Abstract

The analysis of nonlinear events related to physical phenomena is a popular issue in the modern day. The essential purpose of this work is to discover a novel approximate solution to the fractional nonlinear Benjamin Bona Mahony Peregrine Burgers equation (BBMPB) utilizing the natural decomposition method (NDM) of fractional order. The suggested approach provides analytical solutions that are extremely near to the exact solution obviating the complexities associated with many other approaches. The expected issue’s uniqueness theorem and convergence analysis are explored using Banach’s fixed-point theory. The reliability and accuracy of the recommended method were tested using numerical simulations. The graphs and tables reflect the results. The comparison of the suggested scheme’s solution with the exact solutions demonstrates that the scheme is efficient, methodical, and extremely exact in tackling nonlinear complicated phenomena.

Keywords: Fractional nonlinear Benjamin Bona Mahony Peregrine Burgers equation, convergence analysis, fractional natural decomposition method

1. Introduction

Differential equations (DEs) are becoming extremely important in industrial applications. These are necessary and stimulating since the majority of the operations are connected with rates of change, which are clearly shown by them. In particular, DEs provide concepts for analyzing occurrences and creating ideas in medicine, finance, engineering, economics, and other related fields of research [1-2]. The analysis and examination of these kinds of equations are based on the survey of the foundations that govern the majority of physical phenomena. Furthermore, the analysis of nonlinear systems using fractional operators is crucial for studying phenomena in everyday life. While illustrating real-world issues connected with complexity, the researchers investigated its characteristics in greater depth and discovered that each notion has its own boundaries. However, several scholars discovered numerous limits and flaws in classical calculus while researching problems involving memory or hereditary characteristics. Many researchers use the core concepts and accompanying principles of FC to illustrate their points of view on many types of nonlinear phenomena [3-5]. They later suggested additional operators defined using fractional order. Accordingly, many scholars are drawn to the notion of fractional calculus while examining various models [6-8].

The research on nonlinear analysis in relation to the everyday demands of living beings drew the attention of all scholars due to its importance in modernization. Finding the solution for the relevant system is as important as modeling with mathematical tools. In this way, there are various techniques accessible in the literature [9-11]. Furthermore, each algorithm has its own set of requirements as well as its own set of restrictions. On the other hand, scholars are developing new techniques by overcoming constraints such as large computations, low precision, complex procedures, calculating time, and so on. There are several strategies available in the literature, many of which are quite accurate. The Adomian decomposition technique is one of the approaches with excellent accuracy and dependability [12-13]. Researchers are always exploring and attempting to suggest new techniques by altering, fostering, combining, or upgrading current ones. In this way, the researchers proposed a new method by introducing natural transform (NT) to the ADM, which is called the natural decomposition method (NDM) in the classical order [14-16]. Then this method was generalized and presented in fractional order [17-20].

In many areas of mathematics and science, pseudo-parabolic equations are found, and the highest-order term in these equations has a one-time derivative. They have been utilized to study clay consolidation, thermodynamics, shear in second-order fluids, fluid flow in fissured rock, and propagation of long waves with tiny amplitudes, among other things [21-24]. The generalized Benjamin-Bona-Mahony-Burgers (BBMB) equation is a significant particular instance of pseudo-parabolic-type equations that can be written as follows:

Failed to parse (MathML with SVG or PNG fallback (recommended for modern browsers and accessibility tools): Invalid response ("Math extension cannot connect to Restbase.") from server "https://mathoid.scipedia.com/localhost/v1/":): {\omega }_{t}-{\omega }_{xxt}-\alpha {\omega }_{xx}+\gamma {\omega }_{x}+g{\left( \omega \right) }_{x}\,\, = \,\, 0,
(1)

where Failed to parse (MathML with SVG or PNG fallback (recommended for modern browsers and accessibility tools): Invalid response ("Math extension cannot connect to Restbase.") from server "https://mathoid.scipedia.com/localhost/v1/":): {\textstyle \gamma}

 denotes any genuine constant value, Failed to parse (MathML with SVG or PNG fallback (recommended for modern browsers and accessibility tools): Invalid response ("Math extension cannot connect to Restbase.") from server "https://mathoid.scipedia.com/localhost/v1/":): {\textstyle \alpha}
 denotes a positive constant, Failed to parse (MathML with SVG or PNG fallback (recommended for modern browsers and accessibility tools): Invalid response ("Math extension cannot connect to Restbase.") from server "https://mathoid.scipedia.com/localhost/v1/":): {\textstyle \omega \left( x,t\right)}
 is the horizontal fluid velocity, and Failed to parse (MathML with SVG or PNG fallback (recommended for modern browsers and accessibility tools): Invalid response ("Math extension cannot connect to Restbase.") from server "https://mathoid.scipedia.com/localhost/v1/":): {\textstyle g\left( \omega \right)}
 is a nonlinear Failed to parse (MathML with SVG or PNG fallback (recommended for modern browsers and accessibility tools): Invalid response ("Math extension cannot connect to Restbase.") from server "https://mathoid.scipedia.com/localhost/v1/":): {\textstyle {C}^{2}}
smooth function. Peregrine [25], and Benjamin et al. [26] suggested an alternative regularised long-wave equation if Failed to parse (MathML with SVG or PNG fallback (recommended for modern browsers and accessibility tools): Invalid response ("Math extension cannot connect to Restbase.") from server "https://mathoid.scipedia.com/localhost/v1/":): {\textstyle \alpha =}

Failed to parse (MathML with SVG or PNG fallback (recommended for modern browsers and accessibility tools): Invalid response ("Math extension cannot connect to Restbase.") from server "https://mathoid.scipedia.com/localhost/v1/":): 0 , Failed to parse (MathML with SVG or PNG fallback (recommended for modern browsers and accessibility tools): Invalid response ("Math extension cannot connect to Restbase.") from server "https://mathoid.scipedia.com/localhost/v1/":): {\textstyle \gamma =1,}

and Failed to parse (MathML with SVG or PNG fallback (recommended for modern browsers and accessibility tools): Invalid response ("Math extension cannot connect to Restbase.") from server "https://mathoid.scipedia.com/localhost/v1/":): {\textstyle g{\left( \omega \right) }_{x}=}

Failed to parse (MathML with SVG or PNG fallback (recommended for modern browsers and accessibility tools): Invalid response ("Math extension cannot connect to Restbase.") from server "https://mathoid.scipedia.com/localhost/v1/":): \omega {\omega }_{x}

in Eq. (1), which is known as the Kortewegde Vries equation
Failed to parse (MathML with SVG or PNG fallback (recommended for modern browsers and accessibility tools): Invalid response ("Math extension cannot connect to Restbase.") from server "https://mathoid.scipedia.com/localhost/v1/":): {\omega }_{t}+{\omega }_{xxt}+{\omega }_{x}+\omega {\omega }_{x}\,\, = \,\, 0.
(2)


If Failed to parse (MathML with SVG or PNG fallback (recommended for modern browsers and accessibility tools): Invalid response ("Math extension cannot connect to Restbase.") from server "https://mathoid.scipedia.com/localhost/v1/":): {\textstyle g{\left( \omega \right) }_{x}=\theta \omega {\omega }_{x}+} Failed to parse (MathML with SVG or PNG fallback (recommended for modern browsers and accessibility tools): Invalid response ("Math extension cannot connect to Restbase.") from server "https://mathoid.scipedia.com/localhost/v1/":): \beta {\omega }_{xxx}

in Eq. (1), then the generic form of the BBMPB equation is thus obtained as follows
Failed to parse (MathML with SVG or PNG fallback (recommended for modern browsers and accessibility tools): Invalid response ("Math extension cannot connect to Restbase.") from server "https://mathoid.scipedia.com/localhost/v1/":): {\omega }_{t}-{\omega }_{xxt}-\alpha {\omega }_{xx}+\gamma {\omega }_{x}+\theta \omega {\omega }_{x}+\beta {\omega }_{xxx}\,\, = \,\, 0.
(3)


If we put Failed to parse (MathML with SVG or PNG fallback (recommended for modern browsers and accessibility tools): Invalid response ("Math extension cannot connect to Restbase.") from server "https://mathoid.scipedia.com/localhost/v1/":): {\textstyle \alpha =\beta =0}

in Eq. (3), then this is the Benjamin-Bona-Mahony (BBM) equation in its general form
Failed to parse (MathML with SVG or PNG fallback (recommended for modern browsers and accessibility tools): Invalid response ("Math extension cannot connect to Restbase.") from server "https://mathoid.scipedia.com/localhost/v1/":): {\omega }_{t}-{\omega }_{xxt}+\gamma {\omega }_{x}+\theta \omega {\omega }_{x}\,\, = \,\, 0,
(4)

where Failed to parse (MathML with SVG or PNG fallback (recommended for modern browsers and accessibility tools): Invalid response ("Math extension cannot connect to Restbase.") from server "https://mathoid.scipedia.com/localhost/v1/":): {\textstyle \theta \not =0}

and Failed to parse (MathML with SVG or PNG fallback (recommended for modern browsers and accessibility tools): Invalid response ("Math extension cannot connect to Restbase.") from server "https://mathoid.scipedia.com/localhost/v1/":): {\textstyle \gamma}
 are arbitrary constants. Eq. (4) contains various forms of BBM equations as seen in the research [27-30].

In this article, we use NDM to solve the fractional nonlinear Benjamin Bona Mahony Peregrine Burgers equation. In addition, the behavior of the results is described in terms of fractional order. The remainder of the work is organized as follows: in the next section, we explain the fundamental concepts of FC and NDM of fractional order, which are then used to obtain the needed results. Section 3 shows the basic solution method of the proposed technique using the Caputo fractional operator. Section 4 proves the proposed algorithm’s uniqueness theorem and convergence analysis. In Section 5, we obtain the solution to the fractional nonlinear BBMPB problem using the fundamental NDM. In addition, we give the numerical results and graphs for the found solution in the same section. Finally, we draw conclusions about the stored findings in terms of the considered technique and model.

2. Preliminaries to FC

2.1 Definition I

The fractional integral operator of Riemann-Liouville of a function Failed to parse (MathML with SVG or PNG fallback (recommended for modern browsers and accessibility tools): Invalid response ("Math extension cannot connect to Restbase.") from server "https://mathoid.scipedia.com/localhost/v1/":): {\textstyle \omega \left( \theta \right) \in {C}_{\zeta },\zeta \geq -} Failed to parse (MathML with SVG or PNG fallback (recommended for modern browsers and accessibility tools): Invalid response ("Math extension cannot connect to Restbase.") from server "https://mathoid.scipedia.com/localhost/v1/":): 1

is defined in Podlubny [3]
Failed to parse (MathML with SVG or PNG fallback (recommended for modern browsers and accessibility tools): Invalid response ("Math extension cannot connect to Restbase.") from server "https://mathoid.scipedia.com/localhost/v1/":): {J}_{a}^{\zeta }\omega \left( \theta \right) =\left\{ \begin{matrix}\frac{1}{\Gamma \left( \zeta +1\right) }\displaystyle\int_{a}^{\theta }\omega \left( \theta \right) {\left( d\theta \right) }^{\zeta }=\frac{1}{\Gamma \left( \zeta \right) }\displaystyle\int_{a}^{\theta }{\left( \theta -\upsilon \right) }^{\zeta -1}\omega \left( \upsilon \right) d\upsilon ,&\theta ,\zeta >0,\\\omega \left( \theta \right) ,&\zeta =0.\end{matrix}\right.
(5)

2.2 Definition II

The Caputo fractional differential operator of order Failed to parse (MathML with SVG or PNG fallback (recommended for modern browsers and accessibility tools): Invalid response ("Math extension cannot connect to Restbase.") from server "https://mathoid.scipedia.com/localhost/v1/":): {\textstyle \zeta >0}

is defined in Podlubny [3]
Failed to parse (MathML with SVG or PNG fallback (recommended for modern browsers and accessibility tools): Invalid response ("Math extension cannot connect to Restbase.") from server "https://mathoid.scipedia.com/localhost/v1/":): {D}_{\ast }^{\zeta }\omega \left( \theta \right) =\left\{ \begin{matrix}\frac{{d}^{k}}{d{\theta }^{k}}\omega \left( \theta \right) ,&\zeta =k\displaystyle\in N,\\\frac{1}{\Gamma \left( k-\zeta \right) }\displaystyle\int_{0}^{\theta }{\left( \theta -\upsilon \right) }^{k-\zeta -1}{\omega }^{\left( k\right) }\left( \upsilon \right) d\upsilon ,&k-1<\zeta \leq k\in N.\end{matrix}\right.
(6)

2.3 Definition III

The Mittag-Leffler of a one-parameter function Failed to parse (MathML with SVG or PNG fallback (recommended for modern browsers and accessibility tools): Invalid response ("Math extension cannot connect to Restbase.") from server "https://mathoid.scipedia.com/localhost/v1/":): {\textstyle {E}_{\zeta }\left( \theta \right)}

 with Failed to parse (MathML with SVG or PNG fallback (recommended for modern browsers and accessibility tools): Invalid response ("Math extension cannot connect to Restbase.") from server "https://mathoid.scipedia.com/localhost/v1/":): {\textstyle \zeta >0}
is given in Mainardi [31]
Failed to parse (MathML with SVG or PNG fallback (recommended for modern browsers and accessibility tools): Invalid response ("Math extension cannot connect to Restbase.") from server "https://mathoid.scipedia.com/localhost/v1/":): {E}_{\zeta }\left( \theta \right) =\sum _{i=0}^{\infty }\frac{{\theta }^{i}}{\Gamma \left( i\zeta +1\right) }
(7)

2.4 Definition IV

The natural transform (NT) of Failed to parse (MathML with SVG or PNG fallback (recommended for modern browsers and accessibility tools): Invalid response ("Math extension cannot connect to Restbase.") from server "https://mathoid.scipedia.com/localhost/v1/":): {\textstyle \omega \left( \theta \right)} , which is defined as

Failed to parse (MathML with SVG or PNG fallback (recommended for modern browsers and accessibility tools): Invalid response ("Math extension cannot connect to Restbase.") from server "https://mathoid.scipedia.com/localhost/v1/":): {N}^{+}\left\{\omega (\theta ) \right\} \,\, = \,\, \int_{-\infty}^{\infty}{e}^{-s\theta}\omega (z\theta) d\theta,\quad s,z\in (-\infty,\infty).
(8)

2.5 Definition V

The effect of the natural transform on the Caputo operator is given in Loonker and Banerji [32]

Failed to parse (MathML with SVG or PNG fallback (recommended for modern browsers and accessibility tools): Invalid response ("Math extension cannot connect to Restbase.") from server "https://mathoid.scipedia.com/localhost/v1/":): {N}^{+}\left\{ {D}^{\zeta }\omega \left( \theta \right) \right\} \,\, = \,\, \frac{{z}^{\zeta }}{{s}^{\zeta }}{N}^{+}\left\{ \omega \left( \theta \right) \right\} -

Failed to parse (MathML with SVG or PNG fallback (recommended for modern browsers and accessibility tools): Invalid response ("Math extension cannot connect to Restbase.") from server "https://mathoid.scipedia.com/localhost/v1/":): \sum _{i=0}^{n-1}\frac{{z}^{i-\zeta }}{{s}^{i+1-\zeta }}{\left[ {D}^{i}\omega \left( \theta \right) \right] }_{\theta =0},n- Failed to parse (MathML with SVG or PNG fallback (recommended for modern browsers and accessibility tools): Invalid response ("Math extension cannot connect to Restbase.") from server "https://mathoid.scipedia.com/localhost/v1/":): 1<\zeta \leq n.

(9)

3. Construction of fractional NDM

We consider a general form of fractional nonlinear partial differential equation to demonstrate the underlying theory and solution technique of the suggested approach as

Failed to parse (MathML with SVG or PNG fallback (recommended for modern browsers and accessibility tools): Invalid response ("Math extension cannot connect to Restbase.") from server "https://mathoid.scipedia.com/localhost/v1/":): {D}_{t}^{\zeta }\omega \left( x,t\right) +R\omega \left( x,t\right) +F\omega \left( x,t\right) \,\, = \,\, \hslash \left( x,t\right) ,n-1<\zeta \leq n,
(10)

with the initial condition

Failed to parse (MathML with SVG or PNG fallback (recommended for modern browsers and accessibility tools): Invalid response ("Math extension cannot connect to Restbase.") from server "https://mathoid.scipedia.com/localhost/v1/":): \omega \left( x,0\right) \,\, = \,\, v\left( x\right) ,
(11)

where Failed to parse (MathML with SVG or PNG fallback (recommended for modern browsers and accessibility tools): Invalid response ("Math extension cannot connect to Restbase.") from server "https://mathoid.scipedia.com/localhost/v1/":): {\textstyle {D}_{t}^{\zeta }=\frac{{\partial }^{\zeta }}{\partial {t}^{\zeta }}}

denotes the Caputo operator of Failed to parse (MathML with SVG or PNG fallback (recommended for modern browsers and accessibility tools): Invalid response ("Math extension cannot connect to Restbase.") from server "https://mathoid.scipedia.com/localhost/v1/":): {\textstyle \omega \left( x,t\right)}

, Failed to parse (MathML with SVG or PNG fallback (recommended for modern browsers and accessibility tools): Invalid response ("Math extension cannot connect to Restbase.") from server "https://mathoid.scipedia.com/localhost/v1/":): {\textstyle R}

denotes the linear function, Failed to parse (MathML with SVG or PNG fallback (recommended for modern browsers and accessibility tools): Invalid response ("Math extension cannot connect to Restbase.") from server "https://mathoid.scipedia.com/localhost/v1/":): {\textstyle F}
denotes the non-linear function, and Failed to parse (MathML with SVG or PNG fallback (recommended for modern browsers and accessibility tools): Invalid response ("Math extension cannot connect to Restbase.") from server "https://mathoid.scipedia.com/localhost/v1/":): {\textstyle \hslash \left( x,t\right)}
 signifies the source term. Using the NT on Eq. (10), we get
Failed to parse (MathML with SVG or PNG fallback (recommended for modern browsers and accessibility tools): Invalid response ("Math extension cannot connect to Restbase.") from server "https://mathoid.scipedia.com/localhost/v1/":): {N}^{+}\left[D_{t}^{\zeta}\omega\left(x,t\right)\right]+\mathbb{N}^{+}\left[\mathcal{R}\omega(x,t)\right]+\mathbb{N}^{+}\left[\mathcal{F}\omega(x,t)\right] \,\, = \,\, \mathbb{N}^{+}\left[\hbar\left(x,t\right)\right].

Applying definition 5, we get

Failed to parse (MathML with SVG or PNG fallback (recommended for modern browsers and accessibility tools): Invalid response ("Math extension cannot connect to Restbase.") from server "https://mathoid.scipedia.com/localhost/v1/":): {N}^{+}\left[ \omega \left( x,t\right) \right] \,\, = \,\, \frac{{z}^{\zeta }}{{s}^{\zeta }}\sum _{i=0}^{n-1}\frac{{z}^{i-\zeta }}{{s}^{i+1-\zeta }}{\left[ {D}^{i}\omega \left( t\right) \right] }_{t=0}+\frac{{z}^{\zeta }}{{s}^{\zeta }}{N}^{+}\left[ \hslash \left( x,t\right) \right] -\frac{{z}^{\zeta }}{{s}^{\zeta }}{N}^{+}\left[ R\omega \left( x,t\right) +F\omega \left( x,t\right) \right].
(12)


Utilize the inverse NT on the above equation to obtain

Failed to parse (MathML with SVG or PNG fallback (recommended for modern browsers and accessibility tools): Invalid response ("Math extension cannot connect to Restbase.") from server "https://mathoid.scipedia.com/localhost/v1/":): \omega \left( x,t\right) \,\, = \,\, H\left( x,t\right) +{N}^{-}\left\{ \frac{{z}^{\zeta }}{{s}^{\zeta }}{N}^{+}\left[ \hslash \left( x,t\right) -R\omega \left( x,t\right) -F\omega \left( x,t\right) \right] \right\} .
(13)

Failed to parse (MathML with SVG or PNG fallback (recommended for modern browsers and accessibility tools): Invalid response ("Math extension cannot connect to Restbase.") from server "https://mathoid.scipedia.com/localhost/v1/":): {\textstyle H\left( x,t\right)}

 identified using nonhomogeneous terms and the provided guess condition. The infinite series solution is given as
Failed to parse (MathML with SVG or PNG fallback (recommended for modern browsers and accessibility tools): Invalid response ("Math extension cannot connect to Restbase.") from server "https://mathoid.scipedia.com/localhost/v1/":): \omega (x,t)=\sum_{n=0}^{\infty }{\omega}_{n}(x,t), \qquad F\omega (x,t) =\sum_{n=0}^{\infty }{A}_{n},
(14)

where Failed to parse (MathML with SVG or PNG fallback (recommended for modern browsers and accessibility tools): Invalid response ("Math extension cannot connect to Restbase.") from server "https://mathoid.scipedia.com/localhost/v1/":): {\textstyle {A}_{n}}

is signifies the nonlinear component of Failed to parse (MathML with SVG or PNG fallback (recommended for modern browsers and accessibility tools): Invalid response ("Math extension cannot connect to Restbase.") from server "https://mathoid.scipedia.com/localhost/v1/":): {\textstyle F\omega \left( x,t\right)}

, and we have

Failed to parse (MathML with SVG or PNG fallback (recommended for modern browsers and accessibility tools): Invalid response ("Math extension cannot connect to Restbase.") from server "https://mathoid.scipedia.com/localhost/v1/":): \sum _{n=0}^{\infty }{\omega }_{n}\left( x,t\right) \,\, = \,\, H\left( x,t\right) +{N}^{-}\left\{ \frac{{z}^{\zeta }}{{s}^{\zeta }}{N}^{+}\left[ \hslash \left( x,t\right) -R\omega \left( x,t\right) -F\omega \left( x,t\right) \right] \right\} .
(15)


Lastly, the analytical solutions are provided in the form of

Failed to parse (MathML with SVG or PNG fallback (recommended for modern browsers and accessibility tools): Invalid response ("Math extension cannot connect to Restbase.") from server "https://mathoid.scipedia.com/localhost/v1/":): \omega \left( x,t\right) \,\, = \,\, \sum _{n=0}^{\infty }{\omega }_{n}\left( x,t\right) .
(16)

4. Convergence analysis of NDM

The uniqueness and existence theorems are the instruments that lead one to infer that there is only one solution that satisfies a specific initial condition for a given problem.

4.1 Theorem 1

The solution provided with the aid of NDM for the BBMPM equation is unique wherever Failed to parse (MathML with SVG or PNG fallback (recommended for modern browsers and accessibility tools): Invalid response ("Math extension cannot connect to Restbase.") from server "https://mathoid.scipedia.com/localhost/v1/":): {\textstyle \chi \in \left( 0,1\right)} , where

Failed to parse (MathML with SVG or PNG fallback (recommended for modern browsers and accessibility tools): Invalid response ("Math extension cannot connect to Restbase.") from server "https://mathoid.scipedia.com/localhost/v1/":): \chi \,\, = \,\, \left\{ {\epsilon }^{3}+\alpha {\varphi }^{2}-\gamma \varphi -\theta \left( X+Y\right) -\beta {\varphi }^{3}\right\} \Xi
(17)

Proof

The analytical solution determined for the BBMPM equation is given as

Failed to parse (MathML with SVG or PNG fallback (recommended for modern browsers and accessibility tools): Invalid response ("Math extension cannot connect to Restbase.") from server "https://mathoid.scipedia.com/localhost/v1/":): \omega \left( x,t\right) =\sum _{j=0}^{\infty }{\omega }_{j}\left( x,t\right) {q}^{j},
(18)

where

Failed to parse (MathML with SVG or PNG fallback (recommended for modern browsers and accessibility tools): Invalid response ("Math extension cannot connect to Restbase.") from server "https://mathoid.scipedia.com/localhost/v1/":): {\omega }_{m+1}\left( x,t\right) ={N}^{-}\left\{ \frac{\phi \left( x\right) }{s}\right\} +{N}^{-}\Bigg\{ \left( \frac{{z}^{\zeta }}{{s}^{\zeta }}\right) {N}^{+}\Bigg[{\left( {\omega }_{m}\right) }_{xxt}+\alpha {\left( {\omega }_{m}\right) }_{xx}-\gamma {\left( {\omega }_{m}\right) }_{x}-

Failed to parse (MathML with SVG or PNG fallback (recommended for modern browsers and accessibility tools): Invalid response ("Math extension cannot connect to Restbase.") from server "https://mathoid.scipedia.com/localhost/v1/":): \theta \sum _{i=0}^{m}{\omega }_{i}{\left( {\omega }_{m-i}\right) }_{x}-\beta {\left( {\omega }_{m}\right) }_{3x}\Bigg]\Bigg\}.

(19)


Let Failed to parse (MathML with SVG or PNG fallback (recommended for modern browsers and accessibility tools): Invalid response ("Math extension cannot connect to Restbase.") from server "https://mathoid.scipedia.com/localhost/v1/":): {\textstyle \omega}

 and  be the two solutions for the BBMPM equation such that Failed to parse (MathML with SVG or PNG fallback (recommended for modern browsers and accessibility tools): Invalid response ("Math extension cannot connect to Restbase.") from server "https://mathoid.scipedia.com/localhost/v1/":): {\textstyle \left| \omega \right| \leq X}
and Failed to parse (MathML with SVG or PNG fallback (recommended for modern browsers and accessibility tools): Invalid response ("Math extension cannot connect to Restbase.") from server "https://mathoid.scipedia.com/localhost/v1/":): {\textstyle \left| \right| \leq Y}

, then usage of the equation above, we obtain

Failed to parse (MathML with SVG or PNG fallback (recommended for modern browsers and accessibility tools): Invalid response ("Math extension cannot connect to Restbase.") from server "https://mathoid.scipedia.com/localhost/v1/":): \vert \omega -\vert \,\, = \,\, \vert {N}^{-}\left\{ \left( \frac{{z}^{\zeta }}{{s}^{\zeta }}\right) {N}^{+}\left[ \left( {\omega }_{xxt}-{}_{xxt}\right) +\alpha \left( {\omega }_{xx}-{}_{xx}\right) -\gamma \left( {\omega }_{x}-{}_{x}\right) -\theta \left( {\omega }^{2}-{}^{2}\right) -\beta \left( {\omega }_{3x}-{}_{3x}\right) \right] \right\} \vert .
(20)

Transform by using the convolution principle for NT, we obtain

Failed to parse (MathML with SVG or PNG fallback (recommended for modern browsers and accessibility tools): Invalid response ("Math extension cannot connect to Restbase.") from server "https://mathoid.scipedia.com/localhost/v1/":): \begin{align}\vert \omega -\vert &=\,\,\int_{0}^{\phi }\left\{ \vert {\omega }_{2xt}-{}_{2xt}\vert +\alpha \vert {\omega }_{2x}-{}_{2x}\vert -\gamma \vert {\omega }_{x}-{}_{x}\vert -\theta \vert {\omega }^{2}-{}^{2}\vert -\beta \vert {\omega }_{3x}-{}_{3x}\vert \right\} \frac{{\left( \phi -\tau \right) }^{\zeta }}{\Gamma \left( \zeta +1\right) }d\tau .\\ &\leq \,\,\int_{0}^{\phi }\left\{ \frac{{\partial }^{3}}{\partial {x}^{2}\partial t}\vert \omega -\vert +\frac{\alpha {\partial }^{2}}{\partial {x}^{2}}\vert \omega -\vert -\frac{\gamma \partial }{\partial x}\vert \omega -\vert -\theta \vert \left( \omega -\right) \left( \omega +\right) \vert -\frac{\beta {\partial }^{3}}{\partial {x}^{3}}\vert \omega -\vert \right\} \frac{{\left( \phi -\tau \right) }^{\zeta }}{\Gamma \left( \zeta +1\right) }d\tau .\\ &\leq \,\,\left\{ \frac{{\partial }^{3}}{\partial {x}^{2}\partial t}\vert \omega -\vert +\frac{\alpha {\partial }^{2}}{\partial {x}^{2}}\vert \omega -\vert -\frac{\gamma \partial }{\partial x}\vert \omega -\vert -\theta \vert \omega -\vert \vert \omega +\vert -\frac{\beta {\partial }^{3}}{\partial {x}^{3}}\vert \omega -\vert \right\} \int_{0}^{\phi }\frac{{\left( \phi -\tau \right) }^{\zeta }}{\Gamma \left( \zeta +1\right) }d\tau .\\ &\leq \,\,\left\{ {\epsilon }^{3}\vert \omega -\vert +\alpha {\varphi }^{2}\vert \omega -\vert -\gamma \varphi \vert \omega -\vert -\theta \left( X+Y\right) \vert \omega -\vert -\beta {\varphi }^{3}\vert \omega -\vert \right\} \frac{{\phi }^{\zeta +1}}{\Gamma \left( \zeta +2\right) }, \end{align}
(21)

where Failed to parse (MathML with SVG or PNG fallback (recommended for modern browsers and accessibility tools): Invalid response ("Math extension cannot connect to Restbase.") from server "https://mathoid.scipedia.com/localhost/v1/":): {\textstyle {\varphi }^{n}=\frac{{\partial }^{n}}{\partial {x}^{n}},n=} Failed to parse (MathML with SVG or PNG fallback (recommended for modern browsers and accessibility tools): Invalid response ("Math extension cannot connect to Restbase.") from server "https://mathoid.scipedia.com/localhost/v1/":): 1,2,3

and Failed to parse (MathML with SVG or PNG fallback (recommended for modern browsers and accessibility tools): Invalid response ("Math extension cannot connect to Restbase.") from server "https://mathoid.scipedia.com/localhost/v1/":): {\textstyle {\epsilon }^{3}=\frac{{\partial }^{3}}{\partial {x}^{2}\partial t}}

. To minimise the previous equation as follows, we can use the integral mean value [33]

Failed to parse (MathML with SVG or PNG fallback (recommended for modern browsers and accessibility tools): Invalid response ("Math extension cannot connect to Restbase.") from server "https://mathoid.scipedia.com/localhost/v1/":): \begin{align}\vert \omega -\vert \,\, & \leq \,\, \left\{ {\epsilon }^{3}\vert \omega -\vert +\alpha {\varphi }^{2}\vert \omega -\vert -\gamma \varphi \vert \omega -\vert -\theta \left( X+Y\right) \vert \omega -\vert -\beta {\varphi }^{3}\vert \omega -\vert \right\} \Xi .\\ &\leq \,\,\chi \left| \omega -\right|,\end{align}
(22)

Failed to parse (MathML with SVG or PNG fallback (recommended for modern browsers and accessibility tools): Invalid response ("Math extension cannot connect to Restbase.") from server "https://mathoid.scipedia.com/localhost/v1/":): {\textstyle \therefore \left( 1-\chi \right) \vert \omega -\vert \leq 0} . Since Failed to parse (MathML with SVG or PNG fallback (recommended for modern browsers and accessibility tools): Invalid response ("Math extension cannot connect to Restbase.") from server "https://mathoid.scipedia.com/localhost/v1/":): {\textstyle 0<\chi <1} , therefore Failed to parse (MathML with SVG or PNG fallback (recommended for modern browsers and accessibility tools): Invalid response ("Math extension cannot connect to Restbase.") from server "https://mathoid.scipedia.com/localhost/v1/":): {\textstyle \vert \omega -} Failed to parse (MathML with SVG or PNG fallback (recommended for modern browsers and accessibility tools): Invalid response ("Math extension cannot connect to Restbase.") from server "https://mathoid.scipedia.com/localhost/v1/":): \vert =0 , which gives Failed to parse (MathML with SVG or PNG fallback (recommended for modern browsers and accessibility tools): Invalid response ("Math extension cannot connect to Restbase.") from server "https://mathoid.scipedia.com/localhost/v1/":): {\textstyle \omega =} , where Failed to parse (MathML with SVG or PNG fallback (recommended for modern browsers and accessibility tools): Invalid response ("Math extension cannot connect to Restbase.") from server "https://mathoid.scipedia.com/localhost/v1/":): {\textstyle \omega =} Failed to parse (MathML with SVG or PNG fallback (recommended for modern browsers and accessibility tools): Invalid response ("Math extension cannot connect to Restbase.") from server "https://mathoid.scipedia.com/localhost/v1/":): \frac{{\phi }^{\zeta +1}}{\Gamma \left( \zeta +2\right) } . Hence, the analytical solution is unique.

4.2 Theorem 2

Presume that

Failed to parse (MathML with SVG or PNG fallback (recommended for modern browsers and accessibility tools): Invalid response ("Math extension cannot connect to Restbase.") from server "https://mathoid.scipedia.com/localhost/v1/":): \left\| F\left( \omega \right) -F\left( s\right) \right\| \,\,\leq \,\, \chi \left\| \omega -s\right\| ,\forall \omega ,s\in B,\chi \in \left( 0,1\right) ,
(23)

where Failed to parse (MathML with SVG or PNG fallback (recommended for modern browsers and accessibility tools): Invalid response ("Math extension cannot connect to Restbase.") from server "https://mathoid.scipedia.com/localhost/v1/":): {\textstyle B}

is a Banach space with Failed to parse (MathML with SVG or PNG fallback (recommended for modern browsers and accessibility tools): Invalid response ("Math extension cannot connect to Restbase.") from server "https://mathoid.scipedia.com/localhost/v1/":): {\textstyle F:B\rightarrow B}

. The preceding theorem and the fixed-point principle of Banach [34] was used to infer that Failed to parse (MathML with SVG or PNG fallback (recommended for modern browsers and accessibility tools): Invalid response ("Math extension cannot connect to Restbase.") from server "https://mathoid.scipedia.com/localhost/v1/":): {\textstyle F}

has a fixed point. Furthermore, the analytical solution acquired utilizing the suggested procedure converges with a random election for Failed to parse (MathML with SVG or PNG fallback (recommended for modern browsers and accessibility tools): Invalid response ("Math extension cannot connect to Restbase.") from server "https://mathoid.scipedia.com/localhost/v1/":): {\textstyle {\omega }_{0},{s}_{0}\in B}
to a fixed point of Failed to parse (MathML with SVG or PNG fallback (recommended for modern browsers and accessibility tools): Invalid response ("Math extension cannot connect to Restbase.") from server "https://mathoid.scipedia.com/localhost/v1/":): {\textstyle F}
and
Failed to parse (MathML with SVG or PNG fallback (recommended for modern browsers and accessibility tools): Invalid response ("Math extension cannot connect to Restbase.") from server "https://mathoid.scipedia.com/localhost/v1/":): \Vert {\omega }_{\mu }-{\omega }_{\sigma }\Vert \,\,\leq \,\, \frac{{\chi }^{\phi }}{1-\chi }\left\| {\omega }_{1}-{\omega }_{0}\right\| .
(24)

Proof

Assume that Failed to parse (MathML with SVG or PNG fallback (recommended for modern browsers and accessibility tools): Invalid response ("Math extension cannot connect to Restbase.") from server "https://mathoid.scipedia.com/localhost/v1/":): {\textstyle B}

a Banach space Failed to parse (MathML with SVG or PNG fallback (recommended for modern browsers and accessibility tools): Invalid response ("Math extension cannot connect to Restbase.") from server "https://mathoid.scipedia.com/localhost/v1/":): {\textstyle \left( C\left[ J\right] ,\Vert .\Vert \right)}
 of all continuous functions. We can agree that Failed to parse (MathML with SVG or PNG fallback (recommended for modern browsers and accessibility tools): Invalid response ("Math extension cannot connect to Restbase.") from server "https://mathoid.scipedia.com/localhost/v1/":): {\textstyle \left\{ {\omega }_{\mu }\right\}}
 is a Cauchy sequence in the Banach space as
Failed to parse (MathML with SVG or PNG fallback (recommended for modern browsers and accessibility tools): Invalid response ("Math extension cannot connect to Restbase.") from server "https://mathoid.scipedia.com/localhost/v1/":): \begin{align}\Vert {\omega }_{\mu }-{\omega }_{\sigma }\Vert \,\, &=\,\,\underbrace{\max}_{\phi \in J}\left| {\omega }_{\mu }-{\omega }_{\sigma }\right| \\ &=\,\, \underbrace{\max}_{\phi \in J}\left| {N}^{-}\left\{\left( \frac{{z}^{\zeta }}{{s}^{\zeta }}\right) {N}^{+}\left[\left( \frac{{\partial }^{3}{\omega }_{\mu -1}}{\partial {x}^{2}\partial t}-\frac{{\partial }^{3}{\omega }_{\sigma -1}}{\partial {x}^{2}\partial t}\right) +\alpha \left( \frac{{\partial }^{2}{\omega }_{\mu -1}}{\partial {x}^{2}}-\frac{{\partial }^{2}{\omega }_{\sigma -1}}{\partial {x}^{2}}\right) \right.\right.\right. \\ & \left.\left. \left. -\gamma \left( \frac{{\partial }^{2}{\omega }_{\mu -1}}{\partial x}-\frac{{\partial }^{2}{\omega }_{\sigma -1}}{\partial x}\right)-\theta \left( {\omega }_{\mu -1}^{2}-{\omega }_{\sigma -1}^{2}\right) -\beta \left( \frac{{\partial }^{3}{\omega }_{\mu -1}}{\partial {x}^{3}}-\frac{{\partial }^{3}{\omega }_{\sigma -1}}{\partial {x}^{3}}\right) \right]\right\} \right| \end{align}
(25)
Failed to parse (MathML with SVG or PNG fallback (recommended for modern browsers and accessibility tools): Invalid response ("Math extension cannot connect to Restbase.") from server "https://mathoid.scipedia.com/localhost/v1/":): \begin{align}\Vert {\omega }_{\mu }-{\omega }_{\sigma }\Vert &\leq \,\, \underbrace{\max}_{\phi \in J}\left[ {N}^{-}\left\{ \left( \frac{{z}^{\zeta }}{{s}^{\zeta }}\right) {N}^{+}\left[ \left| \frac{{\partial }^{3}{\omega }_{\mu -1}}{\partial {x}^{2}\partial t}-\frac{{\partial }^{3}{\omega }_{\sigma -1}}{\partial {x}^{2}\partial t}\right| +\alpha \left| \frac{{\partial }^{2}{\omega }_{\mu -1}}{\partial {x}^{2}}-\frac{{\partial }^{2}{\omega }_{\sigma -1}}{\partial {x}^{2}}\right| \right. \right. \right. \\ &\left. \left. \left. -\gamma \left| \frac{{\partial }^{2}{\omega }_{\mu -1}}{\partial x}-\frac{{\partial }^{2}{\omega }_{\sigma -1}}{\partial x}\right| -\theta \left| {\omega }_{\mu -1}-{\omega }_{\sigma -1}\right| \left| {\omega }_{\mu -1}+{\omega }_{\sigma -1}\right| -\beta \left| \frac{{\partial }^{3}{\omega }_{\mu -1}}{\partial {x}^{3}}-\frac{{\partial }^{3}{\omega }_{\sigma -1}}{\partial {x}^{3}}\right| \right] \right\} \right] .\end{align}
(26)

Transform by using the convolution principle for NT, we obtain

Failed to parse (MathML with SVG or PNG fallback (recommended for modern browsers and accessibility tools): Invalid response ("Math extension cannot connect to Restbase.") from server "https://mathoid.scipedia.com/localhost/v1/":): \begin{align}\left\| {\omega }_{\mu }-{\omega }_{\sigma }\right\| & \leq \,\,\underbrace{\max}_{\phi \in J}\left[ \left\{ {\epsilon }^{3}\left| {\omega }_{\mu -1}-{\omega }_{\sigma -1}\right| +\alpha {\varphi }^{2}\left| {\omega }_{\mu -1}-{\omega }_{\sigma -1}\right| -\gamma \varphi \left| {\omega }_{\mu -1}-{\omega }_{\sigma -1}\right| \right. \right. \\ &\left. \left. -\theta \left( X+Y\right) \left| {\omega }_{\mu -1}-{\omega }_{\sigma -1}\right| -\beta {\varphi }^{3}\left| {\omega }_{\mu -1}-{\omega }_{\sigma -1}\right| \right\} \int_{0}^{\phi }\frac{{\left( \phi -\tau \right) }^{\zeta }}{\Gamma \left( \zeta +1\right) }d\tau \right] .\end{align}
(27)


To minimise the previous equation as follows, we can use the integral mean value [33]

Failed to parse (MathML with SVG or PNG fallback (recommended for modern browsers and accessibility tools): Invalid response ("Math extension cannot connect to Restbase.") from server "https://mathoid.scipedia.com/localhost/v1/":): \begin{align}\Vert {\omega }_{\mu }-{\omega }_{\sigma }\Vert &\,\,\,\, \leq \,\,\,\, \underbrace{\max}_{\phi \in J}\left[ \left\{ {\epsilon }^{3}\vert {\omega }_{\mu -1}-{\omega }_{\sigma -1}\vert +\alpha {\varphi }^{2}\vert {\omega }_{\mu -1}-{\omega }_{\sigma -1}\vert -\gamma \varphi \vert {\omega }_{\mu -1}-{\omega }_{\sigma -1}\vert \right. \right. \\ &\left. \left. \qquad -\theta \left( X+Y\right) \vert {\omega }_{\mu -1}-{\omega }_{\sigma -1}\vert -\beta {\varphi }^{3}\vert {\omega }_{\mu -1}-{\omega }_{\sigma -1}\vert \right\} \Xi \right] \\ \Vert {\omega }_{\mu }-{\omega }_{\sigma }\Vert &\,\,\,\,\leq \,\,\,\, \chi \Vert {\omega }_{\mu -1}-{\omega }_{\sigma -1}\Vert .\end{align}
(28)

Subtracting Failed to parse (MathML with SVG or PNG fallback (recommended for modern browsers and accessibility tools): Invalid response ("Math extension cannot connect to Restbase.") from server "https://mathoid.scipedia.com/localhost/v1/":): {\textstyle \mu}

 by Failed to parse (MathML with SVG or PNG fallback (recommended for modern browsers and accessibility tools): Invalid response ("Math extension cannot connect to Restbase.") from server "https://mathoid.scipedia.com/localhost/v1/":): {\textstyle \sigma +}

Failed to parse (MathML with SVG or PNG fallback (recommended for modern browsers and accessibility tools): Invalid response ("Math extension cannot connect to Restbase.") from server "https://mathoid.scipedia.com/localhost/v1/":): 1 , we obtain

Failed to parse (MathML with SVG or PNG fallback (recommended for modern browsers and accessibility tools): Invalid response ("Math extension cannot connect to Restbase.") from server "https://mathoid.scipedia.com/localhost/v1/":): \left\| {\omega }_{\sigma +1}-{\omega }_{\sigma }\right\| \leq \chi \left\| {\omega }_{\sigma }-\right.

Failed to parse (MathML with SVG or PNG fallback (recommended for modern browsers and accessibility tools): Invalid response ("Math extension cannot connect to Restbase.") from server "https://mathoid.scipedia.com/localhost/v1/":): \left. {\omega }_{\sigma -1}\right\| \leq {\chi }^{2}\left\| {\omega }_{\sigma -1}-\right. Failed to parse (MathML with SVG or PNG fallback (recommended for modern browsers and accessibility tools): Invalid response ("Math extension cannot connect to Restbase.") from server "https://mathoid.scipedia.com/localhost/v1/":): \left. {\omega }_{\sigma -2}\right\| \leq \cdots \leq {\chi }^{\sigma }\left\| {\omega }_{1}-\right. Failed to parse (MathML with SVG or PNG fallback (recommended for modern browsers and accessibility tools): Invalid response ("Math extension cannot connect to Restbase.") from server "https://mathoid.scipedia.com/localhost/v1/":): \left. {\omega }_{0}\right\| .

(29)

By using triangular inequality, we obtain

Failed to parse (MathML with SVG or PNG fallback (recommended for modern browsers and accessibility tools): Invalid response ("Math extension cannot connect to Restbase.") from server "https://mathoid.scipedia.com/localhost/v1/":): \begin{align}\Vert {\omega }_{\mu }-{\omega }_{\sigma }\Vert &=\,\,\Vert {\omega }_{\sigma +1}+{\omega }_{\sigma +2}+{\omega }_{\mu }-{\omega }_{\sigma +1}-{\omega }_{\sigma +2}-{\omega }_{\sigma }\Vert \\ &=\,\,\Vert {\omega }_{\sigma +1}+{\omega }_{\sigma +2}+\cdots +{\omega }_{\mu }-{\omega }_{\mu -1}-\cdots -{\omega }_{\sigma +2}-{\omega }_{\sigma +1}-{\omega }_{\sigma }\Vert \\ &\leq \,\,\left\{ {\chi }^{\sigma }+{\chi }^{\sigma +1}+\cdots +{\chi }^{\mu -1}\right\} \Vert {\omega }_{1}-{\omega }_{0}\Vert \\ &\leq \,\,{\chi }^{\sigma }\left\{ 1+\chi +\cdots +{\chi }^{\mu -\sigma -1}\right\} \Vert {\omega }_{1}-{\omega }_{0}\Vert \\ &\leq \,\,{\chi }^{\sigma }\left\{ \frac{1-{\chi }^{\mu -\sigma -1}}{1-\chi }\right\} \Vert {\omega }_{1}-{\omega }_{0}\Vert .\end{align}
(30)

As Failed to parse (MathML with SVG or PNG fallback (recommended for modern browsers and accessibility tools): Invalid response ("Math extension cannot connect to Restbase.") from server "https://mathoid.scipedia.com/localhost/v1/":): {\textstyle \chi \in \left( 0,1\right)} , so Failed to parse (MathML with SVG or PNG fallback (recommended for modern browsers and accessibility tools): Invalid response ("Math extension cannot connect to Restbase.") from server "https://mathoid.scipedia.com/localhost/v1/":): {\textstyle 1-} Failed to parse (MathML with SVG or PNG fallback (recommended for modern browsers and accessibility tools): Invalid response ("Math extension cannot connect to Restbase.") from server "https://mathoid.scipedia.com/localhost/v1/":): {\chi }^{\mu -\sigma -1}<1 , then we get

Failed to parse (MathML with SVG or PNG fallback (recommended for modern browsers and accessibility tools): Invalid response ("Math extension cannot connect to Restbase.") from server "https://mathoid.scipedia.com/localhost/v1/":): \Vert {\omega }_{\mu }-{\omega }_{\sigma }\Vert \,\,\leq\,\, \frac{{\chi }^{\sigma }}{1-\chi }\Vert {\omega }_{1}-{\omega }_{0}\Vert .
(31)

Since Failed to parse (MathML with SVG or PNG fallback (recommended for modern browsers and accessibility tools): Invalid response ("Math extension cannot connect to Restbase.") from server "https://mathoid.scipedia.com/localhost/v1/":): {\textstyle \Vert {\omega }_{1}-{\omega }_{0}\Vert <\infty} , we find that Failed to parse (MathML with SVG or PNG fallback (recommended for modern browsers and accessibility tools): Invalid response ("Math extension cannot connect to Restbase.") from server "https://mathoid.scipedia.com/localhost/v1/":): {\textstyle \Vert {\omega }_{\mu }-} Failed to parse (MathML with SVG or PNG fallback (recommended for modern browsers and accessibility tools): Invalid response ("Math extension cannot connect to Restbase.") from server "https://mathoid.scipedia.com/localhost/v1/":): {\omega }_{\sigma }\Vert \rightarrow 0

when Failed to parse (MathML with SVG or PNG fallback (recommended for modern browsers and accessibility tools): Invalid response ("Math extension cannot connect to Restbase.") from server "https://mathoid.scipedia.com/localhost/v1/":): {\textstyle \mu}
 and Failed to parse (MathML with SVG or PNG fallback (recommended for modern browsers and accessibility tools): Invalid response ("Math extension cannot connect to Restbase.") from server "https://mathoid.scipedia.com/localhost/v1/":): {\textstyle \sigma \rightarrow \infty}

. This shows that the sequence Failed to parse (MathML with SVG or PNG fallback (recommended for modern browsers and accessibility tools): Invalid response ("Math extension cannot connect to Restbase.") from server "https://mathoid.scipedia.com/localhost/v1/":): {\textstyle \left\{ {\omega }_{\mu }\right\}}

 generated by NDM is a convergent Cauchy sequence.

5. Solution for BBMPB equation

To offer the solution to the relevant problem, we will use the fractional natural decomposition approach. We will provide four examples to demonstrate the dependability of the proposed method. In this part, we will look at the new fractional Benjamin Bona Mahony Peregrine Burgers equation, which is stated as follows

Failed to parse (MathML with SVG or PNG fallback (recommended for modern browsers and accessibility tools): Invalid response ("Math extension cannot connect to Restbase.") from server "https://mathoid.scipedia.com/localhost/v1/":): \begin{align}\frac{{\partial }^{\zeta }\omega \left( x,t\right) }{\partial {t}^{\zeta }}&\,\, = \,\,\frac{{\partial }^{3}\omega \left( x,t\right) }{\partial {x}^{2}\partial t}+\alpha \frac{{\partial }^{2}\omega \left( x,t\right) }{\partial {x}^{2}}-\gamma \frac{\partial \omega \left( x,t\right) }{\partial x}\\ &\,\quad -\theta \omega \left( x,t\right) \frac{\partial \omega \left( x,t\right) }{\partial x}-\beta \frac{{\partial }^{3}\omega \left( x,t\right) }{\partial {x}^{3}},\quad 0<\zeta \leq 1,\end{align}
(32)

in the operator form, with initial condition

Failed to parse (MathML with SVG or PNG fallback (recommended for modern browsers and accessibility tools): Invalid response ("Math extension cannot connect to Restbase.") from server "https://mathoid.scipedia.com/localhost/v1/":): \omega \left( x,0\right) \,\, = \,\, \phi \left( x\right) .
(33)

Using NT on Eq. (32), we may obtain

Failed to parse (MathML with SVG or PNG fallback (recommended for modern browsers and accessibility tools): Invalid response ("Math extension cannot connect to Restbase.") from server "https://mathoid.scipedia.com/localhost/v1/":): {N}^{+}\left[ {D}_{t}^{\zeta }\omega \left( x,t\right) \right] \,\,=\,\,{N}^{+}\left[ \frac{{\partial }^{3}\omega }{\partial {x}^{2}\partial t}+\alpha \frac{{\partial }^{2}\omega }{\partial {x}^{2}}-\gamma \frac{\partial \omega }{\partial x}-\theta \omega \frac{\partial \omega }{\partial x}-\beta \frac{{\partial }^{3}\omega }{\partial {x}^{3}}\right] .
(34)

By using the natural transformation, we find that

Failed to parse (MathML with SVG or PNG fallback (recommended for modern browsers and accessibility tools): Invalid response ("Math extension cannot connect to Restbase.") from server "https://mathoid.scipedia.com/localhost/v1/":): \frac{{s}^{\zeta }}{{z}^{\zeta }}{N}^{+}\left[ \omega \left( x,t\right) \right] -]n-1\sum \frac{{z}^{i-\zeta }}{{s}^{i+1-\zeta }}{\left[ {D}^{i}\omega \right] }_{t=0}\,\, =\,\, {N}^{+}\left[ \frac{{\partial }^{3}\omega }{\partial {x}^{2}\partial t}+\alpha \frac{{\partial }^{2}\omega }{\partial {x}^{2}}-\gamma \frac{\partial \omega }{\partial x}-\theta \omega \frac{\partial \omega }{\partial x}-\beta \frac{{\partial }^{3}\omega }{\partial {x}^{3}}\right] .
(35)

By Eqs. (34) and (35), we find that

Failed to parse (MathML with SVG or PNG fallback (recommended for modern browsers and accessibility tools): Invalid response ("Math extension cannot connect to Restbase.") from server "https://mathoid.scipedia.com/localhost/v1/":): {N}^{+}\left[ \omega \left( x,t\right) \right] \,\, =\,\, \frac{\phi \left( x\right) }{s}+\frac{{z}^{\zeta }}{{s}^{\zeta }}{N}^{+}\left[ \frac{{\partial }^{3}\omega }{\partial {x}^{2}\partial t}+\alpha \frac{{\partial }^{2}\omega }{\partial {x}^{2}}-\gamma \frac{\partial \omega }{\partial x}-\theta \omega \frac{\partial \omega }{\partial x}-\beta \frac{{\partial }^{3}\omega }{\partial {x}^{3}}\right] .
(36)

By using the inverse NT to above Eq.

Failed to parse (MathML with SVG or PNG fallback (recommended for modern browsers and accessibility tools): Invalid response ("Math extension cannot connect to Restbase.") from server "https://mathoid.scipedia.com/localhost/v1/":): \omega \left( x,t\right) \,\, = \,\, \phi \left( x\right) +{N}^{-}\left\{ \frac{{z}^{\zeta }}{{s}^{\zeta }}{N}^{+}\left[ \frac{{\partial }^{3}\omega }{\partial {x}^{2}\partial t}+\alpha \frac{{\partial }^{2}\omega }{\partial {x}^{2}}-\gamma \frac{\partial \omega }{\partial x}-\theta \omega \frac{\partial \omega }{\partial x}-\beta \frac{{\partial }^{3}\omega }{\partial {x}^{3}}\right] \right\} .
(37)

Suppose that the solution to the infinite series of Failed to parse (MathML with SVG or PNG fallback (recommended for modern browsers and accessibility tools): Invalid response ("Math extension cannot connect to Restbase.") from server "https://mathoid.scipedia.com/localhost/v1/":): {\textstyle \omega \left( x,t\right) =} Failed to parse (MathML with SVG or PNG fallback (recommended for modern browsers and accessibility tools): Invalid response ("Math extension cannot connect to Restbase.") from server "https://mathoid.scipedia.com/localhost/v1/":): \sum _{n=0}^{\infty }{\omega }_{n}\left( x,t\right) . Keep in mind Failed to parse (MathML with SVG or PNG fallback (recommended for modern browsers and accessibility tools): Invalid response ("Math extension cannot connect to Restbase.") from server "https://mathoid.scipedia.com/localhost/v1/":): {\textstyle \omega {\omega }_{x}=} Failed to parse (MathML with SVG or PNG fallback (recommended for modern browsers and accessibility tools): Invalid response ("Math extension cannot connect to Restbase.") from server "https://mathoid.scipedia.com/localhost/v1/":): \sum _{n=0}^{\infty }{A}_{n}

is the Adomian polynomial and signify the nonlinear terms. Eq. (37) may be rewritten using this term as
Failed to parse (MathML with SVG or PNG fallback (recommended for modern browsers and accessibility tools): Invalid response ("Math extension cannot connect to Restbase.") from server "https://mathoid.scipedia.com/localhost/v1/":): \sum _{n=0}^{\infty }{\omega }_{n}\left( x,t\right) \,\, =\,\, \phi \left( x\right) +{N}^{-}\left\{ \frac{{z}^{\zeta }}{{s}^{\zeta }}{N}^{+}\left[ \sum _{n=0}^{\infty }{\omega }_{xxt}+\alpha \sum _{n=0}^{\infty }{\omega }_{xx}-\gamma \sum _{n=0}^{\infty }{\omega }_{x}-\theta \sum _{n=0}^{\infty }{A}_{n}-\beta \sum _{n=0}^{\infty }{\omega }_{xxx}\right] \right\} .
(38)

5.1 Application 1

The initial condition for Eq. (32) take the following form [35]

Failed to parse (MathML with SVG or PNG fallback (recommended for modern browsers and accessibility tools): Invalid response ("Math extension cannot connect to Restbase.") from server "https://mathoid.scipedia.com/localhost/v1/":): \omega \left( x,0\right) \,\, =\,\, -\left( \frac{\beta +\gamma }{\theta }\right) +\frac{\beta +\gamma }{\theta }\tanh\left( \frac{-\beta -\gamma }{2\delta }x\right) ,
(39)

If Failed to parse (MathML with SVG or PNG fallback (recommended for modern browsers and accessibility tools): Invalid response ("Math extension cannot connect to Restbase.") from server "https://mathoid.scipedia.com/localhost/v1/":): {\textstyle \alpha =\beta =\gamma =\theta =1} , we get

Failed to parse (MathML with SVG or PNG fallback (recommended for modern browsers and accessibility tools): Invalid response ("Math extension cannot connect to Restbase.") from server "https://mathoid.scipedia.com/localhost/v1/":): {\omega }_{1}\,\, =\,\, \frac{3{t}^{\zeta }\left( \cosh\left( 2x\right) -3\right) {sech}^{4}\left( x\right) }{\Gamma \left( \zeta +1\right) },
(40)
Failed to parse (MathML with SVG or PNG fallback (recommended for modern browsers and accessibility tools): Invalid response ("Math extension cannot connect to Restbase.") from server "https://mathoid.scipedia.com/localhost/v1/":): \begin{align}{\omega }_{2}\,\, & =\,\, \frac{3{t}^{2\zeta }{sech}^{7}\left( x\right) }{4\Gamma \left( 2\zeta +1\right) }\left\{ 3\left[ 546\sinh\left( x\right) -93\sinh\left( 3x\right) +\sinh\left( 5x\right) \right] +64\cosh\left( x\right) -32\cosh\left( 3x\right) \right\}\\ &\quad +\frac{6\zeta {t}^{2\zeta -1}}{\Gamma \left( 2\zeta +1\right) }\left( -34\cosh\left( 2x\right) +\cosh\left( 4x\right) +45\right) {sech}^{6}\left( x\right) ,\cdots \end{align}
(41)

The prior analytical solution leads to the following exact solution [35]

Failed to parse (MathML with SVG or PNG fallback (recommended for modern browsers and accessibility tools): Invalid response ("Math extension cannot connect to Restbase.") from server "https://mathoid.scipedia.com/localhost/v1/":): \omega \left( x,t\right) =-\left( \frac{\beta +\gamma }{\theta }\right) +\frac{\beta +\gamma }{\theta }tanh\left( \frac{-\beta -\gamma }{2\delta }\left( x+\right. \right.

Failed to parse (MathML with SVG or PNG fallback (recommended for modern browsers and accessibility tools): Invalid response ("Math extension cannot connect to Restbase.") from server "https://mathoid.scipedia.com/localhost/v1/":): \left. \left. \beta t\right) \right) .

(42)

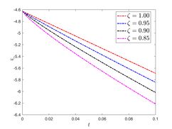
For the specific instance when Failed to parse (MathML with SVG or PNG fallback (recommended for modern browsers and accessibility tools): Invalid response ("Math extension cannot connect to Restbase.") from server "https://mathoid.scipedia.com/localhost/v1/":): {\textstyle \zeta =1} , the approximative findings and Table 1 demonstrate that the exact solution of Eq. (32) has a generic type that is equivalent to the aforementioned analytical solutions. In order to comprehend the geometric behavior of our approximation to Eq. (32), shown in Figure 1, the exact solution in two and three dimensions is compared to the 2nd iteration of NTM. When Failed to parse (MathML with SVG or PNG fallback (recommended for modern browsers and accessibility tools): Invalid response ("Math extension cannot connect to Restbase.") from server "https://mathoid.scipedia.com/localhost/v1/":): {\textstyle \zeta =} Failed to parse (MathML with SVG or PNG fallback (recommended for modern browsers and accessibility tools): Invalid response ("Math extension cannot connect to Restbase.") from server "https://mathoid.scipedia.com/localhost/v1/":): 1 , Failed to parse (MathML with SVG or PNG fallback (recommended for modern browsers and accessibility tools): Invalid response ("Math extension cannot connect to Restbase.") from server "https://mathoid.scipedia.com/localhost/v1/":): {\textstyle \zeta =0.95} , Failed to parse (MathML with SVG or PNG fallback (recommended for modern browsers and accessibility tools): Invalid response ("Math extension cannot connect to Restbase.") from server "https://mathoid.scipedia.com/localhost/v1/":): {\textstyle \zeta =} Failed to parse (MathML with SVG or PNG fallback (recommended for modern browsers and accessibility tools): Invalid response ("Math extension cannot connect to Restbase.") from server "https://mathoid.scipedia.com/localhost/v1/":): 0.90

and Failed to parse (MathML with SVG or PNG fallback (recommended for modern browsers and accessibility tools): Invalid response ("Math extension cannot connect to Restbase.") from server "https://mathoid.scipedia.com/localhost/v1/":): {\textstyle \zeta =0.80}

, the NTM solution and the exact solution were also compared.

Table 1. Comparison of case 1 for the exact solution with NDM solution and absolute errors using numerical calculations at Failed to parse (MathML with SVG or PNG fallback (recommended for modern browsers and accessibility tools): Invalid response ("Math extension cannot connect to Restbase.") from server "https://mathoid.scipedia.com/localhost/v1/":): {\textstyle t=1}
and Failed to parse (MathML with SVG or PNG fallback (recommended for modern browsers and accessibility tools): Invalid response ("Math extension cannot connect to Restbase.") from server "https://mathoid.scipedia.com/localhost/v1/":): {\textstyle \alpha =\beta =\gamma =\theta =1}
Failed to parse (MathML with SVG or PNG fallback (recommended for modern browsers and accessibility tools): Invalid response ("Math extension cannot connect to Restbase.") from server "https://mathoid.scipedia.com/localhost/v1/":): {\textstyle x} Failed to parse (MathML with SVG or PNG fallback (recommended for modern browsers and accessibility tools): Invalid response ("Math extension cannot connect to Restbase.") from server "https://mathoid.scipedia.com/localhost/v1/":): {\mathit{\boldsymbol{\omega }}}_{\mathit{\boldsymbol{Ex}}} Failed to parse (MathML with SVG or PNG fallback (recommended for modern browsers and accessibility tools): Invalid response ("Math extension cannot connect to Restbase.") from server "https://mathoid.scipedia.com/localhost/v1/":): {\mathit{\boldsymbol{\omega }}}_{\mathit{\boldsymbol{NDM}}}\left( \mathit{\boldsymbol{\zeta }}=\mathit{\boldsymbol{1}}\right) Absolute error Failed to parse (MathML with SVG or PNG fallback (recommended for modern browsers and accessibility tools): Invalid response ("Math extension cannot connect to Restbase.") from server "https://mathoid.scipedia.com/localhost/v1/":): {\mathit{\boldsymbol{\omega }}}_{\mathit{\boldsymbol{NDM}}}\left( \mathit{\boldsymbol{\zeta }}= \mathit{\boldsymbol{0.95}}\right) Failed to parse (MathML with SVG or PNG fallback (recommended for modern browsers and accessibility tools): Invalid response ("Math extension cannot connect to Restbase.") from server "https://mathoid.scipedia.com/localhost/v1/":): {\mathit{\boldsymbol{\omega }}}_{\mathit{\boldsymbol{NDM}}}\left( \mathit{\boldsymbol{\zeta }}= \mathit{\boldsymbol{0.90}}\right)
2 -3.990109507 -3.564048679 4.260608E-01 -3.556574735 -3.549577917
4 -3.999818408 -3.990634473 9.183935E-03 -3.990469718 -3.990315480
6 -3.999996673 -3.999827971 1.687026E-04 -3.999824943 -3.999822109
8 -3.999999939 -3.999996849 3.090061E-06 -3.999996793 -3.999996741
10 -3.999999998 -3.999999942 5.659651E-08 -3.999999941 -3.999999940
12 -3.999999999 -3.999999998 1.036601E-09 -3.999999998 -3.999999998
14 -3.999999999 -3.999999999 1.898592E-11 -3.999999999 -3.999999999
16 -3.999999999 -3.999999999 3.477218E-13 -3.999999999 -3.999999999
18 -4 -3.999999999 6.217248E-15 -3.999999999 -3.999999999
20 -4 -4 0 -4 -4


1ex.jpg 1app.jpg
(a) Exact solution of Failed to parse (MathML with SVG or PNG fallback (recommended for modern browsers and accessibility tools): Invalid response ("Math extension cannot connect to Restbase.") from server "https://mathoid.scipedia.com/localhost/v1/":): {\textstyle \omega (x,t)} (b) NDM solution of Failed to parse (MathML with SVG or PNG fallback (recommended for modern browsers and accessibility tools): Invalid response ("Math extension cannot connect to Restbase.") from server "https://mathoid.scipedia.com/localhost/v1/":): {\textstyle \omega (x,t)}
1exapp.jpg 1alphaX.jpg
(c) Absolute error at Failed to parse (MathML with SVG or PNG fallback (recommended for modern browsers and accessibility tools): Invalid response ("Math extension cannot connect to Restbase.") from server "https://mathoid.scipedia.com/localhost/v1/":): {\textstyle t = 0.01} (d) Comparison of results at Failed to parse (MathML with SVG or PNG fallback (recommended for modern browsers and accessibility tools): Invalid response ("Math extension cannot connect to Restbase.") from server "https://mathoid.scipedia.com/localhost/v1/":): {\textstyle t = 0.01}
Draft Hagag 831060637-image5.jpeg 1alphaT.jpg
(e) Comparison between exact and various values of Failed to parse (MathML with SVG or PNG fallback (recommended for modern browsers and accessibility tools): Invalid response ("Math extension cannot connect to Restbase.") from server "https://mathoid.scipedia.com/localhost/v1/":): {\textstyle \zeta} (f) Comparison between various values of Failed to parse (MathML with SVG or PNG fallback (recommended for modern browsers and accessibility tools): Invalid response ("Math extension cannot connect to Restbase.") from server "https://mathoid.scipedia.com/localhost/v1/":): {\textstyle \zeta}
at Failed to parse (MathML with SVG or PNG fallback (recommended for modern browsers and accessibility tools): Invalid response ("Math extension cannot connect to Restbase.") from server "https://mathoid.scipedia.com/localhost/v1/":): {\textstyle x = 1}
Figure 1. Periodic wave analytical (NDM) solutions Failed to parse (MathML with SVG or PNG fallback (recommended for modern browsers and accessibility tools): Invalid response ("Math extension cannot connect to Restbase.") from server "https://mathoid.scipedia.com/localhost/v1/":): {\textstyle \omega (x,t)}
of Eq. (32) with initial condition (39) and Failed to parse (MathML with SVG or PNG fallback (recommended for modern browsers and accessibility tools): Invalid response ("Math extension cannot connect to Restbase.") from server "https://mathoid.scipedia.com/localhost/v1/":): {\textstyle \alpha = \beta = \gamma = \theta = 1}

5.2 Application 2

The initial condition for Eq. (32) take the following form [35]

Failed to parse (MathML with SVG or PNG fallback (recommended for modern browsers and accessibility tools): Invalid response ("Math extension cannot connect to Restbase.") from server "https://mathoid.scipedia.com/localhost/v1/":): \omega \left( x,0\right) \,\, =\,\,-\left( \frac{\beta +\gamma }{\theta }\right) -\frac{\beta +\gamma }{\theta }coth\left( \frac{-\beta -\gamma }{2\delta }x\right) ,
(43)

If Failed to parse (MathML with SVG or PNG fallback (recommended for modern browsers and accessibility tools): Invalid response ("Math extension cannot connect to Restbase.") from server "https://mathoid.scipedia.com/localhost/v1/":): {\textstyle \alpha =\beta =\gamma =\theta =1} , we get

Failed to parse (MathML with SVG or PNG fallback (recommended for modern browsers and accessibility tools): Invalid response ("Math extension cannot connect to Restbase.") from server "https://mathoid.scipedia.com/localhost/v1/":): {\omega }_{1}\,\, =\,\,-\frac{3{t}^{\zeta }\left( cosh\left( 2x\right) +3\right) {csch}^{4}\left( x\right) }{\Gamma \left( \zeta +1\right) },
(44)
Failed to parse (MathML with SVG or PNG fallback (recommended for modern browsers and accessibility tools): Invalid response ("Math extension cannot connect to Restbase.") from server "https://mathoid.scipedia.com/localhost/v1/":): \begin{align}{\omega }_{2}\,\, & =\,\,\frac{3{t}^{2\zeta }{csch}^{7}\left( x\right) }{4\Gamma \left( 2\zeta +1\right) }\left\{ 64\sinh\left( x\right) +32\sinh\left( 3x\right) +1638\cosh\left( x\right) +279\cosh\left( 3x\right) +3\cosh\left( 5x\right) \right\} \\ &\quad +\frac{3{t}^{2\zeta -1}}{\Gamma \left( 2\zeta \right) }\left( 34\cosh\left( 2x\right) +\cosh\left( 4x\right) +45\right) {csch}^{6}\left( x\right) ,\cdots \end{align}
(45)

The prior analytical solution leads to the following exact solution [35]

Failed to parse (MathML with SVG or PNG fallback (recommended for modern browsers and accessibility tools): Invalid response ("Math extension cannot connect to Restbase.") from server "https://mathoid.scipedia.com/localhost/v1/":): \omega \left( x,t\right) \,\, =\,\,-\left( \frac{\beta +\gamma }{\theta }\right) -\frac{\beta +\gamma }{\theta }coth\left( \frac{-\beta -\gamma }{2\delta }\left( x+\beta t\right) \right) .
(46)

For the specific instance when Failed to parse (MathML with SVG or PNG fallback (recommended for modern browsers and accessibility tools): Invalid response ("Math extension cannot connect to Restbase.") from server "https://mathoid.scipedia.com/localhost/v1/":): {\textstyle \zeta =1} , the approximative findings and Table 2 demonstrate that the exact solution of Eq. (32) has a generic type that is equivalent to the aforementioned analytical solutions. In order to comprehend the geometric behavior of our approximation to Eq. (32), shown in Figure 2 , the exact solution in two and three dimensions is compared to the 2nd iteration of NTM. When Failed to parse (MathML with SVG or PNG fallback (recommended for modern browsers and accessibility tools): Invalid response ("Math extension cannot connect to Restbase.") from server "https://mathoid.scipedia.com/localhost/v1/":): {\textstyle \zeta =} Failed to parse (MathML with SVG or PNG fallback (recommended for modern browsers and accessibility tools): Invalid response ("Math extension cannot connect to Restbase.") from server "https://mathoid.scipedia.com/localhost/v1/":): 1 , Failed to parse (MathML with SVG or PNG fallback (recommended for modern browsers and accessibility tools): Invalid response ("Math extension cannot connect to Restbase.") from server "https://mathoid.scipedia.com/localhost/v1/":): {\textstyle \zeta =0.95} , Failed to parse (MathML with SVG or PNG fallback (recommended for modern browsers and accessibility tools): Invalid response ("Math extension cannot connect to Restbase.") from server "https://mathoid.scipedia.com/localhost/v1/":): {\textstyle \zeta =} Failed to parse (MathML with SVG or PNG fallback (recommended for modern browsers and accessibility tools): Invalid response ("Math extension cannot connect to Restbase.") from server "https://mathoid.scipedia.com/localhost/v1/":): 0.90

and Failed to parse (MathML with SVG or PNG fallback (recommended for modern browsers and accessibility tools): Invalid response ("Math extension cannot connect to Restbase.") from server "https://mathoid.scipedia.com/localhost/v1/":): {\textstyle \zeta =0.80}

, the NTM solution and the exact solution were also compared.

Table 2. Comparison of case 2 for the exact solution with NDM solution and absolute errors using numerical calculations at Failed to parse (MathML with SVG or PNG fallback (recommended for modern browsers and accessibility tools): Invalid response ("Math extension cannot connect to Restbase.") from server "https://mathoid.scipedia.com/localhost/v1/":): {\textstyle t=1}
and Failed to parse (MathML with SVG or PNG fallback (recommended for modern browsers and accessibility tools): Invalid response ("Math extension cannot connect to Restbase.") from server "https://mathoid.scipedia.com/localhost/v1/":): {\textstyle \alpha =\beta =\gamma =\theta =1}
Failed to parse (MathML with SVG or PNG fallback (recommended for modern browsers and accessibility tools): Invalid response ("Math extension cannot connect to Restbase.") from server "https://mathoid.scipedia.com/localhost/v1/":): {\textstyle x} Failed to parse (MathML with SVG or PNG fallback (recommended for modern browsers and accessibility tools): Invalid response ("Math extension cannot connect to Restbase.") from server "https://mathoid.scipedia.com/localhost/v1/":): {\mathit{\boldsymbol{\omega }}}_{\mathit{\boldsymbol{Ex}}} Failed to parse (MathML with SVG or PNG fallback (recommended for modern browsers and accessibility tools): Invalid response ("Math extension cannot connect to Restbase.") from server "https://mathoid.scipedia.com/localhost/v1/":): {\mathit{\boldsymbol{\omega }}}_{\mathit{\boldsymbol{NDM}}}\left( \mathit{\boldsymbol{\zeta }}=\mathit{\boldsymbol{1}}\right) Absolute error Failed to parse (MathML with SVG or PNG fallback (recommended for modern browsers and accessibility tools): Invalid response ("Math extension cannot connect to Restbase.") from server "https://mathoid.scipedia.com/localhost/v1/":): {\mathit{\boldsymbol{\omega }}}_{\mathit{\boldsymbol{NDM}}}\left( \mathit{\boldsymbol{\zeta }}= \mathit{\boldsymbol{0.95}}\right) Failed to parse (MathML with SVG or PNG fallback (recommended for modern browsers and accessibility tools): Invalid response ("Math extension cannot connect to Restbase.") from server "https://mathoid.scipedia.com/localhost/v1/":): {\mathit{\boldsymbol{\omega }}}_{\mathit{\boldsymbol{NDM}}}\left( \mathit{\boldsymbol{\zeta }}= \mathit{\boldsymbol{0.90}}\right)
2 -4.009939646 -4.600112243 5.901725E-01 -4.610901692 -4.621002357
4 -4.000181607 -4.009420444 9.238836E-03 -4.009586308 -4.009741583
6 -4.000003326 -4.000172047 1.687210E-04 -4.000175075 -4.000177909
8 -4.000000060 -4.000003150 3.090068E-06 -4.000003206 -4.000003258
10 -4.000000001 -4.000000057 5.659651E-08 -4.000000058 -4.000000059
12 -4.000000000 -4.000000001 1.036601E-09 -4.000000001 -4.000000001
14 -4.000000000 -4.000000000 1.898598E-11 -4.000000000 -4.000000000
16 -4.000000000 -4.000000000 3.474607E-13 -4.000000000 -4.000000000
18 -4.000000000 -4.000000000 6.010944E-15 -4.000000000 -4.000000000
20 -4.000000000 -4.000000000 1.019605E-16 -4.000000000 -4.000000000


2ex.jpg Draft Hagag 831060637-image8.jpeg
(a) Exact solution of Failed to parse (MathML with SVG or PNG fallback (recommended for modern browsers and accessibility tools): Invalid response ("Math extension cannot connect to Restbase.") from server "https://mathoid.scipedia.com/localhost/v1/":): {\textstyle \omega (x,t)} (b) NDM solution of Failed to parse (MathML with SVG or PNG fallback (recommended for modern browsers and accessibility tools): Invalid response ("Math extension cannot connect to Restbase.") from server "https://mathoid.scipedia.com/localhost/v1/":): {\textstyle \omega (x,t)}
2exapp.jpg 2ex+app.jpg
(c) Absolute error at Failed to parse (MathML with SVG or PNG fallback (recommended for modern browsers and accessibility tools): Invalid response ("Math extension cannot connect to Restbase.") from server "https://mathoid.scipedia.com/localhost/v1/":): {\textstyle t = 0.01} (d) Comparison of results at Failed to parse (MathML with SVG or PNG fallback (recommended for modern browsers and accessibility tools): Invalid response ("Math extension cannot connect to Restbase.") from server "https://mathoid.scipedia.com/localhost/v1/":): {\textstyle t = 0.01}
Draft Hagag 831060637-image11.jpeg 2alphaT.jpg
(e) Comparison between exact and various values of Failed to parse (MathML with SVG or PNG fallback (recommended for modern browsers and accessibility tools): Invalid response ("Math extension cannot connect to Restbase.") from server "https://mathoid.scipedia.com/localhost/v1/":): {\textstyle \zeta} (f) Comparison between various values of Failed to parse (MathML with SVG or PNG fallback (recommended for modern browsers and accessibility tools): Invalid response ("Math extension cannot connect to Restbase.") from server "https://mathoid.scipedia.com/localhost/v1/":): {\textstyle \zeta}
at Failed to parse (MathML with SVG or PNG fallback (recommended for modern browsers and accessibility tools): Invalid response ("Math extension cannot connect to Restbase.") from server "https://mathoid.scipedia.com/localhost/v1/":): {\textstyle x = 1}
Figure 2. Periodic wave analytical (NDM) solutions Failed to parse (MathML with SVG or PNG fallback (recommended for modern browsers and accessibility tools): Invalid response ("Math extension cannot connect to Restbase.") from server "https://mathoid.scipedia.com/localhost/v1/":): {\textstyle \omega (x,t)}
of Eq. (32) with initial condition (42) and Failed to parse (MathML with SVG or PNG fallback (recommended for modern browsers and accessibility tools): Invalid response ("Math extension cannot connect to Restbase.") from server "https://mathoid.scipedia.com/localhost/v1/":): {\textstyle \alpha = \beta = \gamma = \theta = 1}

5.3 Application 3

The initial condition for Eq. (32) take the following form [35]

Failed to parse (MathML with SVG or PNG fallback (recommended for modern browsers and accessibility tools): Invalid response ("Math extension cannot connect to Restbase.") from server "https://mathoid.scipedia.com/localhost/v1/":): \begin{matrix}\omega \left( x,0\right) &=&-\left( \frac{\beta +\gamma }{\theta }\right) +\frac{\beta +\gamma }{2\theta }tanh\left( \frac{-\beta -\gamma }{4\delta }x\right) +\frac{\beta +\gamma }{2\theta }coth\left( \frac{-\beta -\gamma }{4\delta }x\right) ,\quad \quad \quad \quad \quad (47)\end{matrix}

If Failed to parse (MathML with SVG or PNG fallback (recommended for modern browsers and accessibility tools): Invalid response ("Math extension cannot connect to Restbase.") from server "https://mathoid.scipedia.com/localhost/v1/":): {\textstyle \alpha =\beta =\gamma =\theta =1} , we get

Failed to parse (MathML with SVG or PNG fallback (recommended for modern browsers and accessibility tools): Invalid response ("Math extension cannot connect to Restbase.") from server "https://mathoid.scipedia.com/localhost/v1/":): \begin{matrix}{\omega }_{1}&=&-\frac{3{t}^{\alpha }\left( cosh\left( 2x\right) +3\right) {csch}^{4}\left( x\right) }{\Gamma \left( \alpha +1\right) },\end{matrix}\quad \quad \quad \quad \, \, (48)
Failed to parse (MathML with SVG or PNG fallback (recommended for modern browsers and accessibility tools): Invalid response ("Math extension cannot connect to Restbase.") from server "https://mathoid.scipedia.com/localhost/v1/":): \begin{matrix}{\omega }_{2}&=&-\frac{3{t}^{2\zeta }{csch}^{7}\left( x\right) }{4\Gamma \left( 2\zeta +1\right) }\left\{ 64sinh\left( x\right) +32sinh\left( 3x\right) +1638cosh\left( x\right) +279cosh\left( 3x\right) +3cosh\left( 5x\right) \right\} \\&&-\frac{3{t}^{2\zeta -1}}{\Gamma \left( 2\zeta \right) }\left( 34cosh\left( 2x\right) +cosh\left( 4x\right) +45\right) {csch}^{6}\left( x\right) ,\cdots \end{matrix}\quad (49)

The prior analytical solution leads to the following exact solution [35]

Failed to parse (MathML with SVG or PNG fallback (recommended for modern browsers and accessibility tools): Invalid response ("Math extension cannot connect to Restbase.") from server "https://mathoid.scipedia.com/localhost/v1/":): \begin{matrix}\omega \left( x,t\right) &=&-\left( \frac{\beta +\gamma }{\theta }\right) +\frac{\beta +\gamma }{2\theta }tanh\left( \frac{-\beta -\gamma }{4\delta }\left( x+\beta t\right) \right) +\frac{\beta +\gamma }{2\theta }coth\left( \frac{-\beta -\gamma }{4\delta }\left( x+\beta t\right) \right) .\quad \quad \quad \, (50)\end{matrix}

For the specific instance when Failed to parse (MathML with SVG or PNG fallback (recommended for modern browsers and accessibility tools): Invalid response ("Math extension cannot connect to Restbase.") from server "https://mathoid.scipedia.com/localhost/v1/":): {\textstyle \zeta =1} , the approximative findings and Table 3 demonstrate that the exact solution of Eq. (32) has a generic type that is equivalent to the aforementioned analytical solutions. In order to comprehend the geometric behavior of our approximation to Eq. (32), shown in Figure 3, the exact solution in two and three dimensions is compared to the 2nd iteration of NTM. When Failed to parse (MathML with SVG or PNG fallback (recommended for modern browsers and accessibility tools): Invalid response ("Math extension cannot connect to Restbase.") from server "https://mathoid.scipedia.com/localhost/v1/":): {\textstyle \zeta =} Failed to parse (MathML with SVG or PNG fallback (recommended for modern browsers and accessibility tools): Invalid response ("Math extension cannot connect to Restbase.") from server "https://mathoid.scipedia.com/localhost/v1/":): 1 , Failed to parse (MathML with SVG or PNG fallback (recommended for modern browsers and accessibility tools): Invalid response ("Math extension cannot connect to Restbase.") from server "https://mathoid.scipedia.com/localhost/v1/":): {\textstyle \zeta =0.95} , Failed to parse (MathML with SVG or PNG fallback (recommended for modern browsers and accessibility tools): Invalid response ("Math extension cannot connect to Restbase.") from server "https://mathoid.scipedia.com/localhost/v1/":): {\textstyle \zeta =} Failed to parse (MathML with SVG or PNG fallback (recommended for modern browsers and accessibility tools): Invalid response ("Math extension cannot connect to Restbase.") from server "https://mathoid.scipedia.com/localhost/v1/":): 0.90

and Failed to parse (MathML with SVG or PNG fallback (recommended for modern browsers and accessibility tools): Invalid response ("Math extension cannot connect to Restbase.") from server "https://mathoid.scipedia.com/localhost/v1/":): {\textstyle \zeta =0.80}

, the NTM solution and the exact solution were also compared.

Table 3. Comparison of case 3 for the exact solution with NDM solution and absolute errors using numerical calculations at Failed to parse (MathML with SVG or PNG fallback (recommended for modern browsers and accessibility tools): Invalid response ("Math extension cannot connect to Restbase.") from server "https://mathoid.scipedia.com/localhost/v1/":): {\textstyle t=1}
and Failed to parse (MathML with SVG or PNG fallback (recommended for modern browsers and accessibility tools): Invalid response ("Math extension cannot connect to Restbase.") from server "https://mathoid.scipedia.com/localhost/v1/":): {\textstyle \alpha =\beta =\gamma =\theta =1}
Failed to parse (MathML with SVG or PNG fallback (recommended for modern browsers and accessibility tools): Invalid response ("Math extension cannot connect to Restbase.") from server "https://mathoid.scipedia.com/localhost/v1/":): {\textstyle x} Failed to parse (MathML with SVG or PNG fallback (recommended for modern browsers and accessibility tools): Invalid response ("Math extension cannot connect to Restbase.") from server "https://mathoid.scipedia.com/localhost/v1/":): {\mathit{\boldsymbol{\omega }}}_{\mathit{\boldsymbol{Ex}}} Failed to parse (MathML with SVG or PNG fallback (recommended for modern browsers and accessibility tools): Invalid response ("Math extension cannot connect to Restbase.") from server "https://mathoid.scipedia.com/localhost/v1/":): {\mathit{\boldsymbol{\omega }}}_{\mathit{\boldsymbol{NDM}}}\left( \mathit{\boldsymbol{\zeta }}=\mathit{\boldsymbol{1}}\right) Absolute error Failed to parse (MathML with SVG or PNG fallback (recommended for modern browsers and accessibility tools): Invalid response ("Math extension cannot connect to Restbase.") from server "https://mathoid.scipedia.com/localhost/v1/":): {\mathit{\boldsymbol{\omega }}}_{\mathit{\boldsymbol{NDM}}}\left( \mathit{\boldsymbol{\zeta }}= \mathit{\boldsymbol{0.95}}\right) Failed to parse (MathML with SVG or PNG fallback (recommended for modern browsers and accessibility tools): Invalid response ("Math extension cannot connect to Restbase.") from server "https://mathoid.scipedia.com/localhost/v1/":): {\mathit{\boldsymbol{\omega }}}_{\mathit{\boldsymbol{NDM}}}\left( \mathit{\boldsymbol{\zeta }}= \mathit{\boldsymbol{0.90}}\right)
2 -4.009939646 -4.600112243 5.901725E-01 -4.610901692 -4.621002357
4 -4.000181607 -4.009420444 9.238836E-03 -4.009586308 -4.009741583
6 -4.000003326 -4.000172047 1.687210E-04 -4.000175075 -4.000177909
8 -4.000000060 -4.000003150 3.090068E-06 -4.000003206 -4.000003258
10 -4.000000001 -4.000000057 5.659651E-08 -4.000000058 -4.000000059
12 -4.000000000 -4.000000001 1.036601E-09 -4.000000001 -4.000000001
14 -4.000000000 -4.000000000 1.898619E-11 -4.000000000 -4.000000000
16 -4.000000000 -4.000000000 3.476832E-13 -4.000000000 -4.000000000
18 -4.000000000 -4.000000000 6.403864E-15 -4.000000000 -4.000000000
20 -4.000000000 -4.000000000 7.907517E-17 -4.000000000 -4.000000000


3ex.jpg Draft Hagag 831060637-image14.jpeg
(a) Exact solution of Failed to parse (MathML with SVG or PNG fallback (recommended for modern browsers and accessibility tools): Invalid response ("Math extension cannot connect to Restbase.") from server "https://mathoid.scipedia.com/localhost/v1/":): {\textstyle \omega (x,t)} (b) NDM solution of Failed to parse (MathML with SVG or PNG fallback (recommended for modern browsers and accessibility tools): Invalid response ("Math extension cannot connect to Restbase.") from server "https://mathoid.scipedia.com/localhost/v1/":): {\textstyle \omega (x,t)}
3exapp.jpg Draft Hagag 831060637-image16.jpeg
(c) Absolute error at Failed to parse (MathML with SVG or PNG fallback (recommended for modern browsers and accessibility tools): Invalid response ("Math extension cannot connect to Restbase.") from server "https://mathoid.scipedia.com/localhost/v1/":): {\textstyle t = 0.01} (d) Comparison of results at Failed to parse (MathML with SVG or PNG fallback (recommended for modern browsers and accessibility tools): Invalid response ("Math extension cannot connect to Restbase.") from server "https://mathoid.scipedia.com/localhost/v1/":): {\textstyle t = 0.01}
3alphaX.jpg 3alphaT.jpg
(e) Comparison between exact and various values of Failed to parse (MathML with SVG or PNG fallback (recommended for modern browsers and accessibility tools): Invalid response ("Math extension cannot connect to Restbase.") from server "https://mathoid.scipedia.com/localhost/v1/":): {\textstyle \zeta} (f) Comparison between various values of Failed to parse (MathML with SVG or PNG fallback (recommended for modern browsers and accessibility tools): Invalid response ("Math extension cannot connect to Restbase.") from server "https://mathoid.scipedia.com/localhost/v1/":): {\textstyle \zeta}
at Failed to parse (MathML with SVG or PNG fallback (recommended for modern browsers and accessibility tools): Invalid response ("Math extension cannot connect to Restbase.") from server "https://mathoid.scipedia.com/localhost/v1/":): {\textstyle x = 1}
Figure 3. Periodic wave analytical (NDM) solutions Failed to parse (MathML with SVG or PNG fallback (recommended for modern browsers and accessibility tools): Invalid response ("Math extension cannot connect to Restbase.") from server "https://mathoid.scipedia.com/localhost/v1/":): {\textstyle \omega (x,t)}
of Eq. (32) with initial condition (46) and Failed to parse (MathML with SVG or PNG fallback (recommended for modern browsers and accessibility tools): Invalid response ("Math extension cannot connect to Restbase.") from server "https://mathoid.scipedia.com/localhost/v1/":): {\textstyle \alpha = \beta = \gamma = \theta = 1}

5.4 Application 4

The initial condition for Eq. (32) take the following form [35]

Failed to parse (MathML with SVG or PNG fallback (recommended for modern browsers and accessibility tools): Invalid response ("Math extension cannot connect to Restbase.") from server "https://mathoid.scipedia.com/localhost/v1/":): \omega \left( x,0\right) \,\,=\,\, \frac{-10\beta \mu -10\gamma \mu +\delta }{20\theta \mu }-\frac{\left( 6\delta \mu \right) {\tanh}^{2}\left( \mu x\right) }{5\theta }-\frac{\left( 12\delta \mu \right) \tanh\left( \mu x\right) }{5\theta },
(51)

where Failed to parse (MathML with SVG or PNG fallback (recommended for modern browsers and accessibility tools): Invalid response ("Math extension cannot connect to Restbase.") from server "https://mathoid.scipedia.com/localhost/v1/":): {\textstyle \mu =\frac{5\beta +5\gamma \sqrt{25{\beta }^{2}+50\beta \gamma +25{\gamma }^{2}-24{\delta }^{2}}}{24\delta }} . If Failed to parse (MathML with SVG or PNG fallback (recommended for modern browsers and accessibility tools): Invalid response ("Math extension cannot connect to Restbase.") from server "https://mathoid.scipedia.com/localhost/v1/":): {\textstyle \alpha =} Failed to parse (MathML with SVG or PNG fallback (recommended for modern browsers and accessibility tools): Invalid response ("Math extension cannot connect to Restbase.") from server "https://mathoid.scipedia.com/localhost/v1/":): \beta =\gamma =\theta =1 , we get

Failed to parse (MathML with SVG or PNG fallback (recommended for modern browsers and accessibility tools): Invalid response ("Math extension cannot connect to Restbase.") from server "https://mathoid.scipedia.com/localhost/v1/":): \begin{align}{\omega }_{1}\,\, & =\,\,\frac{{t}^{\zeta }}{10800\Gamma \left( \zeta +1\right) }\Bigg\{ -3\left( 959\sqrt{19}+4180\right) \sinh\left( \frac{1}{6}\left( \sqrt{19}+5\right) x\right)\\ &\quad +\left( 4003\sqrt{19}+17480\right) \cosh\left( \frac{1}{6}\left( \sqrt{19}+5\right) x\right) ,\\ &\quad -95\left( 79\sqrt{19}+344\right) \Bigg\} \left( \tanh\left( \frac{1}{12}\left( \sqrt{19}+5\right) x\right) +1\right) {sech}^{4}\left( \frac{1}{12}\left( \sqrt{19}+5\right) x\right) ,\cdots \end{align}
(52)

The prior analytical solution leads to the following exact solution [35]

Failed to parse (MathML with SVG or PNG fallback (recommended for modern browsers and accessibility tools): Invalid response ("Math extension cannot connect to Restbase.") from server "https://mathoid.scipedia.com/localhost/v1/":): \omega \left( x,t\right) \,\,=\,\,\frac{-10\beta \mu -10\gamma \mu +\delta }{20\theta \mu }-\frac{\left( 12\delta \mu \right) }{5\theta }\tanh\left( \mu \left( x-Vt\right) \right) -\frac{\left( 6\delta \mu \right) }{5\theta }{\tanh}^{2}\left( \mu \left( x-Vt\right) \right) .
(53)

For the specific instance when Failed to parse (MathML with SVG or PNG fallback (recommended for modern browsers and accessibility tools): Invalid response ("Math extension cannot connect to Restbase.") from server "https://mathoid.scipedia.com/localhost/v1/":): {\textstyle \zeta =1} , the approximative findings andTable 4 demonstrate that the exact solution of Eq. (32) has a generic type that is equivalent to the aforementioned analytical solutions. In order to comprehend the geometric behavior of our approximation to Eq. (32), shown in Figure 4, the exact solution in two and three dimensions is compared to the 2nd iteration of NTM. When Failed to parse (MathML with SVG or PNG fallback (recommended for modern browsers and accessibility tools): Invalid response ("Math extension cannot connect to Restbase.") from server "https://mathoid.scipedia.com/localhost/v1/":): {\textstyle \zeta =1} , Failed to parse (MathML with SVG or PNG fallback (recommended for modern browsers and accessibility tools): Invalid response ("Math extension cannot connect to Restbase.") from server "https://mathoid.scipedia.com/localhost/v1/":): {\textstyle \zeta =0.95} , Failed to parse (MathML with SVG or PNG fallback (recommended for modern browsers and accessibility tools): Invalid response ("Math extension cannot connect to Restbase.") from server "https://mathoid.scipedia.com/localhost/v1/":): {\textstyle \zeta =0.90}

and Failed to parse (MathML with SVG or PNG fallback (recommended for modern browsers and accessibility tools): Invalid response ("Math extension cannot connect to Restbase.") from server "https://mathoid.scipedia.com/localhost/v1/":): {\textstyle \zeta =0.80}

, the NTM solution and the exact solution were also compared.

Table 4. Comparison of case 4 for the exact solution with NDM solution and absolute errors using numerical calculations at Failed to parse (MathML with SVG or PNG fallback (recommended for modern browsers and accessibility tools): Invalid response ("Math extension cannot connect to Restbase.") from server "https://mathoid.scipedia.com/localhost/v1/":): {\textstyle t=1}
and Failed to parse (MathML with SVG or PNG fallback (recommended for modern browsers and accessibility tools): Invalid response ("Math extension cannot connect to Restbase.") from server "https://mathoid.scipedia.com/localhost/v1/":): {\textstyle \alpha =\beta =\gamma =\theta =1}
Failed to parse (MathML with SVG or PNG fallback (recommended for modern browsers and accessibility tools): Invalid response ("Math extension cannot connect to Restbase.") from server "https://mathoid.scipedia.com/localhost/v1/":): {\textstyle x} Failed to parse (MathML with SVG or PNG fallback (recommended for modern browsers and accessibility tools): Invalid response ("Math extension cannot connect to Restbase.") from server "https://mathoid.scipedia.com/localhost/v1/":): {\mathit{\boldsymbol{\omega }}}_{\mathit{\boldsymbol{Ex}}} Failed to parse (MathML with SVG or PNG fallback (recommended for modern browsers and accessibility tools): Invalid response ("Math extension cannot connect to Restbase.") from server "https://mathoid.scipedia.com/localhost/v1/":): {\mathit{\boldsymbol{\omega }}}_{\mathit{\boldsymbol{NDM}}}\left( \mathit{\boldsymbol{\zeta }}=\mathit{\boldsymbol{1}}\right) Absolute error Failed to parse (MathML with SVG or PNG fallback (recommended for modern browsers and accessibility tools): Invalid response ("Math extension cannot connect to Restbase.") from server "https://mathoid.scipedia.com/localhost/v1/":): {\mathit{\boldsymbol{\omega }}}_{\mathit{\boldsymbol{NDM}}}\left( \mathit{\boldsymbol{\zeta }}= \mathit{\boldsymbol{0.95}}\right) Failed to parse (MathML with SVG or PNG fallback (recommended for modern browsers and accessibility tools): Invalid response ("Math extension cannot connect to Restbase.") from server "https://mathoid.scipedia.com/localhost/v1/":): {\mathit{\boldsymbol{\omega }}}_{\mathit{\boldsymbol{NDM}}}\left( \mathit{\boldsymbol{\zeta }}= \mathit{\boldsymbol{0.90}}\right)
2 -3.660080833 -3.212723611 4.473572E-01 -3.208190131 -3.203946062
4 -3.739812014 -3.701529867 3.828214E-02 -3.700965987 -3.700438105
6 -3.743393916 -3.741658721 1.735194E-03 -3.741632941 -3.741608807
8 -3.743552259 -3.743475523 7.673630E-04 -3.743474382 -3.743473314
10 -3.743559254 -3.743555864 3.389871E-06 -3.743555813 -3.743555766
12 -3.743559563 -3.743559413 1.497424E-07 -3.743559411 -3.743559409
14 -3.743559576 -3.743559570 6.614627E-09 -3.743559570 -3.743559569
16 -3.743559577 -3.743559577 2.921902E-10 -3.743559577 -3.743559577
18 -3.743559577 -3.743559577 1.290745E-11 -3.743559577 -3.743559577
20 -3.743559577 -3.743559577 5.702105E-13 -3.743559577 -3.743559577


4ex.jpg 4app.jpg
(a) Exact solution of Failed to parse (MathML with SVG or PNG fallback (recommended for modern browsers and accessibility tools): Invalid response ("Math extension cannot connect to Restbase.") from server "https://mathoid.scipedia.com/localhost/v1/":): {\textstyle \omega (x,t)} (b) NDM solution of Failed to parse (MathML with SVG or PNG fallback (recommended for modern browsers and accessibility tools): Invalid response ("Math extension cannot connect to Restbase.") from server "https://mathoid.scipedia.com/localhost/v1/":): {\textstyle \omega (x,t)}
4exapp.jpg 4ex+app.jpg
(c) Absolute error at Failed to parse (MathML with SVG or PNG fallback (recommended for modern browsers and accessibility tools): Invalid response ("Math extension cannot connect to Restbase.") from server "https://mathoid.scipedia.com/localhost/v1/":): {\textstyle t = 0.01} (d) Comparison of results at Failed to parse (MathML with SVG or PNG fallback (recommended for modern browsers and accessibility tools): Invalid response ("Math extension cannot connect to Restbase.") from server "https://mathoid.scipedia.com/localhost/v1/":): {\textstyle t = 0.01}
4alphaX.jpg 4alphaT.jpg
(e) Comparison between exact and various values of Failed to parse (MathML with SVG or PNG fallback (recommended for modern browsers and accessibility tools): Invalid response ("Math extension cannot connect to Restbase.") from server "https://mathoid.scipedia.com/localhost/v1/":): {\textstyle \zeta} (f) Comparison between various values of Failed to parse (MathML with SVG or PNG fallback (recommended for modern browsers and accessibility tools): Invalid response ("Math extension cannot connect to Restbase.") from server "https://mathoid.scipedia.com/localhost/v1/":): {\textstyle \zeta}
at Failed to parse (MathML with SVG or PNG fallback (recommended for modern browsers and accessibility tools): Invalid response ("Math extension cannot connect to Restbase.") from server "https://mathoid.scipedia.com/localhost/v1/":): {\textstyle x = 1}
Figure 4. Periodic wave analytical (NDM) solutions Failed to parse (MathML with SVG or PNG fallback (recommended for modern browsers and accessibility tools): Invalid response ("Math extension cannot connect to Restbase.") from server "https://mathoid.scipedia.com/localhost/v1/":): {\textstyle \omega (x,t)}
of Eq. (32) with initial condition (50) and Failed to parse (MathML with SVG or PNG fallback (recommended for modern browsers and accessibility tools): Invalid response ("Math extension cannot connect to Restbase.") from server "https://mathoid.scipedia.com/localhost/v1/":): {\textstyle \alpha = \beta = \gamma = \theta = 1}

6. Conclusion

Studying and exploring nonlinear physical models using new techniques always help us advance in science and technology. In the current framework, we used NDM to evaluate the BBMPB equation with fractional order. Banach’s fixed-point theory is used to investigate the anticipated issue’s uniqueness theorem and convergence analysis. The anticipated method’s dependability and applicability are demonstrated by presenting four cases. The behaviors for the obtained findings are provided in 2D, 3D graphs, and tables for featured fractional order. These graphs aid to conclude the stimulating behaviors of the analogical models. Furthermore, while solving nonlinear issues, NDM does not require any conversion, perturbation, or consideration of extra polynomials or parameters. The examination of these kinds of occurrences can provide new ideas for investigating more real-world events. It can also generate ideas for employing an accurate method to evaluate nonlinear models related to science and technology. This work elucidates the proposed model, which is notably dependent on time instant and its history and can be convincingly illustrated utilizing fractional notions.

Conflict of Interest: The author declare that there is no conflict of interest.

Data Availability: No data were used to support this study.

Acknowledgments

This research project was funded by the Deanship of Scientific Research, Princess Nourah bint Abdulrahman University, through the Program of Research Project Funding After Publication, grant No (43- PRFA-P-43).

References

[1] Hilfer R. Applications of fractional calculus in physics. Academic press, Orlando, 1999.

[2] Kilbas A., Srivastava H., Trujillo J. Theory and applications of fractional differential equations. Elsevier, 204:1-523, 2006.

[3] Podlubny I. Fractional differential equations. Academic Press, New York, 1999.

[4] Amin R., Hafsa, Hadi F., Altanji M., Nisar K.S., Sumelka W. Solution of variable-order nonlinear fractional differential equations using haar wavelet collocation technique. Fractals, 31(2):2340022, 2023.

[5] Manjula M., Kaliraj K., Botmart T., Nisar K.S., Ravichandran C.Existence, uniqueness and approximation of nonlocal fractional differential equation of sobolev type with impulses. AIMS Mathematics, 8:4645-4665, 2023.

[6] Alqahtani Z., Hagag A.E. A fractional numerical study on a plant disease model with replanting and preventive treatment. Revista Internacional de Métodos Numéricos para Cálculo y Diseño en Ingeniería, 39(3), 27, 2023.

[7] Panda S., Vijayakumar V., Nisar K.S. Applying periodic and anti-periodic boundary conditions in existence results of fractional differential equations via nonlinear contractive mappings. Boundary Value Problems, 2023:91, 2023.

[8] Sivashankar M. et al. Some properties and stability of Helmholtz model involved with nonlinear fractional difference equations and its relevance with quadcopter. Chaos, Solitons & Fractals, 168:113161, 2023.

[9] Cattani C. Haar wavelet-based technique for sharp jumps classification. Math. Comput. Model., 39(2-3):255-278, 2004.

[10] Alqahtani Z., Hagag A.E. A new semi-analytical solution of compound KdV-Burgers equation of fractional order. Revista internacional de Métodos Numéricos para Cálculo y Diseño en Ingeniería , 39(4), 38, 2023.

[11] Khan A. et al. Exact Controllability of hilfer fractional differential system with non-instantaneous impluleses and state dependent delay, Qualitative Theory of Dynamical Systems, 22:1-19, 62, 2023.

[12] El-Wakil S.A., Elhanbaly A., Abdou M.A. Adomian decomposition method for solving fractional nonlinear differential equations. Applied Mathematics and Computation 182(1):313-324, 2006.

[13] Daftardar-Gejji V., Jafari H. Adomian decomposition: a tool for solving a system of fractional differential equations. Journal of Mathematical Analysis and Applications, 301(2):508-518, 2005.

[14] Rawashdeh M., Maitama S. Solving coupled system of nonlinear PDE’s using the natural decomposition method. International Journal of Pure and Applied Mathematics, 92:757-776, 2014.

[15] Rawashdeh M., Maitama S. Finding exact solutions of nonlinear PDEs using the natural decomposition method. Mathematical Methods in the Applied Sciences, 40:223-236, 2017.

[16] Khandelwal R., Kumawat P., Khandelwal Y. A study of natural transform based on decomposition method for solving nonlinear ordinary differential equation. Int. J. Stat. Appl. Math., 3:664-669, 2018.

[17] Rawashdeh M.S. The fractional natural decomposition method: Theories and applications. Math. Methods Appl. Sci., 40(7):2362-2376, 2017.

[18] Shah R. et al. Natural transform decomposition method for solving fractional-order partial differential equations with proportional delay. Mathematics, 7(6):532, 2019.

[19] Almuneef A. and Hagag A.E., Approximate solution of the fractional differential equation via the natural decomposition method. Métodos numéricos para cálculo y diseño en ingeniería: Revista internacional, 39(4), 43, 2023.

[20] Elbadri M., et al. A new solution of time-fractional coupled KdV equation by using natural decomposition method. Abstract and Applied Analysis, 2020:3950816, 2020.

[21] Korpusov M.O., Sveshnikov A.G. Blow-up of solutions of strongly nonlinear equations of pseudoparabolic type. Journal of Mathematical Sciences, 148:1-142, 2008.

[22] Dubey S.A. Numerical solution for nonlocal Sobolev-type differential equations. Electron. J. Differ. Equ. Conf., 19:75-83, 2010.

[23] Kaikina E., Naumkin P., Shishmarev I. The Cauchy problem for an equation of Sobolev type with power non-linearity. Izvestiya: Mathematics, 69(1):59-111, 2005.

[24] Karch G. Asymptotic behaviour of solutions to some pseudoparabolic equations. Mathematical Methods in the Applied Sciences, 20:271-289, 1997.

[25] Peregrine D.H. Calculations of the development of an undular bore. Journal of Fluid Mechanics, 25:321-330, 1966.

[26] Benjamin T., Bona J., Mahony J. Model equations for long waves in nonlinear dispersive systems. Philosophical Transactions of the Royal Society of London. Series A: Mathematical and Physical Sciences, 272(1220):47-78, 1972.

[27] Camassa R., Holm D. An integrable shallow water equation with peaked solitons. Physical Review Letters, 71:1661-1664, 1993.

[28] Rollins D. Painlevé analysis and Lie group symmetries of the regularized long-wave equation. Journal of Mathematical Physics, 32:3331-3332, 1991.

[29] Kodama Y. On solitary-wave interaction. Physics Letters A, 123:276-282, 1987.

[30] Hereman W. et al. Exact solitary wave solutions of nonlinear evolution and wave equations using a direct algebraic method. Journal of Physics A: Mathematical and General, 19:607-628, 1986.

[31] Mainardi F. On the initial value problem for the fractional diffusion equation. In: Wave and Stability in Continuous Media, S. Rionero, T. Ruggeeri (Eds.), Word Scientific, Singapore, pp. 246-251, 1994.

[32] Loonker D., Banerji P.K. Solution of fractional ordinary differential equations by natural transform. International Journal of Mathematical Engineering and Science, 12(2):1-7, 2013.

[33] Singh P., Sharma D. Convergence and error analysis of series solution of nonlinear partial differential equation. Nonlinear Engineering, 7:303-308, 2018.

[34] Kreyszig E. Introductory functional analysis with applications. New York, Wiley Classic Libraries, John Wiley & Sons, 299-321, 1989.

[35] Gözükızıl Ö.F., Akçağıl Ş. The tanh-coth method for some nonlinear pseudoparabolic equations with exact solutions. Advances in Difference Equations, 2013(1):143, 2013.

Back to Top

Document information

Published on 28/12/23
Accepted on 20/12/23
Submitted on 21/06/23

Volume 39, Issue 4, 2023
DOI: 10.23967/j.rimni.2024.01.001
Licence: CC BY-NC-SA license

Document Score

0

Views 256
Recommendations 0

Share this document

claim authorship

Are you one of the authors of this document?