Abstract

En este artículo presentamos formulaciones estabilizadas de elementos finitos para resolver la ecuación de convección-difusión-reacción escalar en el caso de difusión pequeña. Por un lado, resumimos la aplicación de las formulaciones ASGS y OSS basadas en el concepto de métodos variacionales multiescala. Por otro lado, discutimos aspectos de la utilización de elementos de alto orden, centrando nuestros experimentos numéricos en elementos cuadráticos, cúbicos y de cuarto orden. Asimismo, la aplicación del método OSS requiere de la introducción de una proyección, para lo cual introducimos una modificación del elemento simplicial de cuarto orden con una regla de integración numérica asociada.

keywords

Convección-difusión-reacción, métodos de elementos finitos estabilizados, convección dominante, alto orden, cuadraturas nodales.

1 Introducción

El contar con equipos computacionales más robustos tanto en memoria RAM como en velocidad de los procesadores ha permitido entre otras cosas incentivar a numerosos investigadores al estudio de métodos numéricos complejos en fluidos que abordan modelos constitutivos cada vez más reales, buscando resolver las ecuaciones sin hacer hipótesis de simplificación por su complejidad. Dentro de este marco, la ecuación de convección-difusión-reacción (CDR) es un modelo matemático de simulación del transporte de una magnitud física que se utiliza entre otras cosas en la simulación del transporte de contaminantes.

Es bien conocido que el método estándar de elementos finitos de Galerkin aplicado a la ecuación de CDR presenta inestabilidades en la solución cuando el término convectivo es dominante frente al término difusivo, motivo por el cual distintos autores han desarrollado formulaciones estabilizadas. Dicha estabilización consiste en añadir términos que dependen de la malla de elementos finitos a los términos de Galerkin. Así, se pueden encontrar en la literatura diferentes métodos, como el método Streamline-upwind/Petrov-Galerkin (SUPG) [1,2,3], el método de Galerkin-mínimos cuadrados (GLS) [4,5,6], el método de las características-Galerkin (CG) [7] y el método de Taylor-Galerkin (TG) [8], entre otros. Una descripción y comparación de estos métodos se puede encontrar en [9], en donde se expone que todos los métodos esencialmente consisten en la adición de un término de estabilización a la formulación original de Galerkin, y que fundamentalmente excepto por menores modificaciones este término se puede escribir como un parámetro numérico, denominado tiempo intrínseco, multiplicado al producto Failed to parse (MathML with SVG or PNG fallback (recommended for modern browsers and accessibility tools): Invalid response ("Math extension cannot connect to Restbase.") from server "https://mathoid.scipedia.com/localhost/v1/":): {\textstyle L^{2}}

entre el residuo de la ecuación diferencial a ser resuelta y un operador aplicado a la función de prueba.

En el presente trabajo nos centraremos en los métodos llamados variacionales multiescalas (VMS, por Variational Multi-Scale), introducidos por Hughes y otros [10,11] (véase [12] para una revisión de esta teoría). En particular, nos centraremos en la versión más común, a la que nos referiremos como método ASGS (por Algebraic Sub-Grid Scale), y al llamado método OSS (por Orthogonal Subscale Stabilization) [13,14,15,16,17].

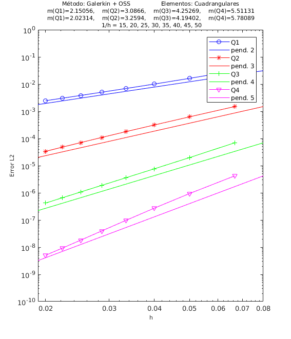
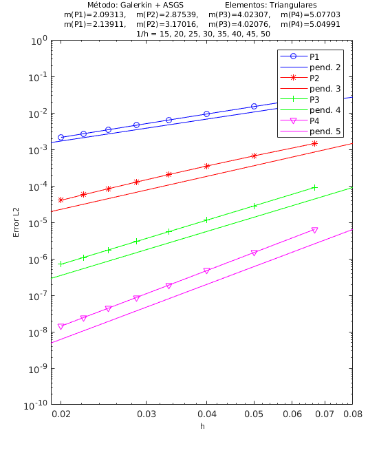
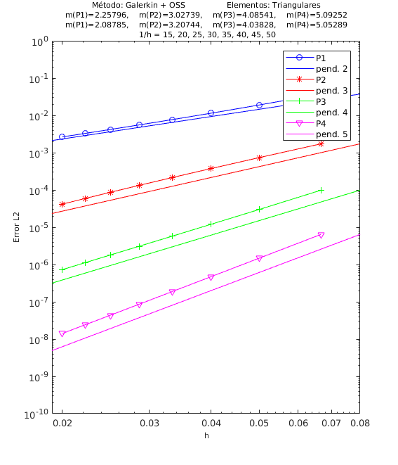
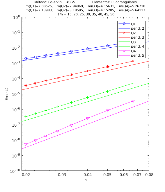
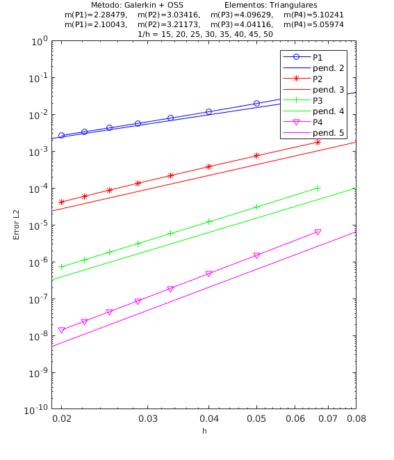
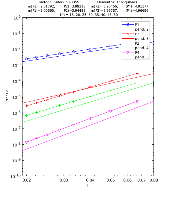
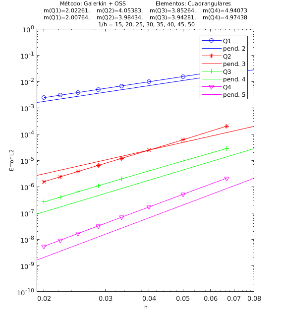
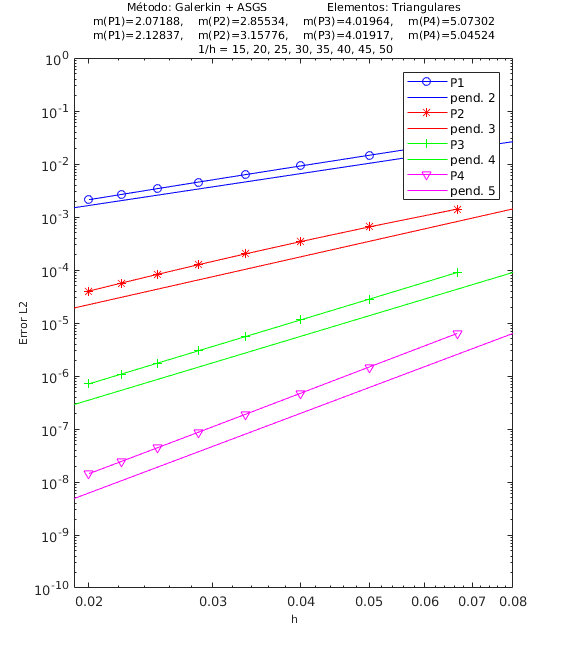
Además de describir resumidamente los métodos ASGS y OSS, la contribución fundamental del presente trabajo es analizar su comportamiento con elementos finitos de alto orden, en particular cuadráticos, cúbicos y de cuarto orden, en todos los casos de clase Failed to parse (MathML with SVG or PNG fallback (recommended for modern browsers and accessibility tools): Invalid response ("Math extension cannot connect to Restbase.") from server "https://mathoid.scipedia.com/localhost/v1/":): {\textstyle C^{0}} . Para estudiar dicho comportamiento, presentaremos resultados de convergencia en malla usando soluciones manufacturadas y analizaremos cómo son de robustos estos métodos en presencia de capas límite de la solución. Asimismo, en el caso del método OSS es necesario llevar a cabo una proyección en el espacio de elementos finitos, para lo cual resulta especialmente conveniente usar reglas de integración numérica con los puntos de integración en los nodos. Para elementos simpliciales de cuarto orden esto nos lleva a proponer una modificación del elemento estándar, que describimos en detalle para el caso del elemento triangular.

El artículo está organizado como sigue. En la siguiente sección se describe el problema a resolver y las aproximaciones y formulaciones de los métodos variacionales estabilizados ASGS y OSS. En la Sección 3 presentamos el elemento finito triangular de cuarto orden modificado. Las pruebas de convergencia en malla con soluciones analíticas conocidas y las pruebas de estabilidad con capas límite, así como un ejemplo práctico, se presentan en la Sección 4. Finalmente, en base a los resultados obtenidos se extraen algunas conclusiones en la Sección 5.

2 Planteamiento del problema, aproximación y estabilización numérica

En esta sección vamos a describir la aproximación y estabilización numérica de la ecuación escalar transitoria de CDR, con condiciones de contorno y condiciones iniciales conocidas.

2.1 Problema de contorno

Sea Failed to parse (MathML with SVG or PNG fallback (recommended for modern browsers and accessibility tools): Invalid response ("Math extension cannot connect to Restbase.") from server "https://mathoid.scipedia.com/localhost/v1/":): {\textstyle \Omega }

un dominio acotado de Failed to parse (MathML with SVG or PNG fallback (recommended for modern browsers and accessibility tools): Invalid response ("Math extension cannot connect to Restbase.") from server "https://mathoid.scipedia.com/localhost/v1/":): {\textstyle \mathbb{R}^d}
Failed to parse (MathML with SVG or PNG fallback (recommended for modern browsers and accessibility tools): Invalid response ("Math extension cannot connect to Restbase.") from server "https://mathoid.scipedia.com/localhost/v1/":): {\textstyle (d= 1,2,3)}
y sea Failed to parse (MathML with SVG or PNG fallback (recommended for modern browsers and accessibility tools): Invalid response ("Math extension cannot connect to Restbase.") from server "https://mathoid.scipedia.com/localhost/v1/":): {\textstyle \gamma =\left[0,T\right]}

, con Failed to parse (MathML with SVG or PNG fallback (recommended for modern browsers and accessibility tools): Invalid response ("Math extension cannot connect to Restbase.") from server "https://mathoid.scipedia.com/localhost/v1/":): {\textstyle T > 0} , el dominio temporal. El problema que nos planteamos consiste en encontrar Failed to parse (MathML with SVG or PNG fallback (recommended for modern browsers and accessibility tools): Invalid response ("Math extension cannot connect to Restbase.") from server "https://mathoid.scipedia.com/localhost/v1/":): {\textstyle u:\Omega \times \gamma \rightarrow \mathbb{R}}

tal que

Failed to parse (MathML with SVG or PNG fallback (recommended for modern browsers and accessibility tools): Invalid response ("Math extension cannot connect to Restbase.") from server "https://mathoid.scipedia.com/localhost/v1/":): \partial _{t}u+\mathcal{L}(u)=f,\qquad \left(\mathbf{x},t\right)\in \Omega \times \gamma ,
(1)

con

Failed to parse (MathML with SVG or PNG fallback (recommended for modern browsers and accessibility tools): Invalid response ("Math extension cannot connect to Restbase.") from server "https://mathoid.scipedia.com/localhost/v1/":): \mathcal{L}(u):=-k\partial _{i}\partial _{i}u+a_{i}\partial _{i}u+su,
(2)

sujeta a condiciones de contorno de Dirichlet

Failed to parse (MathML with SVG or PNG fallback (recommended for modern browsers and accessibility tools): Invalid response ("Math extension cannot connect to Restbase.") from server "https://mathoid.scipedia.com/localhost/v1/":): u=u_{D},\qquad \left(\mathbf{x},t\right)\in \partial \Omega _{D}\times \mathbf{\gamma },

condiciones de contorno de Neumann

Failed to parse (MathML with SVG or PNG fallback (recommended for modern browsers and accessibility tools): Invalid response ("Math extension cannot connect to Restbase.") from server "https://mathoid.scipedia.com/localhost/v1/":): kn_{i}\partial _{i}u=\varphi ,\qquad \left(\mathbf{x},t\right)\in \partial \Omega _{N}\times \mathbf{\gamma ,}

y condiciones iniciales

Failed to parse (MathML with SVG or PNG fallback (recommended for modern browsers and accessibility tools): Invalid response ("Math extension cannot connect to Restbase.") from server "https://mathoid.scipedia.com/localhost/v1/":): u=u_{0},\qquad \mathbf{x}\in \Omega ,\quad \mbox{ }t=0.

En estas ecuaciones, Failed to parse (MathML with SVG or PNG fallback (recommended for modern browsers and accessibility tools): Invalid response ("Math extension cannot connect to Restbase.") from server "https://mathoid.scipedia.com/localhost/v1/":): {\textstyle \partial _{t}}

denota la derivada temporal y Failed to parse (MathML with SVG or PNG fallback (recommended for modern browsers and accessibility tools): Invalid response ("Math extension cannot connect to Restbase.") from server "https://mathoid.scipedia.com/localhost/v1/":): {\textstyle \partial _{i}}
la derivada con respecto a la Failed to parse (MathML with SVG or PNG fallback (recommended for modern browsers and accessibility tools): Invalid response ("Math extension cannot connect to Restbase.") from server "https://mathoid.scipedia.com/localhost/v1/":): {\textstyle i}

-ésima coordenada cartesiana Failed to parse (MathML with SVG or PNG fallback (recommended for modern browsers and accessibility tools): Invalid response ("Math extension cannot connect to Restbase.") from server "https://mathoid.scipedia.com/localhost/v1/":): {\textstyle (i=1,\dots ,d)} . Hemos usado la notación de Eintein, de manera que los índices repetidos indicación suma sobre todas las coordenadas espaciales. Los coeficientes en (2) son Failed to parse (MathML with SVG or PNG fallback (recommended for modern browsers and accessibility tools): Invalid response ("Math extension cannot connect to Restbase.") from server "https://mathoid.scipedia.com/localhost/v1/":): {\textstyle k > 0}

la difusión, Failed to parse (MathML with SVG or PNG fallback (recommended for modern browsers and accessibility tools): Invalid response ("Math extension cannot connect to Restbase.") from server "https://mathoid.scipedia.com/localhost/v1/":): {\textstyle a_{i}}
la componente en la dirección Failed to parse (MathML with SVG or PNG fallback (recommended for modern browsers and accessibility tools): Invalid response ("Math extension cannot connect to Restbase.") from server "https://mathoid.scipedia.com/localhost/v1/":): {\textstyle i}
del campo convectivo de velocidades Failed to parse (MathML with SVG or PNG fallback (recommended for modern browsers and accessibility tools): Invalid response ("Math extension cannot connect to Restbase.") from server "https://mathoid.scipedia.com/localhost/v1/":): {\textstyle \mathbf{a}\in \mathbb{\mathbb{R}}^{d}}
(para flujo incompresible Failed to parse (MathML with SVG or PNG fallback (recommended for modern browsers and accessibility tools): Invalid response ("Math extension cannot connect to Restbase.") from server "https://mathoid.scipedia.com/localhost/v1/":): {\textstyle \nabla \cdot \mathbf{a}=0}

) y Failed to parse (MathML with SVG or PNG fallback (recommended for modern browsers and accessibility tools): Invalid response ("Math extension cannot connect to Restbase.") from server "https://mathoid.scipedia.com/localhost/v1/":): {\textstyle s\geq{0}}

el coeficiente de reacción. Failed to parse (MathML with SVG or PNG fallback (recommended for modern browsers and accessibility tools): Invalid response ("Math extension cannot connect to Restbase.") from server "https://mathoid.scipedia.com/localhost/v1/":): {\textstyle f}
es el término fuente conocido y Failed to parse (MathML with SVG or PNG fallback (recommended for modern browsers and accessibility tools): Invalid response ("Math extension cannot connect to Restbase.") from server "https://mathoid.scipedia.com/localhost/v1/":): {\textstyle n_{i}}
es la componente Failed to parse (MathML with SVG or PNG fallback (recommended for modern browsers and accessibility tools): Invalid response ("Math extension cannot connect to Restbase.") from server "https://mathoid.scipedia.com/localhost/v1/":): {\textstyle i}

-ésima de la normal unitaria a la frontera, denotada por Failed to parse (MathML with SVG or PNG fallback (recommended for modern browsers and accessibility tools): Invalid response ("Math extension cannot connect to Restbase.") from server "https://mathoid.scipedia.com/localhost/v1/":): {\textstyle \partial \Omega } , la cual está dada por Failed to parse (MathML with SVG or PNG fallback (recommended for modern browsers and accessibility tools): Invalid response ("Math extension cannot connect to Restbase.") from server "https://mathoid.scipedia.com/localhost/v1/":): {\textstyle \partial \Omega =\partial \Omega _{D}\cup \partial \Omega _{N}.}

Las condiciones de contorno de Dirichlet Failed to parse (MathML with SVG or PNG fallback (recommended for modern browsers and accessibility tools): Invalid response ("Math extension cannot connect to Restbase.") from server "https://mathoid.scipedia.com/localhost/v1/":): {\textstyle u_{D}}
y las condiciones de contorno de Neumann Failed to parse (MathML with SVG or PNG fallback (recommended for modern browsers and accessibility tools): Invalid response ("Math extension cannot connect to Restbase.") from server "https://mathoid.scipedia.com/localhost/v1/":): {\textstyle \varphi }
son conocidas en las fronteras Failed to parse (MathML with SVG or PNG fallback (recommended for modern browsers and accessibility tools): Invalid response ("Math extension cannot connect to Restbase.") from server "https://mathoid.scipedia.com/localhost/v1/":): {\textstyle \partial \Omega _{D}}
y Failed to parse (MathML with SVG or PNG fallback (recommended for modern browsers and accessibility tools): Invalid response ("Math extension cannot connect to Restbase.") from server "https://mathoid.scipedia.com/localhost/v1/":): {\textstyle \partial \Omega _{N}}

, respectivamente. Las condiciones iniciales y de contorno de Dirichlet verifican la siguiente condición de compatibilidad Failed to parse (MathML with SVG or PNG fallback (recommended for modern browsers and accessibility tools): Invalid response ("Math extension cannot connect to Restbase.") from server "https://mathoid.scipedia.com/localhost/v1/":): {\textstyle u_{0}\left(\mathbf{x}\right)|_{\partial \Omega _{D}}=u_{D}\left(\mathbf{x},0\right).}


2.2 Forma variacional o débil del problema

Sea Failed to parse (MathML with SVG or PNG fallback (recommended for modern browsers and accessibility tools): Invalid response ("Math extension cannot connect to Restbase.") from server "https://mathoid.scipedia.com/localhost/v1/":): {\textstyle \mathcal{W}}

el espacio de funciones de Failed to parse (MathML with SVG or PNG fallback (recommended for modern browsers and accessibility tools): Invalid response ("Math extension cannot connect to Restbase.") from server "https://mathoid.scipedia.com/localhost/v1/":): {\textstyle H^1(\Omega )}
(funciones en Failed to parse (MathML with SVG or PNG fallback (recommended for modern browsers and accessibility tools): Invalid response ("Math extension cannot connect to Restbase.") from server "https://mathoid.scipedia.com/localhost/v1/":): {\textstyle L^2(\Omega )}
con derivadas en Failed to parse (MathML with SVG or PNG fallback (recommended for modern browsers and accessibility tools): Invalid response ("Math extension cannot connect to Restbase.") from server "https://mathoid.scipedia.com/localhost/v1/":): {\textstyle L^2(\Omega )}

) que sea anulan en Failed to parse (MathML with SVG or PNG fallback (recommended for modern browsers and accessibility tools): Invalid response ("Math extension cannot connect to Restbase.") from server "https://mathoid.scipedia.com/localhost/v1/":): {\textstyle \partial \Omega _D} , y sea Failed to parse (MathML with SVG or PNG fallback (recommended for modern browsers and accessibility tools): Invalid response ("Math extension cannot connect to Restbase.") from server "https://mathoid.scipedia.com/localhost/v1/":): {\textstyle L^{2}\left(0,T;\mathcal{W}\right)}

el espacio de funciones en Failed to parse (MathML with SVG or PNG fallback (recommended for modern browsers and accessibility tools): Invalid response ("Math extension cannot connect to Restbase.") from server "https://mathoid.scipedia.com/localhost/v1/":): {\textstyle \Omega \times \gamma }
tales que la norma Failed to parse (MathML with SVG or PNG fallback (recommended for modern browsers and accessibility tools): Invalid response ("Math extension cannot connect to Restbase.") from server "https://mathoid.scipedia.com/localhost/v1/":): {\textstyle H^1(\Omega )}
es Failed to parse (MathML with SVG or PNG fallback (recommended for modern browsers and accessibility tools): Invalid response ("Math extension cannot connect to Restbase.") from server "https://mathoid.scipedia.com/localhost/v1/":): {\textstyle L^2(\gamma )}

. Para simplificar la exposición, supongamos que Failed to parse (MathML with SVG or PNG fallback (recommended for modern browsers and accessibility tools): Invalid response ("Math extension cannot connect to Restbase.") from server "https://mathoid.scipedia.com/localhost/v1/":): {\textstyle u_D = 0} .

Multiplicando (1) por una función Failed to parse (MathML with SVG or PNG fallback (recommended for modern browsers and accessibility tools): Invalid response ("Math extension cannot connect to Restbase.") from server "https://mathoid.scipedia.com/localhost/v1/":): {\textstyle v\in \mathcal{W}}

e integrando el término de difusión por partes, se obtiene la forma débil o variacional del problema, la cual consiste en encontrar Failed to parse (MathML with SVG or PNG fallback (recommended for modern browsers and accessibility tools): Invalid response ("Math extension cannot connect to Restbase.") from server "https://mathoid.scipedia.com/localhost/v1/":): {\textstyle u\in L^{2}\left(0,T;\mathcal{W}\right)}
tal que

Failed to parse (MathML with SVG or PNG fallback (recommended for modern browsers and accessibility tools): Invalid response ("Math extension cannot connect to Restbase.") from server "https://mathoid.scipedia.com/localhost/v1/":): \left(\partial _{t}u,v\right)+B(u,v)=\left\langle f,v\right\rangle + \left\langle \varphi ,v\right\rangle_{\partial \Omega _N} \qquad \forall v\in \mathcal{W},
(3)

donde

Failed to parse (MathML with SVG or PNG fallback (recommended for modern browsers and accessibility tools): Invalid response ("Math extension cannot connect to Restbase.") from server "https://mathoid.scipedia.com/localhost/v1/":): B(u,v) =\int _{\Omega }k\partial _{i}v\partial _{i}u+\int _{\Omega }va_{i}\partial _{i}u+\int _{\Omega }vsu,
Failed to parse (MathML with SVG or PNG fallback (recommended for modern browsers and accessibility tools): Invalid response ("Math extension cannot connect to Restbase.") from server "https://mathoid.scipedia.com/localhost/v1/":): \left(\partial _{t}u,v\right) = \int _{\Omega }v\partial _{t}u,
Failed to parse (MathML with SVG or PNG fallback (recommended for modern browsers and accessibility tools): Invalid response ("Math extension cannot connect to Restbase.") from server "https://mathoid.scipedia.com/localhost/v1/":): \left\langle f,v\right\rangle =\int _{\Omega }vf,
Failed to parse (MathML with SVG or PNG fallback (recommended for modern browsers and accessibility tools): Invalid response ("Math extension cannot connect to Restbase.") from server "https://mathoid.scipedia.com/localhost/v1/":): \left\langle \varphi ,v\right\rangle_{\partial \Omega _N} =\int _{\partial \Omega _N}v \varphi ,

y cumpliéndose la condición inicial Failed to parse (MathML with SVG or PNG fallback (recommended for modern browsers and accessibility tools): Invalid response ("Math extension cannot connect to Restbase.") from server "https://mathoid.scipedia.com/localhost/v1/":): {\textstyle u = u_0}

en Failed to parse (MathML with SVG or PNG fallback (recommended for modern browsers and accessibility tools): Invalid response ("Math extension cannot connect to Restbase.") from server "https://mathoid.scipedia.com/localhost/v1/":): {\textstyle t = 0}
en Failed to parse (MathML with SVG or PNG fallback (recommended for modern browsers and accessibility tools): Invalid response ("Math extension cannot connect to Restbase.") from server "https://mathoid.scipedia.com/localhost/v1/":): {\textstyle L^2(\Omega )}

. En lo que sigue, tomaremos Failed to parse (MathML with SVG or PNG fallback (recommended for modern browsers and accessibility tools): Invalid response ("Math extension cannot connect to Restbase.") from server "https://mathoid.scipedia.com/localhost/v1/":): {\textstyle \varphi = 0}

para simplificar la notación.

2.3 Aproximación numérica con el método estándar de Galerkin

La ecuación Failed to parse (MathML with SVG or PNG fallback (recommended for modern browsers and accessibility tools): Invalid response ("Math extension cannot connect to Restbase.") from server "https://mathoid.scipedia.com/localhost/v1/":): {\textstyle \left(\right. } 3Failed to parse (MathML with SVG or PNG fallback (recommended for modern browsers and accessibility tools): Invalid response ("Math extension cannot connect to Restbase.") from server "https://mathoid.scipedia.com/localhost/v1/":): \left. \right)

es la que aproximamos numéricamente en el espacio usando una formulación de elementos finitos. La discretización temporal la llevaremos a cabo mediante un método de diferencias finitas. En principio, podríamos discretizar primero en espacio o en tiempo indistintamente, aunque en nuestro caso llevaremos a cabo primero la discretización temporal.

2.3.1 Discretización temporal en diferencias finitas

Consideremos una partición uniforme del intervalo de tiempo Failed to parse (MathML with SVG or PNG fallback (recommended for modern browsers and accessibility tools): Invalid response ("Math extension cannot connect to Restbase.") from server "https://mathoid.scipedia.com/localhost/v1/":): {\textstyle 0=t^{0}<t^{1}<\dots{<}t^{N}=T} , con Failed to parse (MathML with SVG or PNG fallback (recommended for modern browsers and accessibility tools): Invalid response ("Math extension cannot connect to Restbase.") from server "https://mathoid.scipedia.com/localhost/v1/":): {\textstyle \delta t=t^{n+1}-t^{n}} , siendo Failed to parse (MathML with SVG or PNG fallback (recommended for modern browsers and accessibility tools): Invalid response ("Math extension cannot connect to Restbase.") from server "https://mathoid.scipedia.com/localhost/v1/":): {\textstyle \delta t}

es el tamaño del paso de tiempo, considerado constante. Aquí y en adelante, usaremos el superíndice Failed to parse (MathML with SVG or PNG fallback (recommended for modern browsers and accessibility tools): Invalid response ("Math extension cannot connect to Restbase.") from server "https://mathoid.scipedia.com/localhost/v1/":): {\textstyle n}
para indicar el nivel de tiempo Failed to parse (MathML with SVG or PNG fallback (recommended for modern browsers and accessibility tools): Invalid response ("Math extension cannot connect to Restbase.") from server "https://mathoid.scipedia.com/localhost/v1/":): {\textstyle n}

.

Aunque la discretización en el tiempo puede realizarse mediante cualquier aproximación de la derivada temporal en diferencias finitas o elementos finitos, aquí utilizaremos la regla trapezoidal generalizada. Para una función genérica Failed to parse (MathML with SVG or PNG fallback (recommended for modern browsers and accessibility tools): Invalid response ("Math extension cannot connect to Restbase.") from server "https://mathoid.scipedia.com/localhost/v1/":): {\textstyle f} , sea

Failed to parse (MathML with SVG or PNG fallback (recommended for modern browsers and accessibility tools): Invalid response ("Math extension cannot connect to Restbase.") from server "https://mathoid.scipedia.com/localhost/v1/":): f^{n+\theta }=\theta f^{n+1}+\left(1-\theta \right)f^{n},\qquad{0}\leq \theta \leq{1.}
(4)

Aproximaremos

Failed to parse (MathML with SVG or PNG fallback (recommended for modern browsers and accessibility tools): Invalid response ("Math extension cannot connect to Restbase.") from server "https://mathoid.scipedia.com/localhost/v1/":): \delta _{t}^{n}f:=\frac{1}{\delta t}(f^{n+1}-f^{n})=\frac{1}{\theta \delta t}(f^{n+\theta }-f^{n})\approx (\partial _{t}f)^{n+\theta } .

Esta aproximación es de segundo orden en Failed to parse (MathML with SVG or PNG fallback (recommended for modern browsers and accessibility tools): Invalid response ("Math extension cannot connect to Restbase.") from server "https://mathoid.scipedia.com/localhost/v1/":): {\textstyle \delta t}

en el caso en que Failed to parse (MathML with SVG or PNG fallback (recommended for modern browsers and accessibility tools): Invalid response ("Math extension cannot connect to Restbase.") from server "https://mathoid.scipedia.com/localhost/v1/":): {\textstyle \theta=1/2}
(método de Crank-Nicolson) y de primer orden si Failed to parse (MathML with SVG or PNG fallback (recommended for modern browsers and accessibility tools): Invalid response ("Math extension cannot connect to Restbase.") from server "https://mathoid.scipedia.com/localhost/v1/":): {\textstyle \theta \not=1/2}

. El caso Failed to parse (MathML with SVG or PNG fallback (recommended for modern browsers and accessibility tools): Invalid response ("Math extension cannot connect to Restbase.") from server "https://mathoid.scipedia.com/localhost/v1/":): {\textstyle \theta=1}

corresponde al método de Euler implícito o el método de diferencias hacia atrás de primer orden, a menudo abreviado como BDF1. Puesto que nuestro interés en este trabajo se centra en la aproximación espacial, en los ejemplos numéricos hemos usado este último método.

En cada paso de tiempo, el problema Failed to parse (MathML with SVG or PNG fallback (recommended for modern browsers and accessibility tools): Invalid response ("Math extension cannot connect to Restbase.") from server "https://mathoid.scipedia.com/localhost/v1/":): {\textstyle \left(\right. } 3Failed to parse (MathML with SVG or PNG fallback (recommended for modern browsers and accessibility tools): Invalid response ("Math extension cannot connect to Restbase.") from server "https://mathoid.scipedia.com/localhost/v1/":): \left. \right)

discretizado en el tiempo, consiste en encontrar Failed to parse (MathML with SVG or PNG fallback (recommended for modern browsers and accessibility tools): Invalid response ("Math extension cannot connect to Restbase.") from server "https://mathoid.scipedia.com/localhost/v1/":): {\textstyle u^{n+1}\in \mathcal{W}}
tal que

Failed to parse (MathML with SVG or PNG fallback (recommended for modern browsers and accessibility tools): Invalid response ("Math extension cannot connect to Restbase.") from server "https://mathoid.scipedia.com/localhost/v1/":): \left(\delta _{t}^{n}u,v\right)+B(u^{n+\theta },v)=\left\langle f^{n+\theta },v\right\rangle \qquad \forall v\in \mathcal{W}.
(5)

2.3.2 Discretización de Galerkin en el espacio

Para aproximar numéricamente la ecuación Failed to parse (MathML with SVG or PNG fallback (recommended for modern browsers and accessibility tools): Invalid response ("Math extension cannot connect to Restbase.") from server "https://mathoid.scipedia.com/localhost/v1/":): {\textstyle (} 5Failed to parse (MathML with SVG or PNG fallback (recommended for modern browsers and accessibility tools): Invalid response ("Math extension cannot connect to Restbase.") from server "https://mathoid.scipedia.com/localhost/v1/":): )

en el espacio por el método de elementos finitos, consideremos una partición del dominio Failed to parse (MathML with SVG or PNG fallback (recommended for modern browsers and accessibility tools): Invalid response ("Math extension cannot connect to Restbase.") from server "https://mathoid.scipedia.com/localhost/v1/":): {\textstyle \Omega }

, de manera que Failed to parse (MathML with SVG or PNG fallback (recommended for modern browsers and accessibility tools): Invalid response ("Math extension cannot connect to Restbase.") from server "https://mathoid.scipedia.com/localhost/v1/":): {\textstyle \overset{n_{el}}{\underset{e=1}{\cup }}\Omega ^{e}=\Omega }

y Failed to parse (MathML with SVG or PNG fallback (recommended for modern browsers and accessibility tools): Invalid response ("Math extension cannot connect to Restbase.") from server "https://mathoid.scipedia.com/localhost/v1/":): {\textstyle \Omega ^{e_{1}}\cap \Omega ^{e_{2}}=\emptyset }
para cualesquiera Failed to parse (MathML with SVG or PNG fallback (recommended for modern browsers and accessibility tools): Invalid response ("Math extension cannot connect to Restbase.") from server "https://mathoid.scipedia.com/localhost/v1/":): {\textstyle e_{1}}

, Failed to parse (MathML with SVG or PNG fallback (recommended for modern browsers and accessibility tools): Invalid response ("Math extension cannot connect to Restbase.") from server "https://mathoid.scipedia.com/localhost/v1/":): {\textstyle e_{2}} , Failed to parse (MathML with SVG or PNG fallback (recommended for modern browsers and accessibility tools): Invalid response ("Math extension cannot connect to Restbase.") from server "https://mathoid.scipedia.com/localhost/v1/":): {\textstyle e_{1}\neq e_{2}} , donde Failed to parse (MathML with SVG or PNG fallback (recommended for modern browsers and accessibility tools): Invalid response ("Math extension cannot connect to Restbase.") from server "https://mathoid.scipedia.com/localhost/v1/":): {\textstyle n_{el}}

es el número de elementos de la partición y Failed to parse (MathML with SVG or PNG fallback (recommended for modern browsers and accessibility tools): Invalid response ("Math extension cannot connect to Restbase.") from server "https://mathoid.scipedia.com/localhost/v1/":): {\textstyle \Omega ^{e}}
es el dominio del elemento Failed to parse (MathML with SVG or PNG fallback (recommended for modern browsers and accessibility tools): Invalid response ("Math extension cannot connect to Restbase.") from server "https://mathoid.scipedia.com/localhost/v1/":): {\textstyle e}

.

Si Failed to parse (MathML with SVG or PNG fallback (recommended for modern browsers and accessibility tools): Invalid response ("Math extension cannot connect to Restbase.") from server "https://mathoid.scipedia.com/localhost/v1/":): {\textstyle \mathcal{W}_{h}}

es un espacio conforme de elementos finitos para aproximar Failed to parse (MathML with SVG or PNG fallback (recommended for modern browsers and accessibility tools): Invalid response ("Math extension cannot connect to Restbase.") from server "https://mathoid.scipedia.com/localhost/v1/":): {\textstyle \mathcal{W}}
(Failed to parse (MathML with SVG or PNG fallback (recommended for modern browsers and accessibility tools): Invalid response ("Math extension cannot connect to Restbase.") from server "https://mathoid.scipedia.com/localhost/v1/":): {\textstyle \mathcal{W}_{h}\subset \mathcal{W}}

), entonces el problema discreto que se conoce como el método estándar de Galerkin, que resuelve la ecuación escalar transitoria de CDR Failed to parse (MathML with SVG or PNG fallback (recommended for modern browsers and accessibility tools): Invalid response ("Math extension cannot connect to Restbase.") from server "https://mathoid.scipedia.com/localhost/v1/":): {\textstyle (} 1Failed to parse (MathML with SVG or PNG fallback (recommended for modern browsers and accessibility tools): Invalid response ("Math extension cannot connect to Restbase.") from server "https://mathoid.scipedia.com/localhost/v1/":): )

con condiciones de Dirichlet y de Neumann homogéneas en la frontera, consiste en: dado Failed to parse (MathML with SVG or PNG fallback (recommended for modern browsers and accessibility tools): Invalid response ("Math extension cannot connect to Restbase.") from server "https://mathoid.scipedia.com/localhost/v1/":): {\textstyle u_{h}^{n}\in \mathcal{W}_{h},}
encontrar Failed to parse (MathML with SVG or PNG fallback (recommended for modern browsers and accessibility tools): Invalid response ("Math extension cannot connect to Restbase.") from server "https://mathoid.scipedia.com/localhost/v1/":): {\textstyle u_{h}^{n+1}\in \mathcal{W}_{h}}
tal que

Failed to parse (MathML with SVG or PNG fallback (recommended for modern browsers and accessibility tools): Invalid response ("Math extension cannot connect to Restbase.") from server "https://mathoid.scipedia.com/localhost/v1/":): \left(\delta _{t}^{n}u_{h},v_{h}\right)+B(u_{h}^{n+\theta },v_{h})=\left\langle f^{n+\theta },v_{h}\right\rangle \qquad \forall v_{h}\in \mathcal{W}_{h},
(6)

para Failed to parse (MathML with SVG or PNG fallback (recommended for modern browsers and accessibility tools): Invalid response ("Math extension cannot connect to Restbase.") from server "https://mathoid.scipedia.com/localhost/v1/":): {\textstyle n = 0,1,\dots ,N-1} , siendo Failed to parse (MathML with SVG or PNG fallback (recommended for modern browsers and accessibility tools): Invalid response ("Math extension cannot connect to Restbase.") from server "https://mathoid.scipedia.com/localhost/v1/":): {\textstyle u^0_h}

conocido proyectando la condición inicial en Failed to parse (MathML with SVG or PNG fallback (recommended for modern browsers and accessibility tools): Invalid response ("Math extension cannot connect to Restbase.") from server "https://mathoid.scipedia.com/localhost/v1/":): {\textstyle \mathcal{W}_h}
(con el producto escalar de Failed to parse (MathML with SVG or PNG fallback (recommended for modern browsers and accessibility tools): Invalid response ("Math extension cannot connect to Restbase.") from server "https://mathoid.scipedia.com/localhost/v1/":): {\textstyle L^2(\Omega )}

).

2.4 Métodos de estabilización numérica

Como se mencionó anteriormente, el método estándar de Galerkin presenta inestabilidades numéricas cuando el término convectivo es dominante con respecto al término difusivo. Los métodos que vamos a utilizar para la estabilización numérica se pueden enmarcar en el método variacional multiescalas (VMS) [10,11]. En particular, veremos dos opciones, correspondientes a dos elecciones del espacio de subescalas (véase también [13,15,16]).

2.4.1 El método variacional mutiescalas (VMS)

Aunque el método VMS puede considerar un número arbitrario de escalas en la solución, en la mayoría de las ocasiones basta con considerar dos escalas para diseñar un método de estabilización. La idea básica es descomponer para cada instante de tiempo la variable continua desconocida Failed to parse (MathML with SVG or PNG fallback (recommended for modern browsers and accessibility tools): Invalid response ("Math extension cannot connect to Restbase.") from server "https://mathoid.scipedia.com/localhost/v1/":): {\textstyle u(\cdot ,t)\in \mathcal{W}}

en una parte resoluble en el espacio de elementos finitos Failed to parse (MathML with SVG or PNG fallback (recommended for modern browsers and accessibility tools): Invalid response ("Math extension cannot connect to Restbase.") from server "https://mathoid.scipedia.com/localhost/v1/":): {\textstyle u_{h}(\cdot ,t)\in \mathcal{W}_{h}}

, con Failed to parse (MathML with SVG or PNG fallback (recommended for modern browsers and accessibility tools): Invalid response ("Math extension cannot connect to Restbase.") from server "https://mathoid.scipedia.com/localhost/v1/":): {\textstyle \mathcal{W}_{h}\subset \mathcal{W}} , y una parte en la escala de una submalla Failed to parse (MathML with SVG or PNG fallback (recommended for modern browsers and accessibility tools): Invalid response ("Math extension cannot connect to Restbase.") from server "https://mathoid.scipedia.com/localhost/v1/":): {\textstyle \tilde{u}(\cdot ,t) \in \tilde{\mathcal{W}}} , con Failed to parse (MathML with SVG or PNG fallback (recommended for modern browsers and accessibility tools): Invalid response ("Math extension cannot connect to Restbase.") from server "https://mathoid.scipedia.com/localhost/v1/":): {\textstyle \tilde{\mathcal{W}}\subset \mathcal{W}} , la cual no puede ser capturada por la malla de elementos finitos, siendo Failed to parse (MathML with SVG or PNG fallback (recommended for modern browsers and accessibility tools): Invalid response ("Math extension cannot connect to Restbase.") from server "https://mathoid.scipedia.com/localhost/v1/":): {\textstyle \mathcal{W}=\mathcal{W}_{h}\oplus \tilde{\mathcal{W}}} , donde Failed to parse (MathML with SVG or PNG fallback (recommended for modern browsers and accessibility tools): Invalid response ("Math extension cannot connect to Restbase.") from server "https://mathoid.scipedia.com/localhost/v1/":): {\textstyle \mathcal{\tilde{W}}}

es cualquier espacio para completar Failed to parse (MathML with SVG or PNG fallback (recommended for modern browsers and accessibility tools): Invalid response ("Math extension cannot connect to Restbase.") from server "https://mathoid.scipedia.com/localhost/v1/":): {\textstyle \mathcal{W}_{h}}
en Failed to parse (MathML with SVG or PNG fallback (recommended for modern browsers and accessibility tools): Invalid response ("Math extension cannot connect to Restbase.") from server "https://mathoid.scipedia.com/localhost/v1/":): {\textstyle \mathcal{W}}

. Para evitar tecnicismos, podemos pensar en Failed to parse (MathML with SVG or PNG fallback (recommended for modern browsers and accessibility tools): Invalid response ("Math extension cannot connect to Restbase.") from server "https://mathoid.scipedia.com/localhost/v1/":): {\textstyle \mathcal{W}}

y Failed to parse (MathML with SVG or PNG fallback (recommended for modern browsers and accessibility tools): Invalid response ("Math extension cannot connect to Restbase.") from server "https://mathoid.scipedia.com/localhost/v1/":): {\textstyle \mathcal{\tilde{W}}}
como espacios dimensionalmente finitos, con una dimensión grande. Puesto que Failed to parse (MathML with SVG or PNG fallback (recommended for modern browsers and accessibility tools): Invalid response ("Math extension cannot connect to Restbase.") from server "https://mathoid.scipedia.com/localhost/v1/":): {\textstyle \tilde{\mathcal{W}}}
representa la componente de Failed to parse (MathML with SVG or PNG fallback (recommended for modern browsers and accessibility tools): Invalid response ("Math extension cannot connect to Restbase.") from server "https://mathoid.scipedia.com/localhost/v1/":): {\textstyle \mathcal{W}}
que no es reproducida por el espacio de elementos finitos, la llamamos espacio de las subescalas. De este modo, la variable continua desconocida podemos escribirla como Failed to parse (MathML with SVG or PNG fallback (recommended for modern browsers and accessibility tools): Invalid response ("Math extension cannot connect to Restbase.") from server "https://mathoid.scipedia.com/localhost/v1/":): {\textstyle u=u_{h}+\tilde{u}}

, donde Failed to parse (MathML with SVG or PNG fallback (recommended for modern browsers and accessibility tools): Invalid response ("Math extension cannot connect to Restbase.") from server "https://mathoid.scipedia.com/localhost/v1/":): {\textstyle u_{h}}

es la componente de Failed to parse (MathML with SVG or PNG fallback (recommended for modern browsers and accessibility tools): Invalid response ("Math extension cannot connect to Restbase.") from server "https://mathoid.scipedia.com/localhost/v1/":): {\textstyle u}
en el espacio de elementos finitos y Failed to parse (MathML with SVG or PNG fallback (recommended for modern browsers and accessibility tools): Invalid response ("Math extension cannot connect to Restbase.") from server "https://mathoid.scipedia.com/localhost/v1/":): {\textstyle \tilde{u}}
es su componente en el complemento (con respecto a un cierto producto interno) de Failed to parse (MathML with SVG or PNG fallback (recommended for modern browsers and accessibility tools): Invalid response ("Math extension cannot connect to Restbase.") from server "https://mathoid.scipedia.com/localhost/v1/":): {\textstyle \mathcal{W}}

. La misma descomposición es aplicable a las funciones de test.

Aplicando la descomposición mencionada a la ecuación continua Failed to parse (MathML with SVG or PNG fallback (recommended for modern browsers and accessibility tools): Invalid response ("Math extension cannot connect to Restbase.") from server "https://mathoid.scipedia.com/localhost/v1/":): {\textstyle \left(\right. } 3Failed to parse (MathML with SVG or PNG fallback (recommended for modern browsers and accessibility tools): Invalid response ("Math extension cannot connect to Restbase.") from server "https://mathoid.scipedia.com/localhost/v1/":): \left. \right)

se obtiene:

Failed to parse (MathML with SVG or PNG fallback (recommended for modern browsers and accessibility tools): Invalid response ("Math extension cannot connect to Restbase.") from server "https://mathoid.scipedia.com/localhost/v1/":): \left(\partial _{t}\left(u_{h}+\tilde{u}\right),v_{h}+\tilde{v}\right)+B\left(u_{h}+\tilde{u},v_{h}+\tilde{v}\right)=\left\langle f,v_{h}+\tilde{v}\right\rangle \qquad \forall v{}_{h}\in \mathcal{W}_{h},\;\forall \tilde{v}\in \tilde{\mathcal{W}}.
(7)

Utilizando la linealidad de las formas involucradas, la ecuación Failed to parse (MathML with SVG or PNG fallback (recommended for modern browsers and accessibility tools): Invalid response ("Math extension cannot connect to Restbase.") from server "https://mathoid.scipedia.com/localhost/v1/":): {\textstyle \left(\right. } 7Failed to parse (MathML with SVG or PNG fallback (recommended for modern browsers and accessibility tools): Invalid response ("Math extension cannot connect to Restbase.") from server "https://mathoid.scipedia.com/localhost/v1/":): \left. \right)

se puede descomponer en el siguiente sistema de ecuaciones:

Failed to parse (MathML with SVG or PNG fallback (recommended for modern browsers and accessibility tools): Invalid response ("Math extension cannot connect to Restbase.") from server "https://mathoid.scipedia.com/localhost/v1/":): \left(\partial _{t} u_{h},v_{h}\right)+\left(\partial _{t} \tilde{u},v_{h}\right)+B\left(u_{h},v_{h}\right)+B\left(\tilde{u},v_{h}\right) =\left\langle f,v_{h}\right\rangle \qquad \forall v_{h}\in \mathcal{W}_{h}, (8)
Failed to parse (MathML with SVG or PNG fallback (recommended for modern browsers and accessibility tools): Invalid response ("Math extension cannot connect to Restbase.") from server "https://mathoid.scipedia.com/localhost/v1/":): \left(\partial _{t} u_{h},\tilde{v}\right)+\left(\partial _{t}\tilde{u},\tilde{v}\right)+B\left(u_{h},\tilde{v}\right)+B\left(\tilde{u},\tilde{v}\right) =\left\langle f,\tilde{v}\right\rangle \qquad \forall \tilde{v}\in \tilde{\mathcal{W}}. (9)

Para simplificar el método resultante, vamos a asumir que Failed to parse (MathML with SVG or PNG fallback (recommended for modern browsers and accessibility tools): Invalid response ("Math extension cannot connect to Restbase.") from server "https://mathoid.scipedia.com/localhost/v1/":): \partial _t \tilde{u}=0 , lo cual implica que la variación temporal de las subescalas en Failed to parse (MathML with SVG or PNG fallback (recommended for modern browsers and accessibility tools): Invalid response ("Math extension cannot connect to Restbase.") from server "https://mathoid.scipedia.com/localhost/v1/":): {\textstyle \left(\right. } 8Failed to parse (MathML with SVG or PNG fallback (recommended for modern browsers and accessibility tools): Invalid response ("Math extension cannot connect to Restbase.") from server "https://mathoid.scipedia.com/localhost/v1/":): \left. \right)

y Failed to parse (MathML with SVG or PNG fallback (recommended for modern browsers and accessibility tools): Invalid response ("Math extension cannot connect to Restbase.") from server "https://mathoid.scipedia.com/localhost/v1/":): {\textstyle \left(\right. }

9Failed to parse (MathML with SVG or PNG fallback (recommended for modern browsers and accessibility tools): Invalid response ("Math extension cannot connect to Restbase.") from server "https://mathoid.scipedia.com/localhost/v1/":): \left. \right)

es despreciable comparada con el resto de términos. En [17] las subescalas que satisfacen esta condición son llamadas cuasi-estáticas. La inclusión o no de la derivada temporal de las subescalas se analiza en detalle en [18], donde se muestra que es esencial para evitar las inestabilidades que pueden producirse para pasos de tiempo pequeños, que en este trabajo no consideraremos.

Con esta suposición el sistema de ecuaciones Failed to parse (MathML with SVG or PNG fallback (recommended for modern browsers and accessibility tools): Invalid response ("Math extension cannot connect to Restbase.") from server "https://mathoid.scipedia.com/localhost/v1/":): {\textstyle \left(\right. } 8Failed to parse (MathML with SVG or PNG fallback (recommended for modern browsers and accessibility tools): Invalid response ("Math extension cannot connect to Restbase.") from server "https://mathoid.scipedia.com/localhost/v1/":): \left. \right)

y Failed to parse (MathML with SVG or PNG fallback (recommended for modern browsers and accessibility tools): Invalid response ("Math extension cannot connect to Restbase.") from server "https://mathoid.scipedia.com/localhost/v1/":): {\textstyle \left(\right. }

9Failed to parse (MathML with SVG or PNG fallback (recommended for modern browsers and accessibility tools): Invalid response ("Math extension cannot connect to Restbase.") from server "https://mathoid.scipedia.com/localhost/v1/":): \left. \right)

se escribe de la siguiente manera:

Failed to parse (MathML with SVG or PNG fallback (recommended for modern browsers and accessibility tools): Invalid response ("Math extension cannot connect to Restbase.") from server "https://mathoid.scipedia.com/localhost/v1/":): \left(\partial _{t} u_{h},v_{h}\right)+B\left(u_{h},v_{h}\right)+B\left(\tilde{u},v_{h}\right) =\left\langle f,v_{h}\right\rangle \qquad \forall v_{h}\in \mathcal{W}_{h}, (10)
Failed to parse (MathML with SVG or PNG fallback (recommended for modern browsers and accessibility tools): Invalid response ("Math extension cannot connect to Restbase.") from server "https://mathoid.scipedia.com/localhost/v1/":): \left(\partial _{t} u_{h},\tilde{v}\right)+B\left(u_{h},\tilde{v}\right)+B\left(\tilde{u},\tilde{v}\right) =\left\langle f,\tilde{v}\right\rangle \qquad \forall \tilde{v}\in \tilde{\mathcal{W}}. (11)

La ecuación Failed to parse (MathML with SVG or PNG fallback (recommended for modern browsers and accessibility tools): Invalid response ("Math extension cannot connect to Restbase.") from server "https://mathoid.scipedia.com/localhost/v1/":): {\textstyle \left(\right. } 10Failed to parse (MathML with SVG or PNG fallback (recommended for modern browsers and accessibility tools): Invalid response ("Math extension cannot connect to Restbase.") from server "https://mathoid.scipedia.com/localhost/v1/":): \left. \right)

corresponde a la escala resoluble Failed to parse (MathML with SVG or PNG fallback (recommended for modern browsers and accessibility tools): Invalid response ("Math extension cannot connect to Restbase.") from server "https://mathoid.scipedia.com/localhost/v1/":): {\textstyle u_{h}}
en el espacio de elementos finitos y tiene tres términos a su lado izquierdo, donde el primero y segundo términos son la contribución temporal y espacial de Failed to parse (MathML with SVG or PNG fallback (recommended for modern browsers and accessibility tools): Invalid response ("Math extension cannot connect to Restbase.") from server "https://mathoid.scipedia.com/localhost/v1/":): {\textstyle u_{h}}
del método estándar de Galerkin y el tercero toma en cuenta la influencia de la subescala en Failed to parse (MathML with SVG or PNG fallback (recommended for modern browsers and accessibility tools): Invalid response ("Math extension cannot connect to Restbase.") from server "https://mathoid.scipedia.com/localhost/v1/":): {\textstyle u_{h}}

.

De la ecuación Failed to parse (MathML with SVG or PNG fallback (recommended for modern browsers and accessibility tools): Invalid response ("Math extension cannot connect to Restbase.") from server "https://mathoid.scipedia.com/localhost/v1/":): {\textstyle \left(\right. } 11Failed to parse (MathML with SVG or PNG fallback (recommended for modern browsers and accessibility tools): Invalid response ("Math extension cannot connect to Restbase.") from server "https://mathoid.scipedia.com/localhost/v1/":): \left. \right)

se obtiene Failed to parse (MathML with SVG or PNG fallback (recommended for modern browsers and accessibility tools): Invalid response ("Math extension cannot connect to Restbase.") from server "https://mathoid.scipedia.com/localhost/v1/":): {\textstyle \tilde{u}}

, que es la contribución de la subescala sobre la componente en el espacio de elementos finitos. Para evitar aproximar derivadas de Failed to parse (MathML with SVG or PNG fallback (recommended for modern browsers and accessibility tools): Invalid response ("Math extension cannot connect to Restbase.") from server "https://mathoid.scipedia.com/localhost/v1/":): {\textstyle \tilde{u}} , podemos considerar la siguiente integración por partes en cada elemento:

Failed to parse (MathML with SVG or PNG fallback (recommended for modern browsers and accessibility tools): Invalid response ("Math extension cannot connect to Restbase.") from server "https://mathoid.scipedia.com/localhost/v1/":): B\left(\tilde{u},v_{h}\right) =\underset{e=1}{\overset{n_{el}}{\sum }}\int _{\Omega ^{e}}\left(-k\partial _{i}\left(\partial _{i}v_{h}\right)\tilde{u}-\partial _{i}v_{h}a_{i}\tilde{u}+v_{h}s\tilde{u}\right)
Failed to parse (MathML with SVG or PNG fallback (recommended for modern browsers and accessibility tools): Invalid response ("Math extension cannot connect to Restbase.") from server "https://mathoid.scipedia.com/localhost/v1/":): +\underset{e=1}{\overset{n_{el}}{\sum }}\int _{\partial \Omega ^{e}}k\partial _{i}v_{h}n_{i}\tilde{u}+\underset{e=1}{\overset{n_{el}}{\sum }}\int _{\partial \Omega ^{e}}v_{h}n_{i}a_{i}\tilde{u}.
(12)

Sea Failed to parse (MathML with SVG or PNG fallback (recommended for modern browsers and accessibility tools): Invalid response ("Math extension cannot connect to Restbase.") from server "https://mathoid.scipedia.com/localhost/v1/":): {\textstyle \mathcal{L}^{*}}

el adjunto del operador Failed to parse (MathML with SVG or PNG fallback (recommended for modern browsers and accessibility tools): Invalid response ("Math extension cannot connect to Restbase.") from server "https://mathoid.scipedia.com/localhost/v1/":): {\textstyle \mathcal{L}}

, dado por

Failed to parse (MathML with SVG or PNG fallback (recommended for modern browsers and accessibility tools): Invalid response ("Math extension cannot connect to Restbase.") from server "https://mathoid.scipedia.com/localhost/v1/":): \mathcal{L}^{*}\left(v_{h}\right)=-k\partial _{i}\left(\partial _{i}v_{h}\right)-a_{i}\partial _{i}v_{h}+sv_{h}.
(13)

La ecuación Failed to parse (MathML with SVG or PNG fallback (recommended for modern browsers and accessibility tools): Invalid response ("Math extension cannot connect to Restbase.") from server "https://mathoid.scipedia.com/localhost/v1/":): {\textstyle \left(\right. } 12Failed to parse (MathML with SVG or PNG fallback (recommended for modern browsers and accessibility tools): Invalid response ("Math extension cannot connect to Restbase.") from server "https://mathoid.scipedia.com/localhost/v1/":): \left. \right)

se puede escribir como

Failed to parse (MathML with SVG or PNG fallback (recommended for modern browsers and accessibility tools): Invalid response ("Math extension cannot connect to Restbase.") from server "https://mathoid.scipedia.com/localhost/v1/":): B\left(\tilde{u},v_{h}\right)=\underset{e=1}{\overset{n_{el}}{\sum }}\int _{\Omega ^{e}}\mathcal{L}^{*}\left(v_{h}\right)\tilde{u}+\underset{e=1}{\overset{n_{el}}{\sum }}\int _{\partial \Omega ^{e}}k\partial _{i}v_{h}n_{i}\tilde{u}+\underset{e=1}{\overset{n_{el}}{\sum }}\int _{\partial \Omega ^{e}}v_{h}n_{i}a_{i}\tilde{u}.
(14)

Reemplazando Failed to parse (MathML with SVG or PNG fallback (recommended for modern browsers and accessibility tools): Invalid response ("Math extension cannot connect to Restbase.") from server "https://mathoid.scipedia.com/localhost/v1/":): {\textstyle \left(\right. } 14Failed to parse (MathML with SVG or PNG fallback (recommended for modern browsers and accessibility tools): Invalid response ("Math extension cannot connect to Restbase.") from server "https://mathoid.scipedia.com/localhost/v1/":): \left. \right)

en la ecuación Failed to parse (MathML with SVG or PNG fallback (recommended for modern browsers and accessibility tools): Invalid response ("Math extension cannot connect to Restbase.") from server "https://mathoid.scipedia.com/localhost/v1/":): {\textstyle \left(\right. }

10Failed to parse (MathML with SVG or PNG fallback (recommended for modern browsers and accessibility tools): Invalid response ("Math extension cannot connect to Restbase.") from server "https://mathoid.scipedia.com/localhost/v1/":): \left. \right) , ésta se puede escribir como

Failed to parse (MathML with SVG or PNG fallback (recommended for modern browsers and accessibility tools): Invalid response ("Math extension cannot connect to Restbase.") from server "https://mathoid.scipedia.com/localhost/v1/":): \left(\partial _{t}u_{h},v_{h}\right)+B\left(u_{h},v_{h}\right)+\underset{e=1}{\overset{n_{el}}{\sum }}\int _{\Omega ^{e}}\mathcal{L}^{*}\left(v_{h}\right)\tilde{u}+\underset{e=1}{\overset{n_{el}}{\sum }}\int _{\partial \Omega ^{e}}k\partial _{i}v_{h}n_{i}\tilde{u}+\underset{e=1}{\overset{n_{el}}{\sum }}\int _{\partial \Omega ^{e}}v_{h}n_{i}a_{i}\tilde{u}=\left\langle f,v_{h}\right\rangle
(15)

para todo Failed to parse (MathML with SVG or PNG fallback (recommended for modern browsers and accessibility tools): Invalid response ("Math extension cannot connect to Restbase.") from server "https://mathoid.scipedia.com/localhost/v1/":): {\textstyle v_h\in \mathcal{W}_h} . Ahora bien integrando por partes los términos Failed to parse (MathML with SVG or PNG fallback (recommended for modern browsers and accessibility tools): Invalid response ("Math extension cannot connect to Restbase.") from server "https://mathoid.scipedia.com/localhost/v1/":): {\textstyle B\left(u_{h},\tilde{v}\right)}

y Failed to parse (MathML with SVG or PNG fallback (recommended for modern browsers and accessibility tools): Invalid response ("Math extension cannot connect to Restbase.") from server "https://mathoid.scipedia.com/localhost/v1/":): {\textstyle B\left(\tilde{u},\tilde{v}\right)}
de la ecuación Failed to parse (MathML with SVG or PNG fallback (recommended for modern browsers and accessibility tools): Invalid response ("Math extension cannot connect to Restbase.") from server "https://mathoid.scipedia.com/localhost/v1/":): {\textstyle \left(\right. }

11Failed to parse (MathML with SVG or PNG fallback (recommended for modern browsers and accessibility tools): Invalid response ("Math extension cannot connect to Restbase.") from server "https://mathoid.scipedia.com/localhost/v1/":): \left. \right) , ésta se puede escribir como

Failed to parse (MathML with SVG or PNG fallback (recommended for modern browsers and accessibility tools): Invalid response ("Math extension cannot connect to Restbase.") from server "https://mathoid.scipedia.com/localhost/v1/":): \underset{e=1}{\overset{n_{el}}{\sum }}\int _{\partial \Omega ^{e}}k\tilde{v}n_{i}\partial _{i}\left(u_{h}+\tilde{u}\right)+\underset{e=1}{\overset{n_{el}}{\sum }}\int _{\Omega ^{e}}\tilde{v}\mathcal{L}\left(\tilde{u}\right) =\underset{e=1}{\overset{n_{el}}{\sum }}\int _{\Omega ^{e}}\tilde{v}\left[f-\mathcal{L}\left(u_{h}\right)\right]-\underset{e=1}{\overset{n_{el}}{\sum }}\int _{\Omega ^{e}}\tilde{v}\partial _{t} u_{h}\qquad \forall \tilde{v}\in \tilde{\mathcal{W}}.
(16)

Observemos que el primer término de la ecuación Failed to parse (MathML with SVG or PNG fallback (recommended for modern browsers and accessibility tools): Invalid response ("Math extension cannot connect to Restbase.") from server "https://mathoid.scipedia.com/localhost/v1/":): {\textstyle \left(\right. } 16Failed to parse (MathML with SVG or PNG fallback (recommended for modern browsers and accessibility tools): Invalid response ("Math extension cannot connect to Restbase.") from server "https://mathoid.scipedia.com/localhost/v1/":): \left. \right)

se anula, ya que en la frontera de los elementos las componentes normales de los flujos de Failed to parse (MathML with SVG or PNG fallback (recommended for modern browsers and accessibility tools): Invalid response ("Math extension cannot connect to Restbase.") from server "https://mathoid.scipedia.com/localhost/v1/":): {\textstyle u}
son iguales pero de signo contrario, debido a que los flujos difusivos deben ser continuos a través de los contornos ínter-elementales. Como resultado de esto, la ecuación Failed to parse (MathML with SVG or PNG fallback (recommended for modern browsers and accessibility tools): Invalid response ("Math extension cannot connect to Restbase.") from server "https://mathoid.scipedia.com/localhost/v1/":): {\textstyle \left(\right. }

16Failed to parse (MathML with SVG or PNG fallback (recommended for modern browsers and accessibility tools): Invalid response ("Math extension cannot connect to Restbase.") from server "https://mathoid.scipedia.com/localhost/v1/":): \left. \right)

es equivalente a encontrar Failed to parse (MathML with SVG or PNG fallback (recommended for modern browsers and accessibility tools): Invalid response ("Math extension cannot connect to Restbase.") from server "https://mathoid.scipedia.com/localhost/v1/":): {\textstyle \tilde{u}\in \tilde{\mathcal{W}}}
tal que

Failed to parse (MathML with SVG or PNG fallback (recommended for modern browsers and accessibility tools): Invalid response ("Math extension cannot connect to Restbase.") from server "https://mathoid.scipedia.com/localhost/v1/":): \mathcal{L}\left(\tilde{u}\right) =f-\mathcal{L}\left(u_{h}\right)-\partial _{t} u_{h}+v_{h,{ort}},\qquad \mathrm{en}\;\Omega ^{e}\quad \forall v_{h,{ort}}\in \tilde{\mathcal{W}}^{\perp }, (17)
Failed to parse (MathML with SVG or PNG fallback (recommended for modern browsers and accessibility tools): Invalid response ("Math extension cannot connect to Restbase.") from server "https://mathoid.scipedia.com/localhost/v1/":): \tilde{u} =\tilde{u}_{esq},\qquad \mathrm{en}\;\partial \Omega ^{e}, (18)

para Failed to parse (MathML with SVG or PNG fallback (recommended for modern browsers and accessibility tools): Invalid response ("Math extension cannot connect to Restbase.") from server "https://mathoid.scipedia.com/localhost/v1/":): {\textstyle e=1,...,n_{el}}

y para una cierta función Failed to parse (MathML with SVG or PNG fallback (recommended for modern browsers and accessibility tools): Invalid response ("Math extension cannot connect to Restbase.") from server "https://mathoid.scipedia.com/localhost/v1/":): {\textstyle \tilde{u}_{esq}}

, que llamamos el esqueleto de Failed to parse (MathML with SVG or PNG fallback (recommended for modern browsers and accessibility tools): Invalid response ("Math extension cannot connect to Restbase.") from server "https://mathoid.scipedia.com/localhost/v1/":): {\textstyle u} . Es importante observar que la ecuación Failed to parse (MathML with SVG or PNG fallback (recommended for modern browsers and accessibility tools): Invalid response ("Math extension cannot connect to Restbase.") from server "https://mathoid.scipedia.com/localhost/v1/":): {\textstyle \left(\right. } 17Failed to parse (MathML with SVG or PNG fallback (recommended for modern browsers and accessibility tools): Invalid response ("Math extension cannot connect to Restbase.") from server "https://mathoid.scipedia.com/localhost/v1/":): \left. \right)

se verifica para cualquier elemento Failed to parse (MathML with SVG or PNG fallback (recommended for modern browsers and accessibility tools): Invalid response ("Math extension cannot connect to Restbase.") from server "https://mathoid.scipedia.com/localhost/v1/":): {\textstyle v_{h,{ort}}}
ortogonal a Failed to parse (MathML with SVG or PNG fallback (recommended for modern browsers and accessibility tools): Invalid response ("Math extension cannot connect to Restbase.") from server "https://mathoid.scipedia.com/localhost/v1/":): {\textstyle \tilde{\mathcal{W}}.}
La presencia del elemento Failed to parse (MathML with SVG or PNG fallback (recommended for modern browsers and accessibility tools): Invalid response ("Math extension cannot connect to Restbase.") from server "https://mathoid.scipedia.com/localhost/v1/":): {\textstyle v_{h,{ort}}}
en la ecuación Failed to parse (MathML with SVG or PNG fallback (recommended for modern browsers and accessibility tools): Invalid response ("Math extension cannot connect to Restbase.") from server "https://mathoid.scipedia.com/localhost/v1/":): {\textstyle \left(\right. }

17Failed to parse (MathML with SVG or PNG fallback (recommended for modern browsers and accessibility tools): Invalid response ("Math extension cannot connect to Restbase.") from server "https://mathoid.scipedia.com/localhost/v1/":): \left. \right)

garantiza que Failed to parse (MathML with SVG or PNG fallback (recommended for modern browsers and accessibility tools): Invalid response ("Math extension cannot connect to Restbase.") from server "https://mathoid.scipedia.com/localhost/v1/":): {\textstyle \mathcal{L}\left(\tilde{u}\right)-\left[f-\mathcal{L}\left(u_{h}\right)\right]+\partial _{t} u_{h}}
pertenezca a Failed to parse (MathML with SVG or PNG fallback (recommended for modern browsers and accessibility tools): Invalid response ("Math extension cannot connect to Restbase.") from server "https://mathoid.scipedia.com/localhost/v1/":): {\textstyle \tilde{\mathcal{W}}^{\perp }}

, que es lo que implica la ecuación Failed to parse (MathML with SVG or PNG fallback (recommended for modern browsers and accessibility tools): Invalid response ("Math extension cannot connect to Restbase.") from server "https://mathoid.scipedia.com/localhost/v1/":): {\textstyle \left(\right. } 16Failed to parse (MathML with SVG or PNG fallback (recommended for modern browsers and accessibility tools): Invalid response ("Math extension cannot connect to Restbase.") from server "https://mathoid.scipedia.com/localhost/v1/":): \left. \right)

sin el primer término. En otras palabras, Failed to parse (MathML with SVG or PNG fallback (recommended for modern browsers and accessibility tools): Invalid response ("Math extension cannot connect to Restbase.") from server "https://mathoid.scipedia.com/localhost/v1/":): {\textstyle v_{h,{ort}}}
garantiza que Failed to parse (MathML with SVG or PNG fallback (recommended for modern browsers and accessibility tools): Invalid response ("Math extension cannot connect to Restbase.") from server "https://mathoid.scipedia.com/localhost/v1/":): {\textstyle \tilde{u}}
pertenezca al espacio de subescalas Failed to parse (MathML with SVG or PNG fallback (recommended for modern browsers and accessibility tools): Invalid response ("Math extension cannot connect to Restbase.") from server "https://mathoid.scipedia.com/localhost/v1/":): {\textstyle \tilde{\mathcal{W}}}
(y no a todo el espacio Failed to parse (MathML with SVG or PNG fallback (recommended for modern browsers and accessibility tools): Invalid response ("Math extension cannot connect to Restbase.") from server "https://mathoid.scipedia.com/localhost/v1/":): {\textstyle \mathcal{W}}

).

Las ecuaciones Failed to parse (MathML with SVG or PNG fallback (recommended for modern browsers and accessibility tools): Invalid response ("Math extension cannot connect to Restbase.") from server "https://mathoid.scipedia.com/localhost/v1/":): {\textstyle \left(\right. } 15Failed to parse (MathML with SVG or PNG fallback (recommended for modern browsers and accessibility tools): Invalid response ("Math extension cannot connect to Restbase.") from server "https://mathoid.scipedia.com/localhost/v1/":): \left. \right),

Failed to parse (MathML with SVG or PNG fallback (recommended for modern browsers and accessibility tools): Invalid response ("Math extension cannot connect to Restbase.") from server "https://mathoid.scipedia.com/localhost/v1/":): {\textstyle \left(\right. }

17Failed to parse (MathML with SVG or PNG fallback (recommended for modern browsers and accessibility tools): Invalid response ("Math extension cannot connect to Restbase.") from server "https://mathoid.scipedia.com/localhost/v1/":): \left. \right)

y Failed to parse (MathML with SVG or PNG fallback (recommended for modern browsers and accessibility tools): Invalid response ("Math extension cannot connect to Restbase.") from server "https://mathoid.scipedia.com/localhost/v1/":): {\textstyle \left(\right. }

18Failed to parse (MathML with SVG or PNG fallback (recommended for modern browsers and accessibility tools): Invalid response ("Math extension cannot connect to Restbase.") from server "https://mathoid.scipedia.com/localhost/v1/":): \left. \right)

equivalen exactamente al sistema de ecuaciones Failed to parse (MathML with SVG or PNG fallback (recommended for modern browsers and accessibility tools): Invalid response ("Math extension cannot connect to Restbase.") from server "https://mathoid.scipedia.com/localhost/v1/":): {\textstyle \left(\right. }

10Failed to parse (MathML with SVG or PNG fallback (recommended for modern browsers and accessibility tools): Invalid response ("Math extension cannot connect to Restbase.") from server "https://mathoid.scipedia.com/localhost/v1/":): \left. \right)

y Failed to parse (MathML with SVG or PNG fallback (recommended for modern browsers and accessibility tools): Invalid response ("Math extension cannot connect to Restbase.") from server "https://mathoid.scipedia.com/localhost/v1/":): {\textstyle \left(\right. }

11Failed to parse (MathML with SVG or PNG fallback (recommended for modern browsers and accessibility tools): Invalid response ("Math extension cannot connect to Restbase.") from server "https://mathoid.scipedia.com/localhost/v1/":): \left. \right),

en donde hasta ahora no hemos hecho ninguna aproximación. El siguiente paso es hacer una selección de las funciones Failed to parse (MathML with SVG or PNG fallback (recommended for modern browsers and accessibility tools): Invalid response ("Math extension cannot connect to Restbase.") from server "https://mathoid.scipedia.com/localhost/v1/":): {\textstyle \tilde{u}_{esq},}
Failed to parse (MathML with SVG or PNG fallback (recommended for modern browsers and accessibility tools): Invalid response ("Math extension cannot connect to Restbase.") from server "https://mathoid.scipedia.com/localhost/v1/":): {\textstyle v_{h,ort}}
y una solución aproximada de la ecuación Failed to parse (MathML with SVG or PNG fallback (recommended for modern browsers and accessibility tools): Invalid response ("Math extension cannot connect to Restbase.") from server "https://mathoid.scipedia.com/localhost/v1/":): {\textstyle \left(\right. }

17Failed to parse (MathML with SVG or PNG fallback (recommended for modern browsers and accessibility tools): Invalid response ("Math extension cannot connect to Restbase.") from server "https://mathoid.scipedia.com/localhost/v1/":): \left. \right).

La manera de escoger dichas funciones da lugar a las formulaciones ASGS y OSS que describimos más adelante. Los pasos comunes los describimos a continuación.

Para seleccionar Failed to parse (MathML with SVG or PNG fallback (recommended for modern browsers and accessibility tools): Invalid response ("Math extension cannot connect to Restbase.") from server "https://mathoid.scipedia.com/localhost/v1/":): {\textstyle \tilde{u}_{esq}}

vamos a usar el siguiente argumento. Para tener una aproximación discreta óptima de Failed to parse (MathML with SVG or PNG fallback (recommended for modern browsers and accessibility tools): Invalid response ("Math extension cannot connect to Restbase.") from server "https://mathoid.scipedia.com/localhost/v1/":): {\textstyle u}
que dé valores nodales exactos, se podría pedir que las subescalas se anulen en los contornos de los elementos. En problemas unidimensionales esto da condiciones de contorno homogéneas para el problema Failed to parse (MathML with SVG or PNG fallback (recommended for modern browsers and accessibility tools): Invalid response ("Math extension cannot connect to Restbase.") from server "https://mathoid.scipedia.com/localhost/v1/":): {\textstyle \left(\right. }

17Failed to parse (MathML with SVG or PNG fallback (recommended for modern browsers and accessibility tools): Invalid response ("Math extension cannot connect to Restbase.") from server "https://mathoid.scipedia.com/localhost/v1/":): \left. \right)

y Failed to parse (MathML with SVG or PNG fallback (recommended for modern browsers and accessibility tools): Invalid response ("Math extension cannot connect to Restbase.") from server "https://mathoid.scipedia.com/localhost/v1/":): {\textstyle \left(\right. }

18Failed to parse (MathML with SVG or PNG fallback (recommended for modern browsers and accessibility tools): Invalid response ("Math extension cannot connect to Restbase.") from server "https://mathoid.scipedia.com/localhost/v1/":): \left. \right)

en los extremos de cada elemento. Para los casos de más de una dimensión espacial, esto no es posible, puesto que la solución del problema continuo Failed to parse (MathML with SVG or PNG fallback (recommended for modern browsers and accessibility tools): Invalid response ("Math extension cannot connect to Restbase.") from server "https://mathoid.scipedia.com/localhost/v1/":): {\textstyle u}
tendría que ser polinómica en los contornos de los elementos para que pudiera coincidir con Failed to parse (MathML with SVG or PNG fallback (recommended for modern browsers and accessibility tools): Invalid response ("Math extension cannot connect to Restbase.") from server "https://mathoid.scipedia.com/localhost/v1/":): {\textstyle u_h}

. Sin embargo, imponer que Failed to parse (MathML with SVG or PNG fallback (recommended for modern browsers and accessibility tools): Invalid response ("Math extension cannot connect to Restbase.") from server "https://mathoid.scipedia.com/localhost/v1/":): {\textstyle \tilde{u}_{esq}=0}

puede pensarse como una aproximación.

Suponer que Failed to parse (MathML with SVG or PNG fallback (recommended for modern browsers and accessibility tools): Invalid response ("Math extension cannot connect to Restbase.") from server "https://mathoid.scipedia.com/localhost/v1/":): {\textstyle \tilde{u}_{esq}=0}

equivale a considerar el espacio de las subescalas Failed to parse (MathML with SVG or PNG fallback (recommended for modern browsers and accessibility tools): Invalid response ("Math extension cannot connect to Restbase.") from server "https://mathoid.scipedia.com/localhost/v1/":): {\textstyle \tilde{\mathcal{W}}}
como un espacio de funciones burbuja, es decir, un espacio de funciones que se anulan en los contornos de los elementos (véase [19,6]). Con esta aproximación, los términos con las integrales en los contornos de los elementos de la ecuación Failed to parse (MathML with SVG or PNG fallback (recommended for modern browsers and accessibility tools): Invalid response ("Math extension cannot connect to Restbase.") from server "https://mathoid.scipedia.com/localhost/v1/":): {\textstyle \left(\right. }

15Failed to parse (MathML with SVG or PNG fallback (recommended for modern browsers and accessibility tools): Invalid response ("Math extension cannot connect to Restbase.") from server "https://mathoid.scipedia.com/localhost/v1/":): \left. \right)

desaparecen, por lo cual el problema a ser resuelto consiste en encontrar para cada instante de tiempo Failed to parse (MathML with SVG or PNG fallback (recommended for modern browsers and accessibility tools): Invalid response ("Math extension cannot connect to Restbase.") from server "https://mathoid.scipedia.com/localhost/v1/":): {\textstyle t}
una función Failed to parse (MathML with SVG or PNG fallback (recommended for modern browsers and accessibility tools): Invalid response ("Math extension cannot connect to Restbase.") from server "https://mathoid.scipedia.com/localhost/v1/":): {\textstyle u_h(\cdot ,t)\in \mathcal{W}_{h}}
tal que

Failed to parse (MathML with SVG or PNG fallback (recommended for modern browsers and accessibility tools): Invalid response ("Math extension cannot connect to Restbase.") from server "https://mathoid.scipedia.com/localhost/v1/":): \left(\partial _{t} u_{h},v_{h}\right)+B\left(u_{h},v_{h}\right)+\underset{e=1}{\overset{n_{el}}{\sum }}\int _{\Omega ^{e}}\mathcal{L}^{*}\left(v_{h}\right)\tilde{u}=\left\langle f,v_{h}\right\rangle \qquad \forall v_{h}\in \mathcal{W}_{h},
(19)

en donde todavía hace falta determinar Failed to parse (MathML with SVG or PNG fallback (recommended for modern browsers and accessibility tools): Invalid response ("Math extension cannot connect to Restbase.") from server "https://mathoid.scipedia.com/localhost/v1/":): {\textstyle \tilde{u}} . Para ello, tenemos que resolver de forma aproximada el problema Failed to parse (MathML with SVG or PNG fallback (recommended for modern browsers and accessibility tools): Invalid response ("Math extension cannot connect to Restbase.") from server "https://mathoid.scipedia.com/localhost/v1/":): {\textstyle \left(\right. } 17Failed to parse (MathML with SVG or PNG fallback (recommended for modern browsers and accessibility tools): Invalid response ("Math extension cannot connect to Restbase.") from server "https://mathoid.scipedia.com/localhost/v1/":): \left. \right)

y Failed to parse (MathML with SVG or PNG fallback (recommended for modern browsers and accessibility tools): Invalid response ("Math extension cannot connect to Restbase.") from server "https://mathoid.scipedia.com/localhost/v1/":): {\textstyle \left(\right. }

18Failed to parse (MathML with SVG or PNG fallback (recommended for modern browsers and accessibility tools): Invalid response ("Math extension cannot connect to Restbase.") from server "https://mathoid.scipedia.com/localhost/v1/":): \left. \right)

en el espacio de las subescalas Failed to parse (MathML with SVG or PNG fallback (recommended for modern browsers and accessibility tools): Invalid response ("Math extension cannot connect to Restbase.") from server "https://mathoid.scipedia.com/localhost/v1/":): {\textstyle \tilde{\mathcal{W}}}
de funciones burbuja. Formalmente podemos escribir:

Failed to parse (MathML with SVG or PNG fallback (recommended for modern browsers and accessibility tools): Invalid response ("Math extension cannot connect to Restbase.") from server "https://mathoid.scipedia.com/localhost/v1/":): \tilde{u}=\mathcal{L}^{-1}\left[f-\mathcal{L}\left(u_{h}\right)-\partial _{t}u_{h} + v_{h,ort}\right],
(20)

en cada elemento, donde Failed to parse (MathML with SVG or PNG fallback (recommended for modern browsers and accessibility tools): Invalid response ("Math extension cannot connect to Restbase.") from server "https://mathoid.scipedia.com/localhost/v1/":): {\textstyle \mathcal{L}^{-1}}

es el operador inverso del operador Failed to parse (MathML with SVG or PNG fallback (recommended for modern browsers and accessibility tools): Invalid response ("Math extension cannot connect to Restbase.") from server "https://mathoid.scipedia.com/localhost/v1/":): {\textstyle \mathcal{L}}
con condiciones de Dirichlet homogéneas.

De la ecuación Failed to parse (MathML with SVG or PNG fallback (recommended for modern browsers and accessibility tools): Invalid response ("Math extension cannot connect to Restbase.") from server "https://mathoid.scipedia.com/localhost/v1/":): {\textstyle \left(\right. } 19Failed to parse (MathML with SVG or PNG fallback (recommended for modern browsers and accessibility tools): Invalid response ("Math extension cannot connect to Restbase.") from server "https://mathoid.scipedia.com/localhost/v1/":): \left. \right)

vemos que solo se necesita la componente de Failed to parse (MathML with SVG or PNG fallback (recommended for modern browsers and accessibility tools): Invalid response ("Math extension cannot connect to Restbase.") from server "https://mathoid.scipedia.com/localhost/v1/":): {\textstyle \tilde{u}}
sobre el espacio Failed to parse (MathML with SVG or PNG fallback (recommended for modern browsers and accessibility tools): Invalid response ("Math extension cannot connect to Restbase.") from server "https://mathoid.scipedia.com/localhost/v1/":): {\textstyle \mathcal{L}\left(\mathcal{W}_{h}\right)}

, donde Failed to parse (MathML with SVG or PNG fallback (recommended for modern browsers and accessibility tools): Invalid response ("Math extension cannot connect to Restbase.") from server "https://mathoid.scipedia.com/localhost/v1/":): {\textstyle \mathcal{L}\left(\mathcal{W}_{h}\right)}

es el espacio de funciones de la forma Failed to parse (MathML with SVG or PNG fallback (recommended for modern browsers and accessibility tools): Invalid response ("Math extension cannot connect to Restbase.") from server "https://mathoid.scipedia.com/localhost/v1/":): {\textstyle \mathcal{L}\left(v_{h}\right)}

, con Failed to parse (MathML with SVG or PNG fallback (recommended for modern browsers and accessibility tools): Invalid response ("Math extension cannot connect to Restbase.") from server "https://mathoid.scipedia.com/localhost/v1/":): {\textstyle v_{h}\in \mathcal{W}_{h}} . Esto sugiere aproximar Failed to parse (MathML with SVG or PNG fallback (recommended for modern browsers and accessibility tools): Invalid response ("Math extension cannot connect to Restbase.") from server "https://mathoid.scipedia.com/localhost/v1/":): {\textstyle \left(\right. } 20Failed to parse (MathML with SVG or PNG fallback (recommended for modern browsers and accessibility tools): Invalid response ("Math extension cannot connect to Restbase.") from server "https://mathoid.scipedia.com/localhost/v1/":): \left. \right)

como

Failed to parse (MathML with SVG or PNG fallback (recommended for modern browsers and accessibility tools): Invalid response ("Math extension cannot connect to Restbase.") from server "https://mathoid.scipedia.com/localhost/v1/":): \tilde{u}\approx \tau ^{e}\left[f-\mathcal{L}\left(u_{h}\right)-\partial _{t} u_{h} + v_{h,ort} \right]\quad \hbox{en}~\Omega ^e,
(21)

donde Failed to parse (MathML with SVG or PNG fallback (recommended for modern browsers and accessibility tools): Invalid response ("Math extension cannot connect to Restbase.") from server "https://mathoid.scipedia.com/localhost/v1/":): {\textstyle \tau ^{e}}

es el parámetro de estabilización y que se calcula dentro del dominio de cada elemento. Es una aproximación algebraica al operador Failed to parse (MathML with SVG or PNG fallback (recommended for modern browsers and accessibility tools): Invalid response ("Math extension cannot connect to Restbase.") from server "https://mathoid.scipedia.com/localhost/v1/":): {\textstyle \mathcal{L}^{-1}}

.

El diseño de Failed to parse (MathML with SVG or PNG fallback (recommended for modern browsers and accessibility tools): Invalid response ("Math extension cannot connect to Restbase.") from server "https://mathoid.scipedia.com/localhost/v1/":): {\textstyle \tau ^{e}}

es una de las piedras angulares en el desarrollo de los métodos de elementos finitos estabilizados. Algunas formulaciones algebraicas para el diseño del parámetro de estabilización para la ecuación escalar de CDR en 1D, basadas en el principio del máximo discreto, pueden encontrarse en [10,11,9]. Un posible argumento para obtener Failed to parse (MathML with SVG or PNG fallback (recommended for modern browsers and accessibility tools): Invalid response ("Math extension cannot connect to Restbase.") from server "https://mathoid.scipedia.com/localhost/v1/":): {\textstyle \tau ^e}
es el análisis de Fourier que se presenta en [17,20,21]. En este trabajo, para abordar la utilización de elementos finitos de alto orden, el diseño del Failed to parse (MathML with SVG or PNG fallback (recommended for modern browsers and accessibility tools): Invalid response ("Math extension cannot connect to Restbase.") from server "https://mathoid.scipedia.com/localhost/v1/":): {\textstyle \tau }
que adoptaremos es:

Failed to parse (MathML with SVG or PNG fallback (recommended for modern browsers and accessibility tools): Invalid response ("Math extension cannot connect to Restbase.") from server "https://mathoid.scipedia.com/localhost/v1/":): \tau ^e=\left[c_{1}\frac{k}{\left(\frac{h^{e}}{p^{2}}\right)^{2}}+c_{2}\frac{|\boldsymbol{a}|}{\frac{h^{e}}{p}}+c_{3}s\right]^{-1},
(22)

donde Failed to parse (MathML with SVG or PNG fallback (recommended for modern browsers and accessibility tools): Invalid response ("Math extension cannot connect to Restbase.") from server "https://mathoid.scipedia.com/localhost/v1/":): {\textstyle c_{1},}

Failed to parse (MathML with SVG or PNG fallback (recommended for modern browsers and accessibility tools): Invalid response ("Math extension cannot connect to Restbase.") from server "https://mathoid.scipedia.com/localhost/v1/":): {\textstyle c_{2},}
Failed to parse (MathML with SVG or PNG fallback (recommended for modern browsers and accessibility tools): Invalid response ("Math extension cannot connect to Restbase.") from server "https://mathoid.scipedia.com/localhost/v1/":): {\textstyle c_{3}}
son constantes algorítmicas,  que para los ejemplos numéricos hemos adoptado Failed to parse (MathML with SVG or PNG fallback (recommended for modern browsers and accessibility tools): Invalid response ("Math extension cannot connect to Restbase.") from server "https://mathoid.scipedia.com/localhost/v1/":): {\textstyle c_{1}=12,}
Failed to parse (MathML with SVG or PNG fallback (recommended for modern browsers and accessibility tools): Invalid response ("Math extension cannot connect to Restbase.") from server "https://mathoid.scipedia.com/localhost/v1/":): {\textstyle c_{2}=2}
y Failed to parse (MathML with SVG or PNG fallback (recommended for modern browsers and accessibility tools): Invalid response ("Math extension cannot connect to Restbase.") from server "https://mathoid.scipedia.com/localhost/v1/":): {\textstyle c_{3}=1,}
Failed to parse (MathML with SVG or PNG fallback (recommended for modern browsers and accessibility tools): Invalid response ("Math extension cannot connect to Restbase.") from server "https://mathoid.scipedia.com/localhost/v1/":): {\textstyle k}
es coeficiente de difusión, Failed to parse (MathML with SVG or PNG fallback (recommended for modern browsers and accessibility tools): Invalid response ("Math extension cannot connect to Restbase.") from server "https://mathoid.scipedia.com/localhost/v1/":): {\textstyle |\mathbf{a}|}
es la norma de la velocidad, Failed to parse (MathML with SVG or PNG fallback (recommended for modern browsers and accessibility tools): Invalid response ("Math extension cannot connect to Restbase.") from server "https://mathoid.scipedia.com/localhost/v1/":): {\textstyle s}
es el coeficiente de reacción, Failed to parse (MathML with SVG or PNG fallback (recommended for modern browsers and accessibility tools): Invalid response ("Math extension cannot connect to Restbase.") from server "https://mathoid.scipedia.com/localhost/v1/":): {\textstyle h^{e}}
es el diámetro del elemento y Failed to parse (MathML with SVG or PNG fallback (recommended for modern browsers and accessibility tools): Invalid response ("Math extension cannot connect to Restbase.") from server "https://mathoid.scipedia.com/localhost/v1/":): {\textstyle p}
es el orden polinomial de interpolación.

A falta de determinar la función Failed to parse (MathML with SVG or PNG fallback (recommended for modern browsers and accessibility tools): Invalid response ("Math extension cannot connect to Restbase.") from server "https://mathoid.scipedia.com/localhost/v1/":): {\textstyle v_{h,ort}} , y por consiguiente el espacio de subescalas, el problema para la función Failed to parse (MathML with SVG or PNG fallback (recommended for modern browsers and accessibility tools): Invalid response ("Math extension cannot connect to Restbase.") from server "https://mathoid.scipedia.com/localhost/v1/":): {\textstyle u_h}

se obtiene reemplazando la ecuación (21) en (19) y usando la expresión (22).

2.4.2 El método ASGS (Algebraic Sub-Grid Scales)

La idea del método ASGS es tomar como espacio de subescalas el espacio de funciones que son residuos de funciones de elementos finitos, es decir, el espacio de funciones de la forma Failed to parse (MathML with SVG or PNG fallback (recommended for modern browsers and accessibility tools): Invalid response ("Math extension cannot connect to Restbase.") from server "https://mathoid.scipedia.com/localhost/v1/":): {\textstyle f-\mathcal{L}\left(v_{h}\right)-\partial _{t} v_{h}} , con Failed to parse (MathML with SVG or PNG fallback (recommended for modern browsers and accessibility tools): Invalid response ("Math extension cannot connect to Restbase.") from server "https://mathoid.scipedia.com/localhost/v1/":): {\textstyle v_h\in \mathcal{W}_h} . Esto nos lleva a que Failed to parse (MathML with SVG or PNG fallback (recommended for modern browsers and accessibility tools): Invalid response ("Math extension cannot connect to Restbase.") from server "https://mathoid.scipedia.com/localhost/v1/":): {\textstyle v_{h,ort} = 0} .

El problema que finalmente obtenemos a partir de (21) y (19) con Failed to parse (MathML with SVG or PNG fallback (recommended for modern browsers and accessibility tools): Invalid response ("Math extension cannot connect to Restbase.") from server "https://mathoid.scipedia.com/localhost/v1/":): {\textstyle v_{h,ort} = 0}

es:

Failed to parse (MathML with SVG or PNG fallback (recommended for modern browsers and accessibility tools): Invalid response ("Math extension cannot connect to Restbase.") from server "https://mathoid.scipedia.com/localhost/v1/":): \left(\partial _{t}u_{h},v_{h}\right)+B\left(u_{h},v_{h}\right)+\underset{e=1}{\overset{n_{el}}{\sum }}\int _{\Omega ^{e}}\left(-\mathcal{L}^{*}\left(v_{h}\right)\right)\tau ^{e}\left[\partial _{t}u_{h}+\mathcal{L}\left(u_{h}\right)-f\right]=\left\langle f,v_{h}\right\rangle \qquad \forall v_{h}\in \mathcal{W}_{h}.
(23)

Esta ecuación variacional discreta, a la cual hay que añadirle las condiciones iniciales, la podemos ahora discretizar en el tiempo usando por ejemplo la regla trapezoidal descrita anteriormente. Para ello, habrá que sustituir Failed to parse (MathML with SVG or PNG fallback (recommended for modern browsers and accessibility tools): Invalid response ("Math extension cannot connect to Restbase.") from server "https://mathoid.scipedia.com/localhost/v1/":): {\textstyle \partial _{t}u_{h}}

por Failed to parse (MathML with SVG or PNG fallback (recommended for modern browsers and accessibility tools): Invalid response ("Math extension cannot connect to Restbase.") from server "https://mathoid.scipedia.com/localhost/v1/":): {\textstyle \delta ^n_{t}u_{h}}
y evaluar el resto de funciones dependientes del tiempo que aparecen en Failed to parse (MathML with SVG or PNG fallback (recommended for modern browsers and accessibility tools): Invalid response ("Math extension cannot connect to Restbase.") from server "https://mathoid.scipedia.com/localhost/v1/":): {\textstyle t^{n+\theta }}

.

El parámetro de estabilización Failed to parse (MathML with SVG or PNG fallback (recommended for modern browsers and accessibility tools): Invalid response ("Math extension cannot connect to Restbase.") from server "https://mathoid.scipedia.com/localhost/v1/":): {\textstyle \tau ^{e}}

para elementos finitos de alto orden está dado por la ecuación Failed to parse (MathML with SVG or PNG fallback (recommended for modern browsers and accessibility tools): Invalid response ("Math extension cannot connect to Restbase.") from server "https://mathoid.scipedia.com/localhost/v1/":): {\textstyle \left(\right. }

22Failed to parse (MathML with SVG or PNG fallback (recommended for modern browsers and accessibility tools): Invalid response ("Math extension cannot connect to Restbase.") from server "https://mathoid.scipedia.com/localhost/v1/":): \left. \right) , el operador Failed to parse (MathML with SVG or PNG fallback (recommended for modern browsers and accessibility tools): Invalid response ("Math extension cannot connect to Restbase.") from server "https://mathoid.scipedia.com/localhost/v1/":): {\textstyle \mathcal{L}}

por Failed to parse (MathML with SVG or PNG fallback (recommended for modern browsers and accessibility tools): Invalid response ("Math extension cannot connect to Restbase.") from server "https://mathoid.scipedia.com/localhost/v1/":): {\textstyle \left(\right. }

2Failed to parse (MathML with SVG or PNG fallback (recommended for modern browsers and accessibility tools): Invalid response ("Math extension cannot connect to Restbase.") from server "https://mathoid.scipedia.com/localhost/v1/":): \left. \right)

y el operador Failed to parse (MathML with SVG or PNG fallback (recommended for modern browsers and accessibility tools): Invalid response ("Math extension cannot connect to Restbase.") from server "https://mathoid.scipedia.com/localhost/v1/":): {\textstyle \mathcal{L}^{*}}
por la ecuación Failed to parse (MathML with SVG or PNG fallback (recommended for modern browsers and accessibility tools): Invalid response ("Math extension cannot connect to Restbase.") from server "https://mathoid.scipedia.com/localhost/v1/":): {\textstyle \left(\right. }

13Failed to parse (MathML with SVG or PNG fallback (recommended for modern browsers and accessibility tools): Invalid response ("Math extension cannot connect to Restbase.") from server "https://mathoid.scipedia.com/localhost/v1/":): \left. \right) .

2.4.3 El método OSS (Orthogonal Subscales Stabilization)

En este caso, el espacio de subescalas no será el espacio de residuos de elementos finitos como en el caso anterior, sino que se toma como espacio Failed to parse (MathML with SVG or PNG fallback (recommended for modern browsers and accessibility tools): Invalid response ("Math extension cannot connect to Restbase.") from server "https://mathoid.scipedia.com/localhost/v1/":): {\textstyle \mathcal{\tilde{W}}}

el espacio ortogonal en el sentido de Failed to parse (MathML with SVG or PNG fallback (recommended for modern browsers and accessibility tools): Invalid response ("Math extension cannot connect to Restbase.") from server "https://mathoid.scipedia.com/localhost/v1/":): {\textstyle L^{2}}
al espacio de elementos finitos, es decir,

Failed to parse (MathML with SVG or PNG fallback (recommended for modern browsers and accessibility tools): Invalid response ("Math extension cannot connect to Restbase.") from server "https://mathoid.scipedia.com/localhost/v1/":): \mathcal{\tilde{W}=\mathcal{W}}_{h}^{\perp },
(24)

que es una legítima elección que cumple con Failed to parse (MathML with SVG or PNG fallback (recommended for modern browsers and accessibility tools): Invalid response ("Math extension cannot connect to Restbase.") from server "https://mathoid.scipedia.com/localhost/v1/":): {\textstyle \mathcal{W}=\mathcal{W}_{h}\oplus \mathcal{\tilde{W}}} .

Tomando en cuenta (24), de (17) se sigue que

Failed to parse (MathML with SVG or PNG fallback (recommended for modern browsers and accessibility tools): Invalid response ("Math extension cannot connect to Restbase.") from server "https://mathoid.scipedia.com/localhost/v1/":): v_{h,{ort}}\in \mathcal{W}_{h},\quad \tilde{u}\in \mathcal{W}_{h}^{\perp },

lo que significa que Failed to parse (MathML with SVG or PNG fallback (recommended for modern browsers and accessibility tools): Invalid response ("Math extension cannot connect to Restbase.") from server "https://mathoid.scipedia.com/localhost/v1/":): {\textstyle v_{h,{ort}}}

es una función del espacio de elementos finitos y por lo tanto numéricamente calculable, mientras que Failed to parse (MathML with SVG or PNG fallback (recommended for modern browsers and accessibility tools): Invalid response ("Math extension cannot connect to Restbase.") from server "https://mathoid.scipedia.com/localhost/v1/":): {\textstyle \tilde{u}}
estará en el espacio ortogonal a Failed to parse (MathML with SVG or PNG fallback (recommended for modern browsers and accessibility tools): Invalid response ("Math extension cannot connect to Restbase.") from server "https://mathoid.scipedia.com/localhost/v1/":): {\textstyle \mathcal{W}_{h}}

. A este espacio Failed to parse (MathML with SVG or PNG fallback (recommended for modern browsers and accessibility tools): Invalid response ("Math extension cannot connect to Restbase.") from server "https://mathoid.scipedia.com/localhost/v1/":): {\textstyle \mathcal{W}_{h}^{\perp }}

escogido para las subescalas Failed to parse (MathML with SVG or PNG fallback (recommended for modern browsers and accessibility tools): Invalid response ("Math extension cannot connect to Restbase.") from server "https://mathoid.scipedia.com/localhost/v1/":): {\textstyle \tilde{u}}
lo denominamos espacio de subescalas ortogonales.

Puesto que Failed to parse (MathML with SVG or PNG fallback (recommended for modern browsers and accessibility tools): Invalid response ("Math extension cannot connect to Restbase.") from server "https://mathoid.scipedia.com/localhost/v1/":): {\textstyle \tilde{u}\in \mathcal{W}_{h}^{\perp }} , de (21) se tiene que

Failed to parse (MathML with SVG or PNG fallback (recommended for modern browsers and accessibility tools): Invalid response ("Math extension cannot connect to Restbase.") from server "https://mathoid.scipedia.com/localhost/v1/":): 0=\int _{\Omega }\tilde{u}v_{h}\approx \overset{n_{{el}}}{\underset{e=1}{\sum }}\int _{\Omega ^{e}}\tau ^{e}\left[f-\mathcal{L}\left(u_{h}\right)-\partial _{t} u_{h}\right]v_{h}+\overset{n_{{el}}}{\underset{e=1}{\sum }}\int _{\Omega ^{e}}\tau ^{e}\left(v_{h,{ort}}\right)v_{h}\qquad \forall v_{h}\in \mathcal{W}_{h}.
(25)

Si llamamos Failed to parse (MathML with SVG or PNG fallback (recommended for modern browsers and accessibility tools): Invalid response ("Math extension cannot connect to Restbase.") from server "https://mathoid.scipedia.com/localhost/v1/":): {\textstyle {\Pi }_{\tau }}

la proyección Failed to parse (MathML with SVG or PNG fallback (recommended for modern browsers and accessibility tools): Invalid response ("Math extension cannot connect to Restbase.") from server "https://mathoid.scipedia.com/localhost/v1/":): {\textstyle L^{2}}
sobre el espacio de elementos finitos pesada con Failed to parse (MathML with SVG or PNG fallback (recommended for modern browsers and accessibility tools): Invalid response ("Math extension cannot connect to Restbase.") from server "https://mathoid.scipedia.com/localhost/v1/":): {\textstyle \tau ^{e}}
dentro de cada elemento, de (25) se tiene que

Failed to parse (MathML with SVG or PNG fallback (recommended for modern browsers and accessibility tools): Invalid response ("Math extension cannot connect to Restbase.") from server "https://mathoid.scipedia.com/localhost/v1/":): v_{h,{ort}}=-{\Pi }_{\tau }\left[f-\mathcal{L}\left(u_{h}\right)-\partial _{t}u_{h}\right].
(26)

Reemplazando (26) en (21) tenemos

Failed to parse (MathML with SVG or PNG fallback (recommended for modern browsers and accessibility tools): Invalid response ("Math extension cannot connect to Restbase.") from server "https://mathoid.scipedia.com/localhost/v1/":): \tilde{u}\approx \tau ^{e}\left[f-\mathcal{L}\left(u_{h}\right)-\partial _{t} u_{h}-{\Pi }_{\tau }\left[f-\mathcal{L}\left(u_{h}\right)-\partial _{t}u_{h}\right]\right].
(27)

Sea ahora

Failed to parse (MathML with SVG or PNG fallback (recommended for modern browsers and accessibility tools): Invalid response ("Math extension cannot connect to Restbase.") from server "https://mathoid.scipedia.com/localhost/v1/":): {\Pi }_{\tau }^{\perp }={I}-{{\Pi }_{\tau }},
(28)

donde Failed to parse (MathML with SVG or PNG fallback (recommended for modern browsers and accessibility tools): Invalid response ("Math extension cannot connect to Restbase.") from server "https://mathoid.scipedia.com/localhost/v1/":): {\textstyle {I}}

es la identidad en Failed to parse (MathML with SVG or PNG fallback (recommended for modern browsers and accessibility tools): Invalid response ("Math extension cannot connect to Restbase.") from server "https://mathoid.scipedia.com/localhost/v1/":): {\textstyle \mathcal{W}_{h}}
y Failed to parse (MathML with SVG or PNG fallback (recommended for modern browsers and accessibility tools): Invalid response ("Math extension cannot connect to Restbase.") from server "https://mathoid.scipedia.com/localhost/v1/":): {\textstyle {\Pi }_{\tau }^{\perp }}
es la proyección sobre el espacio ortogonal al espacio de elementos finitos. La ecuación (27) se puede escribir entonces como

Failed to parse (MathML with SVG or PNG fallback (recommended for modern browsers and accessibility tools): Invalid response ("Math extension cannot connect to Restbase.") from server "https://mathoid.scipedia.com/localhost/v1/":): \tilde{u}\approx \tau ^{e}{\Pi }_{\tau }^{\perp }\left[f-\mathcal{L}\left(u_{h}\right)-\partial _{t}u_{h}\right].
(29)

Podemos reemplazar esta expresión en (15) y usar el hecho de que las integrales sobre los contornos de los elementos son cero, con lo cual obtenemos la formulación estabilizada de elementos finitos OSS que resuelve la ecuación escalar de CDR transitoria, la cual consiste en encontrar Failed to parse (MathML with SVG or PNG fallback (recommended for modern browsers and accessibility tools): Invalid response ("Math extension cannot connect to Restbase.") from server "https://mathoid.scipedia.com/localhost/v1/":): {\textstyle u_{h}(\cdot ,t)\in \mathcal{W}_{h}}

en cada instante de tiempo Failed to parse (MathML with SVG or PNG fallback (recommended for modern browsers and accessibility tools): Invalid response ("Math extension cannot connect to Restbase.") from server "https://mathoid.scipedia.com/localhost/v1/":): {\textstyle t}
tal que

Failed to parse (MathML with SVG or PNG fallback (recommended for modern browsers and accessibility tools): Invalid response ("Math extension cannot connect to Restbase.") from server "https://mathoid.scipedia.com/localhost/v1/":): \left(\partial _{t}u_{h},v_{h}\right)+B\left(u_{h},v_{h}\right)+\underset{e=1}{\overset{n_{el}}{\sum }}\int _{\Omega ^{e}}\left(-\mathcal{L}^{*}\left(v_{h}\right)\right)\tau ^{e}{\Pi }_{\tau }^{\perp }\left[\partial _{t} u_{h}+\mathcal{L}\left(u_{h}\right)-f\right]=\left\langle f,v_{h}\right\rangle \qquad \forall v_{h}\in \mathcal{W}_{h}.
(30)

Podemos aplicar aquí los mismos comentarios que para Failed to parse (MathML with SVG or PNG fallback (recommended for modern browsers and accessibility tools): Invalid response ("Math extension cannot connect to Restbase.") from server "https://mathoid.scipedia.com/localhost/v1/":): {\textstyle \left(\right. } 23Failed to parse (MathML with SVG or PNG fallback (recommended for modern browsers and accessibility tools): Invalid response ("Math extension cannot connect to Restbase.") from server "https://mathoid.scipedia.com/localhost/v1/":): \left. \right) . Sin embargo, hay una consideración importante a tener en cuenta, y es que puesto que Failed to parse (MathML with SVG or PNG fallback (recommended for modern browsers and accessibility tools): Invalid response ("Math extension cannot connect to Restbase.") from server "https://mathoid.scipedia.com/localhost/v1/":): {\textstyle \partial _{t} u_{h}}

es una función que pertenece al espacio de elementos finitos Failed to parse (MathML with SVG or PNG fallback (recommended for modern browsers and accessibility tools): Invalid response ("Math extension cannot connect to Restbase.") from server "https://mathoid.scipedia.com/localhost/v1/":): {\textstyle \mathcal{W}_{h}}

, su componente en el espacio ortogonal es nula, esto es, la ecuación variacional discreta anterior se reduce a

Failed to parse (MathML with SVG or PNG fallback (recommended for modern browsers and accessibility tools): Invalid response ("Math extension cannot connect to Restbase.") from server "https://mathoid.scipedia.com/localhost/v1/":): \left(\partial _{t} u_{h},v_{h}\right)+B\left(u_{h},v_{h}\right)+\underset{e=1}{\overset{n_{el}}{\sum }}\int _{\Omega ^{e}}\left(-\mathcal{L}^{*}\left(v_{h}\right)\right)\tau ^{e}{\Pi }_{\tau }^{\perp }\left[\mathcal{L}\left(u_{h}\right)-f\right]=\left\langle f,v_{h}\right\rangle \qquad \forall v_{h}\in \mathcal{W}_{h}.
(31)

2.4.4 Propiedades de estabilidad y convergencia

Aunque los métodos ASGS y OSS difieren en la definición del espacio de subescalas, ambos tienen las mismas propiedades de estabilidad y convergencia. No es nuestro objetivo presentar el análisis numérico de estos métodos, el cual puede encontrarse en [22] (véase también [23,24] y [25] para la teoría general), sino mostrar en qué sentido dichos métodos son estables y convergen, justificar la expresión del parámetro de estabilización (y en particular de su dependencia en Failed to parse (MathML with SVG or PNG fallback (recommended for modern browsers and accessibility tools): Invalid response ("Math extension cannot connect to Restbase.") from server "https://mathoid.scipedia.com/localhost/v1/":): {\textstyle p} ) e indicar cómo debe ser la integración numérica para preservar la convergencia asociada a la integración exacta. Explotaremos este último punto en el apartado siguiente.

Para simplificar la exposición, consideremos el problema estacionario, con coeficientes constantes, Failed to parse (MathML with SVG or PNG fallback (recommended for modern browsers and accessibility tools): Invalid response ("Math extension cannot connect to Restbase.") from server "https://mathoid.scipedia.com/localhost/v1/":): {\textstyle s = 0}

y malla de elementos finitos uniforme, de tamaño Failed to parse (MathML with SVG or PNG fallback (recommended for modern browsers and accessibility tools): Invalid response ("Math extension cannot connect to Restbase.") from server "https://mathoid.scipedia.com/localhost/v1/":): {\textstyle h}

. En este caso, el parámetro de estabilización dado por (22) será el mismo en todos los elementos.

Los métodos ASGS y OSS se puede demostrar que son estables y convergentes en la norma:

Failed to parse (MathML with SVG or PNG fallback (recommended for modern browsers and accessibility tools): Invalid response ("Math extension cannot connect to Restbase.") from server "https://mathoid.scipedia.com/localhost/v1/":): {\vert \!\vert \!\vert }v_{h}{\vert \!\vert \!\vert }^2 := k \Vert \nabla v_{h}\Vert ^2 + \tau \Vert \mathbf{a}\cdot \nabla v_{h}\Vert ^2,
(32)

donde Failed to parse (MathML with SVG or PNG fallback (recommended for modern browsers and accessibility tools): Invalid response ("Math extension cannot connect to Restbase.") from server "https://mathoid.scipedia.com/localhost/v1/":): {\textstyle \Vert \cdot \Vert }

es la norma de Failed to parse (MathML with SVG or PNG fallback (recommended for modern browsers and accessibility tools): Invalid response ("Math extension cannot connect to Restbase.") from server "https://mathoid.scipedia.com/localhost/v1/":): {\textstyle L^2(\Omega )}

. El punto clave para demostrar esta estabilidad es hacer uso del estimador inverso

Failed to parse (MathML with SVG or PNG fallback (recommended for modern browsers and accessibility tools): Invalid response ("Math extension cannot connect to Restbase.") from server "https://mathoid.scipedia.com/localhost/v1/":): {\Vert \nabla v_{h}\Vert \leq C_{inv}\frac{p^2}{h}\Vert v_{h}\Vert },

válido para cualquier función de elementos finitos Failed to parse (MathML with SVG or PNG fallback (recommended for modern browsers and accessibility tools): Invalid response ("Math extension cannot connect to Restbase.") from server "https://mathoid.scipedia.com/localhost/v1/":): {\textstyle v_h} , siendo Failed to parse (MathML with SVG or PNG fallback (recommended for modern browsers and accessibility tools): Invalid response ("Math extension cannot connect to Restbase.") from server "https://mathoid.scipedia.com/localhost/v1/":): {\textstyle C_{inv}}

una constante que depende de la forma de la malla, pero no de su tamaño Failed to parse (MathML with SVG or PNG fallback (recommended for modern browsers and accessibility tools): Invalid response ("Math extension cannot connect to Restbase.") from server "https://mathoid.scipedia.com/localhost/v1/":): {\textstyle h}
ni del orden de interpolación Failed to parse (MathML with SVG or PNG fallback (recommended for modern browsers and accessibility tools): Invalid response ("Math extension cannot connect to Restbase.") from server "https://mathoid.scipedia.com/localhost/v1/":): {\textstyle p}
. La potencia 2 de Failed to parse (MathML with SVG or PNG fallback (recommended for modern browsers and accessibility tools): Invalid response ("Math extension cannot connect to Restbase.") from server "https://mathoid.scipedia.com/localhost/v1/":): {\textstyle p^2}
es precisamente quien obliga a dividir Failed to parse (MathML with SVG or PNG fallback (recommended for modern browsers and accessibility tools): Invalid response ("Math extension cannot connect to Restbase.") from server "https://mathoid.scipedia.com/localhost/v1/":): {\textstyle h}
por Failed to parse (MathML with SVG or PNG fallback (recommended for modern browsers and accessibility tools): Invalid response ("Math extension cannot connect to Restbase.") from server "https://mathoid.scipedia.com/localhost/v1/":): {\textstyle p^2}
en la contribución del término difusivo en el parámetro de estabilización dado por (22). Con ello tenemos garantizada la estabilidad.

Para analizar la convergencia es necesario hacer uso de las propiedades de interpolación. Si Failed to parse (MathML with SVG or PNG fallback (recommended for modern browsers and accessibility tools): Invalid response ("Math extension cannot connect to Restbase.") from server "https://mathoid.scipedia.com/localhost/v1/":): {\textstyle \Vert \cdot \Vert _{H^r}}

es la norma del espacio de Sobolev Failed to parse (MathML with SVG or PNG fallback (recommended for modern browsers and accessibility tools): Invalid response ("Math extension cannot connect to Restbase.") from server "https://mathoid.scipedia.com/localhost/v1/":): {\textstyle H^r(\Omega )}

, la solución Failed to parse (MathML with SVG or PNG fallback (recommended for modern browsers and accessibility tools): Invalid response ("Math extension cannot connect to Restbase.") from server "https://mathoid.scipedia.com/localhost/v1/":): {\textstyle u}

del problema continuo es suficientemente regular y Failed to parse (MathML with SVG or PNG fallback (recommended for modern browsers and accessibility tools): Invalid response ("Math extension cannot connect to Restbase.") from server "https://mathoid.scipedia.com/localhost/v1/":): {\textstyle \tilde{u}_h}
es su mejor aproximación en el espacio de elementos finitos, se tiene que

Failed to parse (MathML with SVG or PNG fallback (recommended for modern browsers and accessibility tools): Invalid response ("Math extension cannot connect to Restbase.") from server "https://mathoid.scipedia.com/localhost/v1/":): \Vert u - \tilde{u}_h \Vert _{H^r} \leq C \frac{h^{p+1-r}}{p^{p+1-r}} \Vert u\Vert _{H^{p+1}},
(33)

donde los casos de interés corresponden a Failed to parse (MathML with SVG or PNG fallback (recommended for modern browsers and accessibility tools): Invalid response ("Math extension cannot connect to Restbase.") from server "https://mathoid.scipedia.com/localhost/v1/":): {\textstyle r=0}

y Failed to parse (MathML with SVG or PNG fallback (recommended for modern browsers and accessibility tools): Invalid response ("Math extension cannot connect to Restbase.") from server "https://mathoid.scipedia.com/localhost/v1/":): {\textstyle r=1}

. Aquí y en lo que sigue, Failed to parse (MathML with SVG or PNG fallback (recommended for modern browsers and accessibility tools): Invalid response ("Math extension cannot connect to Restbase.") from server "https://mathoid.scipedia.com/localhost/v1/":): {\textstyle C}

es una constante que no depende de la malla. Con este estimador de interpolación, es posible demostrar que la función de error de las formulaciones que consideramos, dada por
Failed to parse (MathML with SVG or PNG fallback (recommended for modern browsers and accessibility tools): Invalid response ("Math extension cannot connect to Restbase.") from server "https://mathoid.scipedia.com/localhost/v1/":): E(h) = k^{1/2} \Vert \nabla u - \nabla \tilde{u}_h\Vert + \tau ^{1/2} \sum _K \Vert -k\Delta (u - \tilde{u}_h) + \mathbf{a}\cdot \nabla (u - \tilde{u}_h)\Vert _K + \tau ^{-1/2}\Vert u - \tilde{u}_h\Vert

se comporta como

Failed to parse (MathML with SVG or PNG fallback (recommended for modern browsers and accessibility tools): Invalid response ("Math extension cannot connect to Restbase.") from server "https://mathoid.scipedia.com/localhost/v1/":): E(h) = \left[k + \frac{\vert \mathbf{a}\vert h}{p} + \min \left(p^2, \frac{\vert \mathbf{a}\vert ^2 h^2}{p^2 k^2}\right)k\right]^{1/2} \frac{h^p}{p^p} \Vert u\Vert _{H^{p+1}}.
(34)

Que Failed to parse (MathML with SVG or PNG fallback (recommended for modern browsers and accessibility tools): Invalid response ("Math extension cannot connect to Restbase.") from server "https://mathoid.scipedia.com/localhost/v1/":): {\textstyle E(h)}

sea la función de error de los métodos ASGS y OSS en la norma (32) quiere decir que
Failed to parse (MathML with SVG or PNG fallback (recommended for modern browsers and accessibility tools): Invalid response ("Math extension cannot connect to Restbase.") from server "https://mathoid.scipedia.com/localhost/v1/":): {\vert \!\vert \!\vert }u - u_{h}{\vert \!\vert \!\vert }\leq C E(h).

En virtud de la expresión (32) de la norma de trabajo y de la función de error (34), se observa que el estimador de error presentado es óptimo tanto para advección dominante como para difusión dominante. Hay que notar sin embargo que si se considera la convergencia en Failed to parse (MathML with SVG or PNG fallback (recommended for modern browsers and accessibility tools): Invalid response ("Math extension cannot connect to Restbase.") from server "https://mathoid.scipedia.com/localhost/v1/":): {\textstyle p} , hay un rango de parámetros en los que se pierde la optimalidad (véase [22]).

El objetivo de haber presentado los resultados de estabilidad y convergencia en este trabajo es doble. Por un lado, justifica la validez de la expresión del parámetro de estabilización (22) para elementos de alto orden, que es el caso que nos ocupa. Por otro lado, nos permite observar que si la integración es numérica y no exacta (como obviamente siempre es el caso), hay un límite de exactitud mínimo para no perder orden de convergencia de la aproximación. En el apartado siguiente presentaremos una modificación del elemento triangular de cuarto orden con una cuadratura numérica asociada. En este caso, Failed to parse (MathML with SVG or PNG fallback (recommended for modern browsers and accessibility tools): Invalid response ("Math extension cannot connect to Restbase.") from server "https://mathoid.scipedia.com/localhost/v1/":): {\textstyle p = 4} , con lo que de acuerdo con (34) la cuadratura debe ser como mínimo de cuarto orden en el caso de difusión dominante y de orden Failed to parse (MathML with SVG or PNG fallback (recommended for modern browsers and accessibility tools): Invalid response ("Math extension cannot connect to Restbase.") from server "https://mathoid.scipedia.com/localhost/v1/":): {\textstyle 9/2}

para convección dominante. De hecho, en presencia de término reactivo (Failed to parse (MathML with SVG or PNG fallback (recommended for modern browsers and accessibility tools): Invalid response ("Math extension cannot connect to Restbase.") from server "https://mathoid.scipedia.com/localhost/v1/":): {\textstyle s>0}

) y con reacción dominante se obtiene que la cuadratura mínima debe ser de quinto orden. Este hecho lo usamos a continuación.

3 Elemento finito triangular modificado de cuarto orden

3.1 Introducción

En el método OSS, para calcular la proyección ortogonal del residuo en la ecuación Failed to parse (MathML with SVG or PNG fallback (recommended for modern browsers and accessibility tools): Invalid response ("Math extension cannot connect to Restbase.") from server "https://mathoid.scipedia.com/localhost/v1/":): {\textstyle \left(\right. } 31Failed to parse (MathML with SVG or PNG fallback (recommended for modern browsers and accessibility tools): Invalid response ("Math extension cannot connect to Restbase.") from server "https://mathoid.scipedia.com/localhost/v1/":): \left. \right) , lo que hacemos es calcular la proyección del residuo en el espacio de elementos finitos. Suponiendo para simplificar que los parámetros de estabilización son iguales para todos los elementos, debemos resolver el sistema

Failed to parse (MathML with SVG or PNG fallback (recommended for modern browsers and accessibility tools): Invalid response ("Math extension cannot connect to Restbase.") from server "https://mathoid.scipedia.com/localhost/v1/":): \int _\Omega v_h \Pi _\tau = \int _\Omega v_h \left[\mathcal{L}(u_h) - f\right], \quad \forall v_h \in \mathcal{W}_h,
(35)

siendo Failed to parse (MathML with SVG or PNG fallback (recommended for modern browsers and accessibility tools): Invalid response ("Math extension cannot connect to Restbase.") from server "https://mathoid.scipedia.com/localhost/v1/":): {\textstyle \Pi _\tau = \Pi _\tau ( \mathcal{L}(u_h) - f)} . Cuando expresamos Failed to parse (MathML with SVG or PNG fallback (recommended for modern browsers and accessibility tools): Invalid response ("Math extension cannot connect to Restbase.") from server "https://mathoid.scipedia.com/localhost/v1/":): {\textstyle \Pi _\tau }

en función de los valores nodales Failed to parse (MathML with SVG or PNG fallback (recommended for modern browsers and accessibility tools): Invalid response ("Math extension cannot connect to Restbase.") from server "https://mathoid.scipedia.com/localhost/v1/":): {\textstyle \mathbf{\Pi }}
y tomamos Failed to parse (MathML with SVG or PNG fallback (recommended for modern browsers and accessibility tools): Invalid response ("Math extension cannot connect to Restbase.") from server "https://mathoid.scipedia.com/localhost/v1/":): {\textstyle v_h}
como las funciones de forma, (35) da lugar al sistema lineal

Failed to parse (MathML with SVG or PNG fallback (recommended for modern browsers and accessibility tools): Invalid response ("Math extension cannot connect to Restbase.") from server "https://mathoid.scipedia.com/localhost/v1/":): \mathbf{M} \mathbf{\Pi } = \mathbf{R},
(36)

donde Failed to parse (MathML with SVG or PNG fallback (recommended for modern browsers and accessibility tools): Invalid response ("Math extension cannot connect to Restbase.") from server "https://mathoid.scipedia.com/localhost/v1/":): {\textstyle \mathbf{R}}

es conocido y Failed to parse (MathML with SVG or PNG fallback (recommended for modern browsers and accessibility tools): Invalid response ("Math extension cannot connect to Restbase.") from server "https://mathoid.scipedia.com/localhost/v1/":): {\textstyle \mathbf{M}}
es la matriz de masa de la partición de elementos finitos. Esta matriz de masa es en principio llena, por lo que es necesario resolver el sistema (36). Sin embargo, es bien sabido que Failed to parse (MathML with SVG or PNG fallback (recommended for modern browsers and accessibility tools): Invalid response ("Math extension cannot connect to Restbase.") from server "https://mathoid.scipedia.com/localhost/v1/":): {\textstyle \mathbf{M}}
se puede aproximar por una matriz diagonal Failed to parse (MathML with SVG or PNG fallback (recommended for modern browsers and accessibility tools): Invalid response ("Math extension cannot connect to Restbase.") from server "https://mathoid.scipedia.com/localhost/v1/":): {\textstyle \mathbf{M}_d}
usando una regla de integración numérica con los puntos de integración en los nodos (cuadratura cerrada) en vez de la integral exacta que aparece en (35). Con ello la resolución del sistema que aproxima a (36) es trivial. El punto clave es que la exactitud de la regla de integración numérica debe preservar la de la aproximación de elementos finitos que se tendría con la integración exacta.

En ocasiones las matrices de masa diagonales obtenidas a través de una cuadratura cerrada presentan en su diagonal valores nulos, lo cual hace que no sean invertibles e imposibilita su uso. En elementos lineales como el Failed to parse (MathML with SVG or PNG fallback (recommended for modern browsers and accessibility tools): Invalid response ("Math extension cannot connect to Restbase.") from server "https://mathoid.scipedia.com/localhost/v1/":): {\textstyle P_1}

(simplicial, es decir, triangular para Failed to parse (MathML with SVG or PNG fallback (recommended for modern browsers and accessibility tools): Invalid response ("Math extension cannot connect to Restbase.") from server "https://mathoid.scipedia.com/localhost/v1/":): {\textstyle d=2}
y tetraédrico para Failed to parse (MathML with SVG or PNG fallback (recommended for modern browsers and accessibility tools): Invalid response ("Math extension cannot connect to Restbase.") from server "https://mathoid.scipedia.com/localhost/v1/":): {\textstyle d=3}

), esta matriz se obtiene directamente utilizando integración cerrada, con todos sus pesos distintos de cero. Lo mismo sucede para elementos cúbicos, mientras que los elementos cuadráticos tienen que subdividirse en elementos lineales y usar cuadradura nodal para la división resultante; con este procedimiento puede obtenerse una matriz de masa diagonal que, si bien reduciría el orden de convergencia en caso de que se reemplazara por ella la matriz de masa original, puede usarse como precondicionador para resolver el sistema (36).

Atención especial merece el elemento de cuarto orden Failed to parse (MathML with SVG or PNG fallback (recommended for modern browsers and accessibility tools): Invalid response ("Math extension cannot connect to Restbase.") from server "https://mathoid.scipedia.com/localhost/v1/":): {\textstyle P_4}

simplicial. Veremos a continuación que es posible modificar el elemento convencional, en el sentido de alterar la posición de los nodos centrales, y plantear una regla de integración numérica con los puntos de integración en los nodos y los pesos distintos de cero, lo cual nos permitirá aproximar la matriz de masa por una matriz diagonal invertible. Además, dicha regla de integración veremos que es capaz de integrar de manera exacta hasta un polinomio completo de quinto grado, con lo que de acuerdo con la discusión del apartado anterior no se disminuirá el orden de aproximación de la formulación final.

Aunque es posible aplicar la modificación que proponemos tanto para Failed to parse (MathML with SVG or PNG fallback (recommended for modern browsers and accessibility tools): Invalid response ("Math extension cannot connect to Restbase.") from server "https://mathoid.scipedia.com/localhost/v1/":): {\textstyle d= 2}

como para Failed to parse (MathML with SVG or PNG fallback (recommended for modern browsers and accessibility tools): Invalid response ("Math extension cannot connect to Restbase.") from server "https://mathoid.scipedia.com/localhost/v1/":): {\textstyle d= 3}

, haremos los desarrollos en el primer caso. Plantearemos el elemento Failed to parse (MathML with SVG or PNG fallback (recommended for modern browsers and accessibility tools): Invalid response ("Math extension cannot connect to Restbase.") from server "https://mathoid.scipedia.com/localhost/v1/":): {\textstyle P_4}

modificado considerando móviles los tres nodos interiores del elemento Failed to parse (MathML with SVG or PNG fallback (recommended for modern browsers and accessibility tools): Invalid response ("Math extension cannot connect to Restbase.") from server "https://mathoid.scipedia.com/localhost/v1/":): {\textstyle P_4}
original y parametrizando la posición de los mismos con una variable cuyo valor será incógnita, al igual que los pesos de la regla de integración nodal asociada; la posición de los 12 nodos restantes es la misma que la del elemento Failed to parse (MathML with SVG or PNG fallback (recommended for modern browsers and accessibility tools): Invalid response ("Math extension cannot connect to Restbase.") from server "https://mathoid.scipedia.com/localhost/v1/":): {\textstyle P_4}
original.

3.2 Descripción del elemento P₄ modificado

En la Figura 1 se representa el elemento en el dominio de referencia, dado por el triángulo Failed to parse (MathML with SVG or PNG fallback (recommended for modern browsers and accessibility tools): Invalid response ("Math extension cannot connect to Restbase.") from server "https://mathoid.scipedia.com/localhost/v1/":): {\textstyle 0\leq x \leq 1} , Failed to parse (MathML with SVG or PNG fallback (recommended for modern browsers and accessibility tools): Invalid response ("Math extension cannot connect to Restbase.") from server "https://mathoid.scipedia.com/localhost/v1/":): {\textstyle 0\leq y \leq 1} , Failed to parse (MathML with SVG or PNG fallback (recommended for modern browsers and accessibility tools): Invalid response ("Math extension cannot connect to Restbase.") from server "https://mathoid.scipedia.com/localhost/v1/":): {\textstyle x + y \leq 1} . Las posiciones de los nodos sobre los lados es la del elemento estándar, pero hemos introducido una variable Failed to parse (MathML with SVG or PNG fallback (recommended for modern browsers and accessibility tools): Invalid response ("Math extension cannot connect to Restbase.") from server "https://mathoid.scipedia.com/localhost/v1/":): {\textstyle z}

para parametrizar  la posición de los tres nodos interiores, obteniéndose así el elemento que llamaremos Failed to parse (MathML with SVG or PNG fallback (recommended for modern browsers and accessibility tools): Invalid response ("Math extension cannot connect to Restbase.") from server "https://mathoid.scipedia.com/localhost/v1/":): {\textstyle P_4}
modificado, con los tres nodos interiores móviles en función del parámetro Failed to parse (MathML with SVG or PNG fallback (recommended for modern browsers and accessibility tools): Invalid response ("Math extension cannot connect to Restbase.") from server "https://mathoid.scipedia.com/localhost/v1/":): {\textstyle z}

. Obsérvese que con Failed to parse (MathML with SVG or PNG fallback (recommended for modern browsers and accessibility tools): Invalid response ("Math extension cannot connect to Restbase.") from server "https://mathoid.scipedia.com/localhost/v1/":): {\textstyle z=1/4}

tendríamos el elemento Failed to parse (MathML with SVG or PNG fallback (recommended for modern browsers and accessibility tools): Invalid response ("Math extension cannot connect to Restbase.") from server "https://mathoid.scipedia.com/localhost/v1/":): {\textstyle P_4}
original.
Elemento P4-modificado con los 3 nodos interiores móviles
Figure 1: Elemento P4-modificado con los 3 nodos interiores móviles

3.3 Integral exacta

Consideremos un polinomio de grado Failed to parse (MathML with SVG or PNG fallback (recommended for modern browsers and accessibility tools): Invalid response ("Math extension cannot connect to Restbase.") from server "https://mathoid.scipedia.com/localhost/v1/":): {\textstyle n}

de la forma:

Failed to parse (MathML with SVG or PNG fallback (recommended for modern browsers and accessibility tools): Invalid response ("Math extension cannot connect to Restbase.") from server "https://mathoid.scipedia.com/localhost/v1/":): p\left(x,y\right)=\overset{n+1}{\underset{i=1}{\sum }}\overset{i}{\underset{j=1}{\sum }}a_{ij}x^{i-j}y^{j-1},
(37)

donde los coeficientes Failed to parse (MathML with SVG or PNG fallback (recommended for modern browsers and accessibility tools): Invalid response ("Math extension cannot connect to Restbase.") from server "https://mathoid.scipedia.com/localhost/v1/":): {\textstyle a_{ij}}

son constantes. La integral exacta Failed to parse (MathML with SVG or PNG fallback (recommended for modern browsers and accessibility tools): Invalid response ("Math extension cannot connect to Restbase.") from server "https://mathoid.scipedia.com/localhost/v1/":): {\textstyle I_{E}}
de Failed to parse (MathML with SVG or PNG fallback (recommended for modern browsers and accessibility tools): Invalid response ("Math extension cannot connect to Restbase.") from server "https://mathoid.scipedia.com/localhost/v1/":): {\textstyle p(x,y)}
sobre la región triangular de la Figura 1 está dada por:

Failed to parse (MathML with SVG or PNG fallback (recommended for modern browsers and accessibility tools): Invalid response ("Math extension cannot connect to Restbase.") from server "https://mathoid.scipedia.com/localhost/v1/":): I_{E}=\sum _{i=1}^{n+1}\sum _{j=1}^{i}a_{ij}\int _{0}^{1}\int _{0}^{1-x}x^{i-j}y^{j-1}{d}y{d}x.
(38)

Sea

Failed to parse (MathML with SVG or PNG fallback (recommended for modern browsers and accessibility tools): Invalid response ("Math extension cannot connect to Restbase.") from server "https://mathoid.scipedia.com/localhost/v1/":): \alpha _{ij}=\int _{0}^{1}\int _{0}^{1-x}x^{i-j}y^{j-1}{d}y{d}x\quad \,\,\,\,\forall i=1,2,...,n+1,\,\,\forall j=1,2,...,i.\qquad
(39)

Reemplazando (39) en (38) tenemos:

Failed to parse (MathML with SVG or PNG fallback (recommended for modern browsers and accessibility tools): Invalid response ("Math extension cannot connect to Restbase.") from server "https://mathoid.scipedia.com/localhost/v1/":): I_{E}=\sum _{i=1}^{n\hbox{+1}}\sum _{j=1}^{i}a_{ij}\alpha _{ij}.
(40)

3.4 Integral numérica

La integral exacta Failed to parse (MathML with SVG or PNG fallback (recommended for modern browsers and accessibility tools): Invalid response ("Math extension cannot connect to Restbase.") from server "https://mathoid.scipedia.com/localhost/v1/":): {\textstyle I_{E}}

vamos a aproximarla mediante una cuadratura cerrada sobre una región triangular con 15 puntos distribuidos de la siguiente manera: 3 puntos (1, 2, 3) en los vértices del triángulo, 9 puntos numerados del 4 al 12 distribuidos simétricamente en los lados del triángulo y los 3 puntos móviles interiores restantes (13, 14, 15) distribuidos simétricamente como se ve en la Figura 2.
Posición de los 15 puntos de integración numérica
Figure 2: Posición de los 15 puntos de integración numérica

Los pesos Failed to parse (MathML with SVG or PNG fallback (recommended for modern browsers and accessibility tools): Invalid response ("Math extension cannot connect to Restbase.") from server "https://mathoid.scipedia.com/localhost/v1/":): {\textstyle w_{1},w_{2},w_{3}}

y Failed to parse (MathML with SVG or PNG fallback (recommended for modern browsers and accessibility tools): Invalid response ("Math extension cannot connect to Restbase.") from server "https://mathoid.scipedia.com/localhost/v1/":): {\textstyle w_{4}}
están asociados a los puntos detallados en la Figura 3 para los 15 puntos de integración. Estos pesos, junto con el parámetro Failed to parse (MathML with SVG or PNG fallback (recommended for modern browsers and accessibility tools): Invalid response ("Math extension cannot connect to Restbase.") from server "https://mathoid.scipedia.com/localhost/v1/":): {\textstyle z}

, son las incógnitas a determinar.

Pesos para los 15 puntos de integración numérica
Figure 3: Pesos para los 15 puntos de integración numérica

Con las posiciones y los pesos de los 15 puntos de integración que se detallan en las Figuras 2 y 3, planteamos la integral numérica, Failed to parse (MathML with SVG or PNG fallback (recommended for modern browsers and accessibility tools): Invalid response ("Math extension cannot connect to Restbase.") from server "https://mathoid.scipedia.com/localhost/v1/":): {\textstyle I_{N}} , como sigue:

Failed to parse (MathML with SVG or PNG fallback (recommended for modern browsers and accessibility tools): Invalid response ("Math extension cannot connect to Restbase.") from server "https://mathoid.scipedia.com/localhost/v1/":): I_{N} = \sum _{k=1}^{3}w_{1}p\left(x_{k},y_{k}\right)+\sum _{k=1}^{3}w_{2}p\left(x_{3k+2},y_{3k+2}\right)+\sum _{k=1}^{3}w_{3}p\left(x_{3k+1},y_{3k+1}\right)
Failed to parse (MathML with SVG or PNG fallback (recommended for modern browsers and accessibility tools): Invalid response ("Math extension cannot connect to Restbase.") from server "https://mathoid.scipedia.com/localhost/v1/":): +\sum _{k=1}^{3}w_{3}p\left(x_{3k+3},y_{3k+3}\right)+\sum _{k=1}^{3}w_{4}p\left(x_{12+k},y_{12+k}\right)
(41)

De la ecuación (41), reemplazando Failed to parse (MathML with SVG or PNG fallback (recommended for modern browsers and accessibility tools): Invalid response ("Math extension cannot connect to Restbase.") from server "https://mathoid.scipedia.com/localhost/v1/":): {\textstyle p(x,y)}

dado en la ecuación (37) y agrupando términos, obtenemos:

Failed to parse (MathML with SVG or PNG fallback (recommended for modern browsers and accessibility tools): Invalid response ("Math extension cannot connect to Restbase.") from server "https://mathoid.scipedia.com/localhost/v1/":): I_{N} = \sum _{k=1}^{3}(\sum _{i=1}^{n+1}\sum _{j=1}^{i}a_{ij}(w_{1}x_{k}^{i-j} y_{k}^{j-1} +w_{2}x_{3k+2}^{i-j} y_{3k+2}^{j-1}+w_{3}x_{3k+1}^{i-j}y_{3k+1}^{j-1}
Failed to parse (MathML with SVG or PNG fallback (recommended for modern browsers and accessibility tools): Invalid response ("Math extension cannot connect to Restbase.") from server "https://mathoid.scipedia.com/localhost/v1/":): \quad + w_{3}x_{3k+3}^{i-j}y_{3k+3}^{j-1}+w_{4}x_{12+k}^{i-j}y_{12+k}^{j-1}))
Failed to parse (MathML with SVG or PNG fallback (recommended for modern browsers and accessibility tools): Invalid response ("Math extension cannot connect to Restbase.") from server "https://mathoid.scipedia.com/localhost/v1/":): = \sum _{i=1}^{n+1}\sum _{j=1}^{i}a_{ij}\sum _{k=1}^{3}(w_{1}x_{k}^{i-j}y_{k}^{j-1}+w_{2}x_{3k+2}^{i-j}y_{3k+2}^{j-1}+w_{3}x_{3k+1}^{i-j}y_{3k+1}^{j-1}
Failed to parse (MathML with SVG or PNG fallback (recommended for modern browsers and accessibility tools): Invalid response ("Math extension cannot connect to Restbase.") from server "https://mathoid.scipedia.com/localhost/v1/":): \quad +w_{3}x_{3k+3}^{i-j}y_{3k+3}^{j-1}+w_{4}x_{12+k}^{i-j}y_{12+k}^{j-1}).
(42)

Puesto queremos que la integral exacta y la integral numérica sean iguales, esto es Failed to parse (MathML with SVG or PNG fallback (recommended for modern browsers and accessibility tools): Invalid response ("Math extension cannot connect to Restbase.") from server "https://mathoid.scipedia.com/localhost/v1/":): {\textstyle I_{E}=I_{N}} , de las ecuaciones (40) y (42) se tiene que:

Failed to parse (MathML with SVG or PNG fallback (recommended for modern browsers and accessibility tools): Invalid response ("Math extension cannot connect to Restbase.") from server "https://mathoid.scipedia.com/localhost/v1/":): \alpha _{ij} = \sum _{k=1}^{3}(w_{1}x_{k}^{i-j}y_{k}^{j-1}+w_{2}x_{3k+2}^{i-j}y_{3k+2}^{j-1}+w_{3}x_{3k+1}^{i-j}y_{3k+1}^{j-1}
Failed to parse (MathML with SVG or PNG fallback (recommended for modern browsers and accessibility tools): Invalid response ("Math extension cannot connect to Restbase.") from server "https://mathoid.scipedia.com/localhost/v1/":): \quad +w_{3}x_{3k+3}^{i-j}y_{3k+3}^{j-1}+w_{4}x_{12+k}^{i-j}y_{12+k}^{j-1}),
(43)

para todo Failed to parse (MathML with SVG or PNG fallback (recommended for modern browsers and accessibility tools): Invalid response ("Math extension cannot connect to Restbase.") from server "https://mathoid.scipedia.com/localhost/v1/":): {\textstyle i=1,2,...,n+1} , Failed to parse (MathML with SVG or PNG fallback (recommended for modern browsers and accessibility tools): Invalid response ("Math extension cannot connect to Restbase.") from server "https://mathoid.scipedia.com/localhost/v1/":): {\textstyle j=1,2,...,i} , donde Failed to parse (MathML with SVG or PNG fallback (recommended for modern browsers and accessibility tools): Invalid response ("Math extension cannot connect to Restbase.") from server "https://mathoid.scipedia.com/localhost/v1/":): {\textstyle n}

es el grado del polinomio completo cuya integral exacta sobre una región triangular se quiere calcular numéricamente.

Las ecuaciones (39) y (43) nos permiten obtener un sistema de ecuaciones no lineal para determinar Failed to parse (MathML with SVG or PNG fallback (recommended for modern browsers and accessibility tools): Invalid response ("Math extension cannot connect to Restbase.") from server "https://mathoid.scipedia.com/localhost/v1/":): {\textstyle w_{1}} , Failed to parse (MathML with SVG or PNG fallback (recommended for modern browsers and accessibility tools): Invalid response ("Math extension cannot connect to Restbase.") from server "https://mathoid.scipedia.com/localhost/v1/":): {\textstyle w_{2}} , Failed to parse (MathML with SVG or PNG fallback (recommended for modern browsers and accessibility tools): Invalid response ("Math extension cannot connect to Restbase.") from server "https://mathoid.scipedia.com/localhost/v1/":): {\textstyle w_{3}} , Failed to parse (MathML with SVG or PNG fallback (recommended for modern browsers and accessibility tools): Invalid response ("Math extension cannot connect to Restbase.") from server "https://mathoid.scipedia.com/localhost/v1/":): {\textstyle w_4}

y Failed to parse (MathML with SVG or PNG fallback (recommended for modern browsers and accessibility tools): Invalid response ("Math extension cannot connect to Restbase.") from server "https://mathoid.scipedia.com/localhost/v1/":): {\textstyle z}

. Recordemos que los puntos Failed to parse (MathML with SVG or PNG fallback (recommended for modern browsers and accessibility tools): Invalid response ("Math extension cannot connect to Restbase.") from server "https://mathoid.scipedia.com/localhost/v1/":): {\textstyle (x_{k},y_{k}),}

Failed to parse (MathML with SVG or PNG fallback (recommended for modern browsers and accessibility tools): Invalid response ("Math extension cannot connect to Restbase.") from server "https://mathoid.scipedia.com/localhost/v1/":): {\textstyle (x_{3k+1},y_{3k+1}),}
Failed to parse (MathML with SVG or PNG fallback (recommended for modern browsers and accessibility tools): Invalid response ("Math extension cannot connect to Restbase.") from server "https://mathoid.scipedia.com/localhost/v1/":): {\textstyle (x_{3k+2},y_{3k+2}),}
Failed to parse (MathML with SVG or PNG fallback (recommended for modern browsers and accessibility tools): Invalid response ("Math extension cannot connect to Restbase.") from server "https://mathoid.scipedia.com/localhost/v1/":): {\textstyle (x_{3k+3},y_{3k+3})}

, Failed to parse (MathML with SVG or PNG fallback (recommended for modern browsers and accessibility tools): Invalid response ("Math extension cannot connect to Restbase.") from server "https://mathoid.scipedia.com/localhost/v1/":): {\textstyle k=1,2,3} , son las coordenadas de los 12 puntos ubicados en los vértices y lados del triángulo respectivamente, y los puntos Failed to parse (MathML with SVG or PNG fallback (recommended for modern browsers and accessibility tools): Invalid response ("Math extension cannot connect to Restbase.") from server "https://mathoid.scipedia.com/localhost/v1/":): {\textstyle (x_{12+k},y_{12+k})} , Failed to parse (MathML with SVG or PNG fallback (recommended for modern browsers and accessibility tools): Invalid response ("Math extension cannot connect to Restbase.") from server "https://mathoid.scipedia.com/localhost/v1/":): {\textstyle k=1,2,3} , son las coordenadas de los 3 puntos interiores cuya ubicación está parametrizada con la variable Failed to parse (MathML with SVG or PNG fallback (recommended for modern browsers and accessibility tools): Invalid response ("Math extension cannot connect to Restbase.") from server "https://mathoid.scipedia.com/localhost/v1/":): {\textstyle z} .

3.5 Cuadratura cerrada para integración exacta de un polinomio de cuarto grado

Utilizando las ecuaciones (39) y (43) para Failed to parse (MathML with SVG or PNG fallback (recommended for modern browsers and accessibility tools): Invalid response ("Math extension cannot connect to Restbase.") from server "https://mathoid.scipedia.com/localhost/v1/":): {\textstyle n=4,}

fácilmente se puede plantear el sistema no lineal de 15 ecuaciones para integrar exactamente un polinomio completo de cuarto grado. De las 15 ecuaciones, obtenemos tres ecuaciones linealmente independientes en términos del parámetro Failed to parse (MathML with SVG or PNG fallback (recommended for modern browsers and accessibility tools): Invalid response ("Math extension cannot connect to Restbase.") from server "https://mathoid.scipedia.com/localhost/v1/":): {\textstyle z}

, que son:

Failed to parse (MathML with SVG or PNG fallback (recommended for modern browsers and accessibility tools): Invalid response ("Math extension cannot connect to Restbase.") from server "https://mathoid.scipedia.com/localhost/v1/":): \frac{w_{2}}{16}+\frac{15}{128}w_{3}+(-9z^{4}+13z^{3}-6z^{2}+z)w_{4} =\frac{1}{120},
Failed to parse (MathML with SVG or PNG fallback (recommended for modern browsers and accessibility tools): Invalid response ("Math extension cannot connect to Restbase.") from server "https://mathoid.scipedia.com/localhost/v1/":): \frac{w_{2}}{16}+\frac{9}{128}w_{3}+(9z^{4}-8z^{3}+2z^{2})w_{4} =\frac{1}{180},
Failed to parse (MathML with SVG or PNG fallback (recommended for modern browsers and accessibility tools): Invalid response ("Math extension cannot connect to Restbase.") from server "https://mathoid.scipedia.com/localhost/v1/":): \frac{w_{2}}{8}+\frac{3}{16}w_{3}+(3z^{3}-3z^{2}+z)w_{4} =\frac{1}{60}.

Resolviendo este sistema de ecuaciones en términos del parámetro Failed to parse (MathML with SVG or PNG fallback (recommended for modern browsers and accessibility tools): Invalid response ("Math extension cannot connect to Restbase.") from server "https://mathoid.scipedia.com/localhost/v1/":): {\textstyle z} , se tiene:

Failed to parse (MathML with SVG or PNG fallback (recommended for modern browsers and accessibility tools): Invalid response ("Math extension cannot connect to Restbase.") from server "https://mathoid.scipedia.com/localhost/v1/":): w_{2} =\frac{72z^{3}-77z^{2}+27z-3}{45z(2z-1)}, (44)
Failed to parse (MathML with SVG or PNG fallback (recommended for modern browsers and accessibility tools): Invalid response ("Math extension cannot connect to Restbase.") from server "https://mathoid.scipedia.com/localhost/v1/":): w_{3} =\frac{-8(18z^{3}-23z^{2}+9z-1}{135z(2z-1)}, (45)
Failed to parse (MathML with SVG or PNG fallback (recommended for modern browsers and accessibility tools): Invalid response ("Math extension cannot connect to Restbase.") from server "https://mathoid.scipedia.com/localhost/v1/":): w_{4} =\frac{-1}{360z^{2}(2z-1)}. (46)

Para obtener la ecuación parametrizada para Failed to parse (MathML with SVG or PNG fallback (recommended for modern browsers and accessibility tools): Invalid response ("Math extension cannot connect to Restbase.") from server "https://mathoid.scipedia.com/localhost/v1/":): {\textstyle w_{1}} , podemos usar la primera ecuación del sistema de 15 ecuaciones mencionado anteriormente. Reemplazando Failed to parse (MathML with SVG or PNG fallback (recommended for modern browsers and accessibility tools): Invalid response ("Math extension cannot connect to Restbase.") from server "https://mathoid.scipedia.com/localhost/v1/":): {\textstyle i=1,}

Failed to parse (MathML with SVG or PNG fallback (recommended for modern browsers and accessibility tools): Invalid response ("Math extension cannot connect to Restbase.") from server "https://mathoid.scipedia.com/localhost/v1/":): {\textstyle j=1,}
en las ecuaciones (39) y (43), tenemos respectivamente:

Failed to parse (MathML with SVG or PNG fallback (recommended for modern browsers and accessibility tools): Invalid response ("Math extension cannot connect to Restbase.") from server "https://mathoid.scipedia.com/localhost/v1/":): \alpha _{11} =\int _{0}^{1}\int _{0}^{1-x}{d}y {d}x = \frac{1}{2}, (47)
Failed to parse (MathML with SVG or PNG fallback (recommended for modern browsers and accessibility tools): Invalid response ("Math extension cannot connect to Restbase.") from server "https://mathoid.scipedia.com/localhost/v1/":): \alpha _{11} =3w_{1}+3w_{2}+6w_{3}+3w_{4}. (48)

Igualando las ecuaciones (47) y (48) y reemplazando las ecuaciones (44), (45) y (46), tenemos:

Failed to parse (MathML with SVG or PNG fallback (recommended for modern browsers and accessibility tools): Invalid response ("Math extension cannot connect to Restbase.") from server "https://mathoid.scipedia.com/localhost/v1/":): w_{1}=\frac{288z^{3}-224z^{2}+50z-3}{1080z^{2}}.
(49)

Las ecuaciones parametrizadas (44), (45), (46) y (49), verifican las 11 ecuaciones restantes del sistema no lineal de 15 ecuaciones planteadas para Failed to parse (MathML with SVG or PNG fallback (recommended for modern browsers and accessibility tools): Invalid response ("Math extension cannot connect to Restbase.") from server "https://mathoid.scipedia.com/localhost/v1/":): {\textstyle n=4.}

Por lo tanto, con las ecuaciones parametrizadas para Failed to parse (MathML with SVG or PNG fallback (recommended for modern browsers and accessibility tools): Invalid response ("Math extension cannot connect to Restbase.") from server "https://mathoid.scipedia.com/localhost/v1/":): {\textstyle w_{1},w_{2},w_{3}}
y Failed to parse (MathML with SVG or PNG fallback (recommended for modern browsers and accessibility tools): Invalid response ("Math extension cannot connect to Restbase.") from server "https://mathoid.scipedia.com/localhost/v1/":): {\textstyle w_{4}}
hemos obtenido un conjunto infinito de soluciones de parámetro Failed to parse (MathML with SVG or PNG fallback (recommended for modern browsers and accessibility tools): Invalid response ("Math extension cannot connect to Restbase.") from server "https://mathoid.scipedia.com/localhost/v1/":): {\textstyle z}

. Por ejemplo para Failed to parse (MathML with SVG or PNG fallback (recommended for modern browsers and accessibility tools): Invalid response ("Math extension cannot connect to Restbase.") from server "https://mathoid.scipedia.com/localhost/v1/":): {\textstyle z=\frac{1}{6}}

tenemos: Failed to parse (MathML with SVG or PNG fallback (recommended for modern browsers and accessibility tools): Invalid response ("Math extension cannot connect to Restbase.") from server "https://mathoid.scipedia.com/localhost/v1/":): {\textstyle w_{1}=\frac{2}{135},\,w_{2}=\frac{11}{180},\,w_{3}=\frac{-4}{135},\,w_{4}=\frac{3}{20}}

, donde observamos que todos los pesos son distintos de cero. Como observación, notemos que para Failed to parse (MathML with SVG or PNG fallback (recommended for modern browsers and accessibility tools): Invalid response ("Math extension cannot connect to Restbase.") from server "https://mathoid.scipedia.com/localhost/v1/":): {\textstyle z=\frac{1}{4}} , nos da, Failed to parse (MathML with SVG or PNG fallback (recommended for modern browsers and accessibility tools): Invalid response ("Math extension cannot connect to Restbase.") from server "https://mathoid.scipedia.com/localhost/v1/":): {\textstyle w_{1}=0,\,w_{2}=-\frac{1}{90},\,w_{3}=\frac{2}{45},\,w_{4}=\frac{4}{45},}

que es la cuadratura cerrada con los puntos de integración numérica coincidiendo con los nodos del elemento Failed to parse (MathML with SVG or PNG fallback (recommended for modern browsers and accessibility tools): Invalid response ("Math extension cannot connect to Restbase.") from server "https://mathoid.scipedia.com/localhost/v1/":): {\textstyle P_4}
original, donde no todos los pesos son distintos de cero.

3.6 Cuadratura cerrada para integración exacta de un polinomio de quinto grado

En el apartado anterior hemos obtenido un conjunto infinito de cuadraturas cerradas que integran en forma exacta hasta un polinomio completo de cuarto grado sobre una región triangular con puntos de integración coincidentes con los nodos del elemento Failed to parse (MathML with SVG or PNG fallback (recommended for modern browsers and accessibility tools): Invalid response ("Math extension cannot connect to Restbase.") from server "https://mathoid.scipedia.com/localhost/v1/":): {\textstyle P_4}

modificado, con sus tres nodos interiores móviles dependientes del parámetro Failed to parse (MathML with SVG or PNG fallback (recommended for modern browsers and accessibility tools): Invalid response ("Math extension cannot connect to Restbase.") from server "https://mathoid.scipedia.com/localhost/v1/":): {\textstyle z}

, y con valores de Failed to parse (MathML with SVG or PNG fallback (recommended for modern browsers and accessibility tools): Invalid response ("Math extension cannot connect to Restbase.") from server "https://mathoid.scipedia.com/localhost/v1/":): {\textstyle z}

para los cuales todos los pesos son distintos de cero. Ahora nos proponemos obtener de este conjunto infinito de cuadraturas, al menos una cuadratura que integre exactamente un polinomio completo de quinto grado, también con todos sus pesos distintos de cero.

Utilizando las ecuaciones (39) y (43) para Failed to parse (MathML with SVG or PNG fallback (recommended for modern browsers and accessibility tools): Invalid response ("Math extension cannot connect to Restbase.") from server "https://mathoid.scipedia.com/localhost/v1/":): {\textstyle n=5,}

obtenemos 6 ecuaciones no lineales adicionales al sistema no lineal anterior de 15 ecuaciones. De estas 6 ecuaciones adicionales, solo 1 es linealmente independiente con el sistema anterior, la misma que se obtiene reemplazando Failed to parse (MathML with SVG or PNG fallback (recommended for modern browsers and accessibility tools): Invalid response ("Math extension cannot connect to Restbase.") from server "https://mathoid.scipedia.com/localhost/v1/":): {\textstyle i=6}
y Failed to parse (MathML with SVG or PNG fallback (recommended for modern browsers and accessibility tools): Invalid response ("Math extension cannot connect to Restbase.") from server "https://mathoid.scipedia.com/localhost/v1/":): {\textstyle j=1}
en las ecuaciones (39) y (43):

Failed to parse (MathML with SVG or PNG fallback (recommended for modern browsers and accessibility tools): Invalid response ("Math extension cannot connect to Restbase.") from server "https://mathoid.scipedia.com/localhost/v1/":): w_{1}+\frac{w_{2}}{16}+\frac{61}{128}w_{3}+(2z^{5}+(1-2z)^{5}w_{4})=\frac{1}{42}.
(50)

Reemplazando en la ecuación (50) las soluciones parametrizadas de Failed to parse (MathML with SVG or PNG fallback (recommended for modern browsers and accessibility tools): Invalid response ("Math extension cannot connect to Restbase.") from server "https://mathoid.scipedia.com/localhost/v1/":): {\textstyle w_{1},w_{2},w_{3}}

y Failed to parse (MathML with SVG or PNG fallback (recommended for modern browsers and accessibility tools): Invalid response ("Math extension cannot connect to Restbase.") from server "https://mathoid.scipedia.com/localhost/v1/":): {\textstyle w_{4}}
dadas por las ecuaciones (49), (44), (45) y (46) respectivamente, se obtiene la ecuación:

Failed to parse (MathML with SVG or PNG fallback (recommended for modern browsers and accessibility tools): Invalid response ("Math extension cannot connect to Restbase.") from server "https://mathoid.scipedia.com/localhost/v1/":): \frac{z^{2}}{2}-\frac{z}{3}+\frac{1}{21}=0,
(51)

cuya solución es:

Failed to parse (MathML with SVG or PNG fallback (recommended for modern browsers and accessibility tools): Invalid response ("Math extension cannot connect to Restbase.") from server "https://mathoid.scipedia.com/localhost/v1/":): z=\frac{7+\sqrt{7}}{21},\qquad z=\frac{7-\sqrt{7}}{21}.
(52)

Reemplazando las soluciones parametrizadas de Failed to parse (MathML with SVG or PNG fallback (recommended for modern browsers and accessibility tools): Invalid response ("Math extension cannot connect to Restbase.") from server "https://mathoid.scipedia.com/localhost/v1/":): {\textstyle w_{1},w_{2},w_{3}}

y Failed to parse (MathML with SVG or PNG fallback (recommended for modern browsers and accessibility tools): Invalid response ("Math extension cannot connect to Restbase.") from server "https://mathoid.scipedia.com/localhost/v1/":): {\textstyle w_{4}}
en las 5 ecuaciones restantes, es decir, para Failed to parse (MathML with SVG or PNG fallback (recommended for modern browsers and accessibility tools): Invalid response ("Math extension cannot connect to Restbase.") from server "https://mathoid.scipedia.com/localhost/v1/":): {\textstyle i=6}
y Failed to parse (MathML with SVG or PNG fallback (recommended for modern browsers and accessibility tools): Invalid response ("Math extension cannot connect to Restbase.") from server "https://mathoid.scipedia.com/localhost/v1/":): {\textstyle j=2,3,4,5,6}
en la ecuaciones (39) y (43), se obtiene la misma ecuación (51), con lo cual la solución es única para todas las ecuaciones del sistema.

De las dos soluciones de Failed to parse (MathML with SVG or PNG fallback (recommended for modern browsers and accessibility tools): Invalid response ("Math extension cannot connect to Restbase.") from server "https://mathoid.scipedia.com/localhost/v1/":): {\textstyle z} , vamos a encontrar la cuadratura cerrada para:

Failed to parse (MathML with SVG or PNG fallback (recommended for modern browsers and accessibility tools): Invalid response ("Math extension cannot connect to Restbase.") from server "https://mathoid.scipedia.com/localhost/v1/":): z=\frac{7-\sqrt{7}}{21}.
(53)

Reemplazando el valor Failed to parse (MathML with SVG or PNG fallback (recommended for modern browsers and accessibility tools): Invalid response ("Math extension cannot connect to Restbase.") from server "https://mathoid.scipedia.com/localhost/v1/":): {\textstyle z}

de la ecuación (53) en las ecuaciones parametrizadas (49), (44), (45) y (46) se obtienen los pesos Failed to parse (MathML with SVG or PNG fallback (recommended for modern browsers and accessibility tools): Invalid response ("Math extension cannot connect to Restbase.") from server "https://mathoid.scipedia.com/localhost/v1/":): {\textstyle w_{1},w_{2},w_{3}}
y Failed to parse (MathML with SVG or PNG fallback (recommended for modern browsers and accessibility tools): Invalid response ("Math extension cannot connect to Restbase.") from server "https://mathoid.scipedia.com/localhost/v1/":): {\textstyle w_{4}}

, todos distintos de cero:

Failed to parse (MathML with SVG or PNG fallback (recommended for modern browsers and accessibility tools): Invalid response ("Math extension cannot connect to Restbase.") from server "https://mathoid.scipedia.com/localhost/v1/":): w_{1}=\frac{11\sqrt{7}}{15120}+\frac{1}{216},\qquad \qquad \qquad w_{2}=\frac{11\sqrt{7}}{630}-\frac{1}{30},
Failed to parse (MathML with SVG or PNG fallback (recommended for modern browsers and accessibility tools): Invalid response ("Math extension cannot connect to Restbase.") from server "https://mathoid.scipedia.com/localhost/v1/":): w_{3}=\frac{4}{135}-\frac{4\sqrt{7}}{945},\qquad \qquad \qquad w_{4}=\frac{49}{360}-\frac{7\sqrt{7}}{720}.

Con todo esto, hemos obtenido un elemento Failed to parse (MathML with SVG or PNG fallback (recommended for modern browsers and accessibility tools): Invalid response ("Math extension cannot connect to Restbase.") from server "https://mathoid.scipedia.com/localhost/v1/":): {\textstyle P_4}

modificado, con las posiciones de los nodos interiores dadas por Failed to parse (MathML with SVG or PNG fallback (recommended for modern browsers and accessibility tools): Invalid response ("Math extension cannot connect to Restbase.") from server "https://mathoid.scipedia.com/localhost/v1/":): {\textstyle z=\frac{7-\sqrt{7}}{21}}

, y cuya cuadratura cerrada sobre una región triangular con puntos de integración coincidentes con los nodos del elemento Failed to parse (MathML with SVG or PNG fallback (recommended for modern browsers and accessibility tools): Invalid response ("Math extension cannot connect to Restbase.") from server "https://mathoid.scipedia.com/localhost/v1/":): {\textstyle P_4}

modificado integra de forma exacta hasta un polinomio completo de quinto grado, siendo todos los pesos distintos de cero.

La matriz de masa aproximada que se obtiene con la cuadratura cerrada sobre el elemento Failed to parse (MathML with SVG or PNG fallback (recommended for modern browsers and accessibility tools): Invalid response ("Math extension cannot connect to Restbase.") from server "https://mathoid.scipedia.com/localhost/v1/":): {\textstyle P_4}

modificado es una matriz diagonal con todos sus elementos distintos de cero. Este elemento Failed to parse (MathML with SVG or PNG fallback (recommended for modern browsers and accessibility tools): Invalid response ("Math extension cannot connect to Restbase.") from server "https://mathoid.scipedia.com/localhost/v1/":): {\textstyle P_4}
modificado es el que utilizamos en todos nuestros ejemplos numéricos  para el cálculo de la proyección ortogonal del residuo en el método OSS.

En la Tabla 1 presentamos la cuadratura cerrada del elemento Failed to parse (MathML with SVG or PNG fallback (recommended for modern browsers and accessibility tools): Invalid response ("Math extension cannot connect to Restbase.") from server "https://mathoid.scipedia.com/localhost/v1/":): {\textstyle P_4}

modificado que acabamos de obtener.

Failed to parse (MathML with SVG or PNG fallback (recommended for modern browsers and accessibility tools): Invalid response ("Math extension cannot connect to Restbase.") from server "https://mathoid.scipedia.com/localhost/v1/":): \;a=\frac{11\sqrt{7}}{15120}+\frac{1}{216},\qquad


Failed to parse (MathML with SVG or PNG fallback (recommended for modern browsers and accessibility tools): Invalid response ("Math extension cannot connect to Restbase.") from server "https://mathoid.scipedia.com/localhost/v1/":): {\textstyle b=\frac{11\sqrt{7}}{630}-\frac{1}{30},}


Failed to parse (MathML with SVG or PNG fallback (recommended for modern browsers and accessibility tools): Invalid response ("Math extension cannot connect to Restbase.") from server "https://mathoid.scipedia.com/localhost/v1/":): {\textstyle \;c=\frac{4}{135}-\frac{4\sqrt{7}}{945},\qquad \quad \,d=\frac{49}{360}-\frac{7\sqrt{7}}{720}.}


Table. 1 Cuadratura cerrada del elemento Failed to parse (MathML with SVG or PNG fallback (recommended for modern browsers and accessibility tools): Invalid response ("Math extension cannot connect to Restbase.") from server "https://mathoid.scipedia.com/localhost/v1/":): P_4 modificado
Puntos Failed to parse (MathML with SVG or PNG fallback (recommended for modern browsers and accessibility tools): Invalid response ("Math extension cannot connect to Restbase.") from server "https://mathoid.scipedia.com/localhost/v1/":): x Failed to parse (MathML with SVG or PNG fallback (recommended for modern browsers and accessibility tools): Invalid response ("Math extension cannot connect to Restbase.") from server "https://mathoid.scipedia.com/localhost/v1/":): y Pesos
1 0 0 Failed to parse (MathML with SVG or PNG fallback (recommended for modern browsers and accessibility tools): Invalid response ("Math extension cannot connect to Restbase.") from server "https://mathoid.scipedia.com/localhost/v1/":): a
2 1 0 Failed to parse (MathML with SVG or PNG fallback (recommended for modern browsers and accessibility tools): Invalid response ("Math extension cannot connect to Restbase.") from server "https://mathoid.scipedia.com/localhost/v1/":): a
3 0 1 Failed to parse (MathML with SVG or PNG fallback (recommended for modern browsers and accessibility tools): Invalid response ("Math extension cannot connect to Restbase.") from server "https://mathoid.scipedia.com/localhost/v1/":): a
4 1/4 0 Failed to parse (MathML with SVG or PNG fallback (recommended for modern browsers and accessibility tools): Invalid response ("Math extension cannot connect to Restbase.") from server "https://mathoid.scipedia.com/localhost/v1/":): c
5 1/2 0 Failed to parse (MathML with SVG or PNG fallback (recommended for modern browsers and accessibility tools): Invalid response ("Math extension cannot connect to Restbase.") from server "https://mathoid.scipedia.com/localhost/v1/":): b
6 3/4 0 Failed to parse (MathML with SVG or PNG fallback (recommended for modern browsers and accessibility tools): Invalid response ("Math extension cannot connect to Restbase.") from server "https://mathoid.scipedia.com/localhost/v1/":): c
7 3/4 1/4 Failed to parse (MathML with SVG or PNG fallback (recommended for modern browsers and accessibility tools): Invalid response ("Math extension cannot connect to Restbase.") from server "https://mathoid.scipedia.com/localhost/v1/":): c
8 1/2 1/2 Failed to parse (MathML with SVG or PNG fallback (recommended for modern browsers and accessibility tools): Invalid response ("Math extension cannot connect to Restbase.") from server "https://mathoid.scipedia.com/localhost/v1/":): b
9 1/4 3/4 Failed to parse (MathML with SVG or PNG fallback (recommended for modern browsers and accessibility tools): Invalid response ("Math extension cannot connect to Restbase.") from server "https://mathoid.scipedia.com/localhost/v1/":): c
10 0 3/4 Failed to parse (MathML with SVG or PNG fallback (recommended for modern browsers and accessibility tools): Invalid response ("Math extension cannot connect to Restbase.") from server "https://mathoid.scipedia.com/localhost/v1/":): c
11 0 1/2 Failed to parse (MathML with SVG or PNG fallback (recommended for modern browsers and accessibility tools): Invalid response ("Math extension cannot connect to Restbase.") from server "https://mathoid.scipedia.com/localhost/v1/":): b
12 0 1/4 Failed to parse (MathML with SVG or PNG fallback (recommended for modern browsers and accessibility tools): Invalid response ("Math extension cannot connect to Restbase.") from server "https://mathoid.scipedia.com/localhost/v1/":): c
13 Failed to parse (MathML with SVG or PNG fallback (recommended for modern browsers and accessibility tools): Invalid response ("Math extension cannot connect to Restbase.") from server "https://mathoid.scipedia.com/localhost/v1/":): \frac{7-\sqrt{7}}{21} Failed to parse (MathML with SVG or PNG fallback (recommended for modern browsers and accessibility tools): Invalid response ("Math extension cannot connect to Restbase.") from server "https://mathoid.scipedia.com/localhost/v1/":): \frac{7-\sqrt{7}}{21} Failed to parse (MathML with SVG or PNG fallback (recommended for modern browsers and accessibility tools): Invalid response ("Math extension cannot connect to Restbase.") from server "https://mathoid.scipedia.com/localhost/v1/":): d
14 Failed to parse (MathML with SVG or PNG fallback (recommended for modern browsers and accessibility tools): Invalid response ("Math extension cannot connect to Restbase.") from server "https://mathoid.scipedia.com/localhost/v1/":): \frac{7+2\sqrt{7}}{21} Failed to parse (MathML with SVG or PNG fallback (recommended for modern browsers and accessibility tools): Invalid response ("Math extension cannot connect to Restbase.") from server "https://mathoid.scipedia.com/localhost/v1/":): \frac{7-\sqrt{7}}{21} Failed to parse (MathML with SVG or PNG fallback (recommended for modern browsers and accessibility tools): Invalid response ("Math extension cannot connect to Restbase.") from server "https://mathoid.scipedia.com/localhost/v1/":): d
15 Failed to parse (MathML with SVG or PNG fallback (recommended for modern browsers and accessibility tools): Invalid response ("Math extension cannot connect to Restbase.") from server "https://mathoid.scipedia.com/localhost/v1/":): \frac{7-\sqrt{7}}{21} Failed to parse (MathML with SVG or PNG fallback (recommended for modern browsers and accessibility tools): Invalid response ("Math extension cannot connect to Restbase.") from server "https://mathoid.scipedia.com/localhost/v1/":): \frac{7+2\sqrt{7}}{21} Failed to parse (MathML with SVG or PNG fallback (recommended for modern browsers and accessibility tools): Invalid response ("Math extension cannot connect to Restbase.") from server "https://mathoid.scipedia.com/localhost/v1/":): d



4 Resultados de los experimentos numéricos

4.1 Pruebas de convergencia en malla

Table. 2 Refinamiento para elementos triangulares y cuadrangulares
Triángulos Número de nodos
Failed to parse (MathML with SVG or PNG fallback (recommended for modern browsers and accessibility tools): Invalid response ("Math extension cannot connect to Restbase.") from server "https://mathoid.scipedia.com/localhost/v1/":): {\textstyle 1/h} elem. Failed to parse (MathML with SVG or PNG fallback (recommended for modern browsers and accessibility tools): Invalid response ("Math extension cannot connect to Restbase.") from server "https://mathoid.scipedia.com/localhost/v1/":): P1 Failed to parse (MathML with SVG or PNG fallback (recommended for modern browsers and accessibility tools): Invalid response ("Math extension cannot connect to Restbase.") from server "https://mathoid.scipedia.com/localhost/v1/":): P2 Failed to parse (MathML with SVG or PNG fallback (recommended for modern browsers and accessibility tools): Invalid response ("Math extension cannot connect to Restbase.") from server "https://mathoid.scipedia.com/localhost/v1/":): P3 Failed to parse (MathML with SVG or PNG fallback (recommended for modern browsers and accessibility tools): Invalid response ("Math extension cannot connect to Restbase.") from server "https://mathoid.scipedia.com/localhost/v1/":): P4
15 450 256 961 2116 3721
20 800 441 1681 3721 6561
25 1250 676 2601 5776 10201
30 1800 961 3721 8281 14641
35 2450 1296 5041 11236 19881
40 3200 1681 6561 14641 25921
45 4050 2116 8281 18496 32761
50 5000 2601 10201 22801 40401
Cuadrados Número de nodos
Failed to parse (MathML with SVG or PNG fallback (recommended for modern browsers and accessibility tools): Invalid response ("Math extension cannot connect to Restbase.") from server "https://mathoid.scipedia.com/localhost/v1/":): {\textstyle 1/h} elem. Failed to parse (MathML with SVG or PNG fallback (recommended for modern browsers and accessibility tools): Invalid response ("Math extension cannot connect to Restbase.") from server "https://mathoid.scipedia.com/localhost/v1/":): Q1 Failed to parse (MathML with SVG or PNG fallback (recommended for modern browsers and accessibility tools): Invalid response ("Math extension cannot connect to Restbase.") from server "https://mathoid.scipedia.com/localhost/v1/":): Q2 Failed to parse (MathML with SVG or PNG fallback (recommended for modern browsers and accessibility tools): Invalid response ("Math extension cannot connect to Restbase.") from server "https://mathoid.scipedia.com/localhost/v1/":): Q3 Failed to parse (MathML with SVG or PNG fallback (recommended for modern browsers and accessibility tools): Invalid response ("Math extension cannot connect to Restbase.") from server "https://mathoid.scipedia.com/localhost/v1/":): Q4
15 225 256 961 2116 3721
20 400 441 1681 3721 6561
25 625 676 2601 5776 10201
30 900 961 3721 8281 14641
35 1250 1296 5041 11236 19881
40 1600 1681 6561 14641 25921
45 2025 2116 8281 18496 32761
50 2500 2601 10201 22801 40401

Las pruebas de convergencia en malla que hemos llevado a cabo consisten en calcular el error en norma Failed to parse (MathML with SVG or PNG fallback (recommended for modern browsers and accessibility tools): Invalid response ("Math extension cannot connect to Restbase.") from server "https://mathoid.scipedia.com/localhost/v1/":): {\textstyle L^{2}} , es decir, la norma Failed to parse (MathML with SVG or PNG fallback (recommended for modern browsers and accessibility tools): Invalid response ("Math extension cannot connect to Restbase.") from server "https://mathoid.scipedia.com/localhost/v1/":): {\textstyle L^2}

de la diferencia entre entre la solución exacta y su aproximación numérica. Considerando solamente refinamiento en Failed to parse (MathML with SVG or PNG fallback (recommended for modern browsers and accessibility tools): Invalid response ("Math extension cannot connect to Restbase.") from server "https://mathoid.scipedia.com/localhost/v1/":): {\textstyle h}

, si el error del método se comporta como el error de interpolación, situación que puede considerarse óptima, este error debe comportarse como

Failed to parse (MathML with SVG or PNG fallback (recommended for modern browsers and accessibility tools): Invalid response ("Math extension cannot connect to Restbase.") from server "https://mathoid.scipedia.com/localhost/v1/":): e = \left\Vert u-u_{h}\right\Vert _{L^{2}}\leq C h^{p+1},
(54)

que corresponde al mismo comportamiento que el error de interpolación (33) con Failed to parse (MathML with SVG or PNG fallback (recommended for modern browsers and accessibility tools): Invalid response ("Math extension cannot connect to Restbase.") from server "https://mathoid.scipedia.com/localhost/v1/":): {\textstyle r= 0}

(y absorbiendo en la constante Failed to parse (MathML with SVG or PNG fallback (recommended for modern browsers and accessibility tools): Invalid response ("Math extension cannot connect to Restbase.") from server "https://mathoid.scipedia.com/localhost/v1/":): {\textstyle C}
la dependencia con Failed to parse (MathML with SVG or PNG fallback (recommended for modern browsers and accessibility tools): Invalid response ("Math extension cannot connect to Restbase.") from server "https://mathoid.scipedia.com/localhost/v1/":): {\textstyle p}

). Consideraremos los casos Failed to parse (MathML with SVG or PNG fallback (recommended for modern browsers and accessibility tools): Invalid response ("Math extension cannot connect to Restbase.") from server "https://mathoid.scipedia.com/localhost/v1/":): {\textstyle 1 \leq p\leq 4} .

Si graficamos la ecuación Failed to parse (MathML with SVG or PNG fallback (recommended for modern browsers and accessibility tools): Invalid response ("Math extension cannot connect to Restbase.") from server "https://mathoid.scipedia.com/localhost/v1/":): {\textstyle \left(\right. } 54Failed to parse (MathML with SVG or PNG fallback (recommended for modern browsers and accessibility tools): Invalid response ("Math extension cannot connect to Restbase.") from server "https://mathoid.scipedia.com/localhost/v1/":): \left. \right)

(en el caso de la igualdad) en el plano, con Failed to parse (MathML with SVG or PNG fallback (recommended for modern browsers and accessibility tools): Invalid response ("Math extension cannot connect to Restbase.") from server "https://mathoid.scipedia.com/localhost/v1/":): {\textstyle \log (e)}
en las ordenadas y Failed to parse (MathML with SVG or PNG fallback (recommended for modern browsers and accessibility tools): Invalid response ("Math extension cannot connect to Restbase.") from server "https://mathoid.scipedia.com/localhost/v1/":): {\textstyle \log (h)}
en las abscisas, tenemos una línea recta en la que Failed to parse (MathML with SVG or PNG fallback (recommended for modern browsers and accessibility tools): Invalid response ("Math extension cannot connect to Restbase.") from server "https://mathoid.scipedia.com/localhost/v1/":): {\textstyle p+1}
es la pendiente teórica óptima de convergencia. Las pruebas de convergencia en malla consisten entonces en verificar que la pendiente calculada sea precisamente Failed to parse (MathML with SVG or PNG fallback (recommended for modern browsers and accessibility tools): Invalid response ("Math extension cannot connect to Restbase.") from server "https://mathoid.scipedia.com/localhost/v1/":): {\textstyle p+1}

. Para ello, seleccionamos como solución exacta Failed to parse (MathML with SVG or PNG fallback (recommended for modern browsers and accessibility tools): Invalid response ("Math extension cannot connect to Restbase.") from server "https://mathoid.scipedia.com/localhost/v1/":): {\textstyle u}

a la función polinómica espacio-temporal
Failed to parse (MathML with SVG or PNG fallback (recommended for modern browsers and accessibility tools): Invalid response ("Math extension cannot connect to Restbase.") from server "https://mathoid.scipedia.com/localhost/v1/":): u\left(x,y,t\right)=x^{6}y^{6}\left(1-x\right)^{6}\left(1-y\right)^{6}t,

e imponemos el término fuente Failed to parse (MathML with SVG or PNG fallback (recommended for modern browsers and accessibility tools): Invalid response ("Math extension cannot connect to Restbase.") from server "https://mathoid.scipedia.com/localhost/v1/":): {\textstyle f}

en la ecuación escalar de CDR transitoria (1) para que esta sea precisamente la solución exacta del problema:
Failed to parse (MathML with SVG or PNG fallback (recommended for modern browsers and accessibility tools): Invalid response ("Math extension cannot connect to Restbase.") from server "https://mathoid.scipedia.com/localhost/v1/":): f=\partial _{t}u\left(x,y,t\right)-k\partial _{i}\partial _{i}u\left(x,y,t\right)+a_{i}\partial _{i}u\left(x,y,t\right)+su\left(x,y,t\right),

donde las constantes de difusión Failed to parse (MathML with SVG or PNG fallback (recommended for modern browsers and accessibility tools): Invalid response ("Math extension cannot connect to Restbase.") from server "https://mathoid.scipedia.com/localhost/v1/":): {\textstyle k} , las componentes de la velocidad de convección Failed to parse (MathML with SVG or PNG fallback (recommended for modern browsers and accessibility tools): Invalid response ("Math extension cannot connect to Restbase.") from server "https://mathoid.scipedia.com/localhost/v1/":): {\textstyle a_{i}}

y la reacción Failed to parse (MathML with SVG or PNG fallback (recommended for modern browsers and accessibility tools): Invalid response ("Math extension cannot connect to Restbase.") from server "https://mathoid.scipedia.com/localhost/v1/":): {\textstyle s}
están dadas en cada uno de los ejemplos, tomando Failed to parse (MathML with SVG or PNG fallback (recommended for modern browsers and accessibility tools): Invalid response ("Math extension cannot connect to Restbase.") from server "https://mathoid.scipedia.com/localhost/v1/":): {\textstyle k=10^{-3}}
para todos los casos. Elegimos también las condiciones de contorno (todas de Dirichlet) e iniciales para que la solución sea la que hemos elegido.

En las Figuras 4, 5 y 6 presentamos los resultados de los experimentos numéricos de las pruebas de convergencia en malla con solución analítica conocida, tanto para el método ASGS como para el OSS. En cada gráfica se puede apreciar con línea continua la pendiente teórica de convergencia y con línea con apéndices sobre ella la pendiente calculada. Presentamos los resultados para los distintos grados polinómicos de las funciones de forma estudiados, es decir, elementos lineales, cuadráticos, cúbicos y de cuarto orden triangulares Failed to parse (MathML with SVG or PNG fallback (recommended for modern browsers and accessibility tools): Invalid response ("Math extension cannot connect to Restbase.") from server "https://mathoid.scipedia.com/localhost/v1/":): {\textstyle P_{1},\;P_{2},\;P_{3},\;P_{4}}

y elementos cuadrangulares Failed to parse (MathML with SVG or PNG fallback (recommended for modern browsers and accessibility tools): Invalid response ("Math extension cannot connect to Restbase.") from server "https://mathoid.scipedia.com/localhost/v1/":): {\textstyle Q_{1},\;Q_{2},\;Q_{3},\;Q_{4}}

, respectivamente.

El dominio computacional es el cuadrado Failed to parse (MathML with SVG or PNG fallback (recommended for modern browsers and accessibility tools): Invalid response ("Math extension cannot connect to Restbase.") from server "https://mathoid.scipedia.com/localhost/v1/":): {\textstyle \left[0,1\right]\times \left[0,1\right]}

y el intervalo de tiempo es Failed to parse (MathML with SVG or PNG fallback (recommended for modern browsers and accessibility tools): Invalid response ("Math extension cannot connect to Restbase.") from server "https://mathoid.scipedia.com/localhost/v1/":): {\textstyle \left[0,1\right]}

. El tamaño del paso de tiempo lo hemos tomado como Failed to parse (MathML with SVG or PNG fallback (recommended for modern browsers and accessibility tools): Invalid response ("Math extension cannot connect to Restbase.") from server "https://mathoid.scipedia.com/localhost/v1/":): {\textstyle \delta t=0.2} . Como se verá a continuación, en este caso el error está dominado por la aproximación espacial, no se ve afectado por la aproximación de la discretización temporal. La malla de elementos finitos consiste en triángulos o cuadrados formando una malla regular. Para cada grado polinómico de las funciones de forma Failed to parse (MathML with SVG or PNG fallback (recommended for modern browsers and accessibility tools): Invalid response ("Math extension cannot connect to Restbase.") from server "https://mathoid.scipedia.com/localhost/v1/":): {\textstyle P_{1},\;P_{2},\;P_{3},\;P_{4}}

o Failed to parse (MathML with SVG or PNG fallback (recommended for modern browsers and accessibility tools): Invalid response ("Math extension cannot connect to Restbase.") from server "https://mathoid.scipedia.com/localhost/v1/":): {\textstyle Q_{1},\;Q_{2},\;Q_{3},\;Q_{4},}
hemos calculado los errores en norma Failed to parse (MathML with SVG or PNG fallback (recommended for modern browsers and accessibility tools): Invalid response ("Math extension cannot connect to Restbase.") from server "https://mathoid.scipedia.com/localhost/v1/":): {\textstyle L^{2}}
para ocho mallas de tamaño Failed to parse (MathML with SVG or PNG fallback (recommended for modern browsers and accessibility tools): Invalid response ("Math extension cannot connect to Restbase.") from server "https://mathoid.scipedia.com/localhost/v1/":): {\textstyle h}

, siendo Failed to parse (MathML with SVG or PNG fallback (recommended for modern browsers and accessibility tools): Invalid response ("Math extension cannot connect to Restbase.") from server "https://mathoid.scipedia.com/localhost/v1/":): {\textstyle \frac{1}{h}=15,\;20,\;25,\;30,\;35,\;40,\;45,\;50,}

el número de partes en que se ha dividido cada lado del cuadrado. En la Tabla 2 se muestra el número de elementos y el número de nodos para cada refinamiento, tanto para elementos triangulares como para elementos cuadrangulares. El integrador temporal utilizado es BDF1.

En el encabezado de las gráficas de las pruebas de convergencia en malla se adjuntan dos filas con los valores de las pendientes calculadas; la primera fila corresponde a los valores de las pendientes de las rectas que pasan por los primeros 5 puntos y la segunda fila son las pendientes de las rectas que pasan por los últimos 5 puntos de los 8 puntos del refinamiento de malla evaluados. De esta manera podemos visualizar numéricamente la tendencia de la convergencia de las pendientes calculadas hacia el valor teórico. Para el cálculo de dichas pendientes se ha utilizado el método de los mínimos cuadrados. La simbología Failed to parse (MathML with SVG or PNG fallback (recommended for modern browsers and accessibility tools): Invalid response ("Math extension cannot connect to Restbase.") from server "https://mathoid.scipedia.com/localhost/v1/":): {\textstyle m(P1),}

Failed to parse (MathML with SVG or PNG fallback (recommended for modern browsers and accessibility tools): Invalid response ("Math extension cannot connect to Restbase.") from server "https://mathoid.scipedia.com/localhost/v1/":): {\textstyle m(P2),}
Failed to parse (MathML with SVG or PNG fallback (recommended for modern browsers and accessibility tools): Invalid response ("Math extension cannot connect to Restbase.") from server "https://mathoid.scipedia.com/localhost/v1/":): {\textstyle m(P3),}
Failed to parse (MathML with SVG or PNG fallback (recommended for modern browsers and accessibility tools): Invalid response ("Math extension cannot connect to Restbase.") from server "https://mathoid.scipedia.com/localhost/v1/":): {\textstyle m(P4),}
corresponde a las pendientes para elementos triangulares lineales, cuadráticos, cúbicos y de cuarto orden, respectivamente, mientras que para elementos cuadrangulares lineales, cuadráticos, cúbicos y de cuarto orden la simbología es Failed to parse (MathML with SVG or PNG fallback (recommended for modern browsers and accessibility tools): Invalid response ("Math extension cannot connect to Restbase.") from server "https://mathoid.scipedia.com/localhost/v1/":): {\textstyle m(Q1),}
Failed to parse (MathML with SVG or PNG fallback (recommended for modern browsers and accessibility tools): Invalid response ("Math extension cannot connect to Restbase.") from server "https://mathoid.scipedia.com/localhost/v1/":): {\textstyle m(Q2),}
Failed to parse (MathML with SVG or PNG fallback (recommended for modern browsers and accessibility tools): Invalid response ("Math extension cannot connect to Restbase.") from server "https://mathoid.scipedia.com/localhost/v1/":): {\textstyle m(Q3),}
Failed to parse (MathML with SVG or PNG fallback (recommended for modern browsers and accessibility tools): Invalid response ("Math extension cannot connect to Restbase.") from server "https://mathoid.scipedia.com/localhost/v1/":): {\textstyle m(Q4)}

. Los valores de las pendientes teóricas se corresponden con Failed to parse (MathML with SVG or PNG fallback (recommended for modern browsers and accessibility tools): Invalid response ("Math extension cannot connect to Restbase.") from server "https://mathoid.scipedia.com/localhost/v1/":): {\textstyle m(P1)=m(Q1)=2} , Failed to parse (MathML with SVG or PNG fallback (recommended for modern browsers and accessibility tools): Invalid response ("Math extension cannot connect to Restbase.") from server "https://mathoid.scipedia.com/localhost/v1/":): {\textstyle m(P2)=m(Q2)=3} , Failed to parse (MathML with SVG or PNG fallback (recommended for modern browsers and accessibility tools): Invalid response ("Math extension cannot connect to Restbase.") from server "https://mathoid.scipedia.com/localhost/v1/":): {\textstyle m(P3)=m(Q3)=4} , Failed to parse (MathML with SVG or PNG fallback (recommended for modern browsers and accessibility tools): Invalid response ("Math extension cannot connect to Restbase.") from server "https://mathoid.scipedia.com/localhost/v1/":): {\textstyle m(P4)=m(Q4)=5} .

Los experimentos numéricos que presentamos son los siguientes: en la Figura 4 convección dominante Failed to parse (MathML with SVG or PNG fallback (recommended for modern browsers and accessibility tools): Invalid response ("Math extension cannot connect to Restbase.") from server "https://mathoid.scipedia.com/localhost/v1/":): {\textstyle \left|\boldsymbol{a}\right|=1}

y una pequeña reacción Failed to parse (MathML with SVG or PNG fallback (recommended for modern browsers and accessibility tools): Invalid response ("Math extension cannot connect to Restbase.") from server "https://mathoid.scipedia.com/localhost/v1/":): {\textstyle s=10^{-3}}

, en la Figura 5 convección y reacción del mismo orden, con Failed to parse (MathML with SVG or PNG fallback (recommended for modern browsers and accessibility tools): Invalid response ("Math extension cannot connect to Restbase.") from server "https://mathoid.scipedia.com/localhost/v1/":): {\textstyle \left|\boldsymbol{a}\right|=1}

y Failed to parse (MathML with SVG or PNG fallback (recommended for modern browsers and accessibility tools): Invalid response ("Math extension cannot connect to Restbase.") from server "https://mathoid.scipedia.com/localhost/v1/":): {\textstyle s=1}

, y en la Figura 6 una pequeña convección Failed to parse (MathML with SVG or PNG fallback (recommended for modern browsers and accessibility tools): Invalid response ("Math extension cannot connect to Restbase.") from server "https://mathoid.scipedia.com/localhost/v1/":): {\textstyle \left|\boldsymbol{a}\right|=10^{-3}}

y reacción dominante Failed to parse (MathML with SVG or PNG fallback (recommended for modern browsers and accessibility tools): Invalid response ("Math extension cannot connect to Restbase.") from server "https://mathoid.scipedia.com/localhost/v1/":): {\textstyle s=1}

. Para todos los ejemplos tomamos Failed to parse (MathML with SVG or PNG fallback (recommended for modern browsers and accessibility tools): Invalid response ("Math extension cannot connect to Restbase.") from server "https://mathoid.scipedia.com/localhost/v1/":): {\textstyle k=10^{-3}} , como se ha indicado anteriormente.

Para los dos métodos de estabilización ASGS y OSS, los valores de las constantes algorítmicas Failed to parse (MathML with SVG or PNG fallback (recommended for modern browsers and accessibility tools): Invalid response ("Math extension cannot connect to Restbase.") from server "https://mathoid.scipedia.com/localhost/v1/":): {\textstyle c_{i},}

Failed to parse (MathML with SVG or PNG fallback (recommended for modern browsers and accessibility tools): Invalid response ("Math extension cannot connect to Restbase.") from server "https://mathoid.scipedia.com/localhost/v1/":): {\textstyle i=1,2,3}
se han calibrado a Failed to parse (MathML with SVG or PNG fallback (recommended for modern browsers and accessibility tools): Invalid response ("Math extension cannot connect to Restbase.") from server "https://mathoid.scipedia.com/localhost/v1/":): {\textstyle c_{1}=12,}
Failed to parse (MathML with SVG or PNG fallback (recommended for modern browsers and accessibility tools): Invalid response ("Math extension cannot connect to Restbase.") from server "https://mathoid.scipedia.com/localhost/v1/":): {\textstyle c_{2}=2,}
Failed to parse (MathML with SVG or PNG fallback (recommended for modern browsers and accessibility tools): Invalid response ("Math extension cannot connect to Restbase.") from server "https://mathoid.scipedia.com/localhost/v1/":): {\textstyle c_{3}=1}

. También es necesario indicar que para el método OSS con elementos triangulares de cuarto orden Failed to parse (MathML with SVG or PNG fallback (recommended for modern browsers and accessibility tools): Invalid response ("Math extension cannot connect to Restbase.") from server "https://mathoid.scipedia.com/localhost/v1/":): {\textstyle P_4} , hemos usado en el mallado el elemento Failed to parse (MathML with SVG or PNG fallback (recommended for modern browsers and accessibility tools): Invalid response ("Math extension cannot connect to Restbase.") from server "https://mathoid.scipedia.com/localhost/v1/":): {\textstyle P_4}

modificado mencionado en la Sección 3.

En las gráficas de las figuras de convergencia en malla se observa tanto gráfica como numéricamente que las pendientes calculadas son mayores o tienden al valor de la pendiente teórica Failed to parse (MathML with SVG or PNG fallback (recommended for modern browsers and accessibility tools): Invalid response ("Math extension cannot connect to Restbase.") from server "https://mathoid.scipedia.com/localhost/v1/":): {\textstyle p+1} . Los resultados muestran claramente que las formulaciones ASGS y OSS son capaces de aproximar correctamente el problema de CDR escalar transitorio con todas las combinaciones de convección y reacción dominantes.

Draft Codina 927577669-Ej1 triangulos ASGS.png Draft Codina 927577669-Ej1 triangulos OSS.png
Draft Codina 927577669-Ej1 cuadrados ASGS.png Convergencia ASGS-OSS, elementos triangulares y cuadrangulares. k=10⁻³, a=\left[\cos60∘,sin60∘\right], s=10⁻³.
Figure 4: Convergencia ASGS-OSS, elementos triangulares y cuadrangulares. Failed to parse (MathML with SVG or PNG fallback (recommended for modern browsers and accessibility tools): Invalid response ("Math extension cannot connect to Restbase.") from server "https://mathoid.scipedia.com/localhost/v1/":): k=10^{-3},
Failed to parse (MathML with SVG or PNG fallback (recommended for modern browsers and accessibility tools): Invalid response ("Math extension cannot connect to Restbase.") from server "https://mathoid.scipedia.com/localhost/v1/":): \mathbf{a}=\left[\cos{60}^{\circ },\mathrm{sin60^{\circ }}\right]

, Failed to parse (MathML with SVG or PNG fallback (recommended for modern browsers and accessibility tools): Invalid response ("Math extension cannot connect to Restbase.") from server "https://mathoid.scipedia.com/localhost/v1/":): s=10^{-3}.

Draft Codina 927577669-Ej2 triangulos ASGS.png Draft Codina 927577669-Ej2 triangulos OSS.png
Draft Codina 927577669-Ej2 cuadrados ASGS.png Convergencia ASGS-OSS, elementos triangulares y cuadrangulares. k=10⁻³, a=\left[\cos60∘,sin60∘\right], s=1.
Figure 5: Convergencia ASGS-OSS, elementos triangulares y cuadrangulares. Failed to parse (MathML with SVG or PNG fallback (recommended for modern browsers and accessibility tools): Invalid response ("Math extension cannot connect to Restbase.") from server "https://mathoid.scipedia.com/localhost/v1/":): k=10^{-3}

, Failed to parse (MathML with SVG or PNG fallback (recommended for modern browsers and accessibility tools): Invalid response ("Math extension cannot connect to Restbase.") from server "https://mathoid.scipedia.com/localhost/v1/":): \mathbf{a}=\left[\cos{60}^{\circ },\mathrm{sin60^{\circ }}\right] , Failed to parse (MathML with SVG or PNG fallback (recommended for modern browsers and accessibility tools): Invalid response ("Math extension cannot connect to Restbase.") from server "https://mathoid.scipedia.com/localhost/v1/":): s=1.

Draft Codina 927577669-Ej3 triangulos ASGS.png Draft Codina 927577669-Ej3 triangulos OSS.png
Draft Codina 927577669-Ej3 cuadrados ASGS.png Convergencia ASGS-OSS, elementos triangulares y cuadrangulares. k=10⁻³, a=\left[\cos60∘,sin60∘\right]×10⁻³, s=1.
Figure 6: Convergencia ASGS-OSS, elementos triangulares y cuadrangulares. Failed to parse (MathML with SVG or PNG fallback (recommended for modern browsers and accessibility tools): Invalid response ("Math extension cannot connect to Restbase.") from server "https://mathoid.scipedia.com/localhost/v1/":): k=10^{-3}

, Failed to parse (MathML with SVG or PNG fallback (recommended for modern browsers and accessibility tools): Invalid response ("Math extension cannot connect to Restbase.") from server "https://mathoid.scipedia.com/localhost/v1/":): \mathbf{a}=\left[\cos{60}^{\circ },\mathrm{sin60^{\circ }}\right]\times 10^{-3} , Failed to parse (MathML with SVG or PNG fallback (recommended for modern browsers and accessibility tools): Invalid response ("Math extension cannot connect to Restbase.") from server "https://mathoid.scipedia.com/localhost/v1/":): s=1.

4.2 Pruebas con capas límite

A continuación presentamos un grupo de pruebas cualitativas para observar la estabilidad de los métodos de elementos finitos ASGS y OSS en la ecuación escalar transitoria de CDR. Se analizan cuatro casos en el dominio Failed to parse (MathML with SVG or PNG fallback (recommended for modern browsers and accessibility tools): Invalid response ("Math extension cannot connect to Restbase.") from server "https://mathoid.scipedia.com/localhost/v1/":): {\textstyle \Omega =[0,1]\times [0,1]} , Failed to parse (MathML with SVG or PNG fallback (recommended for modern browsers and accessibility tools): Invalid response ("Math extension cannot connect to Restbase.") from server "https://mathoid.scipedia.com/localhost/v1/":): {\textstyle \gamma =\left[0,1\right],}

combinando los valores de término fuente Failed to parse (MathML with SVG or PNG fallback (recommended for modern browsers and accessibility tools): Invalid response ("Math extension cannot connect to Restbase.") from server "https://mathoid.scipedia.com/localhost/v1/":): {\textstyle f=1}

, Failed to parse (MathML with SVG or PNG fallback (recommended for modern browsers and accessibility tools): Invalid response ("Math extension cannot connect to Restbase.") from server "https://mathoid.scipedia.com/localhost/v1/":): {\textstyle f=0}

y con el coeficiente de reacción Failed to parse (MathML with SVG or PNG fallback (recommended for modern browsers and accessibility tools): Invalid response ("Math extension cannot connect to Restbase.") from server "https://mathoid.scipedia.com/localhost/v1/":): {\textstyle s=0,}
Failed to parse (MathML with SVG or PNG fallback (recommended for modern browsers and accessibility tools): Invalid response ("Math extension cannot connect to Restbase.") from server "https://mathoid.scipedia.com/localhost/v1/":): {\textstyle s=1}

, y además variando la dirección de la velocidad, considerando un valor de Failed to parse (MathML with SVG or PNG fallback (recommended for modern browsers and accessibility tools): Invalid response ("Math extension cannot connect to Restbase.") from server "https://mathoid.scipedia.com/localhost/v1/":): {\textstyle \left|\mathbf{a}\right|=1}

para todos los casos. El valor del coeficiente de difusión es Failed to parse (MathML with SVG or PNG fallback (recommended for modern browsers and accessibility tools): Invalid response ("Math extension cannot connect to Restbase.") from server "https://mathoid.scipedia.com/localhost/v1/":): {\textstyle k=10^{-5}}
para todos los ejemplos, con el fin de tener convección dominante y poder probar la estabilidad de los métodos. El tamaño del paso de tiempo considerado constante es Failed to parse (MathML with SVG or PNG fallback (recommended for modern browsers and accessibility tools): Invalid response ("Math extension cannot connect to Restbase.") from server "https://mathoid.scipedia.com/localhost/v1/":): {\textstyle \delta t=0.2}
y el tamaño del elemento para todas las figuras es Failed to parse (MathML with SVG or PNG fallback (recommended for modern browsers and accessibility tools): Invalid response ("Math extension cannot connect to Restbase.") from server "https://mathoid.scipedia.com/localhost/v1/":): {\textstyle 1/h=20}

. En todos los casos excepto el caso de la Figura 8, se imponen condiciones de Dirichlet homogéneas, observando inestabilidades locales en el contorno, como era de esperar, pero siendo las soluciones globalmente estables. Para el caso de la Figura 8, las condiciones de Dirichlet en el contorno son: Failed to parse (MathML with SVG or PNG fallback (recommended for modern browsers and accessibility tools): Invalid response ("Math extension cannot connect to Restbase.") from server "https://mathoid.scipedia.com/localhost/v1/":): {\textstyle u(x,0,t)=1\;\mathrm{en\;0\leq x\leq{0.3}}} , Failed to parse (MathML with SVG or PNG fallback (recommended for modern browsers and accessibility tools): Invalid response ("Math extension cannot connect to Restbase.") from server "https://mathoid.scipedia.com/localhost/v1/":): {\textstyle u(x,0,t)=0\;\mathrm{en} 0.3<x\leq{1}} , Failed to parse (MathML with SVG or PNG fallback (recommended for modern browsers and accessibility tools): Invalid response ("Math extension cannot connect to Restbase.") from server "https://mathoid.scipedia.com/localhost/v1/":): {\textstyle u(0,y,t)=1,\;u(1,y,t)=0,\;u(1,x,t)=0} . La condición inicial para todos los casos es Failed to parse (MathML with SVG or PNG fallback (recommended for modern browsers and accessibility tools): Invalid response ("Math extension cannot connect to Restbase.") from server "https://mathoid.scipedia.com/localhost/v1/":): {\textstyle u\left(\mathbf{x},0\right)=0}

en todo Failed to parse (MathML with SVG or PNG fallback (recommended for modern browsers and accessibility tools): Invalid response ("Math extension cannot connect to Restbase.") from server "https://mathoid.scipedia.com/localhost/v1/":): {\textstyle \Omega }

.

En cada figura se presentan ocho gráficos que corresponden a los cuatro grados polinómicos de las funciones de forma analizadas para cada método estabilizado de elementos finitos ASGS y OSS. La solución se presenta en Failed to parse (MathML with SVG or PNG fallback (recommended for modern browsers and accessibility tools): Invalid response ("Math extension cannot connect to Restbase.") from server "https://mathoid.scipedia.com/localhost/v1/":): {\textstyle t= 1} , tiempo en el cual se ha alcanzado el estado estacionario usando el integrador temporal BDF1.

En la Figura 7 presentamos el caso con término fuente Failed to parse (MathML with SVG or PNG fallback (recommended for modern browsers and accessibility tools): Invalid response ("Math extension cannot connect to Restbase.") from server "https://mathoid.scipedia.com/localhost/v1/":): {\textstyle f=1} , velocidad de convección en la dirección del eje Failed to parse (MathML with SVG or PNG fallback (recommended for modern browsers and accessibility tools): Invalid response ("Math extension cannot connect to Restbase.") from server "https://mathoid.scipedia.com/localhost/v1/":): {\textstyle y}

Failed to parse (MathML with SVG or PNG fallback (recommended for modern browsers and accessibility tools): Invalid response ("Math extension cannot connect to Restbase.") from server "https://mathoid.scipedia.com/localhost/v1/":): {\textstyle \mathbf{a}=[0,1]}

, coeficiente de reacción Failed to parse (MathML with SVG or PNG fallback (recommended for modern browsers and accessibility tools): Invalid response ("Math extension cannot connect to Restbase.") from server "https://mathoid.scipedia.com/localhost/v1/":): {\textstyle s=0}

y condiciones de Dirichlet homogéneas. En la Figura 8 se encuentra el caso con término fuente Failed to parse (MathML with SVG or PNG fallback (recommended for modern browsers and accessibility tools): Invalid response ("Math extension cannot connect to Restbase.") from server "https://mathoid.scipedia.com/localhost/v1/":): {\textstyle f=0}

, velocidad de convección inclinada Failed to parse (MathML with SVG or PNG fallback (recommended for modern browsers and accessibility tools): Invalid response ("Math extension cannot connect to Restbase.") from server "https://mathoid.scipedia.com/localhost/v1/":): {\textstyle \mathbf{a}=\left[\sin 60^{\circ },\cos 60^{\circ }\right],}

coeficiente de reacción Failed to parse (MathML with SVG or PNG fallback (recommended for modern browsers and accessibility tools): Invalid response ("Math extension cannot connect to Restbase.") from server "https://mathoid.scipedia.com/localhost/v1/":): {\textstyle s=0,}
y las condiciones de Dirichlet en el contorno dadas anteriormente. En la Figura 9 encontramos el caso con término fuente Failed to parse (MathML with SVG or PNG fallback (recommended for modern browsers and accessibility tools): Invalid response ("Math extension cannot connect to Restbase.") from server "https://mathoid.scipedia.com/localhost/v1/":): {\textstyle f=1,}
velocidad de convección inclinada Failed to parse (MathML with SVG or PNG fallback (recommended for modern browsers and accessibility tools): Invalid response ("Math extension cannot connect to Restbase.") from server "https://mathoid.scipedia.com/localhost/v1/":): {\textstyle \mathbf{a}=\left[\sin 60^{\circ },\cos 60^{\circ }\right],}
coeficiente de reacción Failed to parse (MathML with SVG or PNG fallback (recommended for modern browsers and accessibility tools): Invalid response ("Math extension cannot connect to Restbase.") from server "https://mathoid.scipedia.com/localhost/v1/":): {\textstyle s=0}
y condiciones de Dirichlet homogéneas. Y, finalmente, en la Figura 10 tenemos el caso con término fuente Failed to parse (MathML with SVG or PNG fallback (recommended for modern browsers and accessibility tools): Invalid response ("Math extension cannot connect to Restbase.") from server "https://mathoid.scipedia.com/localhost/v1/":): {\textstyle f=1,}
velocidad de convección inclinada Failed to parse (MathML with SVG or PNG fallback (recommended for modern browsers and accessibility tools): Invalid response ("Math extension cannot connect to Restbase.") from server "https://mathoid.scipedia.com/localhost/v1/":): {\textstyle \mathbf{a}=\left[\sin 30^{\circ },\cos 30^{\circ }\right],}
coeficiente de reacción Failed to parse (MathML with SVG or PNG fallback (recommended for modern browsers and accessibility tools): Invalid response ("Math extension cannot connect to Restbase.") from server "https://mathoid.scipedia.com/localhost/v1/":): {\textstyle s=1}
y condiciones de Dirichlet homogéneas.

En todos las figuras se observa que el comportamiento es el esperado en concordancia con los datos de cada figura. Además observamos que en todas la figuras existen inestabilidades en los bordes correspondientes a las capas límite, las cuales es importante notar que se atenúan al incrementar el refinamiento polinómico.

En la Figura 11 encontramos una comparación de los métodos ASGS y OSS, realizando cortes sobre las gráficas de capas límite para los dos métodos ASGS y OSS del ejemplo de la Figura 7, y graficando los dos cortes sobre un mismo plano cartesiano. Los cortes que encontramos en la Figura 11 son cortes longitudinales y cortes trasversales. Como era de esperar, aparecen oscilaciones localizadas en las capas límites que no se propagan al interior del dominio. Para eliminarlas habría que introducir algún método de captura de discontinuidades. Se observa también que los picos espúreos del método OSS son mayores que los del método ASGS. Este comportamiento es conocido, como también lo es la mayor exactitud del método OSS, y los resultados presentados aquí corroboran este hecho para elementos de alto orden.

Failed to parse (MathML with SVG or PNG fallback (recommended for modern browsers and accessibility tools): Invalid response ("Math extension cannot connect to Restbase.") from server "https://mathoid.scipedia.com/localhost/v1/":): ASGS Failed to parse (MathML with SVG or PNG fallback (recommended for modern browsers and accessibility tools): Invalid response ("Math extension cannot connect to Restbase.") from server "https://mathoid.scipedia.com/localhost/v1/":): OSS
Failed to parse (MathML with SVG or PNG fallback (recommended for modern browsers and accessibility tools): Invalid response ("Math extension cannot connect to Restbase.") from server "https://mathoid.scipedia.com/localhost/v1/":): Q1 Capas_Ej1/Ej1_capas_ASGS_q1 Capas_Ej1/Ej1_capas_OSS_q1
Failed to parse (MathML with SVG or PNG fallback (recommended for modern browsers and accessibility tools): Invalid response ("Math extension cannot connect to Restbase.") from server "https://mathoid.scipedia.com/localhost/v1/":): Q2 Capas_Ej1/Ej1_capas_ASGS_q2 Capas_Ej1/Ej1_capas_OSS_q2
Failed to parse (MathML with SVG or PNG fallback (recommended for modern browsers and accessibility tools): Invalid response ("Math extension cannot connect to Restbase.") from server "https://mathoid.scipedia.com/localhost/v1/":): Q3 Capas_Ej1/Ej1_capas_ASGS_q3 Capas_Ej1/Ej1_capas_OSS_q3
Failed to parse (MathML with SVG or PNG fallback (recommended for modern browsers and accessibility tools): Invalid response ("Math extension cannot connect to Restbase.") from server "https://mathoid.scipedia.com/localhost/v1/":): Q4 Capas_Ej1/Ej1_capas_ASGS_q4 Capas_Ej1/Ej1_capas_OSS_q4
Figure 7: Capas límite con ASGS y OSS, elementos cuadrangulares. Failed to parse (MathML with SVG or PNG fallback (recommended for modern browsers and accessibility tools): Invalid response ("Math extension cannot connect to Restbase.") from server "https://mathoid.scipedia.com/localhost/v1/":): k=10^{-5}

, Failed to parse (MathML with SVG or PNG fallback (recommended for modern browsers and accessibility tools): Invalid response ("Math extension cannot connect to Restbase.") from server "https://mathoid.scipedia.com/localhost/v1/":): \mathbf{a}=\left[0,1\right] , Failed to parse (MathML with SVG or PNG fallback (recommended for modern browsers and accessibility tools): Invalid response ("Math extension cannot connect to Restbase.") from server "https://mathoid.scipedia.com/localhost/v1/":): s=0 , Failed to parse (MathML with SVG or PNG fallback (recommended for modern browsers and accessibility tools): Invalid response ("Math extension cannot connect to Restbase.") from server "https://mathoid.scipedia.com/localhost/v1/":): f=1

y condiciones de Dirichlet homogéneas en todo el contorno.
Failed to parse (MathML with SVG or PNG fallback (recommended for modern browsers and accessibility tools): Invalid response ("Math extension cannot connect to Restbase.") from server "https://mathoid.scipedia.com/localhost/v1/":): ASGS Failed to parse (MathML with SVG or PNG fallback (recommended for modern browsers and accessibility tools): Invalid response ("Math extension cannot connect to Restbase.") from server "https://mathoid.scipedia.com/localhost/v1/":): OSS
Failed to parse (MathML with SVG or PNG fallback (recommended for modern browsers and accessibility tools): Invalid response ("Math extension cannot connect to Restbase.") from server "https://mathoid.scipedia.com/localhost/v1/":): Q1 Capas_Ej2/Ej2_capas_ASGS_q1 Capas_Ej2/Ej2_capas_OSS_q1
Failed to parse (MathML with SVG or PNG fallback (recommended for modern browsers and accessibility tools): Invalid response ("Math extension cannot connect to Restbase.") from server "https://mathoid.scipedia.com/localhost/v1/":): Q2 Capas_Ej2/Ej2_capas_ASGS_q2 Capas_Ej2/Ej2_capas_OSS_q2
Failed to parse (MathML with SVG or PNG fallback (recommended for modern browsers and accessibility tools): Invalid response ("Math extension cannot connect to Restbase.") from server "https://mathoid.scipedia.com/localhost/v1/":): Q3 Capas_Ej2/Ej2_capas_ASGS_q3 Capas_Ej2/Ej2_capas_OSS_q3
Failed to parse (MathML with SVG or PNG fallback (recommended for modern browsers and accessibility tools): Invalid response ("Math extension cannot connect to Restbase.") from server "https://mathoid.scipedia.com/localhost/v1/":): Q4 Capas_Ej2/Ej2_capas_ASGS_q4 Capas_Ej2/Ej2_capas_OSS_q4
Figure 8: Capas límite con ASGS y OSS, elementos cuadrangulares. Failed to parse (MathML with SVG or PNG fallback (recommended for modern browsers and accessibility tools): Invalid response ("Math extension cannot connect to Restbase.") from server "https://mathoid.scipedia.com/localhost/v1/":): k=10^{-5}

, Failed to parse (MathML with SVG or PNG fallback (recommended for modern browsers and accessibility tools): Invalid response ("Math extension cannot connect to Restbase.") from server "https://mathoid.scipedia.com/localhost/v1/":): \mathbf{a}=\left[\sin{60}^{\circ },\cos 60^{\circ }\right] , Failed to parse (MathML with SVG or PNG fallback (recommended for modern browsers and accessibility tools): Invalid response ("Math extension cannot connect to Restbase.") from server "https://mathoid.scipedia.com/localhost/v1/":): s=0 , Failed to parse (MathML with SVG or PNG fallback (recommended for modern browsers and accessibility tools): Invalid response ("Math extension cannot connect to Restbase.") from server "https://mathoid.scipedia.com/localhost/v1/":): f=0

y condiciones de Dirichlet homogéneas en todo el contorno.
Failed to parse (MathML with SVG or PNG fallback (recommended for modern browsers and accessibility tools): Invalid response ("Math extension cannot connect to Restbase.") from server "https://mathoid.scipedia.com/localhost/v1/":): ASGS Failed to parse (MathML with SVG or PNG fallback (recommended for modern browsers and accessibility tools): Invalid response ("Math extension cannot connect to Restbase.") from server "https://mathoid.scipedia.com/localhost/v1/":): OSS
Failed to parse (MathML with SVG or PNG fallback (recommended for modern browsers and accessibility tools): Invalid response ("Math extension cannot connect to Restbase.") from server "https://mathoid.scipedia.com/localhost/v1/":): Q1 Capas_Ej3/Ej3_capas_ASGS_q1 Capas_Ej3/Ej3_capas_OSS_q1
Failed to parse (MathML with SVG or PNG fallback (recommended for modern browsers and accessibility tools): Invalid response ("Math extension cannot connect to Restbase.") from server "https://mathoid.scipedia.com/localhost/v1/":): Q2 Capas_Ej3/Ej3_capas_ASGS_q2 Capas_Ej3/Ej3_capas_OSS_q2
Failed to parse (MathML with SVG or PNG fallback (recommended for modern browsers and accessibility tools): Invalid response ("Math extension cannot connect to Restbase.") from server "https://mathoid.scipedia.com/localhost/v1/":): Q3 Capas_Ej3/Ej3_capas_ASGS_q3 Capas_Ej3/Ej3_capas_OSS_q3
Failed to parse (MathML with SVG or PNG fallback (recommended for modern browsers and accessibility tools): Invalid response ("Math extension cannot connect to Restbase.") from server "https://mathoid.scipedia.com/localhost/v1/":): Q4 Capas_Ej3/Ej3_capas_ASGS_q4 Capas_Ej3/Ej3_capas_OSS_q4
Figure 9: Capas límite con ASGS y OSS, elementos cuadrangulares. Failed to parse (MathML with SVG or PNG fallback (recommended for modern browsers and accessibility tools): Invalid response ("Math extension cannot connect to Restbase.") from server "https://mathoid.scipedia.com/localhost/v1/":): k=10^{-5}

, Failed to parse (MathML with SVG or PNG fallback (recommended for modern browsers and accessibility tools): Invalid response ("Math extension cannot connect to Restbase.") from server "https://mathoid.scipedia.com/localhost/v1/":): \mathbf{a}=\left[\sin 60^{\circ },\cos{60}^{\circ }\right] , Failed to parse (MathML with SVG or PNG fallback (recommended for modern browsers and accessibility tools): Invalid response ("Math extension cannot connect to Restbase.") from server "https://mathoid.scipedia.com/localhost/v1/":): s=0,\quad f=1

y condiciones de Dirichlet homogéneas en todo el contorno.
Failed to parse (MathML with SVG or PNG fallback (recommended for modern browsers and accessibility tools): Invalid response ("Math extension cannot connect to Restbase.") from server "https://mathoid.scipedia.com/localhost/v1/":): ASGS Failed to parse (MathML with SVG or PNG fallback (recommended for modern browsers and accessibility tools): Invalid response ("Math extension cannot connect to Restbase.") from server "https://mathoid.scipedia.com/localhost/v1/":): OSS
Failed to parse (MathML with SVG or PNG fallback (recommended for modern browsers and accessibility tools): Invalid response ("Math extension cannot connect to Restbase.") from server "https://mathoid.scipedia.com/localhost/v1/":): Q1 Capas_Ej4/Ej4_capas_ASGS_q1 Capas_Ej4/Ej4_capas_OSS_q1
Failed to parse (MathML with SVG or PNG fallback (recommended for modern browsers and accessibility tools): Invalid response ("Math extension cannot connect to Restbase.") from server "https://mathoid.scipedia.com/localhost/v1/":): Q2 Capas_Ej4/Ej4_capas_ASGS_q2 Capas_Ej4/Ej4_capas_OSS_q2
Failed to parse (MathML with SVG or PNG fallback (recommended for modern browsers and accessibility tools): Invalid response ("Math extension cannot connect to Restbase.") from server "https://mathoid.scipedia.com/localhost/v1/":): Q3 Capas_Ej4/Ej4_capas_ASGS_q3 Capas_Ej4/Ej4_capas_OSS_q3
Failed to parse (MathML with SVG or PNG fallback (recommended for modern browsers and accessibility tools): Invalid response ("Math extension cannot connect to Restbase.") from server "https://mathoid.scipedia.com/localhost/v1/":): Q4 Capas_Ej4/Ej4_capas_ASGS_q4 Capas_Ej4/Ej4_capas_OSS_q4
Figure 10: Capas límite con ASGS y OSS, elementos cuadrangulares. Failed to parse (MathML with SVG or PNG fallback (recommended for modern browsers and accessibility tools): Invalid response ("Math extension cannot connect to Restbase.") from server "https://mathoid.scipedia.com/localhost/v1/":): k=10^{-5}

, Failed to parse (MathML with SVG or PNG fallback (recommended for modern browsers and accessibility tools): Invalid response ("Math extension cannot connect to Restbase.") from server "https://mathoid.scipedia.com/localhost/v1/":): \mathbf{a}=\left[\sin 30^{\circ },\cos 30^{\circ }\right] , Failed to parse (MathML with SVG or PNG fallback (recommended for modern browsers and accessibility tools): Invalid response ("Math extension cannot connect to Restbase.") from server "https://mathoid.scipedia.com/localhost/v1/":): s=1 , Failed to parse (MathML with SVG or PNG fallback (recommended for modern browsers and accessibility tools): Invalid response ("Math extension cannot connect to Restbase.") from server "https://mathoid.scipedia.com/localhost/v1/":): f=1

y condiciones de Dirichlet homogéneas en todo el contorno.
Cortes longitudinales paralelos al eje Failed to parse (MathML with SVG or PNG fallback (recommended for modern browsers and accessibility tools): Invalid response ("Math extension cannot connect to Restbase.") from server "https://mathoid.scipedia.com/localhost/v1/":): {\textstyle y} Cortes transversales paralelos al eje Failed to parse (MathML with SVG or PNG fallback (recommended for modern browsers and accessibility tools): Invalid response ("Math extension cannot connect to Restbase.") from server "https://mathoid.scipedia.com/localhost/v1/":): {\textstyle x}
Failed to parse (MathML with SVG or PNG fallback (recommended for modern browsers and accessibility tools): Invalid response ("Math extension cannot connect to Restbase.") from server "https://mathoid.scipedia.com/localhost/v1/":): Q1 Capas_Ej1/Cortes_longitudinales/Long_ASGS_OSS_Q1 Capas_Ej1/Cortes_transversales/ASGS_OSS_Q5
Failed to parse (MathML with SVG or PNG fallback (recommended for modern browsers and accessibility tools): Invalid response ("Math extension cannot connect to Restbase.") from server "https://mathoid.scipedia.com/localhost/v1/":): Q2 Capas_Ej1/Cortes_longitudinales/Long_ASGS_OSS_Q2 Capas_Ej1/Cortes_transversales/ASGS_OSS_Q2
Failed to parse (MathML with SVG or PNG fallback (recommended for modern browsers and accessibility tools): Invalid response ("Math extension cannot connect to Restbase.") from server "https://mathoid.scipedia.com/localhost/v1/":): Q3 Capas_Ej1/Cortes_longitudinales/Long_ASGS_OSS_Q3 Capas_Ej1/Cortes_transversales/ASGS_OSS_Q3
Failed to parse (MathML with SVG or PNG fallback (recommended for modern browsers and accessibility tools): Invalid response ("Math extension cannot connect to Restbase.") from server "https://mathoid.scipedia.com/localhost/v1/":): Q4 Capas_Ej1/Cortes_longitudinales/Long_ASGS_OSS_Q4 Capas_Ej1/Cortes_transversales/ASGS_OSS_Q4
Figure 11: Comparación ASGS y OSS, elementos cuadrangulares. Cortes longitudinales y transversales del ejemplo de la Figura 7.

4.3 Transporte de una concentración

Presentamos a continuación los resultados numéricos para un ejemplo menos académico, consistente en el transporte y difusión de una concentración en parte de la superficie de un ducto de directriz Failed to parse (MathML with SVG or PNG fallback (recommended for modern browsers and accessibility tools): Invalid response ("Math extension cannot connect to Restbase.") from server "https://mathoid.scipedia.com/localhost/v1/":): {\textstyle x} . Suponemos que tenemos un flujo constante con velocidad unidireccional Failed to parse (MathML with SVG or PNG fallback (recommended for modern browsers and accessibility tools): Invalid response ("Math extension cannot connect to Restbase.") from server "https://mathoid.scipedia.com/localhost/v1/":): {\textstyle \mathbf{a}=\left[100,0,0\right]}

en un ducto, como se ilustra en la Figura 12. También asumimos que sobre una región de la pared superior del ducto tenemos una concentración constante Failed to parse (MathML with SVG or PNG fallback (recommended for modern browsers and accessibility tools): Invalid response ("Math extension cannot connect to Restbase.") from server "https://mathoid.scipedia.com/localhost/v1/":): {\textstyle u=1}
de una variable Failed to parse (MathML with SVG or PNG fallback (recommended for modern browsers and accessibility tools): Invalid response ("Math extension cannot connect to Restbase.") from server "https://mathoid.scipedia.com/localhost/v1/":): {\textstyle u}

, y sobre el resto de la periferia del ducto, incluyendo la sección transversal a la entrada del flujo, asumimos el valor Failed to parse (MathML with SVG or PNG fallback (recommended for modern browsers and accessibility tools): Invalid response ("Math extension cannot connect to Restbase.") from server "https://mathoid.scipedia.com/localhost/v1/":): {\textstyle u=0} . Queremos estudiar como se propaga esta concentración dentro del flujo considerado.

Ducto en 3D
Figure 12: Ducto en 3D
Ducto en 2D
Figure 13: Ducto en 2D
Failed to parse (MathML with SVG or PNG fallback (recommended for modern browsers and accessibility tools): Invalid response ("Math extension cannot connect to Restbase.") from server "https://mathoid.scipedia.com/localhost/v1/":): ASGS Failed to parse (MathML with SVG or PNG fallback (recommended for modern browsers and accessibility tools): Invalid response ("Math extension cannot connect to Restbase.") from server "https://mathoid.scipedia.com/localhost/v1/":): OSS
Failed to parse (MathML with SVG or PNG fallback (recommended for modern browsers and accessibility tools): Invalid response ("Math extension cannot connect to Restbase.") from server "https://mathoid.scipedia.com/localhost/v1/":): Q1 Ejemplo_practico/ASGS_Q1 Ejemplo_practico/OSS_Q1
Failed to parse (MathML with SVG or PNG fallback (recommended for modern browsers and accessibility tools): Invalid response ("Math extension cannot connect to Restbase.") from server "https://mathoid.scipedia.com/localhost/v1/":): Q2 Ejemplo_practico/ASGS_Q2 Ejemplo_practico/OSS_Q2
Failed to parse (MathML with SVG or PNG fallback (recommended for modern browsers and accessibility tools): Invalid response ("Math extension cannot connect to Restbase.") from server "https://mathoid.scipedia.com/localhost/v1/":): Q3 Ejemplo_practico/ASGS_Q3 Ejemplo_practico/OSS_Q3
Failed to parse (MathML with SVG or PNG fallback (recommended for modern browsers and accessibility tools): Invalid response ("Math extension cannot connect to Restbase.") from server "https://mathoid.scipedia.com/localhost/v1/":): Q4 Ejemplo_practico/ASGS_Q4 Ejemplo_practico/OSS_Q4
Figure 14: Transporte de una concentración

Considerando el ancho mucho mayor que la altura y debido a que el flujo es constante en toda la sección transversal del ducto, podemos simplificar el planteamiento del problema a dos dimensiones como vemos en la Figura 13.

El modelo matemático que resuelve el problema planteado es:

Failed to parse (MathML with SVG or PNG fallback (recommended for modern browsers and accessibility tools): Invalid response ("Math extension cannot connect to Restbase.") from server "https://mathoid.scipedia.com/localhost/v1/":): \partial _{t}u-k\partial _{i}\partial _{i}u+a_{i}\partial _{i}u =f,\quad \hbox{ en}~\Omega \times \gamma
Failed to parse (MathML with SVG or PNG fallback (recommended for modern browsers and accessibility tools): Invalid response ("Math extension cannot connect to Restbase.") from server "https://mathoid.scipedia.com/localhost/v1/":): u =u_{D},\quad \hbox{ en}~ \partial \Omega _D\times \mathbf{\gamma },
Failed to parse (MathML with SVG or PNG fallback (recommended for modern browsers and accessibility tools): Invalid response ("Math extension cannot connect to Restbase.") from server "https://mathoid.scipedia.com/localhost/v1/":): \frac{\partial{u}}{\partial x} = 0,\quad \hbox{ en}~ \partial \Omega _N\times \mathbf{\gamma },
Failed to parse (MathML with SVG or PNG fallback (recommended for modern browsers and accessibility tools): Invalid response ("Math extension cannot connect to Restbase.") from server "https://mathoid.scipedia.com/localhost/v1/":): u =0,\quad \hbox{ en}~\Omega \times \{ 0\} .

Para nuestro problema, Failed to parse (MathML with SVG or PNG fallback (recommended for modern browsers and accessibility tools): Invalid response ("Math extension cannot connect to Restbase.") from server "https://mathoid.scipedia.com/localhost/v1/":): {\textstyle k=10^{-3},}

Failed to parse (MathML with SVG or PNG fallback (recommended for modern browsers and accessibility tools): Invalid response ("Math extension cannot connect to Restbase.") from server "https://mathoid.scipedia.com/localhost/v1/":): {\textstyle \mathbf{a}=\left[1,0\right],}
Failed to parse (MathML with SVG or PNG fallback (recommended for modern browsers and accessibility tools): Invalid response ("Math extension cannot connect to Restbase.") from server "https://mathoid.scipedia.com/localhost/v1/":): {\textstyle f=0,}
el dominio Failed to parse (MathML with SVG or PNG fallback (recommended for modern browsers and accessibility tools): Invalid response ("Math extension cannot connect to Restbase.") from server "https://mathoid.scipedia.com/localhost/v1/":): {\textstyle \Omega }
es el rectángulo de dimensiones Failed to parse (MathML with SVG or PNG fallback (recommended for modern browsers and accessibility tools): Invalid response ("Math extension cannot connect to Restbase.") from server "https://mathoid.scipedia.com/localhost/v1/":): {\textstyle l_{x}=1}
y Failed to parse (MathML with SVG or PNG fallback (recommended for modern browsers and accessibility tools): Invalid response ("Math extension cannot connect to Restbase.") from server "https://mathoid.scipedia.com/localhost/v1/":): {\textstyle l_{y}=0,1}
y el intervalo de tiempo es Failed to parse (MathML with SVG or PNG fallback (recommended for modern browsers and accessibility tools): Invalid response ("Math extension cannot connect to Restbase.") from server "https://mathoid.scipedia.com/localhost/v1/":): {\textstyle \gamma =\left[0,1\right]}

.

Las condiciones de Dirichlet en el contorno Failed to parse (MathML with SVG or PNG fallback (recommended for modern browsers and accessibility tools): Invalid response ("Math extension cannot connect to Restbase.") from server "https://mathoid.scipedia.com/localhost/v1/":): {\textstyle \partial \Omega _D}

donde se imponen son:
Failed to parse (MathML with SVG or PNG fallback (recommended for modern browsers and accessibility tools): Invalid response ("Math extension cannot connect to Restbase.") from server "https://mathoid.scipedia.com/localhost/v1/":): u_D(x,y,t) = \begin{cases}0 & x\in [0,1], ~ y = 0, ~ t \in [0,1]\\ 0 & x = 0, ~ y \in [0, 0.1], ~ t \in [0,1] \\ 0 & x \in [0, 0.05) \cup (0.5, 1], ~ y = 0.1, ~ t \in [0,1]\\ 1 & x \in [0.05 , 0.5], ~ y = 0.1, ~ t \in [0,1] \end{cases}
(58)

En el extremo derecho (Failed to parse (MathML with SVG or PNG fallback (recommended for modern browsers and accessibility tools): Invalid response ("Math extension cannot connect to Restbase.") from server "https://mathoid.scipedia.com/localhost/v1/":): {\textstyle \partial \Omega _N} ) no se impone ninguna condición de Dirichlet, sino que se considera libre.

El intervalo de tiempo Failed to parse (MathML with SVG or PNG fallback (recommended for modern browsers and accessibility tools): Invalid response ("Math extension cannot connect to Restbase.") from server "https://mathoid.scipedia.com/localhost/v1/":): {\textstyle [0,1]}

se discretiza mediante una partición uniforme de tamaño Failed to parse (MathML with SVG or PNG fallback (recommended for modern browsers and accessibility tools): Invalid response ("Math extension cannot connect to Restbase.") from server "https://mathoid.scipedia.com/localhost/v1/":): {\textstyle \delta t=0.2}

. Como en los ejemplos anteriores, el integrador temporal utilizado es BDF1. La malla de elementos finitos utilizada consiste en 850 elementos cuadrangulares formando una malla regular, con 918 nodos para el elemento Failed to parse (MathML with SVG or PNG fallback (recommended for modern browsers and accessibility tools): Invalid response ("Math extension cannot connect to Restbase.") from server "https://mathoid.scipedia.com/localhost/v1/":): {\textstyle Q_1,}

3535 nodos para el Failed to parse (MathML with SVG or PNG fallback (recommended for modern browsers and accessibility tools): Invalid response ("Math extension cannot connect to Restbase.") from server "https://mathoid.scipedia.com/localhost/v1/":): {\textstyle Q_2,}
7852 nodos para el Failed to parse (MathML with SVG or PNG fallback (recommended for modern browsers and accessibility tools): Invalid response ("Math extension cannot connect to Restbase.") from server "https://mathoid.scipedia.com/localhost/v1/":): {\textstyle Q_3}
y 13869 nodos para el Failed to parse (MathML with SVG or PNG fallback (recommended for modern browsers and accessibility tools): Invalid response ("Math extension cannot connect to Restbase.") from server "https://mathoid.scipedia.com/localhost/v1/":): {\textstyle Q_4.}


En la Figura 14 se muestran los resultados de la simulación numérica de este problema en Failed to parse (MathML with SVG or PNG fallback (recommended for modern browsers and accessibility tools): Invalid response ("Math extension cannot connect to Restbase.") from server "https://mathoid.scipedia.com/localhost/v1/":): {\textstyle t = 1}

para los dos métodos ASGS y OSS y para los cuatro grados polinómicos de las funciones de forma, Failed to parse (MathML with SVG or PNG fallback (recommended for modern browsers and accessibility tools): Invalid response ("Math extension cannot connect to Restbase.") from server "https://mathoid.scipedia.com/localhost/v1/":): {\textstyle Q_1,}
Failed to parse (MathML with SVG or PNG fallback (recommended for modern browsers and accessibility tools): Invalid response ("Math extension cannot connect to Restbase.") from server "https://mathoid.scipedia.com/localhost/v1/":): {\textstyle Q_2,}
Failed to parse (MathML with SVG or PNG fallback (recommended for modern browsers and accessibility tools): Invalid response ("Math extension cannot connect to Restbase.") from server "https://mathoid.scipedia.com/localhost/v1/":): {\textstyle Q_3,}
y Failed to parse (MathML with SVG or PNG fallback (recommended for modern browsers and accessibility tools): Invalid response ("Math extension cannot connect to Restbase.") from server "https://mathoid.scipedia.com/localhost/v1/":): {\textstyle Q_4,}
observando en todos los casos que los resultados son los esperados en concordancia con los datos del problema. Se visualiza el efecto de la convección dominante, ya que se observa que la concentración Failed to parse (MathML with SVG or PNG fallback (recommended for modern browsers and accessibility tools): Invalid response ("Math extension cannot connect to Restbase.") from server "https://mathoid.scipedia.com/localhost/v1/":): {\textstyle u}
que se prescribe como condición de contorno se transporta al interior de dominio con poca difusión. En ninguno de los casos considerados se aprecian oscilaciones, que es el objetivo de los métodos de estabilización.

5 Conclusiones

En este artículo hemos presentado una revisión de los métodos estabilizados ASGS y OSS y su estudio con elementos finitos de alto orden, cuadráticos, cúbicos y de cuarto orden, para resolver la ecuación escalar de CDR en problemas con convección y reacción dominantes. En el cálculo del parámetro de estabilización Failed to parse (MathML with SVG or PNG fallback (recommended for modern browsers and accessibility tools): Invalid response ("Math extension cannot connect to Restbase.") from server "https://mathoid.scipedia.com/localhost/v1/":): {\textstyle \tau }

hemos incluido  el grado del polinomio, para de esta manera poder utilizar elementos finitos de alto orden y mantener el orden de aproximación óptimo tanto en Failed to parse (MathML with SVG or PNG fallback (recommended for modern browsers and accessibility tools): Invalid response ("Math extension cannot connect to Restbase.") from server "https://mathoid.scipedia.com/localhost/v1/":): {\textstyle h}
como en Failed to parse (MathML with SVG or PNG fallback (recommended for modern browsers and accessibility tools): Invalid response ("Math extension cannot connect to Restbase.") from server "https://mathoid.scipedia.com/localhost/v1/":): {\textstyle p}

. Para poder usar de forma eficiente el método OSS con el elemento simplicial de cuarto orden, hemos presentado el procedimiento para construir un elemento Failed to parse (MathML with SVG or PNG fallback (recommended for modern browsers and accessibility tools): Invalid response ("Math extension cannot connect to Restbase.") from server "https://mathoid.scipedia.com/localhost/v1/":): {\textstyle P_4}

modificado, el cual permite aproximar la matriz de masa por una matriz diagonal con todos sus elementos distintos de cero; hemos usado este elemento modificado en todos los ejemplos con elementos de cuarto orden con el método OSS.

Los experimentos numéricos de las pruebas de convergencia en malla para elementos lineales y de alto orden revelan que la convergencia de los dos métodos estabilizados es óptima, para todos los casos de convección y reacción dominantes, tanto para elementos triangulares como para elementos cuadrangulares, y para todos los grados polinómicos de las funciones de forma que hemos considerado. Hemos observado que las pendientes de convergencia del método OSS son ligeramente mayores que las del método ASGS, lo cual indica mayor precisión del método OSS. Además, también se concluye que para un número de nodos dado, los errores son menores cuando mayor es el grado del polinomio de forma utilizado, lo cual indica que para obtener un menor coste computacional para una precisión dada podría ser conveniente utilizar elementos finitos de alto orden. Sin embargo, no ha sido nuestro objetivo estudiar con detalle el coste computacional de los métodos presentados.

En términos generales, los resultados de las pruebas de capas límite han sido los esperados y están en concordancia con las condiciones impuestas en cada caso. Asimismo, hemos observado que el método OSS produce más oscilaciones localizadas en las capas límites, como ya era conocido para el caso de elementos lineales y cuadráticos.

Finalmente, los resultados del ejemplo de la simulación numérica del transporte de una concentración han sido satisfactorios, de acuerdo con el fenómeno físico planteado. En este caso, las diferencias de los resultados entre los métodos ASGS y OSS son insignificantes.

Agradecimientos

R. Codina agradece la ayuda recibida a través del programa ICREA Academia, del Gobierno de Catalunya.

Referencias

BIBLIOGRAPHY

[1] A.N. Brooks and T.J.R. Hughes. (1982) "Streamline Upwind / Petrov-Galerkin Formulations for Convection Dominated Flows with Particular Emphasis on the Incompressible Navier-Stokes Equation", Volume 32. Computer Methods in Applied Mechanics and Engineering 199–259

[2] D.W. Kelly and S. Nakazawa and O.C. Zienkiewicz and J.C. Heinrich. (1980) "A note on upwinding and anisotropic balancing dissipation in finite element approximations to convective diffusion problems", Volume 15. International Journal for Numerical Methods in Engineering 1705–1711

[3] C. Johnson and U. Nävert and J. Pitkäranta. (1984) "Finite element methods for linear hyperbolic equations", Volume 45. Computer Methods in Applied Mechanics and Engineering 285-312

[4] T.J.R. Hughes and L.P. Franca and G.M. Hulbert. (1989) "A new finite element formulation for computational fluid dynamics: VIII. The Galerkin/least-squares method for advective-diffusive equations", Volume 73. Computer Methods in Applied Mechanics and Engineering 173–189

[5] L. Franca and S.L. Frey and T.J.R. Hughes. (1992) "Stabilized finite element methods: I. Application to the advective-diffusive model", Volume 95. Computer Methods in Applied Mechanics and Engineering 253–276

[6] F. Brezzi and L.P. Franca and T.J.R. Hughes and A. Russo. (1997) "Failed to parse (MathML with SVG or PNG fallback (recommended for modern browsers and accessibility tools): Invalid response ("Math extension cannot connect to Restbase.") from server "https://mathoid.scipedia.com/localhost/v1/":): b=\int g ", Volume 145. Computer Methods in Applied Mechanics and Engineering 329–339

[7] J. Douglas and T. Russel. (1982) "Numerical methods for convection dominated problems based on combining the method of characteristics with finite elements or finite difference procedures", Volume 9. SIAM Journal on Numerical Analysis 871–885

[8] J. Donea. (1984) "A Taylor-Galerkin method for convection transport problems", Volume 20. International Journal for Numerical Methods in Engineering 101–119

[9] R. Codina. (1998) "Comparison of some finite element methods for solving the diffusion-convection-reaction equation", Volume 156. Computer Methods in Applied Mechanics and Engineering 185–210

[10] T. J. R. Huges. (1995) "Multiscale phenomena: Green's functions, the Dirichlet-to-Neumann formulation, subgrid scale models, bubbles and the origins of stabilized methods", Volume 127. Computer Methods in Applied Mechanics and Engineering 387–401

[11] T. J. R Hughes and G. O. Feijóo and L. Mazzei and J. B. Quincy. (1998) "The variational multiscale method-a paradign for computational mechanics", Volume 166. Computer Methods in Applied Mechanics and Engineering 3–24

[12] R. Codina and S. Badia and J. Baiges and J. Principe. (Por aparecer) "Variational Multiscale Methods in Computational Fluid Dynamics, in Encyclopedia of Computational Mechanics". John Wiley & Sons Ltd

[13] R. Codina. (2011) "Finite Element Approximation of the Convection-Diffusion Equation: Subgrid-Scale Spaces, Local Instabilities and Anisotropic Space-Time Discretizations, in Bail 2010 - Boundary and Interior Layers, Computational and Asymptotic Methods, Lecture Notes in Computational Science and Engineering, Eds. C. Clavero, J.L. Gracia and F.J. Lisbona", Volume 81. Springer 85–97

[14] R. Codina. (2000) "Stabilization of incompressibility and convection through orthogonal sub-scales in finite element methods", Volume 190. Computer Methods in Applied Mechanics and Engineering 1579–1599

[15] R. Codina. (2000) "On stabilized finite element methods for linear systems of convection-diffusion-reaction equations", Volume 188. Computer Methods in Applied Mechanics and Engineering 61–82

[16] R. Codina. (2001) "A stabilized finite element method for generalized stationary incompressible flows", Volume 190. Computer Methods in Applied Mechanics and Engineering 2681–2706

[17] R. Codina. (2002) "Stabilized finite element approximation of transient incompressible flows using orthogonal subscales", Volume 191. Computer Methods in Applied Mechanics and Engineering 4295–4321

[18] R. Codina and J. Principe and O. Guasch and S. Badia. (2007) "Time dependent subscales in the stabilized finite element approximation of incompressible flow problems", Volume 196. Computer Methods in Applied Mechanics and Engineering 2413–2430

[19] C. Baiocchi and F. Brezzi and L.P. Franca. (1993) "Virtual bubbles and Galerkin/least-squares type methods (Ga.L.S)", Volume 105. Computer Methods in Applied Mechanics and Engineering 125–141

[20] R. Codina and J. Blasco. (2002) "Analysis of a stabilized finite element approximation of the transient convection-diffusion-reaction equation using orthogonal subscales", Volume 4. Computing and Visualization in Science 167–174

[21] J. Principe and R. Codina. (2010) "On the stabilization parameter in the subgrid scale approximation of scalar convection-diffusion-reaction equations on distorted meshes", Volume 199. Computer Methods in Applied Mechanics and Engineering 1386–1402

[22] R. Codina. (Por aparecer) "On Failed to parse (MathML with SVG or PNG fallback (recommended for modern browsers and accessibility tools): Invalid response ("Math extension cannot connect to Restbase.") from server "https://mathoid.scipedia.com/localhost/v1/":): {\textstyle hp}

convergence of stabilized finite element methods for the convection-diffusion equation", Volume. SeMA Journal

[23] P. Houston and E. Süli. (2001) "Stabilised Failed to parse (MathML with SVG or PNG fallback (recommended for modern browsers and accessibility tools): Invalid response ("Math extension cannot connect to Restbase.") from server "https://mathoid.scipedia.com/localhost/v1/":): {\textstyle hp} -finite element approximation of partial differential equations with nonnegative characteristic form", Volume 66. Computing 99–119

[24] G. Lube and G. Rapin. (2006) "Residual-based stabilized higher-order FEM for advection-dominated problems", Volume 195. Computer Methods in Applied Mechanics and Engineering 4124–4138

[25] Ch. Schwab. (1998) "Failed to parse (MathML with SVG or PNG fallback (recommended for modern browsers and accessibility tools): Invalid response ("Math extension cannot connect to Restbase.") from server "https://mathoid.scipedia.com/localhost/v1/":): p - and Failed to parse (MathML with SVG or PNG fallback (recommended for modern browsers and accessibility tools): Invalid response ("Math extension cannot connect to Restbase.") from server "https://mathoid.scipedia.com/localhost/v1/":): {\textstyle hp} -Finite element methods. Theory and application to solid and fluid mechanics". Oxford University Press

Back to Top

Document information

Published on 08/02/19
Accepted on 24/01/19
Submitted on 19/06/18

Volume 35, Issue 1, 2019
DOI: 10.23967/j.rimni.2019.01.003
Licence: CC BY-NC-SA license

Document Score

0

Views 244
Recommendations 0

Share this document

claim authorship

Are you one of the authors of this document?