Abstract

For open quantum systems, a short-time evolution is usually well described by the effective non-Hermitian Hamiltonians, while long-time dynamics requires the Lindblad master equation, in which the Liouvillian superoperators characterize the time evolution. In this paper, we constructed an open system by adding suitable gain and loss operators to the Chern insulator to investigate the time evolution of quantum states at long times by numerical simulations. Finally, we also propose a topolectrical circuits to realize the dissipative system for experimental observation. It is found that the opening and closing of the Liouvillian gap leads to different damping behaviours of the system and that the presence of non-Hermitian skin effects leads to a phenomenon of chiral damping with sharp wavefronts. Our study deepens the understanding of quantum dynamics of dissipative system.

Keywords: Open quantum system, chiral damping, topolectrical circuits

Jilian Zhong Department of Physics, Jiangsu University, Zhenjiang 212013, People’s Republic of China zhongjilian0532@163.com

Xiaoyue Li Department of Physics, Jiangsu University, Zhenjiang 212013, People’s Republic of China

DOI: 10.23967/j.rimni.2024.05.008

1. Introduction

With the laboratory advances in modulating dissipation and quantum coherence,the theory of open and nonequilibrium systems has received renewed attention [1,2]. Non-Hermitian Hamiltonians have been used to describe a large number of non-conservative systems, such as classical waves with gain and loss [3-8], solids with finite quasiparticles lifetimes [9-11], and open quantum systems [12-14]. The unique features of non-Hermitian systems have been recognized in a variety of physical settings, in particular the non-Hermitian skin effect (NHSE) [15,16], where the eigenstates of the system are exponentially localized on the boundary. In recent years, the impact of NHSE has been extensively studied [17-29].

NHSE was also found in open quantum systems [30]. For open quantum systems, the non-Hermitian effective Hamiltonian describes the time evolution of the wavefunction under post-selection conditions, while the time evolution of the density matrix (without post-selection) is driven by the Liouvillian superoperator in the master equation [2,31-33]. It has been found that the Liouvillian superoperator can also exhibit non-Hermitian skin effects and that such effects can significantly affect the dynamical behaviour of the system at long times [30,34-43]. In a large class of open quantum systems, the quantum state in the long time limit converges to the steady state by algebraic damping under periodic boundary conditions and exponential damping under open boundary conditions [30].

In recent years, it has been discovered that topolectrical circuits can be used as platform to simulate the lattice systems, thus enabling the study of topological states in topolectrical circuits and gradually developing the field of topological circuitry [44-46]. Some of the early experiments and theories were extensively studied in Hermitian systems [45,47]. Since the phenomena of non-Hermitian systems are more rich than that of Hermitian systems, increasing attentions are contributed into the non-Hermitian physics, and some interesting phenomena have also been realized by topolectrical circuits [48-52].

Previous studies on open quantum dynamics and topolectrical circuits have mainly focused on one-dimensional non-Hermitian models, and relatively few studies on higher-dimensional non-Hermitian models. In this paper, we consider a two-dimensional open quantum system based on Chern insulators. Following the method developed in Song et al. [30], we study the dynamics of this system in terms of the damping matrix derived from the Liouvillian superoperator, and give a model of topolectrical circuit realization of the damping matrix based on Kirchhoff’s theory. It is found that due to the NHSE of the damping matrix, the long-time dynamics of the system under open boundary conditions is significantly different from that under periodic boundary conditions.

Our paper is organized as follows: in section 2, we briefly review the general framework on how to convert Liouvillian operators with linear jumps to non-Hermitian damping matrix. In sections 3 and 4, we compute and numerically simulate the long-time evolution of the model. In section 5, we give the circuit model of the non-Hermitian damping matrix . Finally, we conclude in section 6.

2. General formalism of damping matrix

An open quantum system undergoing Markovian damping satisfies the Lindblad master equation

Failed to parse (MathML with SVG or PNG fallback (recommended for modern browsers and accessibility tools): Invalid response ("Math extension cannot connect to Restbase.") from server "https://mathoid.scipedia.com/localhost/v1/":): \frac{d\rho }{dt}=-i[H,\rho ]+\sum \left(2L_{\mu }\rho L_{\mu }^{\dagger }-\right.

Failed to parse (MathML with SVG or PNG fallback (recommended for modern browsers and accessibility tools): Invalid response ("Math extension cannot connect to Restbase.") from server "https://mathoid.scipedia.com/localhost/v1/":): \left. \lbrace L_{\mu }^{\dagger }L_{\mu },\rho \rbrace \right),

(1)
where Failed to parse (MathML with SVG or PNG fallback (recommended for modern browsers and accessibility tools): Invalid response ("Math extension cannot connect to Restbase.") from server "https://mathoid.scipedia.com/localhost/v1/":): \rho
is the density matrix of the system,  Failed to parse (MathML with SVG or PNG fallback (recommended for modern browsers and accessibility tools): Invalid response ("Math extension cannot connect to Restbase.") from server "https://mathoid.scipedia.com/localhost/v1/":): H
is the Hamiltonian that represents unitary evolution of the system, and  Failed to parse (MathML with SVG or PNG fallback (recommended for modern browsers and accessibility tools): Invalid response ("Math extension cannot connect to Restbase.") from server "https://mathoid.scipedia.com/localhost/v1/":): L_{\mu }
are Lindblad dissipation operators describing the quantum jumps induced by the coupling to the environment. The above equation can be abbreviated as  Failed to parse (MathML with SVG or PNG fallback (recommended for modern browsers and accessibility tools): Invalid response ("Math extension cannot connect to Restbase.") from server "https://mathoid.scipedia.com/localhost/v1/":): \frac{d\rho }{dt}=L\rho 

, where Failed to parse (MathML with SVG or PNG fallback (recommended for modern browsers and accessibility tools): Invalid response ("Math extension cannot connect to Restbase.") from server "https://mathoid.scipedia.com/localhost/v1/":): L

is called the Liouvillian superoperator. By regarding the density matrix  Failed to parse (MathML with SVG or PNG fallback (recommended for modern browsers and accessibility tools): Invalid response ("Math extension cannot connect to Restbase.") from server "https://mathoid.scipedia.com/localhost/v1/":): \rho 
as a vector that consists of matrix elements  Failed to parse (MathML with SVG or PNG fallback (recommended for modern browsers and accessibility tools): Invalid response ("Math extension cannot connect to Restbase.") from server "https://mathoid.scipedia.com/localhost/v1/":): {\rho }_{i,j}

, Failed to parse (MathML with SVG or PNG fallback (recommended for modern browsers and accessibility tools): Invalid response ("Math extension cannot connect to Restbase.") from server "https://mathoid.scipedia.com/localhost/v1/":): L

is represented as a matrix whose elements are given by [53]
Failed to parse (MathML with SVG or PNG fallback (recommended for modern browsers and accessibility tools): Invalid response ("Math extension cannot connect to Restbase.") from server "https://mathoid.scipedia.com/localhost/v1/":): L_{ij,kl}=\sum_{\mu }2L_{\mu ;i,k}L_{\mu ;l,j}^{\dagger }-i{\left(H-i\sum_{\mu }L_{\mu }^{\dagger }L_{\mu }\right)}_{i,k}{\delta }_{l,j}+i{\left(H+i\sum_{\mu }L_{\mu }^{\dagger }L_{\mu }\right)}_{l,j}{\delta }_{ik.}
(2)
These representations enable one to treat the Lindblad equation as a linear equation. In other words, the dynamics of the system can be understood in terms of the eigenvalue problem of the Liouvillian matrix: Failed to parse (MathML with SVG or PNG fallback (recommended for modern browsers and accessibility tools): Invalid response ("Math extension cannot connect to Restbase.") from server "https://mathoid.scipedia.com/localhost/v1/":): L{\rho }^{\left(i\right)}={\lambda }_i{\rho }^{\left(i\right)}.
The Hamiltonian and dissipators can be expressed in terms of 2n Majorana fermions [54]
Failed to parse (MathML with SVG or PNG fallback (recommended for modern browsers and accessibility tools): Invalid response ("Math extension cannot connect to Restbase.") from server "https://mathoid.scipedia.com/localhost/v1/":): H=\sum_{i,j=1}^{2n}{\gamma }_iH_{{}_{ij}}^M{\gamma }_j, \quad L_{\mu }=\sum_{i=1}^{2n}l_{{}_{\mu ,i}}^M{\gamma }_i
(3)
where Failed to parse (MathML with SVG or PNG fallback (recommended for modern browsers and accessibility tools): Invalid response ("Math extension cannot connect to Restbase.") from server "https://mathoid.scipedia.com/localhost/v1/":): {\gamma }_i
are Majorana fermions satisfying  Failed to parse (MathML with SVG or PNG fallback (recommended for modern browsers and accessibility tools): Invalid response ("Math extension cannot connect to Restbase.") from server "https://mathoid.scipedia.com/localhost/v1/":): \lbrace {\gamma }_i,{\gamma }_j\rbrace =2{\delta }_{ij}

. The matrix Failed to parse (MathML with SVG or PNG fallback (recommended for modern browsers and accessibility tools): Invalid response ("Math extension cannot connect to Restbase.") from server "https://mathoid.scipedia.com/localhost/v1/":): H^M

is chosen to be an antisymmetric matrix, Failed to parse (MathML with SVG or PNG fallback (recommended for modern browsers and accessibility tools): Invalid response ("Math extension cannot connect to Restbase.") from server "https://mathoid.scipedia.com/localhost/v1/":): {\left(H^M\right)}^T=-H^M

. Defining Failed to parse (MathML with SVG or PNG fallback (recommended for modern browsers and accessibility tools): Invalid response ("Math extension cannot connect to Restbase.") from server "https://mathoid.scipedia.com/localhost/v1/":): M_{ij}={\sum }_{\mu }l_{\mu ,i}^\ast l_{\mu ,j}^{} , Failed to parse (MathML with SVG or PNG fallback (recommended for modern browsers and accessibility tools): Invalid response ("Math extension cannot connect to Restbase.") from server "https://mathoid.scipedia.com/localhost/v1/":): M_{{}_{ij}}^M={\sum }_{\mu }{\left(l_{\mu ,i}^M\right)}^\ast l_{\mu ,j}^M , we have Failed to parse (MathML with SVG or PNG fallback (recommended for modern browsers and accessibility tools): Invalid response ("Math extension cannot connect to Restbase.") from server "https://mathoid.scipedia.com/localhost/v1/":): M_{{}_{}}^M=\frac{1}{4}M\otimes (1+{\sigma }_y) . Under the third quantization [54,55], the Liouvillian superoperator is expressed as a quadratic form of the 2n complex fermions (4n Majorana fermions)

Failed to parse (MathML with SVG or PNG fallback (recommended for modern browsers and accessibility tools): Invalid response ("Math extension cannot connect to Restbase.") from server "https://mathoid.scipedia.com/localhost/v1/":): L\mbox{=}\frac{2}{i}\left(\begin{array}{cc} c^{\dagger } & c \end{array}\right)\left(\begin{array}{cc} -Z^T & Y\\ 0 & Z \end{array}\right)\left(\begin{array}{c} c\\ c^{\dagger } \end{array}\right),
(4)
where Failed to parse (MathML with SVG or PNG fallback (recommended for modern browsers and accessibility tools): Invalid response ("Math extension cannot connect to Restbase.") from server "https://mathoid.scipedia.com/localhost/v1/":): Z=H^M+iRe{\left(M^M\right)}^T,Y=2Im{\left(M^M\right)}^T

, and Failed to parse (MathML with SVG or PNG fallback (recommended for modern browsers and accessibility tools): Invalid response ("Math extension cannot connect to Restbase.") from server "https://mathoid.scipedia.com/localhost/v1/":): c=(c_1,c_2,...,c_{2n})

are third quantized complex fermions. Through the above expression, we can obtain the Liouvillian eigenspectrum [54,55]
Failed to parse (MathML with SVG or PNG fallback (recommended for modern browsers and accessibility tools): Invalid response ("Math extension cannot connect to Restbase.") from server "https://mathoid.scipedia.com/localhost/v1/":): \lambda ={\sum }_iE_iv_i
(5)
with Failed to parse (MathML with SVG or PNG fallback (recommended for modern browsers and accessibility tools): Invalid response ("Math extension cannot connect to Restbase.") from server "https://mathoid.scipedia.com/localhost/v1/":): v_i\in \lbrace 0,1\rbrace

, where Failed to parse (MathML with SVG or PNG fallback (recommended for modern browsers and accessibility tools): Invalid response ("Math extension cannot connect to Restbase.") from server "https://mathoid.scipedia.com/localhost/v1/":): \left\{E_i\right\}

is the eigenspectrum of  Failed to parse (MathML with SVG or PNG fallback (recommended for modern browsers and accessibility tools): Invalid response ("Math extension cannot connect to Restbase.") from server "https://mathoid.scipedia.com/localhost/v1/":): 4iZ

. Here Failed to parse (MathML with SVG or PNG fallback (recommended for modern browsers and accessibility tools): Invalid response ("Math extension cannot connect to Restbase.") from server "https://mathoid.scipedia.com/localhost/v1/":): \lambda

contains valuable information of the full density-matrix dynamics, and it can be easily obtained from the damping matrix Failed to parse (MathML with SVG or PNG fallback (recommended for modern browsers and accessibility tools): Invalid response ("Math extension cannot connect to Restbase.") from server "https://mathoid.scipedia.com/localhost/v1/":): X
with   Failed to parse (MathML with SVG or PNG fallback (recommended for modern browsers and accessibility tools): Invalid response ("Math extension cannot connect to Restbase.") from server "https://mathoid.scipedia.com/localhost/v1/":): X_{ij}=ih_{ji}-{\sum }_{\mu }l_{\mu ,j}^\ast l_{\mu ,i}^{}
[36]. Rewriting Failed to parse (MathML with SVG or PNG fallback (recommended for modern browsers and accessibility tools): Invalid response ("Math extension cannot connect to Restbase.") from server "https://mathoid.scipedia.com/localhost/v1/":): M
as  Failed to parse (MathML with SVG or PNG fallback (recommended for modern browsers and accessibility tools): Invalid response ("Math extension cannot connect to Restbase.") from server "https://mathoid.scipedia.com/localhost/v1/":): M=M_r+iM_i

, where Failed to parse (MathML with SVG or PNG fallback (recommended for modern browsers and accessibility tools): Invalid response ("Math extension cannot connect to Restbase.") from server "https://mathoid.scipedia.com/localhost/v1/":): M_r,M_i

are real matrices, we have  Failed to parse (MathML with SVG or PNG fallback (recommended for modern browsers and accessibility tools): Invalid response ("Math extension cannot connect to Restbase.") from server "https://mathoid.scipedia.com/localhost/v1/":): M^M=\frac{1}{4}(M_r+iM_i)\otimes (1+{\sigma }_y)

. Failed to parse (MathML with SVG or PNG fallback (recommended for modern browsers and accessibility tools): Invalid response ("Math extension cannot connect to Restbase.") from server "https://mathoid.scipedia.com/localhost/v1/":): Z

can be further written as
Failed to parse (MathML with SVG or PNG fallback (recommended for modern browsers and accessibility tools): Invalid response ("Math extension cannot connect to Restbase.") from server "https://mathoid.scipedia.com/localhost/v1/":): \begin{align} Z=&\frac{1}{4}(h_r\otimes {\sigma }_y+ih_i\otimes 1)+i\frac{1}{4}(M_r^T\otimes 1-iM_i^T\otimes {\sigma }_y)\\ =&\frac{1}{4}(h_r+M_i^T)\otimes {\sigma }_y+i\frac{1}{4}(h_i+M_r^T)\otimes 1 \end{align}
(6)
Therefore,
Failed to parse (MathML with SVG or PNG fallback (recommended for modern browsers and accessibility tools): Invalid response ("Math extension cannot connect to Restbase.") from server "https://mathoid.scipedia.com/localhost/v1/":): \begin{array}{c} \det(4iZ-\lambda E)=\det\left(\begin{array}{cc} -(h_i+M_r^T)-\lambda & h_r+M_i^T\\ -(h_r+M_i^T) & -(h_i+M_r^T)-\lambda \end{array}\right)\\ =\det(X-\lambda E)\det(X^\ast -\lambda E) \end{array}
(7)
The eigenvalue of Failed to parse (MathML with SVG or PNG fallback (recommended for modern browsers and accessibility tools): Invalid response ("Math extension cannot connect to Restbase.") from server "https://mathoid.scipedia.com/localhost/v1/":): 4iZ
are the union of the eigenvalues of  Failed to parse (MathML with SVG or PNG fallback (recommended for modern browsers and accessibility tools): Invalid response ("Math extension cannot connect to Restbase.") from server "https://mathoid.scipedia.com/localhost/v1/":): X
and  Failed to parse (MathML with SVG or PNG fallback (recommended for modern browsers and accessibility tools): Invalid response ("Math extension cannot connect to Restbase.") from server "https://mathoid.scipedia.com/localhost/v1/":): X^\ast 

, which gives the Liouvillian eigenspectrum.

Then we outline the general form of the Lindblad damping matrix in open quantum systems [30]. We consider tight-binding models whose Hamiltonian can generally be written as Failed to parse (MathML with SVG or PNG fallback (recommended for modern browsers and accessibility tools): Invalid response ("Math extension cannot connect to Restbase.") from server "https://mathoid.scipedia.com/localhost/v1/":): H=\sum {}_{ij}h_{ij}c_i^{\dagger }c_j , where Failed to parse (MathML with SVG or PNG fallback (recommended for modern browsers and accessibility tools): Invalid response ("Math extension cannot connect to Restbase.") from server "https://mathoid.scipedia.com/localhost/v1/":): c_i^{\dagger },c_i

are the creation and annihilation operators on lattice site  Failed to parse (MathML with SVG or PNG fallback (recommended for modern browsers and accessibility tools): Invalid response ("Math extension cannot connect to Restbase.") from server "https://mathoid.scipedia.com/localhost/v1/":): i

, and Failed to parse (MathML with SVG or PNG fallback (recommended for modern browsers and accessibility tools): Invalid response ("Math extension cannot connect to Restbase.") from server "https://mathoid.scipedia.com/localhost/v1/":): h_{ij}=h_{ij}^\ast

is the hopping amplitude between the lattice points of the system (Failed to parse (MathML with SVG or PNG fallback (recommended for modern browsers and accessibility tools): Invalid response ("Math extension cannot connect to Restbase.") from server "https://mathoid.scipedia.com/localhost/v1/":): i\not =j

) or onsite potential (Failed to parse (MathML with SVG or PNG fallback (recommended for modern browsers and accessibility tools): Invalid response ("Math extension cannot connect to Restbase.") from server "https://mathoid.scipedia.com/localhost/v1/":): i=j ). It is convenient to define the single-particle correlation function Failed to parse (MathML with SVG or PNG fallback (recommended for modern browsers and accessibility tools): Invalid response ("Math extension cannot connect to Restbase.") from server "https://mathoid.scipedia.com/localhost/v1/":): {\Delta }_{ij}(t)=Tr[c_i^{\dagger }c_j\rho (t)]

to observe the time evolution of the density matrix. Each cell is coupled to the environment through the gain jump operator  Failed to parse (MathML with SVG or PNG fallback (recommended for modern browsers and accessibility tools): Invalid response ("Math extension cannot connect to Restbase.") from server "https://mathoid.scipedia.com/localhost/v1/":): L_{\mu }^g=\sum {}_iD_{\mu i}^gc_i^{\dagger }
and loss jump operator Failed to parse (MathML with SVG or PNG fallback (recommended for modern browsers and accessibility tools): Invalid response ("Math extension cannot connect to Restbase.") from server "https://mathoid.scipedia.com/localhost/v1/":): L_{\mu }^l=\sum {}_iD_{\mu j}^lc_i

. Substituting the Lindblad quantum master equation into the time evolution of the single-particle correlation function, we can obtained

Failed to parse (MathML with SVG or PNG fallback (recommended for modern browsers and accessibility tools): Invalid response ("Math extension cannot connect to Restbase.") from server "https://mathoid.scipedia.com/localhost/v1/":): \frac{d\Delta (\mbox{t})}{dt}=X\Delta (\mbox{t})+\Delta (\mbox{t})X^{\dagger }+2M_g,
(8)
where Failed to parse (MathML with SVG or PNG fallback (recommended for modern browsers and accessibility tools): Invalid response ("Math extension cannot connect to Restbase.") from server "https://mathoid.scipedia.com/localhost/v1/":): X=ih^T-(M_l^T+M_g)
is the damping matrix with  Failed to parse (MathML with SVG or PNG fallback (recommended for modern browsers and accessibility tools): Invalid response ("Math extension cannot connect to Restbase.") from server "https://mathoid.scipedia.com/localhost/v1/":): {\left(M_g\right)}_i{}_j=\sum {}_{\mu }D_{\mu i}^{g\ast }D_{\mu j}^g
and  Failed to parse (MathML with SVG or PNG fallback (recommended for modern browsers and accessibility tools): Invalid response ("Math extension cannot connect to Restbase.") from server "https://mathoid.scipedia.com/localhost/v1/":): {\left(M_l\right)}_i{}_j=\sum {}_{\mu }D_{\mu i}^{l\ast }D_{\mu j}^l

. The steady state correlation Failed to parse (MathML with SVG or PNG fallback (recommended for modern browsers and accessibility tools): Invalid response ("Math extension cannot connect to Restbase.") from server "https://mathoid.scipedia.com/localhost/v1/":): {\Delta }_s=\Delta (\infty ) , to which the long-time evolution of any initial state converges, is determined by Failed to parse (MathML with SVG or PNG fallback (recommended for modern browsers and accessibility tools): Invalid response ("Math extension cannot connect to Restbase.") from server "https://mathoid.scipedia.com/localhost/v1/":): d{\Delta }_s/dt=0

or  Failed to parse (MathML with SVG or PNG fallback (recommended for modern browsers and accessibility tools): Invalid response ("Math extension cannot connect to Restbase.") from server "https://mathoid.scipedia.com/localhost/v1/":): X{\Delta }_s+{\Delta }_sX^{\dagger }+2M_g=0

. Focusing on the deviation towards the steady state Failed to parse (MathML with SVG or PNG fallback (recommended for modern browsers and accessibility tools): Invalid response ("Math extension cannot connect to Restbase.") from server "https://mathoid.scipedia.com/localhost/v1/":): \tilde{\Delta }(t)=\Delta (t)-{\Delta }_s , whose time evolution is Failed to parse (MathML with SVG or PNG fallback (recommended for modern browsers and accessibility tools): Invalid response ("Math extension cannot connect to Restbase.") from server "https://mathoid.scipedia.com/localhost/v1/":): d\tilde{\Delta }(t)/dt=X\tilde{\Delta }(t)+\tilde{\Delta }(t)X^{\dagger } , we can integrate it with Eq. (1) to obtain

Failed to parse (MathML with SVG or PNG fallback (recommended for modern browsers and accessibility tools): Invalid response ("Math extension cannot connect to Restbase.") from server "https://mathoid.scipedia.com/localhost/v1/":): \tilde{\Delta }(\mbox{t})=e^{Xt}\tilde{\Delta }(\mbox{0})e^{X\dagger t}.
(9)
Therefore, the dynamical behaviour of the system can be characterized by the damping matrix.

3. Model

In this paper, we consider the Chern insulator model with the Hamiltonian in momentum space as

Failed to parse (MathML with SVG or PNG fallback (recommended for modern browsers and accessibility tools): Invalid response ("Math extension cannot connect to Restbase.") from server "https://mathoid.scipedia.com/localhost/v1/":): h(k)=l_x\sin k_x{\sigma }_x+l_y\sin k_y{\sigma }_y+{\epsilon }_k{\sigma }_z,
(10)
where Failed to parse (MathML with SVG or PNG fallback (recommended for modern browsers and accessibility tools): Invalid response ("Math extension cannot connect to Restbase.") from server "https://mathoid.scipedia.com/localhost/v1/":): {\epsilon }_k=m+t_x\cos k_x+t_y\cos k_y

. Let each unit cell contain a single loss and gain dissipator,

Failed to parse (MathML with SVG or PNG fallback (recommended for modern browsers and accessibility tools): Invalid response ("Math extension cannot connect to Restbase.") from server "https://mathoid.scipedia.com/localhost/v1/":): \begin{align} L_x^l= & \frac{\sqrt{2\gamma }}{2}\left(e^{-\displaystyle\frac{\pi }{4}i}c_{xA}+e^{\displaystyle\frac{\pi }{4}i}c_{xB}\right)\\ L_x^g= & \frac{\sqrt{2\gamma }}{2}\left(e^{\displaystyle\frac{\pi }{4}i}c_{xA}^{\dagger }+e^{-\displaystyle\frac{\pi }{4}i}c_{xB}\right), \end{align}
(11)
where Failed to parse (MathML with SVG or PNG fallback (recommended for modern browsers and accessibility tools): Invalid response ("Math extension cannot connect to Restbase.") from server "https://mathoid.scipedia.com/localhost/v1/":): x
denotes the lattice site,  Failed to parse (MathML with SVG or PNG fallback (recommended for modern browsers and accessibility tools): Invalid response ("Math extension cannot connect to Restbase.") from server "https://mathoid.scipedia.com/localhost/v1/":): A,B
refer to the sublattice. The Fourier transformation of  Failed to parse (MathML with SVG or PNG fallback (recommended for modern browsers and accessibility tools): Invalid response ("Math extension cannot connect to Restbase.") from server "https://mathoid.scipedia.com/localhost/v1/":): X
is  Failed to parse (MathML with SVG or PNG fallback (recommended for modern browsers and accessibility tools): Invalid response ("Math extension cannot connect to Restbase.") from server "https://mathoid.scipedia.com/localhost/v1/":): X(k)=ih^T(-k)-M_l^T(-k)-M_g(k)

. The gain and loss dissipators are intra-cell, so these Failed to parse (MathML with SVG or PNG fallback (recommended for modern browsers and accessibility tools): Invalid response ("Math extension cannot connect to Restbase.") from server "https://mathoid.scipedia.com/localhost/v1/":): M(k)

matrices are independent of  Failed to parse (MathML with SVG or PNG fallback (recommended for modern browsers and accessibility tools): Invalid response ("Math extension cannot connect to Restbase.") from server "https://mathoid.scipedia.com/localhost/v1/":): k

, Failed to parse (MathML with SVG or PNG fallback (recommended for modern browsers and accessibility tools): Invalid response ("Math extension cannot connect to Restbase.") from server "https://mathoid.scipedia.com/localhost/v1/":): M_l(k)=\frac{\sqrt{2}}{2}\lambda +\frac{1}{2}{\sigma }_x- Failed to parse (MathML with SVG or PNG fallback (recommended for modern browsers and accessibility tools): Invalid response ("Math extension cannot connect to Restbase.") from server "https://mathoid.scipedia.com/localhost/v1/":): \frac{1}{2}{\sigma }_y,M_g(k)=\frac{\sqrt{2}}{2}\lambda + Failed to parse (MathML with SVG or PNG fallback (recommended for modern browsers and accessibility tools): Invalid response ("Math extension cannot connect to Restbase.") from server "https://mathoid.scipedia.com/localhost/v1/":): \frac{1}{2}{\sigma }_x+\frac{1}{2}{\sigma }_y . Then, the damping matrix in momentum space is

Failed to parse (MathML with SVG or PNG fallback (recommended for modern browsers and accessibility tools): Invalid response ("Math extension cannot connect to Restbase.") from server "https://mathoid.scipedia.com/localhost/v1/":): X(k)=i[l_x\sin k_x{\sigma }_x+l_y\sin k_y{\sigma }_y+{\epsilon }_k{\sigma }_z+

Failed to parse (MathML with SVG or PNG fallback (recommended for modern browsers and accessibility tools): Invalid response ("Math extension cannot connect to Restbase.") from server "https://mathoid.scipedia.com/localhost/v1/":): i[\lambda {\sigma }_x+\lambda {\sigma }_y]-\sqrt{2}\lambda .

(12)
It can be written in the form of left and right eigenvectors,
Failed to parse (MathML with SVG or PNG fallback (recommended for modern browsers and accessibility tools): Invalid response ("Math extension cannot connect to Restbase.") from server "https://mathoid.scipedia.com/localhost/v1/":): X=\sum_n{\lambda }_n\vert u_{Rn}\rangle \langle u_{Ln}\vert ,
(13)
where Failed to parse (MathML with SVG or PNG fallback (recommended for modern browsers and accessibility tools): Invalid response ("Math extension cannot connect to Restbase.") from server "https://mathoid.scipedia.com/localhost/v1/":): X^{\dagger }\vert u_{Ln}\rangle ={\lambda }_n^\ast \vert u_{Ln}\rangle ,X\vert u_{Rn}\rangle =

Failed to parse (MathML with SVG or PNG fallback (recommended for modern browsers and accessibility tools): Invalid response ("Math extension cannot connect to Restbase.") from server "https://mathoid.scipedia.com/localhost/v1/":): {\lambda }_n\vert u_{Rn}\rangle . It is worth noting that our Failed to parse (MathML with SVG or PNG fallback (recommended for modern browsers and accessibility tools): Invalid response ("Math extension cannot connect to Restbase.") from server "https://mathoid.scipedia.com/localhost/v1/":): M_l

and   Failed to parse (MathML with SVG or PNG fallback (recommended for modern browsers and accessibility tools): Invalid response ("Math extension cannot connect to Restbase.") from server "https://mathoid.scipedia.com/localhost/v1/":): M_g
satisfy  Failed to parse (MathML with SVG or PNG fallback (recommended for modern browsers and accessibility tools): Invalid response ("Math extension cannot connect to Restbase.") from server "https://mathoid.scipedia.com/localhost/v1/":): M_l^T+M_g=2M_g

, guaranteeing that Failed to parse (MathML with SVG or PNG fallback (recommended for modern browsers and accessibility tools): Invalid response ("Math extension cannot connect to Restbase.") from server "https://mathoid.scipedia.com/localhost/v1/":): {\Delta }_S=\frac{1}{2}I_{2L\times 2L}

is a steady state solution, where  Failed to parse (MathML with SVG or PNG fallback (recommended for modern browsers and accessibility tools): Invalid response ("Math extension cannot connect to Restbase.") from server "https://mathoid.scipedia.com/localhost/v1/":): L=N_x\times N_y

, Failed to parse (MathML with SVG or PNG fallback (recommended for modern browsers and accessibility tools): Invalid response ("Math extension cannot connect to Restbase.") from server "https://mathoid.scipedia.com/localhost/v1/":): {\textstyle L }

is the system size, and  Failed to parse (MathML with SVG or PNG fallback (recommended for modern browsers and accessibility tools): Invalid response ("Math extension cannot connect to Restbase.") from server "https://mathoid.scipedia.com/localhost/v1/":): N_x,N_y
are the size in Failed to parse (MathML with SVG or PNG fallback (recommended for modern browsers and accessibility tools): Invalid response ("Math extension cannot connect to Restbase.") from server "https://mathoid.scipedia.com/localhost/v1/":): {\textstyle  x,y }
direction, respectively. We assume that the initial state of the system is the completely filled state, i.e., Failed to parse (MathML with SVG or PNG fallback (recommended for modern browsers and accessibility tools): Invalid response ("Math extension cannot connect to Restbase.") from server "https://mathoid.scipedia.com/localhost/v1/":): \Delta (0)
is an identity matrix. Therefore, Eq.(9) can be re-expressed as
Failed to parse (MathML with SVG or PNG fallback (recommended for modern browsers and accessibility tools): Invalid response ("Math extension cannot connect to Restbase.") from server "https://mathoid.scipedia.com/localhost/v1/":): \begin{aligned} \tilde{\Delta}(\mathrm{t})& =\frac{1}{2}\displaystyle\sum_{n,n^{'},l}\exp[(\lambda_{n}+\lambda_{n^{'}}^{*})t]\widetilde{u_{R}}(i,n)\widetilde{u_{L}}(l,n)\widetilde{u_{L}^{*}}(l,n^{'})\widetilde{u_{R}^{*}}(j,n^{'}) \\ &=\displaystyle\frac{1}{2}\displaystyle\sum_{n,n^{'}}\displaystyle\frac{\displaystyle\sum_{l}\exp[(\lambda_{n}+\lambda_{n^{'}}^{*})t]u_{R}(i,n)u_{L}(l,n)u_{L}^{*}(l,n^{'})u_{R}^{*}(j,n^{'})}{\displaystyle\sum_{k}u_{R}(k,n)u_{L}(k,n)\displaystyle\sum_{m}u_{L}^{*}(m,n^{'})u_{R}^{*}(m,n^{'})} \end{aligned}
(14)
According to the dissipative property, Failed to parse (MathML with SVG or PNG fallback (recommended for modern browsers and accessibility tools): Invalid response ("Math extension cannot connect to Restbase.") from server "https://mathoid.scipedia.com/localhost/v1/":): Re\lbrace {\lambda }_n\rbrace \leq 0
always holds. The Liouvillian gap  Failed to parse (MathML with SVG or PNG fallback (recommended for modern browsers and accessibility tools): Invalid response ("Math extension cannot connect to Restbase.") from server "https://mathoid.scipedia.com/localhost/v1/":): \Lambda =\min[2Re(-{\lambda }_n)]
plays a decisive role in long-time dynamics. The opening gap (Failed to parse (MathML with SVG or PNG fallback (recommended for modern browsers and accessibility tools): Invalid response ("Math extension cannot connect to Restbase.") from server "https://mathoid.scipedia.com/localhost/v1/":): \Lambda \not =0

) implies an exponential rate of convergence to the steady state, while the closing gap (Failed to parse (MathML with SVG or PNG fallback (recommended for modern browsers and accessibility tools): Invalid response ("Math extension cannot connect to Restbase.") from server "https://mathoid.scipedia.com/localhost/v1/":): \Lambda =0 ) implies algebraic convergence [34].

4. Chiral damping

For simplicity, the parameters of our model are taken as Failed to parse (MathML with SVG or PNG fallback (recommended for modern browsers and accessibility tools): Invalid response ("Math extension cannot connect to Restbase.") from server "https://mathoid.scipedia.com/localhost/v1/":): l_x=l_y=1 , Failed to parse (MathML with SVG or PNG fallback (recommended for modern browsers and accessibility tools): Invalid response ("Math extension cannot connect to Restbase.") from server "https://mathoid.scipedia.com/localhost/v1/":): t_x=t_y=-1 . We first study the dynamical behaviour under the periodic boundary conditions. Diagonalizing Failed to parse (MathML with SVG or PNG fallback (recommended for modern browsers and accessibility tools): Invalid response ("Math extension cannot connect to Restbase.") from server "https://mathoid.scipedia.com/localhost/v1/":): X(k) , we obtain the energy spectrum as shown in Figure 1. It is found that the Liouvillian gap vanishes at Failed to parse (MathML with SVG or PNG fallback (recommended for modern browsers and accessibility tools): Invalid response ("Math extension cannot connect to Restbase.") from server "https://mathoid.scipedia.com/localhost/v1/":): m=1.5 , while the gap opens at Failed to parse (MathML with SVG or PNG fallback (recommended for modern browsers and accessibility tools): Invalid response ("Math extension cannot connect to Restbase.") from server "https://mathoid.scipedia.com/localhost/v1/":): m=2.5

. So we expect the damping rate to be algebraic and exponential in each case, respectively.
Draft Zhong 847600978-image84.png
Figure 1. Eigenvalues of the damping matrix X. Blue: periodic boundary; Red: open boundary . The Liouvillian gap under periodic boundary condition vanishes for (a) and (b), while it is nonzero for (c) and (d). Under open boundary condition, the Liouvillian gap is nonzero in all four cases. This significant difference between open and periodic boundary comes from the NHSE of Failed to parse (MathML with SVG or PNG fallback (recommended for modern browsers and accessibility tools): Invalid response ("Math extension cannot connect to Restbase.") from server "https://mathoid.scipedia.com/localhost/v1/":): {\textstyle X}

. (a) Failed to parse (MathML with SVG or PNG fallback (recommended for modern browsers and accessibility tools): Invalid response ("Math extension cannot connect to Restbase.") from server "https://mathoid.scipedia.com/localhost/v1/":): \lambda =0.1,m=1.5 . (b) Failed to parse (MathML with SVG or PNG fallback (recommended for modern browsers and accessibility tools): Invalid response ("Math extension cannot connect to Restbase.") from server "https://mathoid.scipedia.com/localhost/v1/":): \lambda =0.5,m=1.5 . (c) Failed to parse (MathML with SVG or PNG fallback (recommended for modern browsers and accessibility tools): Invalid response ("Math extension cannot connect to Restbase.") from server "https://mathoid.scipedia.com/localhost/v1/":): \lambda =0.1,m=2.5 . (d) Failed to parse (MathML with SVG or PNG fallback (recommended for modern browsers and accessibility tools): Invalid response ("Math extension cannot connect to Restbase.") from server "https://mathoid.scipedia.com/localhost/v1/":): \lambda =0.5,

 Failed to parse (MathML with SVG or PNG fallback (recommended for modern browsers and accessibility tools): Invalid response ("Math extension cannot connect to Restbase.") from server "https://mathoid.scipedia.com/localhost/v1/":): m=2.5
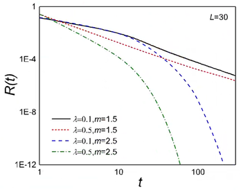
To verify this, we define the site-averaged fermion number deviation from the steady state Failed to parse (MathML with SVG or PNG fallback (recommended for modern browsers and accessibility tools): Invalid response ("Math extension cannot connect to Restbase.") from server "https://mathoid.scipedia.com/localhost/v1/":): R(t)=\sqrt{\frac{1}{N_XN_Y}{\sum_xR_x(t)}^2}=\sqrt{\frac{1}{N_XN_Y}{\sum_x\left(\frac{n_x(t)-n_x(t-{\delta }_t)}{{\delta }_t}\right)}^2}

, where Failed to parse (MathML with SVG or PNG fallback (recommended for modern browsers and accessibility tools): Invalid response ("Math extension cannot connect to Restbase.") from server "https://mathoid.scipedia.com/localhost/v1/":): R_x(t)=n_x(t)-n_x(\infty ) , and Failed to parse (MathML with SVG or PNG fallback (recommended for modern browsers and accessibility tools): Invalid response ("Math extension cannot connect to Restbase.") from server "https://mathoid.scipedia.com/localhost/v1/":): n_x(t)={\Delta }_{xA,xA}(t)+{\Delta }_{xB,xB}(t) . The numerical results are shown in Figure 2. As anticipated, it is observed that the damping of Failed to parse (MathML with SVG or PNG fallback (recommended for modern browsers and accessibility tools): Invalid response ("Math extension cannot connect to Restbase.") from server "https://mathoid.scipedia.com/localhost/v1/":): {\textstyle R(t)}

is algebraic for cases black and red lines with Failed to parse (MathML with SVG or PNG fallback (recommended for modern browsers and accessibility tools): Invalid response ("Math extension cannot connect to Restbase.") from server "https://mathoid.scipedia.com/localhost/v1/":): {\textstyle m=1.5}

, while exponential for blue and green lines with Failed to parse (MathML with SVG or PNG fallback (recommended for modern browsers and accessibility tools): Invalid response ("Math extension cannot connect to Restbase.") from server "https://mathoid.scipedia.com/localhost/v1/":): {\textstyle m=2.5}

under the periodic boundary condition.
Draft Zhong 847600978-image93.png
Figure 2. Damping of site-averaged fermion number towards the steady state under periodic boundary condition with size Failed to parse (MathML with SVG or PNG fallback (recommended for modern browsers and accessibility tools): Invalid response ("Math extension cannot connect to Restbase.") from server "https://mathoid.scipedia.com/localhost/v1/":): L=30\times 30

. Failed to parse (MathML with SVG or PNG fallback (recommended for modern browsers and accessibility tools): Invalid response ("Math extension cannot connect to Restbase.") from server "https://mathoid.scipedia.com/localhost/v1/":): {\textstyle m=1.5}

(black and red) exhibits a slow algebraic damping, while Failed to parse (MathML with SVG or PNG fallback (recommended for modern browsers and accessibility tools): Invalid response ("Math extension cannot connect to Restbase.") from server "https://mathoid.scipedia.com/localhost/v1/":): {\textstyle m=2.5}
(blue and green) is an exponential damping. The  initial state is the completely filled state
Next we turn to the open boundary conditions. Since the damping matrix Failed to parse (MathML with SVG or PNG fallback (recommended for modern browsers and accessibility tools): Invalid response ("Math extension cannot connect to Restbase.") from server "https://mathoid.scipedia.com/localhost/v1/":): {\textstyle X }
has  NHSE, its energy spectrum is no longer that of the periodic boundary conditions. At this point all the energy spectrums have a non-zero energy gap (red part of Figure 1), therefore, we expect an exponential long-time damping of  Failed to parse (MathML with SVG or PNG fallback (recommended for modern browsers and accessibility tools): Invalid response ("Math extension cannot connect to Restbase.") from server "https://mathoid.scipedia.com/localhost/v1/":): \tilde{\Delta }(t)

. The numerical simulation in Figure 3 confirms this exponential behaviour with Failed to parse (MathML with SVG or PNG fallback (recommended for modern browsers and accessibility tools): Invalid response ("Math extension cannot connect to Restbase.") from server "https://mathoid.scipedia.com/localhost/v1/":): {\textstyle R(t)}

having a period of algebraic damping before entering into the exponential damping. The time of the algebraic damping increases with the size Failed to parse (MathML with SVG or PNG fallback (recommended for modern browsers and accessibility tools): Invalid response ("Math extension cannot connect to Restbase.") from server "https://mathoid.scipedia.com/localhost/v1/":): {\textstyle  L }
(Figure 3(a)). To better understand this feature, we plot the damping in several unit cells in the same x dimension (Failed to parse (MathML with SVG or PNG fallback (recommended for modern browsers and accessibility tools): Invalid response ("Math extension cannot connect to Restbase.") from server "https://mathoid.scipedia.com/localhost/v1/":): {\textstyle ix = 1}

), as shown in Figure 3(b). It can be seen that the left end () enters the exponential damping immediately, and the other sites enter the exponential damping in turn according to their different distances to the left end.Due to a process of algebraic damping that occurs before entering the exponential stage,there is a "damping wavefront" from left (Failed to parse (MathML with SVG or PNG fallback (recommended for modern browsers and accessibility tools): Invalid response ("Math extension cannot connect to Restbase.") from server "https://mathoid.scipedia.com/localhost/v1/":): ix=1,iy=1 ) to right (Failed to parse (MathML with SVG or PNG fallback (recommended for modern browsers and accessibility tools): Invalid response ("Math extension cannot connect to Restbase.") from server "https://mathoid.scipedia.com/localhost/v1/":): ix=1,iy=N_y

). This phenomenon is known as "chiral damping".
Draft Zhong 847600978-image98.png
Figure 3. (a) Site-averaged particle number damping under periodic boundary conditions (solid line) and open boundary conditions (dashed line) for several sizes Failed to parse (MathML with SVG or PNG fallback (recommended for modern browsers and accessibility tools): Invalid response ("Math extension cannot connect to Restbase.") from server "https://mathoid.scipedia.com/localhost/v1/":): {\textstyle L }

. The long-time damping of Failed to parse (MathML with SVG or PNG fallback (recommended for modern browsers and accessibility tools): Invalid response ("Math extension cannot connect to Restbase.") from server "https://mathoid.scipedia.com/localhost/v1/":): {\textstyle R(t)}

follows a power law under periodic boundary condition, while the damping follows an exponential law after an initial power law stage under open boundary condition. (b) Particle number damping on several sites. The system size is Failed to parse (MathML with SVG or PNG fallback (recommended for modern browsers and accessibility tools): Invalid response ("Math extension cannot connect to Restbase.") from server "https://mathoid.scipedia.com/localhost/v1/":): {\textstyle   30\times 30}

, and the left end (Failed to parse (MathML with SVG or PNG fallback (recommended for modern browsers and accessibility tools): Invalid response ("Math extension cannot connect to Restbase.") from server "https://mathoid.scipedia.com/localhost/v1/":): ix=1,iy=1 ) enters the exponential phase from the beginning, followed by the other sites in turn. For (a) and (b), the initial state is completely filled state, Failed to parse (MathML with SVG or PNG fallback (recommended for modern browsers and accessibility tools): Invalid response ("Math extension cannot connect to Restbase.") from server "https://mathoid.scipedia.com/localhost/v1/":): m=1.5,\lambda =0.1

The phenomenon of chiral damping can be observed more intuitively as shown in Fig. 4(a) where the colour shades indicate the value of Failed to parse (MathML with SVG or PNG fallback (recommended for modern browsers and accessibility tools): Invalid response ("Math extension cannot connect to Restbase.") from server "https://mathoid.scipedia.com/localhost/v1/":): {\textstyle R(t)} . Under the periodic boundary condition, the time evolution follows a slow power law while under the open boundary condition, a wavefront moving to the upper right is observed. This can be intuitively linked to the phenomenon that all eigenstates of are localized in the upper right corner, which arises from the non-Hermitian skin effect of the damping matrix . If the matrix does not have NHSE under the open boundary condition, the fermion number of the system should have a similar behaviour of damping under different boundary conditions. Therefore, the non-Hermitian skin effect plays an important role in open quantum systems and significantly affects the dynamical behaviour of open quantum systems.
Draft Zhong 847600978-image101-c.png
Figure 4. Evolution of Failed to parse (MathML with SVG or PNG fallback (recommended for modern browsers and accessibility tools): Invalid response ("Math extension cannot connect to Restbase.") from server "https://mathoid.scipedia.com/localhost/v1/":): {\textstyle R(t)}
at each lattice site under open boundary conditions (a) and periodic boundary conditions (b)

5. Experiment realized

Next we give the scheme of topolectrical circuits to simulate the damping matrix. Based on the similarity between the Kirchhoff equation and the Schrödinger equation, it is possible to simulate the Hamiltonian of the system using different circuit components, and the different parameters in the Hamiltonian can be adjusted independently by various components. The circuit Laplacian corresponding to the Hamiltonian can be written as

Failed to parse (MathML with SVG or PNG fallback (recommended for modern browsers and accessibility tools): Invalid response ("Math extension cannot connect to Restbase.") from server "https://mathoid.scipedia.com/localhost/v1/":): J=D-C+W,
(15)
where and Failed to parse (MathML with SVG or PNG fallback (recommended for modern browsers and accessibility tools): Invalid response ("Math extension cannot connect to Restbase.") from server "https://mathoid.scipedia.com/localhost/v1/":): {\textstyle D }
are diagonal matrices containing the total conductance from each node to the ground and to the rest of the circuit, respectively. Failed to parse (MathML with SVG or PNG fallback (recommended for modern browsers and accessibility tools): Invalid response ("Math extension cannot connect to Restbase.") from server "https://mathoid.scipedia.com/localhost/v1/":): {\textstyle  C }
is the adjacency matrix of conductances [44].
Draft Zhong 847600978-image103.png
Figure 5. Structure of topolectrical circuit to realize damping matrix under periodic boundary conditions. (a) Connection relations between the nodes. The blue solid line box containing two “sublattice” nodes A (red) and B (blue) simulates a unit cell of Failed to parse (MathML with SVG or PNG fallback (recommended for modern browsers and accessibility tools): Invalid response ("Math extension cannot connect to Restbase.") from server "https://mathoid.scipedia.com/localhost/v1/":): {\textstyle X}

. The black (grey) solid line indicates the coupling between nodes in the Failed to parse (MathML with SVG or PNG fallback (recommended for modern browsers and accessibility tools): Invalid response ("Math extension cannot connect to Restbase.") from server "https://mathoid.scipedia.com/localhost/v1/":): {\textstyle x(y) } -direction. (b) Circuit element structure is detailed for the green dashed framed rectangle in (a). (c) Internal circuit diagram of the INIC element, consisting of an operational amplifier and impedances . The impedance Failed to parse (MathML with SVG or PNG fallback (recommended for modern browsers and accessibility tools): Invalid response ("Math extension cannot connect to Restbase.") from server "https://mathoid.scipedia.com/localhost/v1/":): Z

is the target element, and different conductance in different directions of  Failed to parse (MathML with SVG or PNG fallback (recommended for modern browsers and accessibility tools): Invalid response ("Math extension cannot connect to Restbase.") from server "https://mathoid.scipedia.com/localhost/v1/":): V_{i,r}
can be achieved by connecting the INIC in series.   satisfies  Failed to parse (MathML with SVG or PNG fallback (recommended for modern browsers and accessibility tools): Invalid response ("Math extension cannot connect to Restbase.") from server "https://mathoid.scipedia.com/localhost/v1/":): Z_+=Z_{-}

. (d) Grounding module of the nodes. The resistances Failed to parse (MathML with SVG or PNG fallback (recommended for modern browsers and accessibility tools): Invalid response ("Math extension cannot connect to Restbase.") from server "https://mathoid.scipedia.com/localhost/v1/":): R_{A,}R_B

and capacitance Failed to parse (MathML with SVG or PNG fallback (recommended for modern browsers and accessibility tools): Invalid response ("Math extension cannot connect to Restbase.") from server "https://mathoid.scipedia.com/localhost/v1/":): {\textstyle  C }
are used to simulate the onsite potential, and inductance L allows the Laplacian eigenvalue spectrum to be shifted uniformly as desired
Considering the periodic boundary conditions first, the topolectrical circuit for realizing the damping matrix X is illustrated in Figure 5. Figure 5 depicts the schematic diagram of the overall circuit structure, which gives the connection relationship between the nodes. Figure 5 shows the detailed circuit component of the unit which is the green dashed box in Figure 5(a). The blue box in Figure 5(a) represents a unit cell in the system, and the two nodes inside it correspond to sublattices A (red) and B (blue). The circuit connections in the x and y directions are distinguished by black and gray. From Figure 5(b) we can obtain the matrices C and D in Eq. (9), so that
Failed to parse (MathML with SVG or PNG fallback (recommended for modern browsers and accessibility tools): Invalid response ("Math extension cannot connect to Restbase.") from server "https://mathoid.scipedia.com/localhost/v1/":): \begin{array}{c} D-C=-i\omega \left(\begin{array}{cc} -i\displaystyle\frac{2}{\omega R_2}\cos k_x-i\displaystyle\frac{2}{\omega R_4}\cos k_y-C_1-i\displaystyle\frac{1}{\omega R_0} & i2C_2\sin k_x+\displaystyle\frac{2}{\omega R_6}\sin k_y-i\displaystyle\frac{1}{\omega R_1}+C_1\\ i2C_2\sin k_x+\displaystyle\frac{2}{\omega R_5}\sin k_y+i\displaystyle\frac{1}{\omega R_1}+C_1 & -i\displaystyle\frac{2}{\omega R_3}\cos k_x-i\displaystyle\frac{2}{\omega R_7}\cos k_y-C_1+i\frac{1}{\omega R_0} \end{array}\right),\\ \mbox{    } \end{array}
(16)
with Failed to parse (MathML with SVG or PNG fallback (recommended for modern browsers and accessibility tools): Invalid response ("Math extension cannot connect to Restbase.") from server "https://mathoid.scipedia.com/localhost/v1/":): C_1=-\lambda

, Failed to parse (MathML with SVG or PNG fallback (recommended for modern browsers and accessibility tools): Invalid response ("Math extension cannot connect to Restbase.") from server "https://mathoid.scipedia.com/localhost/v1/":): C_2=l_x/2 , , Failed to parse (MathML with SVG or PNG fallback (recommended for modern browsers and accessibility tools): Invalid response ("Math extension cannot connect to Restbase.") from server "https://mathoid.scipedia.com/localhost/v1/":): R_1=-1/\left(\omega \lambda \right) , Failed to parse (MathML with SVG or PNG fallback (recommended for modern browsers and accessibility tools): Invalid response ("Math extension cannot connect to Restbase.") from server "https://mathoid.scipedia.com/localhost/v1/":): R_2=-R_3=-2/t_x , ,

Comparing it with the damping matrix, we need to add grounding elements to match the onsite potential. The grounding elements of nodes A and B are shown in Figure 5(d), where the resistors Failed to parse (MathML with SVG or PNG fallback (recommended for modern browsers and accessibility tools): Invalid response ("Math extension cannot connect to Restbase.") from server "https://mathoid.scipedia.com/localhost/v1/":): R_{A,}R_B

and capacitors  Failed to parse (MathML with SVG or PNG fallback (recommended for modern browsers and accessibility tools): Invalid response ("Math extension cannot connect to Restbase.") from server "https://mathoid.scipedia.com/localhost/v1/":): C
simulate the lattice potential, and  Failed to parse (MathML with SVG or PNG fallback (recommended for modern browsers and accessibility tools): Invalid response ("Math extension cannot connect to Restbase.") from server "https://mathoid.scipedia.com/localhost/v1/":): R_{A,}R_B
satisfies  Failed to parse (MathML with SVG or PNG fallback (recommended for modern browsers and accessibility tools): Invalid response ("Math extension cannot connect to Restbase.") from server "https://mathoid.scipedia.com/localhost/v1/":): R_A=-R_B

. So the diagonal matrix Failed to parse (MathML with SVG or PNG fallback (recommended for modern browsers and accessibility tools): Invalid response ("Math extension cannot connect to Restbase.") from server "https://mathoid.scipedia.com/localhost/v1/":): {\textstyle W }

is
Failed to parse (MathML with SVG or PNG fallback (recommended for modern browsers and accessibility tools): Invalid response ("Math extension cannot connect to Restbase.") from server "https://mathoid.scipedia.com/localhost/v1/":): W=\left(\begin{array}{cc} i\omega C+\displaystyle\frac{1}{R_A}+\displaystyle\frac{1}{i\omega L} & \\ & i\omega C+\displaystyle\frac{1}{R_B}+\displaystyle\frac{1}{i\omega L} \end{array}\right).
(17)
From Eq. (10) we get the conductance matrix of the circuit of Figure 5(a) at Failed to parse (MathML with SVG or PNG fallback (recommended for modern browsers and accessibility tools): Invalid response ("Math extension cannot connect to Restbase.") from server "https://mathoid.scipedia.com/localhost/v1/":): \omega
frequency
Failed to parse (MathML with SVG or PNG fallback (recommended for modern browsers and accessibility tools): Invalid response ("Math extension cannot connect to Restbase.") from server "https://mathoid.scipedia.com/localhost/v1/":): \begin{array}{c} J(\omega )=-i\omega \left(\begin{array}{cc} -i\displaystyle\frac{2}{\omega R_2}\cos k_x-i\displaystyle\frac{2}{\omega R_4}\cos k_y-(C+C_1)-i\left(\displaystyle\frac{1}{\omega R_0}+\displaystyle\frac{1}{\omega R_A}\right) & i2C_2\sin k_x+\displaystyle\frac{2}{\omega R_6}\sin k_y-i\displaystyle\frac{1}{\omega R_1}+C_1\\ i2C_2\sin k_x+\displaystyle\frac{2}{\omega R_5}\sin k_y+i\displaystyle\frac{1}{\omega R_1}+C_1 & -i\displaystyle\frac{2}{\omega R_3}\cos k_x-i\displaystyle\frac{2}{\omega R_7}\cos k_y-(C+C_1)+i\left(\displaystyle\frac{1}{\omega R_0}+\displaystyle\frac{1}{\omega R_A}\right) \end{array}\right)+\displaystyle\frac{1}{i\omega L}\epsilon \\ =-i\omega J_P+\displaystyle\frac{1}{i\omega L}\epsilon , \end{array}
(18)
where Failed to parse (MathML with SVG or PNG fallback (recommended for modern browsers and accessibility tools): Invalid response ("Math extension cannot connect to Restbase.") from server "https://mathoid.scipedia.com/localhost/v1/":): C=(1-\sqrt{2})\lambda

, Failed to parse (MathML with SVG or PNG fallback (recommended for modern browsers and accessibility tools): Invalid response ("Math extension cannot connect to Restbase.") from server "https://mathoid.scipedia.com/localhost/v1/":): \frac{1}{R_A}=-\frac{1}{R_B}=-\omega m-\frac{1}{R_0} . Comparing this Laplacian matrix with the damping matrix, the mapping relationship can be established by Failed to parse (MathML with SVG or PNG fallback (recommended for modern browsers and accessibility tools): Invalid response ("Math extension cannot connect to Restbase.") from server "https://mathoid.scipedia.com/localhost/v1/":): J_P\Leftrightarrow X

.
Draft Zhong 847600978-image123-c.png
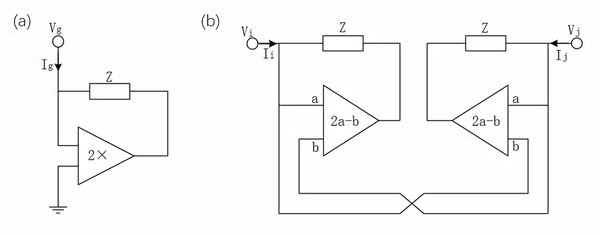
Figure 6. Negative impedance module [22]. (a) A single-port circuit to ground. The input impedance is Failed to parse (MathML with SVG or PNG fallback (recommended for modern browsers and accessibility tools): Invalid response ("Math extension cannot connect to Restbase.") from server "https://mathoid.scipedia.com/localhost/v1/":): Z_g=-Z

. (b) Free-port circuit. Its input impedance at both ends is Failed to parse (MathML with SVG or PNG fallback (recommended for modern browsers and accessibility tools): Invalid response ("Math extension cannot connect to Restbase.") from server "https://mathoid.scipedia.com/localhost/v1/":): Z_{ij}=Z_{ji}=-Z . The markings on the ideal amplifier indicate the output voltage versus the input voltage

Notice that the circuit requires a negative component,which is implemented as shown in Figure 6. Figures 6(a) and (b) show the equivalent negative impedance modules for a single port to ground and a free two-terminal port, respectively. They achieve the equivalent negative impedance through an amplifier. According to Kirchhoff's law, the input impedance of the single-port circuit to ground (Figure 6(a)) can be obtained as
Failed to parse (MathML with SVG or PNG fallback (recommended for modern browsers and accessibility tools): Invalid response ("Math extension cannot connect to Restbase.") from server "https://mathoid.scipedia.com/localhost/v1/":): Z_g=\frac{V_g}{I_g}=\frac{V_g}{(V_g-2V_g)/Z}=-Z.
(19)
The input impedance at both ends of the free port circuit (Figure 6(b)) are
Failed to parse (MathML with SVG or PNG fallback (recommended for modern browsers and accessibility tools): Invalid response ("Math extension cannot connect to Restbase.") from server "https://mathoid.scipedia.com/localhost/v1/":): \begin{array}{c} Z_{ij}=\displaystyle\frac{V_i-V_j}{I_i}=\displaystyle\frac{V_i-V_j}{[V_i-2(V_i-V_j)]/Z}=-Z,\\ Z_{ji}=\displaystyle\frac{V_j-V_i}{I_j}=\displaystyle\frac{V_j-V_i}{[V_j-2(V_j-V_i)]/Z}=-Z. \end{array}
(20)
That is Failed to parse (MathML with SVG or PNG fallback (recommended for modern browsers and accessibility tools): Invalid response ("Math extension cannot connect to Restbase.") from server "https://mathoid.scipedia.com/localhost/v1/":): Z_{ij}=Z_{ji}=-Z

.

Under the open boundary condition, the hopping amplitude of the cells located at the boundary weakens, leading to fewer branches connected to the boundary nodes in the circuit model, as shown in Figure 7(a). Figure 7(a) gives the connection relationship between the nodes of the circuit under the open boundary condition, and the circuit nodes can be classified into body nodes (in the black dashed box), edge nodes (in yellow) and corner nodes (in green). Changes in the branch circuit of the nodes at the boundary will cause variations of the matrices Failed to parse (MathML with SVG or PNG fallback (recommended for modern browsers and accessibility tools): Invalid response ("Math extension cannot connect to Restbase.") from server "https://mathoid.scipedia.com/localhost/v1/":): {\textstyle C }

and Failed to parse (MathML with SVG or PNG fallback (recommended for modern browsers and accessibility tools): Invalid response ("Math extension cannot connect to Restbase.") from server "https://mathoid.scipedia.com/localhost/v1/":): {\textstyle  D }

. The matrix Failed to parse (MathML with SVG or PNG fallback (recommended for modern browsers and accessibility tools): Invalid response ("Math extension cannot connect to Restbase.") from server "https://mathoid.scipedia.com/localhost/v1/":): {\textstyle C }

corresponds to the hopping amplitude between the lattice points, which is allowed to change. Whereas the change of D is not desired due to the same onsite potential under different boundary condition.

Therefore, we need to design specific grounding elements to eliminate the effects of variations in Failed to parse (MathML with SVG or PNG fallback (recommended for modern browsers and accessibility tools): Invalid response ("Math extension cannot connect to Restbase.") from server "https://mathoid.scipedia.com/localhost/v1/":): {\textstyle D } . Owing to the asymmetry of the coupling strengths under periodic boundary condition, the types of the edge and corner nodes are different for each of the four orientations, so there are a total of 16 different grounding modules, as shown in Figure 7(b). The additional grounding elements keep the diagonal matrix D+W unchanged, i.e., the onsite potential is unchanged, which achieves the mapping of the circuit Laplacian in Figure 7 to the damping matrix Failed to parse (MathML with SVG or PNG fallback (recommended for modern browsers and accessibility tools): Invalid response ("Math extension cannot connect to Restbase.") from server "https://mathoid.scipedia.com/localhost/v1/":): {\textstyle X }

under the open boundary condition.
Draft Zhong 847600978-image129-c.png
Figure 7. Schematic diagram of the circuit of the damping matrix Failed to parse (MathML with SVG or PNG fallback (recommended for modern browsers and accessibility tools): Invalid response ("Math extension cannot connect to Restbase.") from server "https://mathoid.scipedia.com/localhost/v1/":): {\textstyle X }
under open boundary conditions. (a) Schematic diagram of the connection relations among the nodes. The black, yellow and green dashed boxes correspond to the body, edge and corner nodes, respectively. The circuit connections of the body node are the same as those of the periodic boundary, while the edge and corner nodes require additional grounding elements to regulate the onsite potential. (b) Grounding modules for edge and corner nodes. The grounding elements for the edge and corner nodes are different for each of the four orientations, where the negative impedance elements can be realized by Figure 6(a). Note that in addition to these grounding elements, all nodes need to be connected to the elements in Figure 5(d)

6. Conclusion

In summary, we study the dynamical properties of a two-dimensional open system. The open quantum system is constructed by introducing appropriate gain and loss to the Chern insulator, and then using the damping matrix derived from the Liouvillian superoperator explore its long-time evolution. It is found that the site-averaged fermion number deviation from the steady state under periodic boundary conditions shows a slow algebraic damping when the energy gap closes and an exponential damping when the energy gap opens. Under open boundary conditions, due to the non-Hermitian skin effect of the damping matrix, the system exhibits the phenomenon of chiral damping that the fermion number at each site undergoes a period of algebraic damping before entering an exponential damping, and the transition time that is proportional to the distance from that site to the boundary. Finally, we map the damping matrix in terms of the circuit Laplacian to give a model diagram of the topolectrical circuit implementation of the system.

References

[1] Bergholtz E.J., Budich J.C., Kunst F.K. Exceptional topology of non-Hermitian systems. Rev. Mod. Phys., 93, 015005, 2021.

[2] Ashida Y., Gong Z., Ueda M. Non-Hermitian physics. Adv. Phys., 69(3):249-435, 2020.

[3] Zhu X., Ramezani H., Shi C., Zhu J., Zhang X. PT- symmetric acoustics. Phys. Rev. X, 4(3), 031042, 2014.

[4] Popa B.I., Cummer S.A. Non-reciprocal and highly nonlinear active acoustic metamaterials. Nat. Commun., 5, 3398, 2014.

[5] Regensburger A., Bersch C., Miri M.-A., Onishchukov G., Christodoulides D.N., Peschel U. Parity-time synthetic photonic lattices. Nature (London), 488:167-171, 2012.

[6] Feng L., Wong Z.J., Ma R.-M., Wang Y., Zhang X. Single-mode laser by parity-time symmetry breaking. Science, 346:972-975, 2014.

[7] Zhou H., Peng C., Yoon Y., Hsu C.W., Nelson K.A., Fu L., Joannopoulos J.D., Soljacic M., Zhen B. Observation of bulk Fermi arc and polarization half charge from paired exceptional points. Science, 359:1009-1012, 2018.

[8] Cerjan A., Huang S., Wang M., Chen K.P., Chong Y., Rechtsman M.C. Experimental realization of a Weyl exceptional ring. Nat. Photonics, 13:623-628, 2019.

[9] Papaj M., Isobe H., Fu L. Nodal arc of disordered dirac fermions and non-hermitian band theory. Phys. Rev. B, 99, 201107, 2019.

[10] Shen H., Fu L. Quantum oscillation from in-gap states and a non-hermitian landau level problem. Phys. Rev. Lett., 121, 026403, 2018.

[11] Cao Y., Li Y., Yang X., Non-hermitian bulkboundary correspondence in a periodically driven system. Physical Review B, 103, 075126, 2021.

[12] Rotter I. A non-hermitian hamilton operator and the physics of open quantum systems. Journal of Physics A: Mathematical and Theoretical, 42, 153001, 2009.

[13] Xiao L., Deng T., Wang K., Zhu G., Wang Z., Yi W., Xue P. Observation of non-Hermitian bulk-boundary correspondence in quantum dynamics. Nat. Phys., 16:761-768, 2020.

[14] Xiao L., Deng T., Wang K., Wang Z., Yi W., Xue P. Observation of non-Bloch parity-time symmetry and exceptional points. Phys. Rev. Lett., 126, 230402, 2021.

[15] Yao S., Wang Z. Edge states and topological invariants of non-hermitian systems. Phys. Rev. Lett., 121, 086803, 2018.

[16] Yao S., Song F., Wang Z. Non-hermitian chern bands. Physical Review Letters, 121, 136802, 2018.

[17] Lee C.H., Thomale R. Anatomy of skin modes and topology in non-hermitian systems. Phys. Rev. B, 99, 201103, 2019.

[18] Wang H., Ruan J., Zhang H. Non-hermitian nodal-line semimetals with an anomalous bulk-boundary correspondence. Phys. Rev. B, 99, 075130, 2019.

[19] Lee C.H., Li L., Gong J. Hybrid higher-order skin-topological modes in nonreciprocal systems. Phys. Rev. Lett., 123, 016805, 2019.

[20] Kunst F.K., Dwivedi V. Non-hermitian systems and topology: A transfer-matrix perspective. Phys. Rev. B, 99, 245116, 2019.

[21] Borgnia D.S., Kruchkov A.J., Slager R.J. Non-Hermitian Boundary Modes. Phys. Rev. Lett., 124, 056802, 2019.

[22] Wang B.X., Zhao C.Y. Topological phonon polaritons in one-dimensional nonhermitian silicon carbide nanoparticle chains. Phys. Rev. B, 98, 165435, 2018.

[23] Fu Y., Hu J., Wan S. Non-Hermitian second-order skin and topological modes. Physical Review B, 103(4), 045420, 2021.

[24] Yang L., et al. Topological energy braiding of non-Bloch bands. Physical Review B, 10, 195425, 2022.

[25] Ezawa M. Braiding of majorana-like corner states in electric circuits and its non-hermitian generalization. Phys. Rev. B, 100, 045407, 2019.

[26] Yang X., Cao Y., Zhai Y. Non-Hermitian Weyl semimetals: Non-Hermitian skin effect and non-Bloch bulk–boundary correspondence. Chinese Physics B, 31, 010308, 2022.

[27] Ge Z.-Y., Zhang Y.-R., Liu T., Li S.-W., Fan H., Nori F. Topological band theory for non-hermitian systems from the dirac equation. Phys. Rev. B, 100, 054105, 2019.

[28] Ji X., Yang X. Generalized bulk-boundary correspondence in periodically driven non-Hermitian systems. Journal of Physics: Condensed Matter, 36, 243001, 2024.

[29] Li Y., et al. Universal characteristics of one-dimensional non-Hermitian superconductors. Journal of Physics: Condensed Matter, 35, 055401, 2022.

[30] Song F., Yao S., Wang Z. Non-Hermitian skin effect and chiral damping in open quantum systems. Physical review Letters, 123, 170401, 2019.

[31] Dalibard J., Castin Y., Mølmer K. Wave-function approach to dissipative processes in quantum optics. Phys. Rev. Lett., 68, 580, 1992.

[32] Carmichael H.J. Quantum trajectory theory for cascaded open systems. Phys. Rev. Lett., 70, 2273, 1993.

[33] Weimer H., Kshetrimayum A., R. Orús Simulation methods for open quantum many-body systems. Rev. Mod. Phys., 93, 015008, 2021.

[34] Cai Z., Barthel T. Algebraic versus exponential decoherence in dissipative many-particle systems. Physical review letters, 111, 150403, 2013.

[35] Zhou Z., Yu Z. Non-Hermitian skin effect in quadratic Lindbladian systems: An adjoint fermion approach. Physical Review A, 106, 032216, 2022.

[36] Li T., Zhang Y.-S., Yi W. Engineering dissipative quasicrystals. Physical Review B, 105, 125111, 2022.

[37] He P., et al. Damping transition in an open generalized Aubry-André-Harper model. Physical Review A, 105, 023311, 2022.

[38] Liu C.-H., et al. Helical damping and dynamical critical skin effect in open quantum systems. Physical Review Research, 2, 043167, 2020.

[39] Luo X.-W., Zhang C. Higher-order topological corner states induced by gain and loss. Phys. Rev. Lett., 123, 073601, 2019.

[40] Manzano D. A short introduction to the Lindblad master equation. Aip Advances, 10, 025106, 2020.

[41] Taiki H., et al. Liouvillian skin effect: Slowing down of relaxation processes without gap closing. Physical Review Letters, 127, 070402, 2021.

[42] McDonald A., Clerk A.A. Exponentially-enhanced quantum sensing with non-Hermitian lattice dynamics. Nature Communications, 11, 5382, 2020.

[43] McDonald A., Hanai R., Clerk A.A. Nonequilibrium stationary states of quantum non-Hermitian lattice models. Physical Review B, 105, 064302, 2022.

[44] Lee C.H., et al. Topolectrical circuits. Communications Physics, 1, 39, 2018.

[45] Imhof S., et al. Topolectrical-circuit realization of topological corner modes. Nature Physics, 14:925-929, 2018.

[46] Albert V.V., Glazman L.I., Jiang L. Topological properties of linear circuit lattices. Physical Review Letters, 114, 173902, 2015.

[47] Yang H., et al. Observation of symmetry-protected zero modes in topolectrical circuits. Physical Review Research, 2, 022028, 2020.

[48] Helbig T., et al. Generalized bulk–boundary correspondence in non-Hermitian topolectrical circuits. Nature Physics, 16:747-750, 2020.

[49] Hofmann T., et al. Chiral voltage propagation and calibration in a topolectrical Chern circuit. Physical Review Letters, 122, 247702, 2019.

[50] Ezawa M. Electric circuits for non-Hermitian Chern insulators. Physical Review B, 100, 081401, 2019.

[51] Ezawa M. Non-Hermitian boundary and interface states in nonreciprocal higher-order topological metals and electrical circuits. Physical Review B, 99, 121411, 2019.

[52] Schindler J., et al. PT-symmetric electronics. Journal of Physics A: Mathematical and Theoretical, 45, 444029, 2012.

[53] Okuma N., Sato M. Quantum anomaly, non-hermitian skin effects, and entanglement entropy in open systems. Physical Review B, 103, 085428, 2021.

[54] Prosen T. Third quantization: a general method to solve master equations for quadratic open fermi systems. New Journal of Physics, 10, 043026, 2008.

[55] Lieu S., McGinley M., Cooper N.R. Tenfold way for quadratic lindbladians. Physical Review Letters, 124, 040401, 2020.

Back to Top

Document information

Published on 04/06/24
Accepted on 20/05/24
Submitted on 04/05/24

Volume 40, Issue 2, 2024
DOI: 10.23967/j.rimni.2024.05.008
Licence: CC BY-NC-SA license

Document Score

0

Views 600
Recommendations 0

Share this document

claim authorship

Are you one of the authors of this document?