividad eléctrica se debe fundamentalmente a la presencia de CNT, la absorción de agua tiene una influencia mínima en el valor de la conductividad eléctrica de los nanocompuestos.

Agradecimientos

Se agradece la financiación del Ministerio de Economía y Competitividad de España (Proyectos: MAT2013-46695-C3 y MAT2016-78825-C2)

Referencias

[1] H. Kesong, D.D. Kulkarni, C. Ikjuni, V. Tsukruk. Progress in Polymer Science, 39, pág.1934-1972 (2014).

[2] S. Yang, W. Lin, Y. Huang, H. Tien, J. Wang, C. Ma, S. Li, Y. Wang. Carbon, 49, pág. 793-803 (2011)

[3] S.G. Prolongo, M.R. Gude, A. Ureña. Composites: Part A 43, pág. 2169-2175 (2012).

[4] B.Tan, N.L.Thomas. J. Membrane Science, 514, pág. 595-612 (2016).

[5] S. G. Prolongo, M. R. Gude, A. Ureña. Journal of Adhesion Science and Technology, 24, pág. 1097–1112 (2010)

[6] S.G. Prolongo, A. Jimenez-Suarez, R. Moriche, A. Ureña. Composites Science and Technology, 86, pág.185-191 (2013)

Back to Top
GET PDF

Document information

Published on 20/01/19
Accepted on 20/01/19
Submitted on 20/01/19

Volume 03 - Comunicaciones Matcomp17 (2019), Issue Núm. 1 - Materiales (2), 2019
DOI: 10.23967/r.matcomp.2019.01.016
Licence: Other

Document Score

0

Views 3
Recommendations 0

Share this document

claim authorship

Are you one of the authors of this document?