Abstract

In today’s world, analyzing nonlinear occurrences related to physical phenomena is a hot topic. The main goal of this research is to use the natural decomposition method (NDM) of fractional order to find an approximate solution to the fractional clannish random walker’s parabolic (CRWP) equation. The proposed method gives approximate solutions that are exceptionally near the exact solution without the complication that numerous other techniques imply. Banach’s fixed-point theory is used to investigate the anticipated issue’s convergence analysis and uniqueness theorem. To ensure that the suggested technique is trustworthy and precise, numerical simulations were conducted. The results are shown in the graphs and tables. When comparing the proposed scheme’s solution to the actual solutions, it becomes clear that the scheme is efficient, systematic, and very precise when dealing with nonlinear complex phenomena.

Keywords: Natural decomposition method, natural transform, convergence analysis, uniqueness theorem, fractional CRWP equation

1. Introduction

Fractional-order differential equations have received a lot of interest in recent years due to advances in the theory of fractional calculus and its applications in a wide range of fields. Fractional partial differential equations are becoming more and more common in engineering applications and many research fields. Fractional-order derivatives can be used to explain a variety of physical phenomena in mathematical biology, electromagnetic theory, fluid mechanics, signal processing, and engineering. Numerous real-life issues may be represented by ordinary or partial differential equations with fractional order derivatives in the areas of diffusion processes, viscoelasticity, electrochemistry, and relaxation vibrations. Fractional calculus is also used in fluid dynamics, stochastic dynamical systems, controlled thermonuclear fusion, plasma physics, turbulence, nonlinear control theory, optical fibers, solid-state physics, chaos, fractal dynamics, finance, image processing astrophysics, etc. [1-7].

Finding exact solutions to the nonlinear fractional differential equations is crucial to understanding the wave phenomena they represent. The nonlinear fractional partial differential equations cannot be solved using a generic approach. Also, in recent decades, many successful techniques have been used to find approximate and exact solutions to these equations, such as the first integral method [8], modified Kudryashov method [9], generalized Kudryashov method [10], trial equation method [11], exp-function method [12], sub-equation method [13], improved sub-equation method [14], modified simple equation method [15], improved (G/G)-expansion method [16], sine-Gordon equation expansion method [17], extended sin-Gordon equation method [18], extension exp(())-expansion method [19], improved tanh function method [20], and adomian decomposition method (ADM) which is a more popular technique due to its precision and efficiency [21-22]. ADM has been successfully and efficiently used to investigate the issues that have emerged in science and technology without perturbation and linearization. On the other hand, ADM needs a lot of time and a lot of computer capacity in order to do calculations. As a result, the integration of this technique with other transform methods is almost guaranteed. So Rawashdeh and Maitama proposed the fractional natural decomposition method (FNDM) [23-24], which is a combination of the ADM and natural transform method (NTM). Since FNDM is an amended method of ADM, it reduces calculation time and doesn’t need linearization discretization, or perturbation.

The time-fractional clannish random walker’s parabolic (CRWP) equation [25-27] is developed for the mobility of two interacting populations that have a tendency to be clannish, that is, they prefer to dwell with others of their own kind. This equation is written as:

Failed to parse (MathML with SVG or PNG fallback (recommended for modern browsers and accessibility tools): Invalid response ("Math extension cannot connect to Restbase.") from server "https://mathoid.scipedia.com/localhost/v1/":): \frac{{\partial}^{\epsilon }\varphi (x,\tau ) }{\partial {\tau }^{\epsilon }} = \frac{{\partial }^{2}\varphi (x,\tau ) }{\partial {x}^{2}}-2\alpha \varphi (x,\tau ) \frac{\partial \varphi (x,\tau ) }{\partial x}+\frac{\partial \varphi (x,\tau ) }{\partial x},\quad {0 < \epsilon \leq 1}
(1)

where Failed to parse (MathML with SVG or PNG fallback (recommended for modern browsers and accessibility tools): Invalid response ("Math extension cannot connect to Restbase.") from server "https://mathoid.scipedia.com/localhost/v1/":): {\textstyle \epsilon}

 is the time fractional derivative. There are a few publications available about this equation. In 2007,  Ugurlu and [28] considered the developed tanh function technique to discover some exact solutions to the CRWP equation. In 2013, Bulut [27]  solved the CRWP problem using hyperbolic functions with the Kudryashov technique. Many novel solutions have been found by Odabasi and Misirli [29] by using the modified trial equation technique. Guner et al. [30] used two efficient techniques, namely the (G’/G,1/G)-expansion method and the (G’/G)-expansion method. In 2021, Bashar et al. investigated novel exact solutions of the CRWP equation utilizing an expanded version of the Exp (−φ(ζ))-expansion technique in the sense of conformable fractional derivative [31]. By using the fractional natural decomposition technique (FNDM), this article finds approximate analytical solutions to the (CRWP) equation and compares them to the exact solutions.

The remainder of this article is arranged according to the following: In Section 2, we explain the basic concept of fractional calculus and certain preliminaries that pertain to our work. A fractional natural decomposition method (FNDM) is discussed in Section 3. The convergence analysis of NDM is discussed in Section 4. In Section 5, we will solve the (CRWP) problem using the technique described above. To conclude, there is an explanation of the major findings and a comparison of them to their exact solutions.

2. Preliminaries to FC

This section contains enough information to recognize fractional calculus theory. Throughout the previous two centuries, numerous different concepts of fractional calculus have been proposed. Including Hadamard fractional integral, Riemann-Liouville fractional derivative, Conformable fractional derivative, Caputo-Fabrizio fractional derivative, Yang-Gao-Machado-Baleanu fractional derivative and Caputo fractional operator.

Definition 1

The time-fractional integral of the Riemann-Liouville operator is given by Podlubny [32]

Failed to parse (MathML with SVG or PNG fallback (recommended for modern browsers and accessibility tools): Invalid response ("Math extension cannot connect to Restbase.") from server "https://mathoid.scipedia.com/localhost/v1/":): {J}_{0}^{\epsilon }\varphi \left( \tau \right) =\left\{ \begin{matrix}\displaystyle\frac{1}{\Gamma \left( \epsilon +1\right) }\int_{0}^{\tau }\varphi \left( \tau \right) {\left( d\tau \right) }^{\epsilon }=\displaystyle\frac{1}{\Gamma \left( \epsilon \right) }\int_{0}^{\tau }{\left( \tau -\upsilon \right) }^{\epsilon -1}\varphi \left( \upsilon \right) d\upsilon ,&\tau ,\epsilon >0,\\\varphi \left( \tau \right) ,&\epsilon =0.\end{matrix}\right.
(2)

Definition 2

The time-fractional derivative of Caputo operator is given by Podlubny [32]

Failed to parse (MathML with SVG or PNG fallback (recommended for modern browsers and accessibility tools): Invalid response ("Math extension cannot connect to Restbase.") from server "https://mathoid.scipedia.com/localhost/v1/":): {D}_{\ast }^{\epsilon }\varphi \left( \tau \right) =\left\{ \begin{matrix}\displaystyle\frac{{d}^{k}}{d{\tau }^{k}}\varphi \left( \tau \right) ,&\epsilon =k\in N,\\\displaystyle\frac{1}{\Gamma \left( k-\epsilon \right) }\int_{0}^{\tau }{\left( \tau -\upsilon \right) }^{k-\epsilon -1}{\varphi }^{\left( k\right) }\left( \upsilon \right) d\upsilon ,&k-1<\epsilon \leq k\in N.\end{matrix}\right.
(3)

Definition 3

The Mittag-Leffler of Failed to parse (MathML with SVG or PNG fallback (recommended for modern browsers and accessibility tools): Invalid response ("Math extension cannot connect to Restbase.") from server "https://mathoid.scipedia.com/localhost/v1/":): {\textstyle {E}_{\epsilon }\left( \tau \right)}

 is given by Mainardi [33]
Failed to parse (MathML with SVG or PNG fallback (recommended for modern browsers and accessibility tools): Invalid response ("Math extension cannot connect to Restbase.") from server "https://mathoid.scipedia.com/localhost/v1/":): {E}_{\epsilon }\left( \tau \right) =\sum _{i=0}^{\infty }\displaystyle\frac{{\tau }^{i}}{\Gamma \left( i\epsilon +1\right) }
(4)

Definition 4

The natural transform (NT) is given by

Failed to parse (MathML with SVG or PNG fallback (recommended for modern browsers and accessibility tools): Invalid response ("Math extension cannot connect to Restbase.") from server "https://mathoid.scipedia.com/localhost/v1/":): {N}^{+}\left\{\omega (\theta ) \right\} =\int_{-\infty}^{\infty}{e}^{-s\theta}\omega (z\theta) d\theta,\quad s,z\in (-\infty,\infty).
(5)

Definition 5

The natural transform has the following impact on the Caputo operator given aby Loonker and Banerji [34]

Failed to parse (MathML with SVG or PNG fallback (recommended for modern browsers and accessibility tools): Invalid response ("Math extension cannot connect to Restbase.") from server "https://mathoid.scipedia.com/localhost/v1/":): {N}^{+}\left\{ {D}^{\epsilon }\varphi \left( \tau \right) \right\} =\displaystyle\frac{{q}^{\epsilon }}{{s}^{\epsilon }}{N}^{+}\left\{ \varphi \left( \tau \right) \right\} -

Failed to parse (MathML with SVG or PNG fallback (recommended for modern browsers and accessibility tools): Invalid response ("Math extension cannot connect to Restbase.") from server "https://mathoid.scipedia.com/localhost/v1/":): \sum _{i=0}^{n-1}\displaystyle\frac{{q}^{i-\epsilon }}{{s}^{i+1-\epsilon }}{\left[ {D}^{i}\varphi \left( \tau \right) \right] }_{\tau =0},n- Failed to parse (MathML with SVG or PNG fallback (recommended for modern browsers and accessibility tools): Invalid response ("Math extension cannot connect to Restbase.") from server "https://mathoid.scipedia.com/localhost/v1/":): 1<\epsilon \leq n.

(6)

3. Construction of fractional NDM

The following examples demonstrate how the recommended approach is based on the theory and method for solving fractional nonlinear partial differential equations:

Failed to parse (MathML with SVG or PNG fallback (recommended for modern browsers and accessibility tools): Invalid response ("Math extension cannot connect to Restbase.") from server "https://mathoid.scipedia.com/localhost/v1/":): {D}_{\tau }^{\epsilon }\varphi \left( x,\tau \right) +R\varphi \left( x,\tau \right) +F\varphi \left( x,\tau \right) =\hslash \left( x,\tau \right), n-1<\epsilon \leq n,
(7)

with the initial condition

Failed to parse (MathML with SVG or PNG fallback (recommended for modern browsers and accessibility tools): Invalid response ("Math extension cannot connect to Restbase.") from server "https://mathoid.scipedia.com/localhost/v1/":): \varphi \left( x,0\right) =v\left( x\right) ,
(8)

where the Caputo operator of Failed to parse (MathML with SVG or PNG fallback (recommended for modern browsers and accessibility tools): Invalid response ("Math extension cannot connect to Restbase.") from server "https://mathoid.scipedia.com/localhost/v1/":): {\textstyle \varphi \left( x,\tau \right)}

 is denoted by Failed to parse (MathML with SVG or PNG fallback (recommended for modern browsers and accessibility tools): Invalid response ("Math extension cannot connect to Restbase.") from server "https://mathoid.scipedia.com/localhost/v1/":): {\textstyle {D}_{\tau }^{\epsilon }=}

Failed to parse (MathML with SVG or PNG fallback (recommended for modern browsers and accessibility tools): Invalid response ("Math extension cannot connect to Restbase.") from server "https://mathoid.scipedia.com/localhost/v1/":): \frac{{\partial }^{\epsilon }}{\partial {\tau }^{\epsilon }} , the linear function is denoted by Failed to parse (MathML with SVG or PNG fallback (recommended for modern browsers and accessibility tools): Invalid response ("Math extension cannot connect to Restbase.") from server "https://mathoid.scipedia.com/localhost/v1/":): {\textstyle R} , the non-linear function is denoted by Failed to parse (MathML with SVG or PNG fallback (recommended for modern browsers and accessibility tools): Invalid response ("Math extension cannot connect to Restbase.") from server "https://mathoid.scipedia.com/localhost/v1/":): {\textstyle F}

and the source term is denoted by Failed to parse (MathML with SVG or PNG fallback (recommended for modern browsers and accessibility tools): Invalid response ("Math extension cannot connect to Restbase.") from server "https://mathoid.scipedia.com/localhost/v1/":): {\textstyle \hslash \left( x,\tau \right)}
. Applying the NT to Eq. (7) and employing definition 5, we obtain
Failed to parse (MathML with SVG or PNG fallback (recommended for modern browsers and accessibility tools): Invalid response ("Math extension cannot connect to Restbase.") from server "https://mathoid.scipedia.com/localhost/v1/":): {N}^{+}\left[ \varphi \left( x,\tau \right) \right] =\frac{{q}^{\epsilon }}{{s}^{\epsilon }}\sum _{i=0}^{n-1}\frac{{q}^{i-\epsilon }}{{s}^{i+1-\epsilon }}{\left[ {D}^{i}\varphi \left( \tau \right) \right] }_{\tau =0}+\frac{{q}^{\epsilon }}{{s}^{\epsilon }}{N}^{+}\left[ \hslash \left( x,\tau \right) \right] -

Failed to parse (MathML with SVG or PNG fallback (recommended for modern browsers and accessibility tools): Invalid response ("Math extension cannot connect to Restbase.") from server "https://mathoid.scipedia.com/localhost/v1/":): \frac{{q}^{\epsilon }}{{s}^{\epsilon }}{N}^{+}\left[ R\varphi \left( x,\tau \right) +F\varphi \left( x,\tau \right) \right] .

(9)


Applying the inverse NT to the previous equation, we get

Failed to parse (MathML with SVG or PNG fallback (recommended for modern browsers and accessibility tools): Invalid response ("Math extension cannot connect to Restbase.") from server "https://mathoid.scipedia.com/localhost/v1/":): \varphi \left( x,\tau \right) =H\left( x,\tau \right) +{N}^{-}\left\{ \frac{{q}^{\epsilon }}{{s}^{\epsilon }}{N}^{+}\left[ \hslash \left( x,\tau \right) -R\varphi \left( x,\tau \right) -F\varphi \left( x,\tau \right) \right] \right\} .
(10)

Failed to parse (MathML with SVG or PNG fallback (recommended for modern browsers and accessibility tools): Invalid response ("Math extension cannot connect to Restbase.") from server "https://mathoid.scipedia.com/localhost/v1/":): {\textstyle H\left( x,\tau \right)}

 exists from the provided initial condition and nonhomogeneous term. Let’s suppose that an infinite series solution has the form
Failed to parse (MathML with SVG or PNG fallback (recommended for modern browsers and accessibility tools): Invalid response ("Math extension cannot connect to Restbase.") from server "https://mathoid.scipedia.com/localhost/v1/":): \varphi (x,\tau)=\sum_{n=0}^{\infty }{\varphi}_{n}(x,\tau), \qquad F\varphi (x,\tau) =\sum_{n=0}^{\infty }{A}_{n},
(11)

where Failed to parse (MathML with SVG or PNG fallback (recommended for modern browsers and accessibility tools): Invalid response ("Math extension cannot connect to Restbase.") from server "https://mathoid.scipedia.com/localhost/v1/":): {\textstyle {A}_{n}}

denotes the nonlinear term of Failed to parse (MathML with SVG or PNG fallback (recommended for modern browsers and accessibility tools): Invalid response ("Math extension cannot connect to Restbase.") from server "https://mathoid.scipedia.com/localhost/v1/":): {\textstyle F\varphi \left( x,\tau \right)}
, then we get
Failed to parse (MathML with SVG or PNG fallback (recommended for modern browsers and accessibility tools): Invalid response ("Math extension cannot connect to Restbase.") from server "https://mathoid.scipedia.com/localhost/v1/":): \sum _{n=0}^{\infty }{\varphi }_{n}\left( x,\tau \right) =H\left( x,\tau \right) +{N}^{-}\left\{ \frac{{q}^{\zeta }}{{s}^{\zeta }}{N}^{+}\left[ \hslash \left( x,\tau \right) -R\varphi \left( x,\tau \right) -F\varphi \left( x,\tau \right) \right] \right\} .
(12)


Ultimately, the analytical solutions are presented in the following form

Failed to parse (MathML with SVG or PNG fallback (recommended for modern browsers and accessibility tools): Invalid response ("Math extension cannot connect to Restbase.") from server "https://mathoid.scipedia.com/localhost/v1/":): \varphi \left( x,\tau \right) =\sum _{n=0}^{\infty }{\varphi }_{n}\left( x,\tau \right) .
(13)

4. Convergence analysis of NDM

The existence and uniqueness theorems are tools for determining that to an issue problem, there is a unique solution that meets a particular guess condition.

Theorem 1

Wherever Failed to parse (MathML with SVG or PNG fallback (recommended for modern browsers and accessibility tools): Invalid response ("Math extension cannot connect to Restbase.") from server "https://mathoid.scipedia.com/localhost/v1/":): {\textstyle \chi \in \left( 0,1\right)}

, the solution given by NDM for the CRWP equation is unique where
Failed to parse (MathML with SVG or PNG fallback (recommended for modern browsers and accessibility tools): Invalid response ("Math extension cannot connect to Restbase.") from server "https://mathoid.scipedia.com/localhost/v1/":): \chi =\left\{ {\varphi }^{2}-2c\varphi \left( X+Y\right) +\varphi \right\} \Xi
(14)

Proof

The CRWP equation has an analytical solution, which is as follows

Failed to parse (MathML with SVG or PNG fallback (recommended for modern browsers and accessibility tools): Invalid response ("Math extension cannot connect to Restbase.") from server "https://mathoid.scipedia.com/localhost/v1/":): \varphi \left( x,\tau \right) =\sum _{j=0}^{\infty }{\varphi }_{j}\left( x,\tau \right) ,
(15)

where

Failed to parse (MathML with SVG or PNG fallback (recommended for modern browsers and accessibility tools): Invalid response ("Math extension cannot connect to Restbase.") from server "https://mathoid.scipedia.com/localhost/v1/":): {\varphi }_{m+1}\left( x,\tau \right) ={N}^{-}\left\{ \frac{\phi \left( x\right) }{s}\right\} +{N}^{-}\left\{ \left( \frac{{q}^{\epsilon }}{{s}^{\epsilon }}\right) {N}^{+}\left[ {\left( {\varphi }_{m}\right) }_{xx}-2\alpha \sum _{i=0}^{m}{\varphi }_{i}{\left( {\varphi }_{m-i}\right) }_{x}+{\left( {\varphi }_{m}\right) }_{x}\right] \right\} .
(16)


Suppose that Failed to parse (MathML with SVG or PNG fallback (recommended for modern browsers and accessibility tools): Invalid response ("Math extension cannot connect to Restbase.") from server "https://mathoid.scipedia.com/localhost/v1/":): {\textstyle \varphi}

 and  are two solutions to the CRWP equation with Failed to parse (MathML with SVG or PNG fallback (recommended for modern browsers and accessibility tools): Invalid response ("Math extension cannot connect to Restbase.") from server "https://mathoid.scipedia.com/localhost/v1/":): {\textstyle \left| \varphi \right| \leq X}
and Failed to parse (MathML with SVG or PNG fallback (recommended for modern browsers and accessibility tools): Invalid response ("Math extension cannot connect to Restbase.") from server "https://mathoid.scipedia.com/localhost/v1/":): {\textstyle \left| \right| \leq Y}

, then use of the aforesaid equation, we get

Failed to parse (MathML with SVG or PNG fallback (recommended for modern browsers and accessibility tools): Invalid response ("Math extension cannot connect to Restbase.") from server "https://mathoid.scipedia.com/localhost/v1/":): \bigl|\varphi-\overset{\diamond}{\varphi}\bigr| =\vert {N}^{-}\left\{ \left( \frac{{q}^{\epsilon }}{{s}^{\epsilon }}\right) {N}^{+}\left[ \left( {\varphi }_{xx}-{\overset{\diamond}{\varphi}}_{xx}\right) -2\alpha\left(\varphi-\overset{\diamond}{\varphi}\right)\left(\varphi_{x}-\overset{\diamond}{\varphi}_{x}\right) +\left( {\varphi }_{x}-{\overset{\diamond}{\varphi}}_{x}\right) \right] \right\} \vert .
(17)


We have used the convolution theorem for natural transform to get the following

Failed to parse (MathML with SVG or PNG fallback (recommended for modern browsers and accessibility tools): Invalid response ("Math extension cannot connect to Restbase.") from server "https://mathoid.scipedia.com/localhost/v1/":): \begin{align}\vert \varphi -\overset{\diamond}{\varphi}\vert &=\int_{0}^{\tau }\left\{ \vert {\varphi }_{2x}-{\overset{\diamond}{\varphi}}_{2x}\vert -2\alpha \vert \left( \varphi -\overset{\diamond}{\varphi}\right) \left( {\varphi }_{x}+{\overset{\diamond}{\varphi}}_{x}\right) \vert +\vert {\varphi }_{x}-{\overset{\diamond}{\varphi}}_{x}\vert \right\} \frac{{\left( \tau -\phi \right) }^{\epsilon }}{\Gamma \left( \epsilon +1\right) }d\tau .\\ &\leq \int_{0}^{\tau }\left\{ \frac{{\partial }^{2}}{\partial {x}^{2}}\vert \varphi -\overset{\diamond}{\varphi}\vert -2\alpha \vert \varphi -\overset{\diamond}{\varphi}\vert \frac{\partial }{\partial x}\vert \varphi -\overset{\diamond}{\varphi}\vert +\frac{\partial }{\partial x}\vert \varphi -\overset{\diamond}{\varphi}\vert \right\} \frac{{\left( \tau -\phi \right) }^{\epsilon }}{\Gamma \left( \epsilon +1\right) }d\tau .\\ &\leq \left\{ {\varphi }^{2}\vert \varphi -\overset{\diamond}{\varphi}\vert -2\alpha \varphi \left( X+Y\right) \vert \varphi -\overset{\diamond}{\varphi}\vert +\varphi \vert \varphi -\overset{\diamond}{\varphi}\vert \right\} \frac{{\tau }^{\epsilon +1}}{\Gamma \left( \epsilon +2\right) },\end{align}
(18)

where Failed to parse (MathML with SVG or PNG fallback (recommended for modern browsers and accessibility tools): Invalid response ("Math extension cannot connect to Restbase.") from server "https://mathoid.scipedia.com/localhost/v1/":): {\textstyle {\varphi }^{n}=\frac{{\partial }^{n}}{\partial {x}^{n}},n=} Failed to parse (MathML with SVG or PNG fallback (recommended for modern browsers and accessibility tools): Invalid response ("Math extension cannot connect to Restbase.") from server "https://mathoid.scipedia.com/localhost/v1/":): 1,2 . The integral mean value [35] is used to simplify the preceding equation, as shown below

Failed to parse (MathML with SVG or PNG fallback (recommended for modern browsers and accessibility tools): Invalid response ("Math extension cannot connect to Restbase.") from server "https://mathoid.scipedia.com/localhost/v1/":): \begin{align}\vert \varphi -\overset{\diamond}{\varphi}\vert & \leq \left\{ {\varphi }^{2}\vert \varphi -\overset{\diamond}{\varphi}\vert -2\alpha \varphi \left( X+Y\right) \vert \varphi -\overset{\diamond}{\varphi}\vert +\varphi \vert \varphi -\overset{\diamond}{\varphi}\vert \right\} \Xi .\\ &\leq \chi \vert \varphi -\overset{\diamond}{\varphi}\vert ,\end{align}
(19)


Failed to parse (MathML with SVG or PNG fallback (recommended for modern browsers and accessibility tools): Invalid response ("Math extension cannot connect to Restbase.") from server "https://mathoid.scipedia.com/localhost/v1/":): {\textstyle \therefore \left( 1-\chi \right) \vert \varphi -\overset{\diamond}{\varphi}\vert \leq 0} . Since Failed to parse (MathML with SVG or PNG fallback (recommended for modern browsers and accessibility tools): Invalid response ("Math extension cannot connect to Restbase.") from server "https://mathoid.scipedia.com/localhost/v1/":): {\textstyle 0<\chi <1} , therefore Failed to parse (MathML with SVG or PNG fallback (recommended for modern browsers and accessibility tools): Invalid response ("Math extension cannot connect to Restbase.") from server "https://mathoid.scipedia.com/localhost/v1/":): {\textstyle \vert \varphi -\overset{\diamond}{\varphi}} Failed to parse (MathML with SVG or PNG fallback (recommended for modern browsers and accessibility tools): Invalid response ("Math extension cannot connect to Restbase.") from server "https://mathoid.scipedia.com/localhost/v1/":): \vert =0 , which gives Failed to parse (MathML with SVG or PNG fallback (recommended for modern browsers and accessibility tools): Invalid response ("Math extension cannot connect to Restbase.") from server "https://mathoid.scipedia.com/localhost/v1/":): {\textstyle \varphi =\overset{\diamond}{\varphi}} , where Failed to parse (MathML with SVG or PNG fallback (recommended for modern browsers and accessibility tools): Invalid response ("Math extension cannot connect to Restbase.") from server "https://mathoid.scipedia.com/localhost/v1/":): {\textstyle \varphi =} Failed to parse (MathML with SVG or PNG fallback (recommended for modern browsers and accessibility tools): Invalid response ("Math extension cannot connect to Restbase.") from server "https://mathoid.scipedia.com/localhost/v1/":): \frac{{\tau }^{\epsilon +1}}{\Gamma \left( \epsilon +2\right) } . As a result, the analytical solution is unique.

Theorem 2

Assume the following

Failed to parse (MathML with SVG or PNG fallback (recommended for modern browsers and accessibility tools): Invalid response ("Math extension cannot connect to Restbase.") from server "https://mathoid.scipedia.com/localhost/v1/":): \Vert F\left( \varphi \right) -F\left( s\right) \Vert \leq \chi \Vert \varphi -s\Vert, \forall \varphi, s\in B, \chi \in \left( 0,1\right) ,
(20)

where Failed to parse (MathML with SVG or PNG fallback (recommended for modern browsers and accessibility tools): Invalid response ("Math extension cannot connect to Restbase.") from server "https://mathoid.scipedia.com/localhost/v1/":): {\textstyle B}

is a Banach space with Failed to parse (MathML with SVG or PNG fallback (recommended for modern browsers and accessibility tools): Invalid response ("Math extension cannot connect to Restbase.") from server "https://mathoid.scipedia.com/localhost/v1/":): {\textstyle F:B\rightarrow B}

. The fixed-point principle of Banach [36] and the previous theorem were used to deduce that Failed to parse (MathML with SVG or PNG fallback (recommended for modern browsers and accessibility tools): Invalid response ("Math extension cannot connect to Restbase.") from server "https://mathoid.scipedia.com/localhost/v1/":): {\textstyle F}

has a fixed point. Furthermore, the analytical solution produced with the suggested process is converging with a random election for Failed to parse (MathML with SVG or PNG fallback (recommended for modern browsers and accessibility tools): Invalid response ("Math extension cannot connect to Restbase.") from server "https://mathoid.scipedia.com/localhost/v1/":): {\textstyle {\varphi }_{0},{s}_{0}\in B}
to a fixed point of Failed to parse (MathML with SVG or PNG fallback (recommended for modern browsers and accessibility tools): Invalid response ("Math extension cannot connect to Restbase.") from server "https://mathoid.scipedia.com/localhost/v1/":): {\textstyle F}
and
Failed to parse (MathML with SVG or PNG fallback (recommended for modern browsers and accessibility tools): Invalid response ("Math extension cannot connect to Restbase.") from server "https://mathoid.scipedia.com/localhost/v1/":): \Vert {\varphi }_{\mu }-{\varphi }_{\sigma }\Vert \leq \frac{{\chi }^{\phi }}{1-\chi }\Vert {\varphi }_{1}-{\varphi }_{0}\Vert .
(21)

Proof

Presume that Failed to parse (MathML with SVG or PNG fallback (recommended for modern browsers and accessibility tools): Invalid response ("Math extension cannot connect to Restbase.") from server "https://mathoid.scipedia.com/localhost/v1/":): {\textstyle B}

a Banach space Failed to parse (MathML with SVG or PNG fallback (recommended for modern browsers and accessibility tools): Invalid response ("Math extension cannot connect to Restbase.") from server "https://mathoid.scipedia.com/localhost/v1/":): {\textstyle \left( C\left[ J\right] ,\Vert .\Vert \right)}
. Now we shall confirm that Failed to parse (MathML with SVG or PNG fallback (recommended for modern browsers and accessibility tools): Invalid response ("Math extension cannot connect to Restbase.") from server "https://mathoid.scipedia.com/localhost/v1/":): {\textstyle \left\{ {\varphi }_{\mu }\right\}}
 is a Cauchy sequence in Banach space, by doing the following
Failed to parse (MathML with SVG or PNG fallback (recommended for modern browsers and accessibility tools): Invalid response ("Math extension cannot connect to Restbase.") from server "https://mathoid.scipedia.com/localhost/v1/":): \begin{align}\Vert {\varphi }_{\mu }-{\varphi }_{\sigma }\Vert &=\underbrace{\max}_{\phi \in J}\vert {\varphi }_{\mu }-{\varphi }_{\sigma }\vert \\ &=\underbrace{\max}_{\phi \in J}\left| {N}^{-}\left\{ \left( \frac{{q}^{\epsilon }}{{s}^{\epsilon }}\right) {N}^{+}\left[ \left( \frac{{\partial }^{2}{\varphi }_{\mu -1}}{\partial {x}^{2}}-\frac{{\partial }^{2}{\varphi }_{\sigma -1}}{\partial {x}^{2}}\right) -2\alpha \left( {\varphi }_{\mu -1}-{\varphi }_{\sigma -1}\right) \left( \frac{\partial {\varphi }_{\mu -1}}{\partial x}-\frac{\partial {\varphi }_{\sigma -1}}{\partial x}\right) +\left( \frac{\partial {\varphi }_{\mu -1}}{\partial x}-\frac{\partial {\varphi }_{\sigma -1}}{\partial x}\right) \right] \right\} \right| \\ &\leq \underbrace{\max}_{\phi \in J}\left[ {N}^{-}\left\{ \left( \frac{{q}^{\epsilon }}{{s}^{\epsilon }}\right) {N}^{+}\left[ \left| \frac{{\partial }^{2}{\varphi }_{\mu -1}}{\partial {x}^{2}}-\frac{{\partial }^{2}{\varphi }_{\sigma -1}}{\partial {x}^{2}}\right| -2\alpha \left| {\varphi }_{\mu -1}-{\varphi }_{\sigma -1}\right| \left| \frac{\partial {\varphi }_{\mu -1}}{\partial x}-\frac{\partial {\varphi }_{\sigma -1}}{\partial x}\right| +\left| \frac{\partial {\varphi }_{\mu -1}}{\partial x}-\frac{\partial {\varphi }_{\sigma -1}}{\partial x}\right| \right] \right\} \right] .\end{align}
(22)


We have used the convolution theorem for natural transform to get the following

Failed to parse (MathML with SVG or PNG fallback (recommended for modern browsers and accessibility tools): Invalid response ("Math extension cannot connect to Restbase.") from server "https://mathoid.scipedia.com/localhost/v1/":): \Vert {\varphi }_{\mu }-{\varphi }_{\sigma }\Vert \leq \underbrace{\max}_{\phi \in J}\left[ \left\{ {\varphi }^{2}\vert {\varphi }_{\mu -1}-{\varphi }_{\sigma -1}\vert -2\alpha \varphi \left( X+Y\right) \vert {\varphi }_{\mu -1}-{\varphi }_{\sigma -1}\vert +\varphi \vert {\varphi }_{\mu -1}-{\varphi }_{\sigma -1}\vert \right\} \int_{0}^{\tau }\frac{{\left( \tau -\phi \right) }^{\epsilon }}{\Gamma \left( \epsilon +1\right) }d\phi \right] .
(23)

The integral mean value [35] is used to simplify the preceding equation, as shown below

Failed to parse (MathML with SVG or PNG fallback (recommended for modern browsers and accessibility tools): Invalid response ("Math extension cannot connect to Restbase.") from server "https://mathoid.scipedia.com/localhost/v1/":): \Vert {\varphi }_{\mu }-{\varphi }_{\sigma }\Vert \leq \underbrace{\max}_{\phi \in J}\left[ \left\{ {\varphi }^{2}\vert {\varphi }_{\mu -1}-{\varphi }_{\sigma -1}\vert -2\alpha \varphi \left( X+Y\right) \vert {\varphi }_{\mu -1}-{\varphi }_{\sigma -1}\vert +\varphi \vert {\varphi }_{\mu -1}-{\varphi }_{\sigma -1}\vert \right\} \Xi \right] .
(24)
Failed to parse (MathML with SVG or PNG fallback (recommended for modern browsers and accessibility tools): Invalid response ("Math extension cannot connect to Restbase.") from server "https://mathoid.scipedia.com/localhost/v1/":): \Vert {\varphi }_{\mu }-{\varphi }_{\sigma }\Vert \leq \chi \Vert {\varphi }_{\mu -1}-{\varphi }_{\sigma -1}\Vert .
(25)

Subtracting Failed to parse (MathML with SVG or PNG fallback (recommended for modern browsers and accessibility tools): Invalid response ("Math extension cannot connect to Restbase.") from server "https://mathoid.scipedia.com/localhost/v1/":): {\textstyle \mu}

 by Failed to parse (MathML with SVG or PNG fallback (recommended for modern browsers and accessibility tools): Invalid response ("Math extension cannot connect to Restbase.") from server "https://mathoid.scipedia.com/localhost/v1/":): {\textstyle \sigma +}

Failed to parse (MathML with SVG or PNG fallback (recommended for modern browsers and accessibility tools): Invalid response ("Math extension cannot connect to Restbase.") from server "https://mathoid.scipedia.com/localhost/v1/":): 1 , we find that

Failed to parse (MathML with SVG or PNG fallback (recommended for modern browsers and accessibility tools): Invalid response ("Math extension cannot connect to Restbase.") from server "https://mathoid.scipedia.com/localhost/v1/":): \Vert {\varphi }_{\sigma +1}-{\varphi }_{\sigma }\Vert \leq \chi \Vert {\varphi }_{\sigma }-

Failed to parse (MathML with SVG or PNG fallback (recommended for modern browsers and accessibility tools): Invalid response ("Math extension cannot connect to Restbase.") from server "https://mathoid.scipedia.com/localhost/v1/":): {\varphi }_{\sigma -1}\Vert \leq {\chi }^{2}\Vert {\varphi }_{\sigma -1}-{\varphi }_{\sigma -2}\Vert \leq \cdots \leq {\chi }^{\sigma }\Vert {\varphi }_{1}- Failed to parse (MathML with SVG or PNG fallback (recommended for modern browsers and accessibility tools): Invalid response ("Math extension cannot connect to Restbase.") from server "https://mathoid.scipedia.com/localhost/v1/":): {\varphi }_{0}\Vert.

(26)


By employing triangular inequality, we get

Failed to parse (MathML with SVG or PNG fallback (recommended for modern browsers and accessibility tools): Invalid response ("Math extension cannot connect to Restbase.") from server "https://mathoid.scipedia.com/localhost/v1/":): \begin{align}\Vert {\varphi }_{\mu }-{\varphi }_{\sigma }\Vert &=\Vert {\varphi }_{\sigma +1}+{\varphi }_{\sigma +2}+{\varphi }_{\mu }-{\varphi }_{\sigma +1}-{\varphi }_{\sigma +2}-{\varphi }_{\sigma }\Vert \\ &=\Vert {\varphi }_{\sigma +1}+{\varphi }_{\sigma +2}+\cdots +{\varphi }_{\mu }-{\varphi }_{\mu -1}-\cdots -{\varphi }_{\sigma +2}-{\varphi }_{\sigma +1}-{\varphi }_{\sigma }\Vert \\ &\leq \Vert {\varphi }_{\sigma +1}-{\varphi }_{\sigma }\Vert +\Vert {\varphi }_{\sigma +2}-{\varphi }_{\sigma +1}\Vert +\cdots +\Vert {\varphi }_{\mu }-{\varphi }_{\mu -1}\Vert \\ &\leq \left\{ {\chi }^{\sigma }+{\chi }^{\sigma +1}+\cdots +{\chi }^{\mu -1}\right\} \Vert {\varphi }_{1}-{\varphi }_{0}\Vert \\ &\leq {\chi }^{\sigma }\left\{ 1+\chi +\cdots +{\chi }^{\mu -\sigma -1}\right\} \Vert {\varphi }_{1}-{\varphi }_{0}\Vert \\ &\leq {\chi }^{\sigma }\left\{ \frac{1-{\chi }^{\mu -\sigma -1}}{1-\chi }\right\} \Vert {\varphi }_{1}-{\varphi }_{0}\Vert .\end{align}
(27)


As Failed to parse (MathML with SVG or PNG fallback (recommended for modern browsers and accessibility tools): Invalid response ("Math extension cannot connect to Restbase.") from server "https://mathoid.scipedia.com/localhost/v1/":): {\textstyle \chi \in \left( 0,1\right)}

, so Failed to parse (MathML with SVG or PNG fallback (recommended for modern browsers and accessibility tools): Invalid response ("Math extension cannot connect to Restbase.") from server "https://mathoid.scipedia.com/localhost/v1/":): {\textstyle 1-}

Failed to parse (MathML with SVG or PNG fallback (recommended for modern browsers and accessibility tools): Invalid response ("Math extension cannot connect to Restbase.") from server "https://mathoid.scipedia.com/localhost/v1/":): {\chi }^{\mu -\sigma -1}<1 , then we get

Failed to parse (MathML with SVG or PNG fallback (recommended for modern browsers and accessibility tools): Invalid response ("Math extension cannot connect to Restbase.") from server "https://mathoid.scipedia.com/localhost/v1/":): \Vert {\varphi }_{\mu }-{\varphi }_{\sigma }\Vert \leq \frac{{\chi }^{\sigma }}{1-\chi }\Vert {\varphi }_{1}-{\varphi }_{0}\Vert .
(28)

Since Failed to parse (MathML with SVG or PNG fallback (recommended for modern browsers and accessibility tools): Invalid response ("Math extension cannot connect to Restbase.") from server "https://mathoid.scipedia.com/localhost/v1/":): {\textstyle \Vert {\varphi }_{1}-{\varphi }_{0}\Vert <\infty}

, then Failed to parse (MathML with SVG or PNG fallback (recommended for modern browsers and accessibility tools): Invalid response ("Math extension cannot connect to Restbase.") from server "https://mathoid.scipedia.com/localhost/v1/":): {\textstyle \Vert {\varphi }_{\mu }-}

Failed to parse (MathML with SVG or PNG fallback (recommended for modern browsers and accessibility tools): Invalid response ("Math extension cannot connect to Restbase.") from server "https://mathoid.scipedia.com/localhost/v1/":): {\varphi }_{\sigma }\Vert \rightarrow 0

when Failed to parse (MathML with SVG or PNG fallback (recommended for modern browsers and accessibility tools): Invalid response ("Math extension cannot connect to Restbase.") from server "https://mathoid.scipedia.com/localhost/v1/":): {\textstyle \mu}
 and Failed to parse (MathML with SVG or PNG fallback (recommended for modern browsers and accessibility tools): Invalid response ("Math extension cannot connect to Restbase.") from server "https://mathoid.scipedia.com/localhost/v1/":): {\textstyle \sigma \rightarrow \infty}
. This illustrates that generated by NDM is a Cauchy sequence Failed to parse (MathML with SVG or PNG fallback (recommended for modern browsers and accessibility tools): Invalid response ("Math extension cannot connect to Restbase.") from server "https://mathoid.scipedia.com/localhost/v1/":): {\textstyle \left\{ {\varphi }_{\mu }\right\}}
 and as a result convergent.

5. Solution of CRWP equation

The fractional natural decomposition technique will be used to provide a solution to the relevant problem. Four examples will be provided to show the suggested method’s reliability. We’ll look at the fractional CRWP equation in this section, which is as follows:

Failed to parse (MathML with SVG or PNG fallback (recommended for modern browsers and accessibility tools): Invalid response ("Math extension cannot connect to Restbase.") from server "https://mathoid.scipedia.com/localhost/v1/":): \frac{{\partial }^{\epsilon }\varphi \left( x,\tau \right) }{\partial {\tau }^{\epsilon }}=\frac{{\partial }^{2}\varphi \left( x,\tau \right) }{\partial {x}^{2}}-2\alpha \varphi \left( x,\tau \right) \frac{\partial \varphi \left( x,\tau \right) }{\partial x}+\frac{\partial \varphi \left( x,\tau \right) }{\partial x},0< \epsilon \leq 1
(29)

with initial condition

Failed to parse (MathML with SVG or PNG fallback (recommended for modern browsers and accessibility tools): Invalid response ("Math extension cannot connect to Restbase.") from server "https://mathoid.scipedia.com/localhost/v1/":): \varphi \left( x,0\right) =\phi \left( x\right) .
(30)


We may now achieve the following results by using NT on Equation (28)

Failed to parse (MathML with SVG or PNG fallback (recommended for modern browsers and accessibility tools): Invalid response ("Math extension cannot connect to Restbase.") from server "https://mathoid.scipedia.com/localhost/v1/":): {N}^{+}\left[ {D}_{\tau }^{\epsilon }\varphi \left( x,\tau \right) \right] ={N}^{+}\left[ \frac{{\partial }^{2}\varphi }{\partial {x}^{2}}-2\alpha \varphi \frac{\partial \varphi }{\partial x}+\frac{\partial \varphi }{\partial x}\right] .
(31)


The nonlinear operator is defined as

Failed to parse (MathML with SVG or PNG fallback (recommended for modern browsers and accessibility tools): Invalid response ("Math extension cannot connect to Restbase.") from server "https://mathoid.scipedia.com/localhost/v1/":): \frac{{s}^{\epsilon }}{{q}^{\epsilon }}{N}^{+}\left[ \varphi \left( x,\tau \right) \right] -\sum _{i=0}^{n-1}\frac{{q}^{i-\epsilon }}{{s}^{i+1-\epsilon }}{\left[ {D}^{i}\varphi \right] }_{\tau =0}={N}^{+}\left[ \frac{{\partial }^{2}\varphi }{\partial {x}^{2}}-2\alpha \varphi \frac{\partial \varphi }{\partial x}+\frac{\partial \varphi }{\partial x}\right] .
(32)


We get the following result from the preceding equation:

Failed to parse (MathML with SVG or PNG fallback (recommended for modern browsers and accessibility tools): Invalid response ("Math extension cannot connect to Restbase.") from server "https://mathoid.scipedia.com/localhost/v1/":): {N}^{+}\left[ \varphi \left( x,\tau \right) \right] =\frac{\phi \left( x\right) }{s}+\frac{{q}^{\epsilon }}{{s}^{\epsilon }}{N}^{+}\left[ \frac{{\partial }^{2}\varphi }{\partial {x}^{2}}-2\alpha \varphi \frac{\partial \varphi }{\partial x}+\frac{\partial \varphi }{\partial x}\right] .
(33)


When we apply the inverse NT on above Eq., it simplify to

Failed to parse (MathML with SVG or PNG fallback (recommended for modern browsers and accessibility tools): Invalid response ("Math extension cannot connect to Restbase.") from server "https://mathoid.scipedia.com/localhost/v1/":): \varphi \left( x,\tau \right) =\phi \left( x\right) +{N}^{-}\left\{ \frac{{q}^{\epsilon }}{{s}^{\epsilon }}{N}^{+}\left[ \frac{{\partial }^{2}\varphi }{\partial {x}^{2}}-2\alpha \varphi \frac{\partial \varphi }{\partial x}+\frac{\partial \varphi }{\partial x}\right] \right\} .
(34)


Suppose that the nameless function u1 has the next infinite series solution

Failed to parse (MathML with SVG or PNG fallback (recommended for modern browsers and accessibility tools): Invalid response ("Math extension cannot connect to Restbase.") from server "https://mathoid.scipedia.com/localhost/v1/":): \varphi \left( x,\tau \right) =\sum _{n=0}^{\infty }{\varphi }_{n}\left( x,\tau \right) .
(35)


It’s worth noting that Failed to parse (MathML with SVG or PNG fallback (recommended for modern browsers and accessibility tools): Invalid response ("Math extension cannot connect to Restbase.") from server "https://mathoid.scipedia.com/localhost/v1/":): {\textstyle \varphi {\varphi }_{x}=\sum _{n=0}^{\infty }{A}_{n}}

stands for Adomian polynomials, and they represent nonlinear terms. Employing this expression, we can rephrase Eq. (33) as
Failed to parse (MathML with SVG or PNG fallback (recommended for modern browsers and accessibility tools): Invalid response ("Math extension cannot connect to Restbase.") from server "https://mathoid.scipedia.com/localhost/v1/":): \sum _{n=0}^{\infty }{\varphi }_{n}\left( x,\tau \right) =\phi \left( x\right) +{N}^{-}\left\{ \frac{{q}^{\epsilon }}{{s}^{\epsilon }}{N}^{+}\left[ \sum _{n=0}^{\infty }{\varphi }_{xx}-2\alpha \sum _{n=0}^{\infty }{A}_{n}+\sum _{n=0}^{\infty }{\varphi }_{x}\right] \right\} .
(36)


Now, using the NDM method, a rough analytical solution for the fractional clannish random walker’s parabolic equation will be discovered for four distinct statuses.

First triangular periodic solution

Consider the initial condition for Eq. (29) as follows [28]

Failed to parse (MathML with SVG or PNG fallback (recommended for modern browsers and accessibility tools): Invalid response ("Math extension cannot connect to Restbase.") from server "https://mathoid.scipedia.com/localhost/v1/":): \varphi \left( x,0\right) =\frac{\alpha +\beta }{2\alpha }+\frac{1}{\alpha }\tan\left( x\right) .
(37)


With the above initial condition, we can get the solution of Eq. (29) employing the NDM method as follows

Failed to parse (MathML with SVG or PNG fallback (recommended for modern browsers and accessibility tools): Invalid response ("Math extension cannot connect to Restbase.") from server "https://mathoid.scipedia.com/localhost/v1/":): {\varphi}_{1}=-\frac{\beta {\tau }^{\epsilon }{sec}^{2}\left( x\right) }{\alpha \Gamma \left( \epsilon +1\right) },{\varphi }_{2}=\frac{2{\beta }^{2}{\tau }^{2\epsilon }\tan\left( x\right) {sec}^{2}\left( x\right) }{\alpha \Gamma \left( 2\epsilon +1\right) },
(38)
Failed to parse (MathML with SVG or PNG fallback (recommended for modern browsers and accessibility tools): Invalid response ("Math extension cannot connect to Restbase.") from server "https://mathoid.scipedia.com/localhost/v1/":): {\varphi }_{3}=\frac{{\beta }^{2}{\tau }^{3\epsilon }{sec}^{5}\left( x\right) \left( \Gamma {\left( \epsilon +1\right) }^{2}\left( -3\beta cos\left( x\right) +\beta cos\left( 3x\right) +8sin\left( x\right) \right) -4\Gamma \left( 2\epsilon +1\right) sin\left( x\right) \right) }{\alpha \Gamma {\left( \epsilon +1\right) }^{2}\Gamma \left( 3\epsilon +1\right) },\cdots .
(39)


The above approximate results lead to the precise result shown below [28]

Failed to parse (MathML with SVG or PNG fallback (recommended for modern browsers and accessibility tools): Invalid response ("Math extension cannot connect to Restbase.") from server "https://mathoid.scipedia.com/localhost/v1/":): \varphi \left( x,\tau \right) =\frac{\alpha +\beta }{2\alpha }+\frac{1}{\alpha }tan\left( x-\right.

Failed to parse (MathML with SVG or PNG fallback (recommended for modern browsers and accessibility tools): Invalid response ("Math extension cannot connect to Restbase.") from server "https://mathoid.scipedia.com/localhost/v1/":): \left. \beta \tau \right).

(40)


The approximate solutions and Table 1 demonstrate that the precise solution of Eq. (29) has a generic type that corresponds to the analytical solutions listed above when Failed to parse (MathML with SVG or PNG fallback (recommended for modern browsers and accessibility tools): Invalid response ("Math extension cannot connect to Restbase.") from server "https://mathoid.scipedia.com/localhost/v1/":): {\textstyle \epsilon =} Failed to parse (MathML with SVG or PNG fallback (recommended for modern browsers and accessibility tools): Invalid response ("Math extension cannot connect to Restbase.") from server "https://mathoid.scipedia.com/localhost/v1/":): 1 .

Table 1. Comparison of the NDM solution and exact solution for case 1 at Failed to parse (MathML with SVG or PNG fallback (recommended for modern browsers and accessibility tools): Invalid response ("Math extension cannot connect to Restbase.") from server "https://mathoid.scipedia.com/localhost/v1/":): {\textstyle \tau =}

Failed to parse (MathML with SVG or PNG fallback (recommended for modern browsers and accessibility tools): Invalid response ("Math extension cannot connect to Restbase.") from server "https://mathoid.scipedia.com/localhost/v1/":): 0.1 , Failed to parse (MathML with SVG or PNG fallback (recommended for modern browsers and accessibility tools): Invalid response ("Math extension cannot connect to Restbase.") from server "https://mathoid.scipedia.com/localhost/v1/":): {\textstyle \alpha =10} , Failed to parse (MathML with SVG or PNG fallback (recommended for modern browsers and accessibility tools): Invalid response ("Math extension cannot connect to Restbase.") from server "https://mathoid.scipedia.com/localhost/v1/":): {\textstyle \beta =} Failed to parse (MathML with SVG or PNG fallback (recommended for modern browsers and accessibility tools): Invalid response ("Math extension cannot connect to Restbase.") from server "https://mathoid.scipedia.com/localhost/v1/":): 0.1

Failed to parse (MathML with SVG or PNG fallback (recommended for modern browsers and accessibility tools): Invalid response ("Math extension cannot connect to Restbase.") from server "https://mathoid.scipedia.com/localhost/v1/":): x Failed to parse (MathML with SVG or PNG fallback (recommended for modern browsers and accessibility tools): Invalid response ("Math extension cannot connect to Restbase.") from server "https://mathoid.scipedia.com/localhost/v1/":): {\varphi }_{Ex} Failed to parse (MathML with SVG or PNG fallback (recommended for modern browsers and accessibility tools): Invalid response ("Math extension cannot connect to Restbase.") from server "https://mathoid.scipedia.com/localhost/v1/":): {\varphi }_{NDM} E Failed to parse (MathML with SVG or PNG fallback (recommended for modern browsers and accessibility tools): Invalid response ("Math extension cannot connect to Restbase.") from server "https://mathoid.scipedia.com/localhost/v1/":): \epsilon =0.95 Failed to parse (MathML with SVG or PNG fallback (recommended for modern browsers and accessibility tools): Invalid response ("Math extension cannot connect to Restbase.") from server "https://mathoid.scipedia.com/localhost/v1/":): \epsilon =0.90
0.0 0.503999 0.503999 1.3333E-12 0.503855 0.503691
0.2 0.524232 0.524232 1.4754E-10 0.524082 0.523912
0.4 0.546105 0.546105 4.1730E-10 0.545936 0.545746
0.6 0.571956 0.571956 1.1277E-09 0.571746 0.571511
0.8 0.605925 0.605925 3.6158E-09 0.605634 0.605308
1.0 0.657368 0.657368 1.6212E-08 0.656892 0.656362


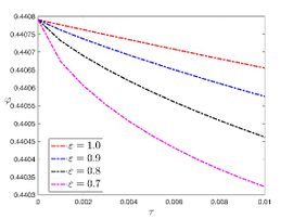
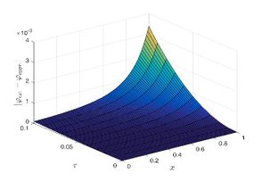
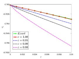
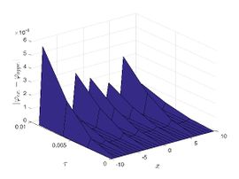
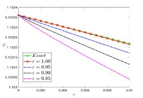
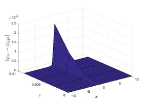
The exact solution was compared to the second iteration of NTM in both two and three dimensions, so as to understand the geometric behavior of our approximate solution to Eq. (29) as seen in Figure 1. When Failed to parse (MathML with SVG or PNG fallback (recommended for modern browsers and accessibility tools): Invalid response ("Math extension cannot connect to Restbase.") from server "https://mathoid.scipedia.com/localhost/v1/":): {\textstyle \epsilon =} Failed to parse (MathML with SVG or PNG fallback (recommended for modern browsers and accessibility tools): Invalid response ("Math extension cannot connect to Restbase.") from server "https://mathoid.scipedia.com/localhost/v1/":): 1 , Failed to parse (MathML with SVG or PNG fallback (recommended for modern browsers and accessibility tools): Invalid response ("Math extension cannot connect to Restbase.") from server "https://mathoid.scipedia.com/localhost/v1/":): {\textstyle \epsilon =0.95} , Failed to parse (MathML with SVG or PNG fallback (recommended for modern browsers and accessibility tools): Invalid response ("Math extension cannot connect to Restbase.") from server "https://mathoid.scipedia.com/localhost/v1/":): {\textstyle \epsilon =} Failed to parse (MathML with SVG or PNG fallback (recommended for modern browsers and accessibility tools): Invalid response ("Math extension cannot connect to Restbase.") from server "https://mathoid.scipedia.com/localhost/v1/":): 0.90

and Failed to parse (MathML with SVG or PNG fallback (recommended for modern browsers and accessibility tools): Invalid response ("Math extension cannot connect to Restbase.") from server "https://mathoid.scipedia.com/localhost/v1/":): {\textstyle \epsilon =0.80}

, the exact solution was also compared to the solution of NTM.

Draft Hagag 764733008-image1.jpeg Draft Hagag 764733008-image2.jpeg
(a) 3D graph of the exact solution (b) 3D graph of the NDM solution
Draft Hagag 764733008-image3.jpeg Draft Hagag 764733008-image4.jpeg
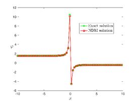
(c) Absolute error at Failed to parse (MathML with SVG or PNG fallback (recommended for modern browsers and accessibility tools): Invalid response ("Math extension cannot connect to Restbase.") from server "https://mathoid.scipedia.com/localhost/v1/":): \tau = 0.01 (d) Graphical representation at Failed to parse (MathML with SVG or PNG fallback (recommended for modern browsers and accessibility tools): Invalid response ("Math extension cannot connect to Restbase.") from server "https://mathoid.scipedia.com/localhost/v1/":): \tau = 0.01
Draft Hagag 764733008-image5.jpeg Draft Hagag 764733008-image6.jpeg
(e) Graphical representation for various values of Failed to parse (MathML with SVG or PNG fallback (recommended for modern browsers and accessibility tools): Invalid response ("Math extension cannot connect to Restbase.") from server "https://mathoid.scipedia.com/localhost/v1/":): \varepsilon (f) Graphical representation Failed to parse (MathML with SVG or PNG fallback (recommended for modern browsers and accessibility tools): Invalid response ("Math extension cannot connect to Restbase.") from server "https://mathoid.scipedia.com/localhost/v1/":): x = 1
Figure 1. Periodic wave analytical solutions Failed to parse (MathML with SVG or PNG fallback (recommended for modern browsers and accessibility tools): Invalid response ("Math extension cannot connect to Restbase.") from server "https://mathoid.scipedia.com/localhost/v1/":): {\textstyle \varphi \left( x,\tau \right)}
 of Eq. (29) with initial condition (36) at Failed to parse (MathML with SVG or PNG fallback (recommended for modern browsers and accessibility tools): Invalid response ("Math extension cannot connect to Restbase.") from server "https://mathoid.scipedia.com/localhost/v1/":): {\textstyle \tau =}

Failed to parse (MathML with SVG or PNG fallback (recommended for modern browsers and accessibility tools): Invalid response ("Math extension cannot connect to Restbase.") from server "https://mathoid.scipedia.com/localhost/v1/":): 0.1 , Failed to parse (MathML with SVG or PNG fallback (recommended for modern browsers and accessibility tools): Invalid response ("Math extension cannot connect to Restbase.") from server "https://mathoid.scipedia.com/localhost/v1/":): {\textstyle \alpha =10} , Failed to parse (MathML with SVG or PNG fallback (recommended for modern browsers and accessibility tools): Invalid response ("Math extension cannot connect to Restbase.") from server "https://mathoid.scipedia.com/localhost/v1/":): {\textstyle \beta =} Failed to parse (MathML with SVG or PNG fallback (recommended for modern browsers and accessibility tools): Invalid response ("Math extension cannot connect to Restbase.") from server "https://mathoid.scipedia.com/localhost/v1/":): 0.1

Second triangular periodic solution

Consider the initial condition for Eq. (29) as follows [28]

Failed to parse (MathML with SVG or PNG fallback (recommended for modern browsers and accessibility tools): Invalid response ("Math extension cannot connect to Restbase.") from server "https://mathoid.scipedia.com/localhost/v1/":): \varphi \left( x,0\right) =\frac{\alpha +\beta }{2\alpha }-\frac{1}{\alpha }cot\left( x\right) .
(41)


With the above initial condition, we can get the solution of Eq. (29) employing the NDM method as follows

Failed to parse (MathML with SVG or PNG fallback (recommended for modern browsers and accessibility tools): Invalid response ("Math extension cannot connect to Restbase.") from server "https://mathoid.scipedia.com/localhost/v1/":): \varphi_{1}=-\frac{\beta {\tau }^{\epsilon }{csc}^{2}\left( x\right) }{\alpha \Gamma \left( \epsilon +1\right) },{\varphi }_{2}=-\frac{2{\beta }^{2}{\tau }^{2\epsilon }cot\left( x\right) {csc}^{2}\left( x\right) }{\alpha \Gamma \left( 2\epsilon +1\right) },
(42)
Failed to parse (MathML with SVG or PNG fallback (recommended for modern browsers and accessibility tools): Invalid response ("Math extension cannot connect to Restbase.") from server "https://mathoid.scipedia.com/localhost/v1/":): {\varphi }_{3}=\frac{{\beta }^{2}{\tau }^{3\epsilon }{csc}^{4}\left( x\right) \left( 4\Gamma \left( 2\epsilon +1\right) cot\left( x\right) -2\Gamma {\left( \epsilon +1\right) }^{2}\left( \beta \left( cos\left( 2x\right) +2\right) +4cot\left( x\right) \right) \right) }{\alpha \Gamma {\left( \epsilon +1\right) }^{2}\Gamma \left( 3\epsilon +1\right) },\cdots
(43)


The above approximate results lead to the precise result shown below [28]

Failed to parse (MathML with SVG or PNG fallback (recommended for modern browsers and accessibility tools): Invalid response ("Math extension cannot connect to Restbase.") from server "https://mathoid.scipedia.com/localhost/v1/":): \varphi \left( x,\tau \right) =\frac{\alpha +\beta }{2\alpha }-\frac{1}{\alpha }cot\left( x-\beta \tau \right).
(44)

The approximate solutions and Table 2 demonstrate that the precise solution of Eq. (29) has a generic type that corresponds to the analytical solutions listed above when Failed to parse (MathML with SVG or PNG fallback (recommended for modern browsers and accessibility tools): Invalid response ("Math extension cannot connect to Restbase.") from server "https://mathoid.scipedia.com/localhost/v1/":): {\textstyle \epsilon =} Failed to parse (MathML with SVG or PNG fallback (recommended for modern browsers and accessibility tools): Invalid response ("Math extension cannot connect to Restbase.") from server "https://mathoid.scipedia.com/localhost/v1/":): 1 .

Table 2. Comparison of the NDM solution and exact solution for case 2 at Failed to parse (MathML with SVG or PNG fallback (recommended for modern browsers and accessibility tools): Invalid response ("Math extension cannot connect to Restbase.") from server "https://mathoid.scipedia.com/localhost/v1/":): {\textstyle \tau =}

Failed to parse (MathML with SVG or PNG fallback (recommended for modern browsers and accessibility tools): Invalid response ("Math extension cannot connect to Restbase.") from server "https://mathoid.scipedia.com/localhost/v1/":): 0.1 , Failed to parse (MathML with SVG or PNG fallback (recommended for modern browsers and accessibility tools): Invalid response ("Math extension cannot connect to Restbase.") from server "https://mathoid.scipedia.com/localhost/v1/":): {\textstyle \alpha =10} , Failed to parse (MathML with SVG or PNG fallback (recommended for modern browsers and accessibility tools): Invalid response ("Math extension cannot connect to Restbase.") from server "https://mathoid.scipedia.com/localhost/v1/":): {\textstyle \beta =} Failed to parse (MathML with SVG or PNG fallback (recommended for modern browsers and accessibility tools): Invalid response ("Math extension cannot connect to Restbase.") from server "https://mathoid.scipedia.com/localhost/v1/":): 0.1

Failed to parse (MathML with SVG or PNG fallback (recommended for modern browsers and accessibility tools): Invalid response ("Math extension cannot connect to Restbase.") from server "https://mathoid.scipedia.com/localhost/v1/":): x Failed to parse (MathML with SVG or PNG fallback (recommended for modern browsers and accessibility tools): Invalid response ("Math extension cannot connect to Restbase.") from server "https://mathoid.scipedia.com/localhost/v1/":): {\varphi }_{Ex} Failed to parse (MathML with SVG or PNG fallback (recommended for modern browsers and accessibility tools): Invalid response ("Math extension cannot connect to Restbase.") from server "https://mathoid.scipedia.com/localhost/v1/":): {\varphi }_{NDM} E Failed to parse (MathML with SVG or PNG fallback (recommended for modern browsers and accessibility tools): Invalid response ("Math extension cannot connect to Restbase.") from server "https://mathoid.scipedia.com/localhost/v1/":): \epsilon =0.95 Failed to parse (MathML with SVG or PNG fallback (recommended for modern browsers and accessibility tools): Invalid response ("Math extension cannot connect to Restbase.") from server "https://mathoid.scipedia.com/localhost/v1/":): \epsilon =0.90
0.1 -0.603109 -0.602998 1.1111E-04 -0.633041 -0.680789
0.3 0.169894 0.169894 4.2571E-07 0.168038 0.165851
0.5 0.317519 0.317519 3.2646E-08 0.316853 0.316089
0.7 0.383837 0.383837 6.0257E-09 0.383476 0.383064
0.9 0.424002 0.424002 1.6956E-09 0.423760 0.423486
1.0 0.439369 0.439369 9.8861E-10 0.439161 0.438924

First multiple soliton-like solution

Consider the initial condition for Eq. (29) as follows [28]

Failed to parse (MathML with SVG or PNG fallback (recommended for modern browsers and accessibility tools): Invalid response ("Math extension cannot connect to Restbase.") from server "https://mathoid.scipedia.com/localhost/v1/":): \varphi \left( x,0\right) =\frac{\alpha +\beta }{2\alpha }-\frac{1}{\alpha }tanh\left( x\right) .
(45)


With the above initial condition, we can get the solution of Eq. (29) employing the NDM method as follows:

Failed to parse (MathML with SVG or PNG fallback (recommended for modern browsers and accessibility tools): Invalid response ("Math extension cannot connect to Restbase.") from server "https://mathoid.scipedia.com/localhost/v1/":): \varphi_1 = \frac{\beta {\tau }^{\epsilon }{sech}^{2}(x) }{\alpha \Gamma ( \epsilon + 1) },\varphi_{2}=\frac{2{\beta }^{2}{\tau }^{2\epsilon }\tanh (x) {sech}^{2}(x) }{\alpha \Gamma ( 2\epsilon +1)},
(46)
Failed to parse (MathML with SVG or PNG fallback (recommended for modern browsers and accessibility tools): Invalid response ("Math extension cannot connect to Restbase.") from server "https://mathoid.scipedia.com/localhost/v1/":): {\varphi }_{3}=\frac{{\beta }^{2}{\tau }^{3\epsilon }{sech}^{5}\left( x\right) \left( \Gamma {\left( \epsilon +1\right) }^{2}\left( -3\beta cosh\left( x\right) +\beta cosh\left( 3x\right) -8sinh\left( x\right) \right) +4\Gamma \left( 2\epsilon +1\right) sinh\left( x\right) \right) }{\alpha \Gamma {\left( \epsilon +1\right) }^{2}\Gamma \left( 3\epsilon +1\right) },\cdots
(47)


The above approximate results lead to the precise result shown below [28]

Failed to parse (MathML with SVG or PNG fallback (recommended for modern browsers and accessibility tools): Invalid response ("Math extension cannot connect to Restbase.") from server "https://mathoid.scipedia.com/localhost/v1/":): \varphi \left( x,\tau \right) =\frac{\alpha +\beta }{2\alpha }-\frac{1}{\alpha }tanh\left( x-\beta \tau \right) .
(48)

The approximate solutions and Table 1 demonstrate that the precise solution of Eq. (29) has a generic type that corresponds to the analytical solutions listed above when Failed to parse (MathML with SVG or PNG fallback (recommended for modern browsers and accessibility tools): Invalid response ("Math extension cannot connect to Restbase.") from server "https://mathoid.scipedia.com/localhost/v1/":): {\textstyle \epsilon =1} .

Second multiple soliton-like solution

Consider the initial condition for Eq. (29) as follows [28]

Failed to parse (MathML with SVG or PNG fallback (recommended for modern browsers and accessibility tools): Invalid response ("Math extension cannot connect to Restbase.") from server "https://mathoid.scipedia.com/localhost/v1/":): \varphi \left( x,0\right) =\frac{\alpha +\beta }{2\alpha }-\frac{1}{\alpha }coth\left( x\right) .
(49)


With the above initial condition, we can get the solution of Eq. (29) employing the NDM method as follows

Failed to parse (MathML with SVG or PNG fallback (recommended for modern browsers and accessibility tools): Invalid response ("Math extension cannot connect to Restbase.") from server "https://mathoid.scipedia.com/localhost/v1/":): \varphi_1=-\frac{\beta {\tau }^{\epsilon }{csch}^{2}\left( x\right) }{\alpha \Gamma \left( \epsilon + 1\right) }\varphi_2 =-\frac{2{\beta }^{2}{\tau }^{2\epsilon }coth\left( x\right) {csch}^{2}\left( x\right) }{\alpha \Gamma \left( 2\epsilon +1\right) },
(50)
Failed to parse (MathML with SVG or PNG fallback (recommended for modern browsers and accessibility tools): Invalid response ("Math extension cannot connect to Restbase.") from server "https://mathoid.scipedia.com/localhost/v1/":): {\varphi }_{3}=\frac{{\beta }^{2}{\tau }^{3\epsilon }{csch}^{4}\left( x\right) \left( 4\Gamma \left( 2\epsilon +1\right) coth\left( x\right) -2\Gamma {\left( \epsilon +1\right) }^{2}\left( \beta \left( cosh\left( 2x\right) +2\right) +4coth\left( x\right) \right) \right) }{\alpha \Gamma {\left( \epsilon +1\right) }^{2}\Gamma \left( 3\epsilon +1\right) },\cdots
(51)


The above approximate results lead to the precise result shown below [28]

Failed to parse (MathML with SVG or PNG fallback (recommended for modern browsers and accessibility tools): Invalid response ("Math extension cannot connect to Restbase.") from server "https://mathoid.scipedia.com/localhost/v1/":): \varphi \left( x,\tau \right) =\frac{\alpha +\beta }{2\alpha }-\frac{1}{\alpha }coth\left( x-\beta \tau \right) .
(52)


The approximate solutions and Table 2 demonstrate that the precise solution of Eq. (29) has a generic type that corresponds to the analytical solutions listed above when Failed to parse (MathML with SVG or PNG fallback (recommended for modern browsers and accessibility tools): Invalid response ("Math extension cannot connect to Restbase.") from server "https://mathoid.scipedia.com/localhost/v1/":): {\textstyle \epsilon =} Failed to parse (MathML with SVG or PNG fallback (recommended for modern browsers and accessibility tools): Invalid response ("Math extension cannot connect to Restbase.") from server "https://mathoid.scipedia.com/localhost/v1/":): 1 .

6. Numerical results and discussion

For different choices of space and time variables, we conduct numerical simulations for fractional clannish random walker’s parabolic equation of arbitrary order. Tables 1 and 2 show the results of a numerical simulation with different values Failed to parse (MathML with SVG or PNG fallback (recommended for modern browsers and accessibility tools): Invalid response ("Math extension cannot connect to Restbase.") from server "https://mathoid.scipedia.com/localhost/v1/":): {\textstyle x}

for the initial conditions considered in the first triangular periodic solution and the first multiple soliton-like solution. Similarly, the numerical analysis was carried out for the initial conditions considered in the second triangular periodic solution and the second multiple soliton-like solution, as shown in Tables 3 and 4. Some values for the four cases are also mentioned in Tables 1-4 at Failed to parse (MathML with SVG or PNG fallback (recommended for modern browsers and accessibility tools): Invalid response ("Math extension cannot connect to Restbase.") from server "https://mathoid.scipedia.com/localhost/v1/":): {\textstyle \epsilon =}

Failed to parse (MathML with SVG or PNG fallback (recommended for modern browsers and accessibility tools): Invalid response ("Math extension cannot connect to Restbase.") from server "https://mathoid.scipedia.com/localhost/v1/":): 0.95

and Failed to parse (MathML with SVG or PNG fallback (recommended for modern browsers and accessibility tools): Invalid response ("Math extension cannot connect to Restbase.") from server "https://mathoid.scipedia.com/localhost/v1/":): {\textstyle \epsilon =0.90}

. We can deduce from the provided tables that the results generated by FNDM are very accurate. Figures 1(a,b), Figures 2(a,b), Figures 3(a,b), Figures 4(a,b) show the behavior of the exact solutions and the NDM solution for four cases. Figure 1(c), Figure 2(c), Figure 3(c) and Figure 4(c) depict the type of absolute errors for the related equation. Figure 1(d), Figure 2(d), Figure 3(d) and Figure 4(d) depict the graphical representation between exact and NDM solutions for four cases at Failed to parse (MathML with SVG or PNG fallback (recommended for modern browsers and accessibility tools): Invalid response ("Math extension cannot connect to Restbase.") from server "https://mathoid.scipedia.com/localhost/v1/":): {\textstyle \tau =} Failed to parse (MathML with SVG or PNG fallback (recommended for modern browsers and accessibility tools): Invalid response ("Math extension cannot connect to Restbase.") from server "https://mathoid.scipedia.com/localhost/v1/":): 0.01 . The response of acquired solutions with different values of Failed to parse (MathML with SVG or PNG fallback (recommended for modern browsers and accessibility tools): Invalid response ("Math extension cannot connect to Restbase.") from server "https://mathoid.scipedia.com/localhost/v1/":): {\textstyle \epsilon}

 between Failed to parse (MathML with SVG or PNG fallback (recommended for modern browsers and accessibility tools): Invalid response ("Math extension cannot connect to Restbase.") from server "https://mathoid.scipedia.com/localhost/v1/":): {\textstyle \varphi \left( x,\tau \right)}
 and Failed to parse (MathML with SVG or PNG fallback (recommended for modern browsers and accessibility tools): Invalid response ("Math extension cannot connect to Restbase.") from server "https://mathoid.scipedia.com/localhost/v1/":): {\textstyle x}
is presented in Figure 1(e), Figure 2(e), Figure 3(e) and  Figure 4(e). The response of acquired solutions with different values of Failed to parse (MathML with SVG or PNG fallback (recommended for modern browsers and accessibility tools): Invalid response ("Math extension cannot connect to Restbase.") from server "https://mathoid.scipedia.com/localhost/v1/":): {\textstyle \epsilon}
 between Failed to parse (MathML with SVG or PNG fallback (recommended for modern browsers and accessibility tools): Invalid response ("Math extension cannot connect to Restbase.") from server "https://mathoid.scipedia.com/localhost/v1/":): {\textstyle \varphi \left( x,\tau \right)}
 and Failed to parse (MathML with SVG or PNG fallback (recommended for modern browsers and accessibility tools): Invalid response ("Math extension cannot connect to Restbase.") from server "https://mathoid.scipedia.com/localhost/v1/":): {\textstyle \tau}
 is presented in Figure 1(f), Figure 2(f), Figure 3(f) and  Figure 4(f). The plots display the dependability and applicability of the predicted technique while analyzing nonlinear issues. Finally, the impact of generalizing models or issues from integer to fractional order can be seen in these plots. Furthermore, numerical simulations have been performed to demonstrate that the proposed technique is viable and effective.
Draft Hagag 764733008-image7.jpeg Draft Hagag 764733008-image8.jpeg
(a) 3D graph of the exact solution (b) 3D graph of the NDM solution
Draft Hagag 764733008-image9.jpeg Draft Hagag 764733008-image10.jpeg
(c) Absolute error at Failed to parse (MathML with SVG or PNG fallback (recommended for modern browsers and accessibility tools): Invalid response ("Math extension cannot connect to Restbase.") from server "https://mathoid.scipedia.com/localhost/v1/":): \tau = 0.01 (d) Graphical representation at Failed to parse (MathML with SVG or PNG fallback (recommended for modern browsers and accessibility tools): Invalid response ("Math extension cannot connect to Restbase.") from server "https://mathoid.scipedia.com/localhost/v1/":): \tau = 0.01
Draft Hagag 764733008-image11.jpeg Draft Hagag 764733008-image12.jpeg
(e) Graphical representation for various values of Failed to parse (MathML with SVG or PNG fallback (recommended for modern browsers and accessibility tools): Invalid response ("Math extension cannot connect to Restbase.") from server "https://mathoid.scipedia.com/localhost/v1/":): \varepsilon (f) Graphical representation Failed to parse (MathML with SVG or PNG fallback (recommended for modern browsers and accessibility tools): Invalid response ("Math extension cannot connect to Restbase.") from server "https://mathoid.scipedia.com/localhost/v1/":): x = 1
Figure 2. Periodic wave analytical solutions Failed to parse (MathML with SVG or PNG fallback (recommended for modern browsers and accessibility tools): Invalid response ("Math extension cannot connect to Restbase.") from server "https://mathoid.scipedia.com/localhost/v1/":): {\textstyle \varphi \left( x,\tau \right)}
 of Eq. (29) with initial condition (39) at Failed to parse (MathML with SVG or PNG fallback (recommended for modern browsers and accessibility tools): Invalid response ("Math extension cannot connect to Restbase.") from server "https://mathoid.scipedia.com/localhost/v1/":): {\textstyle \tau =}

Failed to parse (MathML with SVG or PNG fallback (recommended for modern browsers and accessibility tools): Invalid response ("Math extension cannot connect to Restbase.") from server "https://mathoid.scipedia.com/localhost/v1/":): 0.1 , Failed to parse (MathML with SVG or PNG fallback (recommended for modern browsers and accessibility tools): Invalid response ("Math extension cannot connect to Restbase.") from server "https://mathoid.scipedia.com/localhost/v1/":): {\textstyle \alpha =10} , Failed to parse (MathML with SVG or PNG fallback (recommended for modern browsers and accessibility tools): Invalid response ("Math extension cannot connect to Restbase.") from server "https://mathoid.scipedia.com/localhost/v1/":): {\textstyle \beta =} Failed to parse (MathML with SVG or PNG fallback (recommended for modern browsers and accessibility tools): Invalid response ("Math extension cannot connect to Restbase.") from server "https://mathoid.scipedia.com/localhost/v1/":): 0.1


Draft Hagag 764733008-image13.jpeg Draft Hagag 764733008-image14.jpeg
(a) 3D graph of the exact solution (b) 3D graph of the NDM solution
Draft Hagag 764733008-image15.jpeg Draft Hagag 764733008-image16.jpeg
(c) Absolute error at Failed to parse (MathML with SVG or PNG fallback (recommended for modern browsers and accessibility tools): Invalid response ("Math extension cannot connect to Restbase.") from server "https://mathoid.scipedia.com/localhost/v1/":): \tau = 0.01 (d) Graphical representation at Failed to parse (MathML with SVG or PNG fallback (recommended for modern browsers and accessibility tools): Invalid response ("Math extension cannot connect to Restbase.") from server "https://mathoid.scipedia.com/localhost/v1/":): \tau = 0.01
Draft Hagag 764733008-image17.jpeg Draft Hagag 764733008-image18.jpeg
(e) Graphical representation for various values of Failed to parse (MathML with SVG or PNG fallback (recommended for modern browsers and accessibility tools): Invalid response ("Math extension cannot connect to Restbase.") from server "https://mathoid.scipedia.com/localhost/v1/":): \varepsilon (f) Graphical representation Failed to parse (MathML with SVG or PNG fallback (recommended for modern browsers and accessibility tools): Invalid response ("Math extension cannot connect to Restbase.") from server "https://mathoid.scipedia.com/localhost/v1/":): x = 1
Figure 3. Periodic wave analytical solutions Failed to parse (MathML with SVG or PNG fallback (recommended for modern browsers and accessibility tools): Invalid response ("Math extension cannot connect to Restbase.") from server "https://mathoid.scipedia.com/localhost/v1/":): {\textstyle \varphi \left( x,\tau \right)}
 of Eq. (29) with initial condition (43) at Failed to parse (MathML with SVG or PNG fallback (recommended for modern browsers and accessibility tools): Invalid response ("Math extension cannot connect to Restbase.") from server "https://mathoid.scipedia.com/localhost/v1/":): {\textstyle \tau =}

Failed to parse (MathML with SVG or PNG fallback (recommended for modern browsers and accessibility tools): Invalid response ("Math extension cannot connect to Restbase.") from server "https://mathoid.scipedia.com/localhost/v1/":): 0.1 , Failed to parse (MathML with SVG or PNG fallback (recommended for modern browsers and accessibility tools): Invalid response ("Math extension cannot connect to Restbase.") from server "https://mathoid.scipedia.com/localhost/v1/":): {\textstyle \alpha =10} , Failed to parse (MathML with SVG or PNG fallback (recommended for modern browsers and accessibility tools): Invalid response ("Math extension cannot connect to Restbase.") from server "https://mathoid.scipedia.com/localhost/v1/":): {\textstyle \beta =} Failed to parse (MathML with SVG or PNG fallback (recommended for modern browsers and accessibility tools): Invalid response ("Math extension cannot connect to Restbase.") from server "https://mathoid.scipedia.com/localhost/v1/":): 0.1


Draft Hagag 764733008-image19.jpeg Draft Hagag 764733008-image20.jpeg
(a) 3D graph of the exact solution (b) 3D graph of the NDM solution
Draft Hagag 764733008-image21.jpeg Draft Hagag 764733008-image22.jpeg
(c) Absolute error at Failed to parse (MathML with SVG or PNG fallback (recommended for modern browsers and accessibility tools): Invalid response ("Math extension cannot connect to Restbase.") from server "https://mathoid.scipedia.com/localhost/v1/":): \tau = 0.01 (d) Graphical representation at Failed to parse (MathML with SVG or PNG fallback (recommended for modern browsers and accessibility tools): Invalid response ("Math extension cannot connect to Restbase.") from server "https://mathoid.scipedia.com/localhost/v1/":): \tau = 0.01
Draft Hagag 764733008-image23.jpeg Draft Hagag 764733008-image24.jpeg
(e) Graphical representation for various values of Failed to parse (MathML with SVG or PNG fallback (recommended for modern browsers and accessibility tools): Invalid response ("Math extension cannot connect to Restbase.") from server "https://mathoid.scipedia.com/localhost/v1/":): \varepsilon (f) Graphical representation Failed to parse (MathML with SVG or PNG fallback (recommended for modern browsers and accessibility tools): Invalid response ("Math extension cannot connect to Restbase.") from server "https://mathoid.scipedia.com/localhost/v1/":): x = 1
Figure 4. Periodic wave analytical solutions Failed to parse (MathML with SVG or PNG fallback (recommended for modern browsers and accessibility tools): Invalid response ("Math extension cannot connect to Restbase.") from server "https://mathoid.scipedia.com/localhost/v1/":): {\textstyle \varphi \left( x,\tau \right)}
 of Eq. (29) with initial condition (47) at Failed to parse (MathML with SVG or PNG fallback (recommended for modern browsers and accessibility tools): Invalid response ("Math extension cannot connect to Restbase.") from server "https://mathoid.scipedia.com/localhost/v1/":): {\textstyle \tau =}

Failed to parse (MathML with SVG or PNG fallback (recommended for modern browsers and accessibility tools): Invalid response ("Math extension cannot connect to Restbase.") from server "https://mathoid.scipedia.com/localhost/v1/":): 0.1 , Failed to parse (MathML with SVG or PNG fallback (recommended for modern browsers and accessibility tools): Invalid response ("Math extension cannot connect to Restbase.") from server "https://mathoid.scipedia.com/localhost/v1/":): {\textstyle \alpha =10} , Failed to parse (MathML with SVG or PNG fallback (recommended for modern browsers and accessibility tools): Invalid response ("Math extension cannot connect to Restbase.") from server "https://mathoid.scipedia.com/localhost/v1/":): {\textstyle \beta =} Failed to parse (MathML with SVG or PNG fallback (recommended for modern browsers and accessibility tools): Invalid response ("Math extension cannot connect to Restbase.") from server "https://mathoid.scipedia.com/localhost/v1/":): 0.1


Table 3. Comparison of the NDM solution and exact solution for case 3 at Failed to parse (MathML with SVG or PNG fallback (recommended for modern browsers and accessibility tools): Invalid response ("Math extension cannot connect to Restbase.") from server "https://mathoid.scipedia.com/localhost/v1/":): {\textstyle \tau =}

Failed to parse (MathML with SVG or PNG fallback (recommended for modern browsers and accessibility tools): Invalid response ("Math extension cannot connect to Restbase.") from server "https://mathoid.scipedia.com/localhost/v1/":): 0.1 , Failed to parse (MathML with SVG or PNG fallback (recommended for modern browsers and accessibility tools): Invalid response ("Math extension cannot connect to Restbase.") from server "https://mathoid.scipedia.com/localhost/v1/":): {\textstyle \alpha =10} , Failed to parse (MathML with SVG or PNG fallback (recommended for modern browsers and accessibility tools): Invalid response ("Math extension cannot connect to Restbase.") from server "https://mathoid.scipedia.com/localhost/v1/":): {\textstyle \beta =} Failed to parse (MathML with SVG or PNG fallback (recommended for modern browsers and accessibility tools): Invalid response ("Math extension cannot connect to Restbase.") from server "https://mathoid.scipedia.com/localhost/v1/":): 0.1

Failed to parse (MathML with SVG or PNG fallback (recommended for modern browsers and accessibility tools): Invalid response ("Math extension cannot connect to Restbase.") from server "https://mathoid.scipedia.com/localhost/v1/":): x Failed to parse (MathML with SVG or PNG fallback (recommended for modern browsers and accessibility tools): Invalid response ("Math extension cannot connect to Restbase.") from server "https://mathoid.scipedia.com/localhost/v1/":): {\varphi }_{Ex} Failed to parse (MathML with SVG or PNG fallback (recommended for modern browsers and accessibility tools): Invalid response ("Math extension cannot connect to Restbase.") from server "https://mathoid.scipedia.com/localhost/v1/":): {\varphi }_{NDM} E Failed to parse (MathML with SVG or PNG fallback (recommended for modern browsers and accessibility tools): Invalid response ("Math extension cannot connect to Restbase.") from server "https://mathoid.scipedia.com/localhost/v1/":): \epsilon =0.95 Failed to parse (MathML with SVG or PNG fallback (recommended for modern browsers and accessibility tools): Invalid response ("Math extension cannot connect to Restbase.") from server "https://mathoid.scipedia.com/localhost/v1/":): \epsilon =0.90
0.0 0.505999 0.505999 1.3332E-12 0.506145 0.506309
0.2 0.486225 0.486225 1.1814E-10 0.486365 0.486524
0.4 0.467864 0.467864 1.6971E-10 0.467989 0.468131
0.6 0.452010 0.452010 1.4505E-10 0.452115 0.452234
0.8 0.439159 0.439159 8.4428E-11 0.439242 0.439335
1.0 0.429264 0.429264 2.8177E-11 0.429326 0.429396


Table 4. Comparison of the NDM solution and exact solution for case 4 at Failed to parse (MathML with SVG or PNG fallback (recommended for modern browsers and accessibility tools): Invalid response ("Math extension cannot connect to Restbase.") from server "https://mathoid.scipedia.com/localhost/v1/":): {\textstyle \tau =}

Failed to parse (MathML with SVG or PNG fallback (recommended for modern browsers and accessibility tools): Invalid response ("Math extension cannot connect to Restbase.") from server "https://mathoid.scipedia.com/localhost/v1/":): 0.1 , Failed to parse (MathML with SVG or PNG fallback (recommended for modern browsers and accessibility tools): Invalid response ("Math extension cannot connect to Restbase.") from server "https://mathoid.scipedia.com/localhost/v1/":): {\textstyle \alpha =10} , Failed to parse (MathML with SVG or PNG fallback (recommended for modern browsers and accessibility tools): Invalid response ("Math extension cannot connect to Restbase.") from server "https://mathoid.scipedia.com/localhost/v1/":): {\textstyle \beta =} Failed to parse (MathML with SVG or PNG fallback (recommended for modern browsers and accessibility tools): Invalid response ("Math extension cannot connect to Restbase.") from server "https://mathoid.scipedia.com/localhost/v1/":): 0.1

Failed to parse (MathML with SVG or PNG fallback (recommended for modern browsers and accessibility tools): Invalid response ("Math extension cannot connect to Restbase.") from server "https://mathoid.scipedia.com/localhost/v1/":): x Failed to parse (MathML with SVG or PNG fallback (recommended for modern browsers and accessibility tools): Invalid response ("Math extension cannot connect to Restbase.") from server "https://mathoid.scipedia.com/localhost/v1/":): {\varphi }_{Ex} Failed to parse (MathML with SVG or PNG fallback (recommended for modern browsers and accessibility tools): Invalid response ("Math extension cannot connect to Restbase.") from server "https://mathoid.scipedia.com/localhost/v1/":): {\varphi }_{NDM} E Failed to parse (MathML with SVG or PNG fallback (recommended for modern browsers and accessibility tools): Invalid response ("Math extension cannot connect to Restbase.") from server "https://mathoid.scipedia.com/localhost/v1/":): \epsilon =0.95 Failed to parse (MathML with SVG or PNG fallback (recommended for modern browsers and accessibility tools): Invalid response ("Math extension cannot connect to Restbase.") from server "https://mathoid.scipedia.com/localhost/v1/":): \epsilon =0.90
0.1 -0.609109 -0.608998 1.1111E-4 -0.638872 -0.686344
0.3 0.150560 0.150560 4.2571E-7 0.148803 0.146732
0.5 0.284841 0.284841 3.2657E-8 0.284272 0.283618
0.7 0.337771 0.337771 6.0413E-9 0.337507 0.337206
0.9 0.364431 0.364431 1.7179E-9 0.364288 0.364125
1.0 0.372963 0.372963 1.0153E-9 0.372854 0.372730

7. Conclusion

Using innovative approaches to study and explore nonlinear physical models has always helped us grow in science and technology. We employed NDM in the present framework to analyze the fractional clannish random walker’s parabolic (CRWP) equation with fractional order. The uniqueness theorem and convergence analysis of the expected issue is investigated using Banach’s fixed-point theory. Four instances are shown to demonstrate the expected method’s reliability and applicability. For highlighted fractional order, the behaviors for the acquired findings are presented in 2D, 3D graphs, and tables. These graphs help in the conclusion of the analogical model’s stimulating actions. Furthermore, NDM does not need any conversion, perturbation, or consideration of additional polynomials or parameters while solving nonlinear problems. Examining these types of happenings can lead to new ways of looking into more real-world events. It may also inspire ideas on how to evaluate nonlinear models in science and technology using an accurate method. This paper clarifies the suggested model, which is heavily reliant on temporal instants and their histories and can be effectively shown using fractional concepts.

Conflict of Interest: The author declares that there is no conflict of interest.

No data were used to support this study.

Acknowledgments:

This research project was funded by the Deanship of Scientific Research, Princess Nourah bint Abdulrahman University, through the Program of Research Project Funding After Publication, grant No (43- PRFA-P-37).

References

[1] Miller K.S., Ross B. An introduction to the fractional calculus and fractional differential equations. Wiley-Interscience, 1st edition, pp. 384, 1993.

[2] Kilbas A.A., Srivastava H.M., Trujillo J.J. Theory and applications of fractional differential equations. Elsevier, Vol. 204, pp. 523, 2006.

[3] Samko S.G., Kilbas A.A., Marichev O.I. Fractional integrals and derivatives: Theory and applications. Gordon and Breach Science Publishers, pp. 976, 1993.

[4] Herzallah M.A., Muslih S.I., Baleanu D., Rabei E.M. Hamilton–Jacobi and fractional like action with time scaling. Nonlinear Dynamics, 66:549-555, 2011.

[5] West B.J., Bologna M., Grigolini P., West B.J., Bologna M., Grigolini P. Fractional laplace transforms. Physics of Fractal Operators, pp. 157-183, 2003.

[6] Alqahtani, Z. and Hagag, A.E. A fractional numerical study on a plant disease model with replanting and preventive treatment. Métodos numéricos para cálculo y diseño en ingeniería: Revista internacional, 39(3):1-21, 2023.

[7] Alqahtani, Z. and Hagag, A.E. A new semi-analytical solution of compound KdV-Burgers equation of fractional order. Métodos numéricos para cálculo y diseño en ingeniería: Revista internacional, 39(4):1-16, 2023.

[8] Feng Z. The first-integral method to study the Burgers–Korteweg–de Vries equation. Journal of Physics A: Mathematical and General, 35(2):343, 2002.

[9] Ege S.M., Misirli E. The modified Kudryashov method for solving some fractional-order nonlinear equations. Advances in Difference Equations, 2014:1-13, 2014.

[10] Kaplan M., Bekir A., Akbulut A. A generalized Kudryashov method to some nonlinear evolution equations in mathematical physics. Nonlinear Dynamics, 85:2843-2850, 2016.

[11] Ma W.X., Wu H., He J. Partial differential equations possessing Frobenius integrable decompositions. Physics Letters A, 364(1):29-32, 2007.

[12] Bekir A., Güner, Ö. Analytical approach for the space-time nonlinear partial differential fractional equation. International Journal of Nonlinear Sciences and Numerical Simulation, 15(7-8):463-470, 2014.

[13] Zhang S., Zhang H.Q. Fractional sub-equation method and its applications to nonlinear fractional PDEs. Physics Letters A, 375(7):1069-1073, 2011.

[14] Guo S., Mei L., Li Y., Sun Y. The improved fractional sub-equation method and its applications to the space–time fractional differential equations in fluid mechanics. Physics Letters A, 376(4):407-411, 2012.

[15] Jawad A.J.A.M., Petković M.D., Biswas A. Modified simple equation method for nonlinear evolution equations. Applied Mathematics and Computation, 217(2):869-877, 2010.

[16] Baleanu D., Uǧurlu Y., İnç M., Kilic B. Improved (G'/G)-expansion method for the time-fractional biological population model and Cahn–Hilliard equation. Journal of Computational and Nonlinear Dynamics, 10:051016-1, 2015.

[17] Kumar D., Hosseini K., Samadani F. The sine-Gordon expansion method to look for the traveling wave solutions of the Tzitzéica type equations in nonlinear optics. Optik, 149:439-446, 2017.

[18] Seadawy A.R., Kumar D., Chakrabarty A.K. Dispersive optical soliton solutions for the hyperbolic and cubic-quintic nonlinear Schrödinger equations via the extended sinh-Gordon equation expansion method. The European Physical Journal Plus, 133(5):182, 2018.

[19] Kumar D., Kaplan M. New analytical solutions of (2+1)-dimensional conformable time fractional Zoomeron equation via two distinct techniques. Chinese Journal of Physics, 56(5):2173-2185, 2018.

[20] Chen H., Zhang H. New multiple soliton solutions to the general Burgers–Fisher equation and the Kuramoto–Sivashinsky equation. Chaos, Solitons & Fractals, 19(1):71-76, 2004.

[21] Adomian G. A new approach to nonlinear partial differential equations. Journal of Mathematical Analysis and Applications, 102(2):420-434, 1984.

[22] Sakar M.G., Erdogan F., Yıldırım A. Variational iteration method for the time-fractional Fornberg–Whitham equation. Computers & Mathematics with Applications, 63(9):1382-1388, 2012.

[23] Rawashdeh M.S., Al-Jammal H. New approximate solutions to fractional nonlinear systems of partial differential equations using the FNDM. Advances in Difference Equations, 2016(1):1-19, 2016.

[24] Rawashdeh M.S., Al-Jammal H. Numerical solutions for systems of nonlinear fractional ordinary differential equations using the FNDM. Mediterranean Journal of Mathematics, 13:4661-4677, 2016.

[25] Debnath L. Nonlinear partial differential equations for scientists and engineers. Birkhäuser Boston, MA, pp. 738, 2005.

[26] Wazwaz A.M. Partial differential equations. CRC Press, pp. 476, 2002.

[27] Bulut H. Exact solutions for some fractional nonlinear partial differential equations via Kudryashov method. Physical Sciences, 8(1):24-63, 2013.

[28] Uğurlu Y., Kaya D. Analytic method for solitary solutions of some partial differential equations. Physics Letters A, 370(3-4):251-259, 2007.

[29] Odabasi M., Misirli E. On the solutions of the nonlinear fractional differential equations via the modified trial equation method. Mathematical Methods in the Applied Sciences, 41(3):904-911, 2018.

[30] Guner O., Bekir A., Ünsal Ö. Two reliable methods for solving the time fractional Clannish Random Walker's Parabolic equation. Optik, 127(20):9571-9577, 2016.

[31] Bashar M.H., Tahseen T., Shahen N.H. Application of the advanced exp (-φ (ξ))-expansion method to the nonlinear conformable time-fractional partial differential equations. Turkish Journal of Mathematics and Computer Science, 13(1):68-80, 2021.

[32] Podlubny I. Fractional differential equations: an introduction to fractional derivatives, fractional differential equations, to methods of their solution and some of their applications. Academic Press, Elsevier, pp. 340, 1998.

[33] Mainardi F. On the initial value problem for the fractional diffusion-wave equation. In Rionero S. and Ruggeri T. (Eds.), Waves and Stability in Continuous Media, World Scientific, Singapore, pp.246-251, 1994.

[34] Loonker D., Banerji P.K. Solution of fractional ordinary differential equations by natural transform. Int. J. Math. Eng. Sci., 12(2):1-7, 2013.

[35] Singh P., Sharma D. Convergence and error analysis of series solution of nonlinear partial differential equation. Nonlinear Engineering, 7(4):303-308, 2018.

[36] Kreyszig E. Introductory functional analysis with applications. John Wiley & Sons, Vol. 17, pp. 704, 1991.
Back to Top

Document information

Published on 17/11/23
Accepted on 25/10/23
Submitted on 28/09/23

Volume 39, Issue 4, 2023
DOI: 10.23967/j.rimni.2023.10.008
Licence: CC BY-NC-SA license

Document Score

5

Views 176
Recommendations 1

Share this document

claim authorship

Are you one of the authors of this document?