Abstract: A meshless method with ridge basis functions for solving the 2D two-flow domain model problem is proposed in this paper, which is using ridge basis functions to construct the approximate functions, and using collocation method to discretize the governing equation. The existence and uniqueness of the solution to the mothod is analyzed. Compared with the traditional finite difference method, the new method reduces the calculation error. Numerical results show that the proposed method is convergent and can improve the error precision.

Keywords: Two-flow domain model, Ridge basis functions, Meshless method, Collocation method.

1. Introduction

The migration of solutes in the soil is an important part of the biosphere cycle. By generalizing the flow velocity characteristics of soil pores, various mathematical models are proposed for description. For undisturbed soil, there are a certain number of lardge pores. The convective dispersion model[1] cannot explain the early penetration and tailing of the solute breakthrough curve. Therefore, Coats and Smith established a mobile and immobile model[2] to better describe the characteristics of solute migration. The mobile and immobile model exposed its limitations with the emergence of double peaks in the solute breakthrough curves and preferential flow in the soil. To this end, Skopp proposed a two-flow domain model based on the mobile and immobile model[3]. The model problem is often a partial differential equation system, and it is generally difficult to obtain the corresponding analytical solution. Thus, the numerical method is currently the most effective method to solve it.

Meshless method, which is based on point approximation and does not need initial division and reconstruction of grid, can completely or partially eliminate the grid. It is an efficient numerical method for solving partial differential equations in recent years[4]. With the development of meshless method, the current research based on radial basis functions has a series of results[5-8], but the research based on ridge basis functions is rare in theory and application. Gordon[9] considered the approximation of the norm space ridge basis functions; Ismailov[10] gave the best approximation of multivariate functions in L2 space by linear combination of ridge basis functions on some sets in Rn; After that, Zhang Liwei[11-12] gave the existence of the interpolation problem of the ridge basis functions in 2D space, estimated its error, and proved ridge basis functions approximation of the linear combination of finite plane waves; Shu Hengmu et al.[13] constructed an approximation function satisfying the interpolation theory of ridge basis functions, adopted the meshless method of the weighted least squares discrete equation and applied it to the elastic static problem; In recent years, Wang Zhigang et al.[14] discussed the collocation meshless method of ridge basis functions and gave the existence and uniqueness of the numerical solution. Both ridge basis functions and radial basis functions have the advantages of simple form and isotropy, but the application of the ridge basis functions is more extensive, such as the development equation, the solution of the dynamic system problem. In addition, the selection of the basis function and its parameters, the arrangement of the nodes have direct impact on the interpolation accuracy of radial basis functions and ridge basis functions. However, the direction selection has no effect on radial basis functions, but will affect the interpolation accuracy of ridge basis functions. This is one of the advantages of its application.

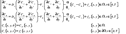
This paper mainly considers the 2D two-flow domain model problem, and its equation is expressed

Draft Qin 902464492-image1.png
(1)


where i is the flow rate area, subscripts A, B are two flow regions, Failed to parse (MathML with SVG or PNG fallback (recommended for modern browsers and accessibility tools): Invalid response ("Math extension cannot connect to Restbase.") from server "https://mathoid.scipedia.com/localhost/v1/":): \Omega =\left[0,L\right]\times \left[0,L\right]

,  Failed to parse (MathML with SVG or PNG fallback (recommended for modern browsers and accessibility tools): Invalid response ("Math extension cannot connect to Restbase.") from server "https://mathoid.scipedia.com/localhost/v1/":): D_A
,  Failed to parse (MathML with SVG or PNG fallback (recommended for modern browsers and accessibility tools): Invalid response ("Math extension cannot connect to Restbase.") from server "https://mathoid.scipedia.com/localhost/v1/":): D_B
,  Failed to parse (MathML with SVG or PNG fallback (recommended for modern browsers and accessibility tools): Invalid response ("Math extension cannot connect to Restbase.") from server "https://mathoid.scipedia.com/localhost/v1/":): V_A
,  Failed to parse (MathML with SVG or PNG fallback (recommended for modern browsers and accessibility tools): Invalid response ("Math extension cannot connect to Restbase.") from server "https://mathoid.scipedia.com/localhost/v1/":): V_B
,  Failed to parse (MathML with SVG or PNG fallback (recommended for modern browsers and accessibility tools): Invalid response ("Math extension cannot connect to Restbase.") from server "https://mathoid.scipedia.com/localhost/v1/":): {\theta }_A
,  Failed to parse (MathML with SVG or PNG fallback (recommended for modern browsers and accessibility tools): Invalid response ("Math extension cannot connect to Restbase.") from server "https://mathoid.scipedia.com/localhost/v1/":): {\theta }_B
,  Failed to parse (MathML with SVG or PNG fallback (recommended for modern browsers and accessibility tools): Invalid response ("Math extension cannot connect to Restbase.") from server "https://mathoid.scipedia.com/localhost/v1/":): \alpha 
are constants greater than zero.

The remainder of this paper is organized as follows. Section 2 mainly introduces the meshless method with ridge basis functions. Firstly, definitions of the ridge basis function and its interpolation problem are given. Then, the implementation process of the collocation method is described. Finally, the discrete process of 2D two-flow domain model is deduced. Section 3 analyzes the existence and uniqueness of the solution to the proposed method. Section 4 gives numerical examples of 1D and 2D two-flow domain model to verify the effectiveness of the ridge basis function meshless method. Conclusions and future work are given at the end of the paper.

2. Meshless method with ridge basis functions

2.1 Ridge basis functions

Definition 2.1 If there exsit unary function Failed to parse (MathML with SVG or PNG fallback (recommended for modern browsers and accessibility tools): Invalid response ("Math extension cannot connect to Restbase.") from server "https://mathoid.scipedia.com/localhost/v1/":): \phi :R\rightarrow R

and vector Failed to parse (MathML with SVG or PNG fallback (recommended for modern browsers and accessibility tools): Invalid response ("Math extension cannot connect to Restbase.") from server "https://mathoid.scipedia.com/localhost/v1/":): a\in R^d\backslash \left\{0\right\}
such that Failed to parse (MathML with SVG or PNG fallback (recommended for modern browsers and accessibility tools): Invalid response ("Math extension cannot connect to Restbase.") from server "https://mathoid.scipedia.com/localhost/v1/":): f\left(x\right)=\phi \left(a\cdot x\right)
holds for any Failed to parse (MathML with SVG or PNG fallback (recommended for modern browsers and accessibility tools): Invalid response ("Math extension cannot connect to Restbase.") from server "https://mathoid.scipedia.com/localhost/v1/":): x\in R^d
, then Failed to parse (MathML with SVG or PNG fallback (recommended for modern browsers and accessibility tools): Invalid response ("Math extension cannot connect to Restbase.") from server "https://mathoid.scipedia.com/localhost/v1/":): f\left(x\right):R^d\rightarrow R
is a ridge basis function. If ridge basis functions Failed to parse (MathML with SVG or PNG fallback (recommended for modern browsers and accessibility tools): Invalid response ("Math extension cannot connect to Restbase.") from server "https://mathoid.scipedia.com/localhost/v1/":): f_1,f_2,\cdots ,f_n
are basises of the space, then the space is called the ridge basis function space.

The ridge basis function uses the unary function Failed to parse (MathML with SVG or PNG fallback (recommended for modern browsers and accessibility tools): Invalid response ("Math extension cannot connect to Restbase.") from server "https://mathoid.scipedia.com/localhost/v1/":): \phi

to act on the inner product  Failed to parse (MathML with SVG or PNG fallback (recommended for modern browsers and accessibility tools): Invalid response ("Math extension cannot connect to Restbase.") from server "https://mathoid.scipedia.com/localhost/v1/":): a\cdot x
. It can be seen that the function space is a linear combination of some plane waves. Define the ridge basis function interpolation as follows:

Definition 2.2 Give Failed to parse (MathML with SVG or PNG fallback (recommended for modern browsers and accessibility tools): Invalid response ("Math extension cannot connect to Restbase.") from server "https://mathoid.scipedia.com/localhost/v1/":): n

different nodes Failed to parse (MathML with SVG or PNG fallback (recommended for modern browsers and accessibility tools): Invalid response ("Math extension cannot connect to Restbase.") from server "https://mathoid.scipedia.com/localhost/v1/":): {\left\{x_i\right\}}_{i=1}^n
and Failed to parse (MathML with SVG or PNG fallback (recommended for modern browsers and accessibility tools): Invalid response ("Math extension cannot connect to Restbase.") from server "https://mathoid.scipedia.com/localhost/v1/":): n
data points Failed to parse (MathML with SVG or PNG fallback (recommended for modern browsers and accessibility tools): Invalid response ("Math extension cannot connect to Restbase.") from server "https://mathoid.scipedia.com/localhost/v1/":): {\left\{d_i\right\}}_{i=1}^n
in Failed to parse (MathML with SVG or PNG fallback (recommended for modern browsers and accessibility tools): Invalid response ("Math extension cannot connect to Restbase.") from server "https://mathoid.scipedia.com/localhost/v1/":): R^d
, the function Failed to parse (MathML with SVG or PNG fallback (recommended for modern browsers and accessibility tools): Invalid response ("Math extension cannot connect to Restbase.") from server "https://mathoid.scipedia.com/localhost/v1/":): F(x)
statisfying

Definition 2.2 Give Failed to parse (MathML with SVG or PNG fallback (recommended for modern browsers and accessibility tools): Invalid response ("Math extension cannot connect to Restbase.") from server "https://mathoid.scipedia.com/localhost/v1/":): n

different nodes Failed to parse (MathML with SVG or PNG fallback (recommended for modern browsers and accessibility tools): Invalid response ("Math extension cannot connect to Restbase.") from server "https://mathoid.scipedia.com/localhost/v1/":): {\left\{x_i\right\}}_{i=1}^n
and Failed to parse (MathML with SVG or PNG fallback (recommended for modern browsers and accessibility tools): Invalid response ("Math extension cannot connect to Restbase.") from server "https://mathoid.scipedia.com/localhost/v1/":): n
data points Failed to parse (MathML with SVG or PNG fallback (recommended for modern browsers and accessibility tools): Invalid response ("Math extension cannot connect to Restbase.") from server "https://mathoid.scipedia.com/localhost/v1/":): {\left\{d_i\right\}}_{i=1}^n
in Failed to parse (MathML with SVG or PNG fallback (recommended for modern browsers and accessibility tools): Invalid response ("Math extension cannot connect to Restbase.") from server "https://mathoid.scipedia.com/localhost/v1/":): R^d
, the function Failed to parse (MathML with SVG or PNG fallback (recommended for modern browsers and accessibility tools): Invalid response ("Math extension cannot connect to Restbase.") from server "https://mathoid.scipedia.com/localhost/v1/":): F(x)
statisfying
Failed to parse (MathML with SVG or PNG fallback (recommended for modern browsers and accessibility tools): Invalid response ("Math extension cannot connect to Restbase.") from server "https://mathoid.scipedia.com/localhost/v1/":): F\left(x_j\right)=d_j,j=1,2,\cdots ,n,
(2)
Failed to parse (MathML with SVG or PNG fallback (recommended for modern browsers and accessibility tools): Invalid response ("Math extension cannot connect to Restbase.") from server "https://mathoid.scipedia.com/localhost/v1/":): F\left(x\right)=\sum_{k=1}^n{\lambda }_k\sum_{v=1}^m\phi \left(a{\cdot }_{}^v\left(x-\right. \right.

Failed to parse (MathML with SVG or PNG fallback (recommended for modern browsers and accessibility tools): Invalid response ("Math extension cannot connect to Restbase.") from server "https://mathoid.scipedia.com/localhost/v1/":): \left. \left. x_k\right)\right),

(3)


where Failed to parse (MathML with SVG or PNG fallback (recommended for modern browsers and accessibility tools): Invalid response ("Math extension cannot connect to Restbase.") from server "https://mathoid.scipedia.com/localhost/v1/":): {\lambda }_k

is unknown coefficient,  Failed to parse (MathML with SVG or PNG fallback (recommended for modern browsers and accessibility tools): Invalid response ("Math extension cannot connect to Restbase.") from server "https://mathoid.scipedia.com/localhost/v1/":): a_v
is fixed direction,  Failed to parse (MathML with SVG or PNG fallback (recommended for modern browsers and accessibility tools): Invalid response ("Math extension cannot connect to Restbase.") from server "https://mathoid.scipedia.com/localhost/v1/":): m
is the total number of the disk directions, and Failed to parse (MathML with SVG or PNG fallback (recommended for modern browsers and accessibility tools): Invalid response ("Math extension cannot connect to Restbase.") from server "https://mathoid.scipedia.com/localhost/v1/":): \phi 
is a ridge basis function, then the ridge basis function interpolation problem becomes the following system of linear equations:
Failed to parse (MathML with SVG or PNG fallback (recommended for modern browsers and accessibility tools): Invalid response ("Math extension cannot connect to Restbase.") from server "https://mathoid.scipedia.com/localhost/v1/":): \sum_{k=1}^n{\lambda }_k\sum_{v=1}^m\phi \left(a_v\cdot \left(x_j-\right. \right.

Failed to parse (MathML with SVG or PNG fallback (recommended for modern browsers and accessibility tools): Invalid response ("Math extension cannot connect to Restbase.") from server "https://mathoid.scipedia.com/localhost/v1/":): \left. \left. x_k\right)\right)=F\left(x_j\right),j= Failed to parse (MathML with SVG or PNG fallback (recommended for modern browsers and accessibility tools): Invalid response ("Math extension cannot connect to Restbase.") from server "https://mathoid.scipedia.com/localhost/v1/":): 1,2,\cdots ,n

.
(4)


This system has a unique solution if and only if its coefficient matrix is non-singular, which is related with the distribution of nodes and the selection of direction Failed to parse (MathML with SVG or PNG fallback (recommended for modern browsers and accessibility tools): Invalid response ("Math extension cannot connect to Restbase.") from server "https://mathoid.scipedia.com/localhost/v1/":): a_v

[14].

In the numerical calculation, the ridge basis functions commonly used are

Gaussians: Failed to parse (MathML with SVG or PNG fallback (recommended for modern browsers and accessibility tools): Invalid response ("Math extension cannot connect to Restbase.") from server "https://mathoid.scipedia.com/localhost/v1/":): \phi \left(r\right)=exp\left(-c{\left(a\cdot r\right)}^2\right)


Multi-Quadrics(MQ): Failed to parse (MathML with SVG or PNG fallback (recommended for modern browsers and accessibility tools): Invalid response ("Math extension cannot connect to Restbase.") from server "https://mathoid.scipedia.com/localhost/v1/":): \phi \left(r\right)={\left(c^2+{\left(a\cdot r\right)}^2\right)}^{\beta }


Markoff distribution functions: Failed to parse (MathML with SVG or PNG fallback (recommended for modern browsers and accessibility tools): Invalid response ("Math extension cannot connect to Restbase.") from server "https://mathoid.scipedia.com/localhost/v1/":): \phi \left(r\right)=exp\left(-c\vert a\cdot r\vert \right)


Thin-Plate Spline(TPS): Failed to parse (MathML with SVG or PNG fallback (recommended for modern browsers and accessibility tools): Invalid response ("Math extension cannot connect to Restbase.") from server "https://mathoid.scipedia.com/localhost/v1/":): \phi \left(r\right)={\left(a\cdot r\right)}^{2\beta }log\left(a\cdot r\right)


Inverse Multi-Quadrics(IMQ): Failed to parse (MathML with SVG or PNG fallback (recommended for modern browsers and accessibility tools): Invalid response ("Math extension cannot connect to Restbase.") from server "https://mathoid.scipedia.com/localhost/v1/":): \phi \left(r\right)\mbox{=}{\left(c^2+{\left(a\cdot r\right)}^2\right)}^{-\beta }


where Failed to parse (MathML with SVG or PNG fallback (recommended for modern browsers and accessibility tools): Invalid response ("Math extension cannot connect to Restbase.") from server "https://mathoid.scipedia.com/localhost/v1/":): c

and Failed to parse (MathML with SVG or PNG fallback (recommended for modern browsers and accessibility tools): Invalid response ("Math extension cannot connect to Restbase.") from server "https://mathoid.scipedia.com/localhost/v1/":): \beta 
are constants ( Failed to parse (MathML with SVG or PNG fallback (recommended for modern browsers and accessibility tools): Invalid response ("Math extension cannot connect to Restbase.") from server "https://mathoid.scipedia.com/localhost/v1/":): c>0
),  Failed to parse (MathML with SVG or PNG fallback (recommended for modern browsers and accessibility tools): Invalid response ("Math extension cannot connect to Restbase.") from server "https://mathoid.scipedia.com/localhost/v1/":): r=\Vert x-x_k\Vert 
..

2.2 Collocation method

The collocation method is a true meshless method, which does not need any grid to calculate the integral. Its basic idea is that each node in the domain satisfies the governing equation, and each node on the boundary satisfies the uniform boundary condition. Generally, the governing equation is set as

Failed to parse (MathML with SVG or PNG fallback (recommended for modern browsers and accessibility tools): Invalid response ("Math extension cannot connect to Restbase.") from server "https://mathoid.scipedia.com/localhost/v1/":): L\left(u\left(x\right)\right)=f,x\in \Omega
(5)


Dirichlet boundary condition is

Failed to parse (MathML with SVG or PNG fallback (recommended for modern browsers and accessibility tools): Invalid response ("Math extension cannot connect to Restbase.") from server "https://mathoid.scipedia.com/localhost/v1/":): u-\overline{u}=0,x\in {\Gamma }_1
(6)


Neumann boundary condition is

Failed to parse (MathML with SVG or PNG fallback (recommended for modern browsers and accessibility tools): Invalid response ("Math extension cannot connect to Restbase.") from server "https://mathoid.scipedia.com/localhost/v1/":): B\left(u\right)=g,x\in {\Gamma }_2
(7)


where Failed to parse (MathML with SVG or PNG fallback (recommended for modern browsers and accessibility tools): Invalid response ("Math extension cannot connect to Restbase.") from server "https://mathoid.scipedia.com/localhost/v1/":): L

, Failed to parse (MathML with SVG or PNG fallback (recommended for modern browsers and accessibility tools): Invalid response ("Math extension cannot connect to Restbase.") from server "https://mathoid.scipedia.com/localhost/v1/":): B
are differential operators, Failed to parse (MathML with SVG or PNG fallback (recommended for modern browsers and accessibility tools): Invalid response ("Math extension cannot connect to Restbase.") from server "https://mathoid.scipedia.com/localhost/v1/":): \partial \Omega ={\Gamma }_1\cup {\Gamma }_2=\varnothing 
is boundary,  Failed to parse (MathML with SVG or PNG fallback (recommended for modern browsers and accessibility tools): Invalid response ("Math extension cannot connect to Restbase.") from server "https://mathoid.scipedia.com/localhost/v1/":): \overline{u}
is the specified value of the unknown function on the boundary Failed to parse (MathML with SVG or PNG fallback (recommended for modern browsers and accessibility tools): Invalid response ("Math extension cannot connect to Restbase.") from server "https://mathoid.scipedia.com/localhost/v1/":): {\Gamma }_1
,  Failed to parse (MathML with SVG or PNG fallback (recommended for modern browsers and accessibility tools): Invalid response ("Math extension cannot connect to Restbase.") from server "https://mathoid.scipedia.com/localhost/v1/":): u\left(x\right)
is an unknown function that needs to be solved.

Let the approximate expression of the unknown function Failed to parse (MathML with SVG or PNG fallback (recommended for modern browsers and accessibility tools): Invalid response ("Math extension cannot connect to Restbase.") from server "https://mathoid.scipedia.com/localhost/v1/":): u\left(x\right)

be Failed to parse (MathML with SVG or PNG fallback (recommended for modern browsers and accessibility tools): Invalid response ("Math extension cannot connect to Restbase.") from server "https://mathoid.scipedia.com/localhost/v1/":): u^h\left(x\right)
, using the weighted residual value method, Eq.(5)~Eq.(7) can be replaced by the following formula
Failed to parse (MathML with SVG or PNG fallback (recommended for modern browsers and accessibility tools): Invalid response ("Math extension cannot connect to Restbase.") from server "https://mathoid.scipedia.com/localhost/v1/":): {\int }_{\Omega }w_1\left(L\left(u^h\left(x\right)\right)-\right. 

Failed to parse (MathML with SVG or PNG fallback (recommended for modern browsers and accessibility tools): Invalid response ("Math extension cannot connect to Restbase.") from server "https://mathoid.scipedia.com/localhost/v1/":): \left. f\right)d\Omega +{\int }_{{\Gamma }_1}w_2\left(u^h\left(x\right)-\right. Failed to parse (MathML with SVG or PNG fallback (recommended for modern browsers and accessibility tools): Invalid response ("Math extension cannot connect to Restbase.") from server "https://mathoid.scipedia.com/localhost/v1/":): \left. \overline{u}\right)d\Gamma +{\int }_{{\Gamma }_2}w_3\left(B\left(u^h\left(x\right)\right)-\right. Failed to parse (MathML with SVG or PNG fallback (recommended for modern browsers and accessibility tools): Invalid response ("Math extension cannot connect to Restbase.") from server "https://mathoid.scipedia.com/localhost/v1/":): \left. g\right)d\Gamma =0

where the weighting functions Failed to parse (MathML with SVG or PNG fallback (recommended for modern browsers and accessibility tools): Invalid response ("Math extension cannot connect to Restbase.") from server "https://mathoid.scipedia.com/localhost/v1/":): w_1

, Failed to parse (MathML with SVG or PNG fallback (recommended for modern browsers and accessibility tools): Invalid response ("Math extension cannot connect to Restbase.") from server "https://mathoid.scipedia.com/localhost/v1/":): w_2
, Failed to parse (MathML with SVG or PNG fallback (recommended for modern browsers and accessibility tools): Invalid response ("Math extension cannot connect to Restbase.") from server "https://mathoid.scipedia.com/localhost/v1/":): w_3
can have different definitions. Define  Failed to parse (MathML with SVG or PNG fallback (recommended for modern browsers and accessibility tools): Invalid response ("Math extension cannot connect to Restbase.") from server "https://mathoid.scipedia.com/localhost/v1/":): {\delta }_i=w_1=w_2=w_3
, Failed to parse (MathML with SVG or PNG fallback (recommended for modern browsers and accessibility tools): Invalid response ("Math extension cannot connect to Restbase.") from server "https://mathoid.scipedia.com/localhost/v1/":): {\delta }_i
is Dirac Failed to parse (MathML with SVG or PNG fallback (recommended for modern browsers and accessibility tools): Invalid response ("Math extension cannot connect to Restbase.") from server "https://mathoid.scipedia.com/localhost/v1/":): \delta 
function, thereby the following collocation type equation can be obtained
Failed to parse (MathML with SVG or PNG fallback (recommended for modern browsers and accessibility tools): Invalid response ("Math extension cannot connect to Restbase.") from server "https://mathoid.scipedia.com/localhost/v1/":): L\left(u^h\left(x_i\right)\right)-f\left(x_i\right)=

Failed to parse (MathML with SVG or PNG fallback (recommended for modern browsers and accessibility tools): Invalid response ("Math extension cannot connect to Restbase.") from server "https://mathoid.scipedia.com/localhost/v1/":): 0,x_i\in \Omega ,i=1,2,\cdots ,n_0

(8)
Failed to parse (MathML with SVG or PNG fallback (recommended for modern browsers and accessibility tools): Invalid response ("Math extension cannot connect to Restbase.") from server "https://mathoid.scipedia.com/localhost/v1/":): u^h\left(x_i\right)-\overline{u}=0,x_i\in {\Gamma }_1,i=

Failed to parse (MathML with SVG or PNG fallback (recommended for modern browsers and accessibility tools): Invalid response ("Math extension cannot connect to Restbase.") from server "https://mathoid.scipedia.com/localhost/v1/":): n_0+n_2+1,\cdots ,n_0+n_2+n_1

(9)
Failed to parse (MathML with SVG or PNG fallback (recommended for modern browsers and accessibility tools): Invalid response ("Math extension cannot connect to Restbase.") from server "https://mathoid.scipedia.com/localhost/v1/":): B\left(u^h\left(x_i\right)\right)-g\left(x_i\right)=

Failed to parse (MathML with SVG or PNG fallback (recommended for modern browsers and accessibility tools): Invalid response ("Math extension cannot connect to Restbase.") from server "https://mathoid.scipedia.com/localhost/v1/":): 0,x_i\in {\Gamma }_2,i=n_0+1,\cdots ,n_0+n_2

(10)


where Failed to parse (MathML with SVG or PNG fallback (recommended for modern browsers and accessibility tools): Invalid response ("Math extension cannot connect to Restbase.") from server "https://mathoid.scipedia.com/localhost/v1/":): n_1

is the number of nodes on the boundary Failed to parse (MathML with SVG or PNG fallback (recommended for modern browsers and accessibility tools): Invalid response ("Math extension cannot connect to Restbase.") from server "https://mathoid.scipedia.com/localhost/v1/":): {\Gamma }_1
, Failed to parse (MathML with SVG or PNG fallback (recommended for modern browsers and accessibility tools): Invalid response ("Math extension cannot connect to Restbase.") from server "https://mathoid.scipedia.com/localhost/v1/":): n_2
is the number of nodes on the boundary  Failed to parse (MathML with SVG or PNG fallback (recommended for modern browsers and accessibility tools): Invalid response ("Math extension cannot connect to Restbase.") from server "https://mathoid.scipedia.com/localhost/v1/":): {\Gamma }_2
,  Failed to parse (MathML with SVG or PNG fallback (recommended for modern browsers and accessibility tools): Invalid response ("Math extension cannot connect to Restbase.") from server "https://mathoid.scipedia.com/localhost/v1/":): n_0=N-n_1-n_2
is the number of nodes in the domain Failed to parse (MathML with SVG or PNG fallback (recommended for modern browsers and accessibility tools): Invalid response ("Math extension cannot connect to Restbase.") from server "https://mathoid.scipedia.com/localhost/v1/":): \Omega 
,  Failed to parse (MathML with SVG or PNG fallback (recommended for modern browsers and accessibility tools): Invalid response ("Math extension cannot connect to Restbase.") from server "https://mathoid.scipedia.com/localhost/v1/":): N
is total number of nodes. Thus, Eq.(8)~Eq.(10) can be expressed in matrix form as
Failed to parse (MathML with SVG or PNG fallback (recommended for modern browsers and accessibility tools): Invalid response ("Math extension cannot connect to Restbase.") from server "https://mathoid.scipedia.com/localhost/v1/":): Ku^h\left(x\right)=F

2.3 The construction of meshless method with ridge basis functions

Let Failed to parse (MathML with SVG or PNG fallback (recommended for modern browsers and accessibility tools): Invalid response ("Math extension cannot connect to Restbase.") from server "https://mathoid.scipedia.com/localhost/v1/":): C_A^n=C_A^n\left(X\right)

be the numerical solution of Failed to parse (MathML with SVG or PNG fallback (recommended for modern browsers and accessibility tools): Invalid response ("Math extension cannot connect to Restbase.") from server "https://mathoid.scipedia.com/localhost/v1/":): C_A\left(X,t_n\right)
, Failed to parse (MathML with SVG or PNG fallback (recommended for modern browsers and accessibility tools): Invalid response ("Math extension cannot connect to Restbase.") from server "https://mathoid.scipedia.com/localhost/v1/":): C_B^n=C_B^n\left(X\right)
be the numerical solution of Failed to parse (MathML with SVG or PNG fallback (recommended for modern browsers and accessibility tools): Invalid response ("Math extension cannot connect to Restbase.") from server "https://mathoid.scipedia.com/localhost/v1/":): C_B\left(X,t_n\right)
, where Failed to parse (MathML with SVG or PNG fallback (recommended for modern browsers and accessibility tools): Invalid response ("Math extension cannot connect to Restbase.") from server "https://mathoid.scipedia.com/localhost/v1/":): t_n=n\Delta t
, Failed to parse (MathML with SVG or PNG fallback (recommended for modern browsers and accessibility tools): Invalid response ("Math extension cannot connect to Restbase.") from server "https://mathoid.scipedia.com/localhost/v1/":): n=1,2,\cdots ,s
, Failed to parse (MathML with SVG or PNG fallback (recommended for modern browsers and accessibility tools): Invalid response ("Math extension cannot connect to Restbase.") from server "https://mathoid.scipedia.com/localhost/v1/":): \Delta t=T/s
, then Eq.(1) can be discretized in the time leyer as
Failed to parse (MathML with SVG or PNG fallback (recommended for modern browsers and accessibility tools): Invalid response ("Math extension cannot connect to Restbase.") from server "https://mathoid.scipedia.com/localhost/v1/":): \frac{C_A^{n+1}-C_A^n}{\Delta t}=D_A(\frac{{\partial }^2C_A^{n+1}}{\partial x^2}+

Failed to parse (MathML with SVG or PNG fallback (recommended for modern browsers and accessibility tools): Invalid response ("Math extension cannot connect to Restbase.") from server "https://mathoid.scipedia.com/localhost/v1/":): \frac{{\partial }^2C_A^{n+1}}{\partial y^2})-V_A(\frac{\partial C_A^{n+1}}{\partial x}+ Failed to parse (MathML with SVG or PNG fallback (recommended for modern browsers and accessibility tools): Invalid response ("Math extension cannot connect to Restbase.") from server "https://mathoid.scipedia.com/localhost/v1/":): \frac{\partial C_A^{n+1}}{\partial y})-\frac{\alpha }{{\theta }_A}\left(C_A^{n+1}-\right. Failed to parse (MathML with SVG or PNG fallback (recommended for modern browsers and accessibility tools): Invalid response ("Math extension cannot connect to Restbase.") from server "https://mathoid.scipedia.com/localhost/v1/":): \left. C_B^{n+1}\right)+f_a^{n+1},

 Failed to parse (MathML with SVG or PNG fallback (recommended for modern browsers and accessibility tools): Invalid response ("Math extension cannot connect to Restbase.") from server "https://mathoid.scipedia.com/localhost/v1/":): \frac{C_B^{n+1}-C_B^n}{\Delta t}=D_B(\frac{{\partial }^2C_B^{n+1}}{\partial x^2}+

Failed to parse (MathML with SVG or PNG fallback (recommended for modern browsers and accessibility tools): Invalid response ("Math extension cannot connect to Restbase.") from server "https://mathoid.scipedia.com/localhost/v1/":): \frac{{\partial }^2C_B^{n+1}}{\partial y^2})-V_B(\frac{\partial C_B^{n+1}}{\partial x}+ Failed to parse (MathML with SVG or PNG fallback (recommended for modern browsers and accessibility tools): Invalid response ("Math extension cannot connect to Restbase.") from server "https://mathoid.scipedia.com/localhost/v1/":): \frac{\partial C_B^{n+1}}{\partial y})-\frac{\alpha }{{\theta }_B}\left(C_B^{n+1}-\right. Failed to parse (MathML with SVG or PNG fallback (recommended for modern browsers and accessibility tools): Invalid response ("Math extension cannot connect to Restbase.") from server "https://mathoid.scipedia.com/localhost/v1/":): \left. C_A^{n+1}\right)+f_b^{n+1}.

If Failed to parse (MathML with SVG or PNG fallback (recommended for modern browsers and accessibility tools): Invalid response ("Math extension cannot connect to Restbase.") from server "https://mathoid.scipedia.com/localhost/v1/":): \phi \left(\cdot \right)

is not a polynomial, then ridge basis functions can approximate to almost all the functions. Here, we respectively denote functions Failed to parse (MathML with SVG or PNG fallback (recommended for modern browsers and accessibility tools): Invalid response ("Math extension cannot connect to Restbase.") from server "https://mathoid.scipedia.com/localhost/v1/":): C_A^h\left(X\right)
, Failed to parse (MathML with SVG or PNG fallback (recommended for modern browsers and accessibility tools): Invalid response ("Math extension cannot connect to Restbase.") from server "https://mathoid.scipedia.com/localhost/v1/":): C_B^h\left(X\right)
as approximations of  Failed to parse (MathML with SVG or PNG fallback (recommended for modern browsers and accessibility tools): Invalid response ("Math extension cannot connect to Restbase.") from server "https://mathoid.scipedia.com/localhost/v1/":): C_A\left(X\right)
, Failed to parse (MathML with SVG or PNG fallback (recommended for modern browsers and accessibility tools): Invalid response ("Math extension cannot connect to Restbase.") from server "https://mathoid.scipedia.com/localhost/v1/":): C_B\left(X\right)
:
  Failed to parse (MathML with SVG or PNG fallback (recommended for modern browsers and accessibility tools): Invalid response ("Math extension cannot connect to Restbase.") from server "https://mathoid.scipedia.com/localhost/v1/":): C_A^h\left(X\right)=\sum_{i=1}^{N_i}{\alpha }_{1i}\sum_{v=1}^m\phi \left(a_v\cdot \left(X-\right. \right. 

Failed to parse (MathML with SVG or PNG fallback (recommended for modern browsers and accessibility tools): Invalid response ("Math extension cannot connect to Restbase.") from server "https://mathoid.scipedia.com/localhost/v1/":): \left. \left. I_i\right)\right)+\sum_{i=1}^{N_b}{\beta }_{1i}\sum_{v=1}^m\phi \left(a_v\cdot \left(X-\right. \right. Failed to parse (MathML with SVG or PNG fallback (recommended for modern browsers and accessibility tools): Invalid response ("Math extension cannot connect to Restbase.") from server "https://mathoid.scipedia.com/localhost/v1/":): \left. \left. B_i\right)\right),

Failed to parse (MathML with SVG or PNG fallback (recommended for modern browsers and accessibility tools): Invalid response ("Math extension cannot connect to Restbase.") from server "https://mathoid.scipedia.com/localhost/v1/":): C_B^h\left(X\right)=\sum_{i=1}^{N_i}{\alpha }_{2i}\sum_{v=1}^m\phi \left(a_v\cdot \left(X-\right. \right. 

Failed to parse (MathML with SVG or PNG fallback (recommended for modern browsers and accessibility tools): Invalid response ("Math extension cannot connect to Restbase.") from server "https://mathoid.scipedia.com/localhost/v1/":): \left. \left. I_i\right)\right)+\sum_{i=1}^{N_b}{\beta }_{2i}\sum_{v=1}^m\phi \left(a_v\cdot \left(X-\right. \right. Failed to parse (MathML with SVG or PNG fallback (recommended for modern browsers and accessibility tools): Invalid response ("Math extension cannot connect to Restbase.") from server "https://mathoid.scipedia.com/localhost/v1/":): \left. \left. B_i\right)\right).

where Failed to parse (MathML with SVG or PNG fallback (recommended for modern browsers and accessibility tools): Invalid response ("Math extension cannot connect to Restbase.") from server "https://mathoid.scipedia.com/localhost/v1/":): X=\left(x,y\right)

,  Failed to parse (MathML with SVG or PNG fallback (recommended for modern browsers and accessibility tools): Invalid response ("Math extension cannot connect to Restbase.") from server "https://mathoid.scipedia.com/localhost/v1/":): I_i\in \Omega 
,  Failed to parse (MathML with SVG or PNG fallback (recommended for modern browsers and accessibility tools): Invalid response ("Math extension cannot connect to Restbase.") from server "https://mathoid.scipedia.com/localhost/v1/":): B_i\in \partial \Omega 
,  Failed to parse (MathML with SVG or PNG fallback (recommended for modern browsers and accessibility tools): Invalid response ("Math extension cannot connect to Restbase.") from server "https://mathoid.scipedia.com/localhost/v1/":): N_i
is the number of nodes in the region, Failed to parse (MathML with SVG or PNG fallback (recommended for modern browsers and accessibility tools): Invalid response ("Math extension cannot connect to Restbase.") from server "https://mathoid.scipedia.com/localhost/v1/":): N_b
is the number of nodes on the boundary,  Failed to parse (MathML with SVG or PNG fallback (recommended for modern browsers and accessibility tools): Invalid response ("Math extension cannot connect to Restbase.") from server "https://mathoid.scipedia.com/localhost/v1/":): {\alpha }_{1i}
, Failed to parse (MathML with SVG or PNG fallback (recommended for modern browsers and accessibility tools): Invalid response ("Math extension cannot connect to Restbase.") from server "https://mathoid.scipedia.com/localhost/v1/":): {\beta }_{1i}
, Failed to parse (MathML with SVG or PNG fallback (recommended for modern browsers and accessibility tools): Invalid response ("Math extension cannot connect to Restbase.") from server "https://mathoid.scipedia.com/localhost/v1/":): {\alpha }_{2i}
, Failed to parse (MathML with SVG or PNG fallback (recommended for modern browsers and accessibility tools): Invalid response ("Math extension cannot connect to Restbase.") from server "https://mathoid.scipedia.com/localhost/v1/":): {\beta }_{1i}
are unknown coefficients,  Failed to parse (MathML with SVG or PNG fallback (recommended for modern browsers and accessibility tools): Invalid response ("Math extension cannot connect to Restbase.") from server "https://mathoid.scipedia.com/localhost/v1/":): a_v
is a fixed direction, Failed to parse (MathML with SVG or PNG fallback (recommended for modern browsers and accessibility tools): Invalid response ("Math extension cannot connect to Restbase.") from server "https://mathoid.scipedia.com/localhost/v1/":): m
is the total number of the disk directions, Failed to parse (MathML with SVG or PNG fallback (recommended for modern browsers and accessibility tools): Invalid response ("Math extension cannot connect to Restbase.") from server "https://mathoid.scipedia.com/localhost/v1/":): \phi 
is a ridge basis function.

Let Failed to parse (MathML with SVG or PNG fallback (recommended for modern browsers and accessibility tools): Invalid response ("Math extension cannot connect to Restbase.") from server "https://mathoid.scipedia.com/localhost/v1/":): \varphi \left(\Vert X-I\Vert \right)=\sum_{v=1}^m\phi \left(a_v\cdot \left(X-\right. \right. Failed to parse (MathML with SVG or PNG fallback (recommended for modern browsers and accessibility tools): Invalid response ("Math extension cannot connect to Restbase.") from server "https://mathoid.scipedia.com/localhost/v1/":): \left. \left. I\right)\right)

, then
Failed to parse (MathML with SVG or PNG fallback (recommended for modern browsers and accessibility tools): Invalid response ("Math extension cannot connect to Restbase.") from server "https://mathoid.scipedia.com/localhost/v1/":): C_A^h\left(X\right)=\sum_{i=1}^{N_i}{\alpha }_{1i}\varphi \left(\Vert X-\right.

Failed to parse (MathML with SVG or PNG fallback (recommended for modern browsers and accessibility tools): Invalid response ("Math extension cannot connect to Restbase.") from server "https://mathoid.scipedia.com/localhost/v1/":): \left. I_i\Vert \right)+\sum_{i=1}^{N_b}{\beta }_{1i}\varphi \left(\Vert X-\right. Failed to parse (MathML with SVG or PNG fallback (recommended for modern browsers and accessibility tools): Invalid response ("Math extension cannot connect to Restbase.") from server "https://mathoid.scipedia.com/localhost/v1/":): \left. B_i\Vert \right),

(11)
Failed to parse (MathML with SVG or PNG fallback (recommended for modern browsers and accessibility tools): Invalid response ("Math extension cannot connect to Restbase.") from server "https://mathoid.scipedia.com/localhost/v1/":): C_B^h\left(X\right)=\sum_{i=1}^{N_i}{\alpha }_{2i}\varphi \left(\Vert X-\right.

Failed to parse (MathML with SVG or PNG fallback (recommended for modern browsers and accessibility tools): Invalid response ("Math extension cannot connect to Restbase.") from server "https://mathoid.scipedia.com/localhost/v1/":): \left. I_i\Vert \right)+\sum_{i=1}^{N_b}{\beta }_{2i}\varphi \left(\Vert X-\right. Failed to parse (MathML with SVG or PNG fallback (recommended for modern browsers and accessibility tools): Invalid response ("Math extension cannot connect to Restbase.") from server "https://mathoid.scipedia.com/localhost/v1/":): \left. B_i\Vert \right).

(12)


By adopting ridge basis functions collocation method, it is required that Eq.(11) and Eq.(12) satisfy the partial differential equation in the solution domain, which can be obtained

Failed to parse (MathML with SVG or PNG fallback (recommended for modern browsers and accessibility tools): Invalid response ("Math extension cannot connect to Restbase.") from server "https://mathoid.scipedia.com/localhost/v1/":): \begin{array}{c} \left[\left(1+\frac{\alpha \Delta t}{{\theta }_A}\right)-\Delta tD_A\Delta +\Delta tV_A\nabla \right]\left[\sum_{i=1}^{N_i}{\alpha }_{1i}\varphi \left(\Vert X-I_i\Vert \right)+\sum_{i=1}^{N_b}{\beta }_{1i}\varphi \left(\Vert X-B_i\Vert \right)\right]\\ =C_A^n+\frac{\alpha \Delta t}{{\theta }_A}C_B^{n+1}+\Delta tf_a^{n+1}, \end{array}
Failed to parse (MathML with SVG or PNG fallback (recommended for modern browsers and accessibility tools): Invalid response ("Math extension cannot connect to Restbase.") from server "https://mathoid.scipedia.com/localhost/v1/":): \begin{array}{c} \left[\left(1+\frac{\alpha \Delta t}{{\theta }_B}\right)-\Delta tD_B\Delta +\Delta tV_B\nabla \right]\left[\sum_{i=1}^{N_i}{\alpha }_{2i}\varphi \left(\Vert X-I_i\Vert \right)+\sum_{i=1}^{N_b}{\beta }_{2i}\varphi \left(\Vert X-B_i\Vert \right)\right]\\ =C_B^n+\frac{\alpha \Delta t}{{\theta }_B}C_A^{n+1}+\Delta tf_b^{n+1}. \end{array}

Thus there is

Failed to parse (MathML with SVG or PNG fallback (recommended for modern browsers and accessibility tools): Invalid response ("Math extension cannot connect to Restbase.") from server "https://mathoid.scipedia.com/localhost/v1/":): \lbrace \begin{array}{l} \sum_{i=1}^{N_i}\left[\left(1+\frac{\alpha \Delta t}{{\theta }_A}\right)\varphi \left(\Vert I_j-I_i\Vert \right)-\Delta tD_A\Delta \varphi \left(\Vert I_j-I_i\Vert \right)+\Delta tV_A\nabla \varphi \left(\Vert I_j-I_i\Vert \right)\right]{\alpha }_1{}_i^{n+1}\\ +\sum_{i=1}^{N_b}\left[\left(1+\frac{\alpha \Delta t}{{\theta }_A}\right)\varphi \left(\Vert I_j-B_i\Vert \right)-\Delta tD_A\Delta \varphi \left(\Vert I_j-B_i\Vert \right)+\Delta tV_A\nabla \varphi \left(\Vert I_j-B_i\Vert \right)\right]{\beta }_1{}_i^{n+1}\\ \mbox{ }\mbox{ }\mbox{ }=C_A^n\left(I_j\right)+\frac{\alpha \Delta t}{{\theta }_A}C_B^{n+1}\left(I_j\right)+\Delta tf_a^{n+1}\left(I_j\right),j=1,2,\cdots ,N_i\\ \sum_{i=1}^{N_i}\left[\left(1+\frac{\alpha \Delta t}{{\theta }_B}\right)\varphi \left(\Vert I_j-I_i\Vert \right)-\Delta tD_B\Delta \varphi \left(\Vert I_j-I_i\Vert \right)+\Delta tV_B\nabla \varphi \left(\Vert I_j-I_i\Vert \right)\right]{\alpha }_2{}_i^{n+1}\\ +\sum_{i=1}^{N_b}\left[\left(1+\frac{\alpha \Delta t}{{\theta }_B}\right)\varphi \left(\Vert I_j-B_i\Vert \right)-\Delta tD_B\Delta \varphi \left(\Vert I_j-B_i\Vert \right)+\Delta tV_B\nabla \varphi \left(\Vert I_j-B_i\Vert \right)\right]{\beta }_2{}_i^{n+1}\\ \mbox{ }\mbox{ }\mbox{ }=C_B^n\left(I_j\right)+\frac{\alpha \Delta t}{{\theta }_B}C_A^{n+1}\left(I_j\right)+\Delta tf_b^{n+1}\left(I_j\right),j=1,2,\cdots ,N_i\\ \sum_{i=1}^{N_i}{\alpha }_1{}_i^0\varphi \left(\Vert I_j-I_i\Vert \right)+\sum_{i=1}^{N_b}{\beta }_1{}_i^0\varphi \left(\Vert I_j-B_i\Vert \right)=C_A{}_j^0,j=1,2,\cdots ,N_i+N_b\\ \sum_{i=1}^{N_i}{\alpha }_2{}_i^0\varphi \left(\Vert I_j-I_i\Vert \right)+\sum_{i=1}^{N_b}{\beta }_2{}_i^0\varphi \left(\Vert I_j-B_i\Vert \right)=C_B{}_j^0,j=1,2,\cdots ,N_i+N_b\\ \sum_{i=1}^{N_i}{\alpha }_1{}_i^{n+1}\varphi \left(\Vert B_j-I_i\Vert \right)+\sum_{i=1}^{N_b}{\beta }_1{}_i^{n+1}\varphi \left(\Vert B_j-B_i\Vert \right)=f_1\left(B_j\right),j=1,2,\cdots ,N_b\\ \sum_{i=1}^{N_i}{\alpha }_2{}_i^{n+1}\varphi \left(\Vert B_j-I_i\Vert \right)+\sum_{i=1}^{N_b}{\beta }_2{}_i^{n+1}\varphi \left(\Vert B_j-B_i\Vert \right)=f_2\left(B_j\right),j=1,2,\cdots ,N_b \end{array}
(13)


and let

Failed to parse (MathML with SVG or PNG fallback (recommended for modern browsers and accessibility tools): Invalid response ("Math extension cannot connect to Restbase.") from server "https://mathoid.scipedia.com/localhost/v1/":): {\psi }_A\left(\Vert X-I\Vert \right)=\left(1+\frac{\alpha \Delta t}{{\theta }_A}\right)\varphi \left(\Vert X-\right. 

Failed to parse (MathML with SVG or PNG fallback (recommended for modern browsers and accessibility tools): Invalid response ("Math extension cannot connect to Restbase.") from server "https://mathoid.scipedia.com/localhost/v1/":): \left. I\Vert \right)-\Delta tD_A\Delta \varphi \left(\Vert X-\right. Failed to parse (MathML with SVG or PNG fallback (recommended for modern browsers and accessibility tools): Invalid response ("Math extension cannot connect to Restbase.") from server "https://mathoid.scipedia.com/localhost/v1/":): \left. I\Vert \right)+\Delta tV_A\nabla \varphi \left(\Vert X-\right. Failed to parse (MathML with SVG or PNG fallback (recommended for modern browsers and accessibility tools): Invalid response ("Math extension cannot connect to Restbase.") from server "https://mathoid.scipedia.com/localhost/v1/":): \left. I\Vert \right),

Failed to parse (MathML with SVG or PNG fallback (recommended for modern browsers and accessibility tools): Invalid response ("Math extension cannot connect to Restbase.") from server "https://mathoid.scipedia.com/localhost/v1/":): {\psi }_B\left(\Vert X-I\Vert \right)=\left(1+\frac{\alpha \Delta t}{{\theta }_B}\right)\varphi \left(\Vert X-\right. 

Failed to parse (MathML with SVG or PNG fallback (recommended for modern browsers and accessibility tools): Invalid response ("Math extension cannot connect to Restbase.") from server "https://mathoid.scipedia.com/localhost/v1/":): \left. I\Vert \right)-\Delta tD_B\Delta \varphi \left(\Vert X-\right. Failed to parse (MathML with SVG or PNG fallback (recommended for modern browsers and accessibility tools): Invalid response ("Math extension cannot connect to Restbase.") from server "https://mathoid.scipedia.com/localhost/v1/":): \left. I\Vert \right)+\Delta tV_B\nabla \varphi \left(\Vert X-\right. Failed to parse (MathML with SVG or PNG fallback (recommended for modern browsers and accessibility tools): Invalid response ("Math extension cannot connect to Restbase.") from server "https://mathoid.scipedia.com/localhost/v1/":): \left. I\Vert \right),

Failed to parse (MathML with SVG or PNG fallback (recommended for modern browsers and accessibility tools): Invalid response ("Math extension cannot connect to Restbase.") from server "https://mathoid.scipedia.com/localhost/v1/":): F_A^{n+1}\left(I_j\right)=C_A^n\left(I_j\right)+\frac{\alpha \Delta t}{{\theta }_A}C_B^{n+1}\left(I_j\right)+

Failed to parse (MathML with SVG or PNG fallback (recommended for modern browsers and accessibility tools): Invalid response ("Math extension cannot connect to Restbase.") from server "https://mathoid.scipedia.com/localhost/v1/":): \Delta tf_a^{n+1}\left(I_j\right),

Failed to parse (MathML with SVG or PNG fallback (recommended for modern browsers and accessibility tools): Invalid response ("Math extension cannot connect to Restbase.") from server "https://mathoid.scipedia.com/localhost/v1/":): F_B^{n+1}\left(I_j\right)=C_B^n\left(I_j\right)+\frac{\alpha \Delta t}{{\theta }_B}C_A^{n+1}\left(I_j\right)+

Failed to parse (MathML with SVG or PNG fallback (recommended for modern browsers and accessibility tools): Invalid response ("Math extension cannot connect to Restbase.") from server "https://mathoid.scipedia.com/localhost/v1/":): \Delta tf_b^{n+1}\left(I_j\right).

Then Eq.(13) can be expressed in the following matrix equcation

Failed to parse (MathML with SVG or PNG fallback (recommended for modern browsers and accessibility tools): Invalid response ("Math extension cannot connect to Restbase.") from server "https://mathoid.scipedia.com/localhost/v1/":): \lbrace \begin{array}{c} H_1a=F_1,\\ H_2b=F_2. \end{array}
(14)


where Failed to parse (MathML with SVG or PNG fallback (recommended for modern browsers and accessibility tools): Invalid response ("Math extension cannot connect to Restbase.") from server "https://mathoid.scipedia.com/localhost/v1/":): H_1

, Failed to parse (MathML with SVG or PNG fallback (recommended for modern browsers and accessibility tools): Invalid response ("Math extension cannot connect to Restbase.") from server "https://mathoid.scipedia.com/localhost/v1/":): H_2
are Failed to parse (MathML with SVG or PNG fallback (recommended for modern browsers and accessibility tools): Invalid response ("Math extension cannot connect to Restbase.") from server "https://mathoid.scipedia.com/localhost/v1/":): \left(N_b+N_i\right)\times \left(N_b+N_i\right)
matrices, Failed to parse (MathML with SVG or PNG fallback (recommended for modern browsers and accessibility tools): Invalid response ("Math extension cannot connect to Restbase.") from server "https://mathoid.scipedia.com/localhost/v1/":): a
, Failed to parse (MathML with SVG or PNG fallback (recommended for modern browsers and accessibility tools): Invalid response ("Math extension cannot connect to Restbase.") from server "https://mathoid.scipedia.com/localhost/v1/":): b
are the undetermined coefficient vectors, Failed to parse (MathML with SVG or PNG fallback (recommended for modern browsers and accessibility tools): Invalid response ("Math extension cannot connect to Restbase.") from server "https://mathoid.scipedia.com/localhost/v1/":): F_1
, Failed to parse (MathML with SVG or PNG fallback (recommended for modern browsers and accessibility tools): Invalid response ("Math extension cannot connect to Restbase.") from server "https://mathoid.scipedia.com/localhost/v1/":): F_2
are the given right end term vectors, namely
Failed to parse (MathML with SVG or PNG fallback (recommended for modern browsers and accessibility tools): Invalid response ("Math extension cannot connect to Restbase.") from server "https://mathoid.scipedia.com/localhost/v1/":): H_1=\left[\begin{array}{llllll} \varphi \left(\Vert B_1-B_1\Vert \right) & \cdots  & \varphi \left(\Vert B_1-B_{N_b}\Vert \right) & \varphi \left(\Vert B_1-I_1\Vert \right) & \cdots  & \varphi \left(\Vert B_1-I_{N_i}\Vert \right)\\ \mbox{          }\mbox{ }\vdots  &  & \mbox{          }\mbox{ }\vdots  & \mbox{          }\mbox{ }\vdots  &  & \mbox{          }\mbox{ }\vdots \\ \varphi \left(\Vert B_{N_b}-B_1\Vert \right) & \cdots  & \varphi \left(\Vert B_{N_b}-B_{N_b}\Vert \right) & \varphi \left(\Vert B_{N_b}-I_1\Vert \right) & \cdots  & \varphi \left(\Vert B_{N_b}-I_{N_i}\Vert \right)\\ {\psi }_A\left(\Vert I_1-B_1\Vert \right) & \cdots  & {\psi }_A\left(\Vert I_1-B_{N_b}\Vert \right) & {\psi }_A\left(\Vert I_1-I_1\Vert \right) & \cdots  & {\psi }_A\left(\Vert I_1-I_{N_i}\Vert \right)\\ \mbox{           }\mbox{ }\vdots  &  & \mbox{           }\mbox{ }\vdots  & \mbox{           }\mbox{ }\vdots  &  & \mbox{           }\mbox{ }\vdots \\ {\psi }_A\left(\Vert I_{N_i}-B_1\Vert \right) & \cdots  & {\psi }_A\left(\Vert I_{N_i}-B_{N_b}\Vert \right) & {\psi }_A\left(\Vert I_{N_i}-I_1\Vert \right) & \cdots  & {\psi }_A\left(\Vert I_{N_i}-I_{N_i}\Vert \right) \end{array}\right],
 Failed to parse (MathML with SVG or PNG fallback (recommended for modern browsers and accessibility tools): Invalid response ("Math extension cannot connect to Restbase.") from server "https://mathoid.scipedia.com/localhost/v1/":): a={\left[{\beta }_{11}^{n+1},\cdots ,{\beta }_{1N_b}^{n+1},{\alpha }_{11}^{n+1},\cdots ,{\alpha }_{1N_i}^{n+1}\right]}^T,
Failed to parse (MathML with SVG or PNG fallback (recommended for modern browsers and accessibility tools): Invalid response ("Math extension cannot connect to Restbase.") from server "https://mathoid.scipedia.com/localhost/v1/":): F_1={\left[f_1\left(B_1\right),\cdots ,f_1\left(B_{N_b}\right),F_A^{n+1}\left(I_1\right),\cdots ,F_A^{n+1}\left(I_{N_i}\right)\right]}^T.

Failed to parse (MathML with SVG or PNG fallback (recommended for modern browsers and accessibility tools): Invalid response ("Math extension cannot connect to Restbase.") from server "https://mathoid.scipedia.com/localhost/v1/":): H_2=\left[\begin{array}{llllll} \varphi \left(\Vert B_1-B_1\Vert \right) & \cdots & \varphi \left(\Vert B_1-B_{N_b}\Vert \right) & \varphi \left(\Vert B_1-I_1\Vert \right) & \cdots & \varphi \left(\Vert B_1-I_{N_i}\Vert \right)\\ \mbox{          }\mbox{ }\vdots & & \mbox{          }\mbox{ }\vdots & \mbox{          }\mbox{ }\vdots & & \mbox{          }\mbox{ }\vdots \\ \varphi \left(\Vert B_{N_b}-B_1\Vert \right) & \cdots & \varphi \left(\Vert B_{N_b}-B_{N_b}\Vert \right) & \varphi \left(\Vert B_{N_b}-I_1\Vert \right) & \cdots & \varphi \left(\Vert B_{N_b}-I_{N_i}\Vert \right)\\ {\psi }_B\left(\Vert I_1-B_1\Vert \right) & \cdots & {\psi }_B\left(\Vert I_1-B_{N_b}\Vert \right) & {\psi }_B\left(\Vert I_1-I_1\Vert \right) & \cdots & {\psi }_B\left(\Vert I_1-I_{N_i}\Vert \right)\\ \mbox{           }\mbox{ }\vdots & & \mbox{           }\mbox{ }\vdots & \mbox{           }\mbox{ }\vdots & & \mbox{           }\mbox{ }\vdots \\ {\psi }_B\left(\Vert I_{N_i}-B_1\Vert \right) & \cdots & {\psi }_B\left(\Vert I_{N_i}-B_{N_b}\Vert \right) & {\psi }_B\left(\Vert I_{N_i}-I_1\Vert \right) & \cdots & {\psi }_B\left(\Vert I_{N_i}-I_{N_i}\Vert \right) \end{array}\right],


Failed to parse (MathML with SVG or PNG fallback (recommended for modern browsers and accessibility tools): Invalid response ("Math extension cannot connect to Restbase.") from server "https://mathoid.scipedia.com/localhost/v1/":): b={\left[{\beta }_{21}^{n+1},\cdots ,{\beta }_{2N_b}^{n+1},{\alpha }_{21}^{n+1},\cdots ,{\alpha }_{2N_i}^{n+1}\right]}^T,
Failed to parse (MathML with SVG or PNG fallback (recommended for modern browsers and accessibility tools): Invalid response ("Math extension cannot connect to Restbase.") from server "https://mathoid.scipedia.com/localhost/v1/":): F_2={\left[f_2\left(B_1\right),\cdots ,f_2\left(B_{N_b}\right),F_B^{n+1}\left(I_1\right),\cdots ,F_B^{n+1}\left(I_{N_i}\right)\right]}^T.

3. Existence and uniqueness of solution

In the two-flow domain model, the region with faster flow rate is defined as region A, and the region with slower flow rate is defined as region B. For region A, let Failed to parse (MathML with SVG or PNG fallback (recommended for modern browsers and accessibility tools): Invalid response ("Math extension cannot connect to Restbase.") from server "https://mathoid.scipedia.com/localhost/v1/":): L=\left(1+\alpha \Delta t/{\theta }_A\right)-\Delta tD_A\Delta + Failed to parse (MathML with SVG or PNG fallback (recommended for modern browsers and accessibility tools): Invalid response ("Math extension cannot connect to Restbase.") from server "https://mathoid.scipedia.com/localhost/v1/":): \Delta tV_A\nabla

, in order to discuss the existence and uniqueness of the solution of (14), we first perform coordinate transformation on L. We take  Failed to parse (MathML with SVG or PNG fallback (recommended for modern browsers and accessibility tools): Invalid response ("Math extension cannot connect to Restbase.") from server "https://mathoid.scipedia.com/localhost/v1/":): Y^{n+1}=QX^{n+1}
,where Failed to parse (MathML with SVG or PNG fallback (recommended for modern browsers and accessibility tools): Invalid response ("Math extension cannot connect to Restbase.") from server "https://mathoid.scipedia.com/localhost/v1/":): Q
is a non-degenerate matrix,and record as
Failed to parse (MathML with SVG or PNG fallback (recommended for modern browsers and accessibility tools): Invalid response ("Math extension cannot connect to Restbase.") from server "https://mathoid.scipedia.com/localhost/v1/":): v_A^{n+1}\left(Y^{n+1}\right)=C_A^{n+1}\left(P^{-1}Y^{n+1}\right)

then there is

Failed to parse (MathML with SVG or PNG fallback (recommended for modern browsers and accessibility tools): Invalid response ("Math extension cannot connect to Restbase.") from server "https://mathoid.scipedia.com/localhost/v1/":): L=\left(1+\frac{\alpha \Delta t}{{\theta }_A}\right)-

Failed to parse (MathML with SVG or PNG fallback (recommended for modern browsers and accessibility tools): Invalid response ("Math extension cannot connect to Restbase.") from server "https://mathoid.scipedia.com/localhost/v1/":): \Delta tD_A{\epsilon }_k\Delta +\Delta tV_A\nabla

(15)


Let Failed to parse (MathML with SVG or PNG fallback (recommended for modern browsers and accessibility tools): Invalid response ("Math extension cannot connect to Restbase.") from server "https://mathoid.scipedia.com/localhost/v1/":): \lambda ={\left({\lambda }_1,{\lambda }_2\right)}^T

,  Failed to parse (MathML with SVG or PNG fallback (recommended for modern browsers and accessibility tools): Invalid response ("Math extension cannot connect to Restbase.") from server "https://mathoid.scipedia.com/localhost/v1/":): v_A^{n+1}\left(Y^{n+1}\right)=w_A^{n+1}\left(Y^{n+1}\right)e^{\lambda \cdot Y^{n+1}}
, we have
Failed to parse (MathML with SVG or PNG fallback (recommended for modern browsers and accessibility tools): Invalid response ("Math extension cannot connect to Restbase.") from server "https://mathoid.scipedia.com/localhost/v1/":): Dv_A^{n+1}\left(Y^{n+1}\right)=\lambda w_A^{n+1}\left(Y^{n+1}\right)e^{\lambda \cdot Y^{n+1}}+

Failed to parse (MathML with SVG or PNG fallback (recommended for modern browsers and accessibility tools): Invalid response ("Math extension cannot connect to Restbase.") from server "https://mathoid.scipedia.com/localhost/v1/":): e^{\lambda \cdot Y^{n+1}}Dw_A^{n+1}\left(Y^{n+1}\right),

(16)
Failed to parse (MathML with SVG or PNG fallback (recommended for modern browsers and accessibility tools): Invalid response ("Math extension cannot connect to Restbase.") from server "https://mathoid.scipedia.com/localhost/v1/":): D^2v_A^{n+1}\left(Y^{n+1}\right)=w_A^{n+1}\left(Y^{n+1}\right)e^{\lambda \cdot Y^{n+1}}{\lambda }^T\lambda +

Failed to parse (MathML with SVG or PNG fallback (recommended for modern browsers and accessibility tools): Invalid response ("Math extension cannot connect to Restbase.") from server "https://mathoid.scipedia.com/localhost/v1/":): e^{\lambda \cdot Y^{n+1}}\left({\lambda }^TDw_A^{n+1}\left(Y^{n+1}\right)+\right. Failed to parse (MathML with SVG or PNG fallback (recommended for modern browsers and accessibility tools): Invalid response ("Math extension cannot connect to Restbase.") from server "https://mathoid.scipedia.com/localhost/v1/":): \left. \lambda Dw_A^{n+1}\left(Y^{n+1}\right)\right)+ Failed to parse (MathML with SVG or PNG fallback (recommended for modern browsers and accessibility tools): Invalid response ("Math extension cannot connect to Restbase.") from server "https://mathoid.scipedia.com/localhost/v1/":): e^{\lambda \cdot Y^{n+1}}D^2w_A^{n+1}\left(Y^{n+1}\right).

(17)


By substituting Eq.(16), (17) into Eq.(15), we can get

Failed to parse (MathML with SVG or PNG fallback (recommended for modern browsers and accessibility tools): Invalid response ("Math extension cannot connect to Restbase.") from server "https://mathoid.scipedia.com/localhost/v1/":): -\Delta tD_A{\epsilon }_k\Delta w_A^{n+1}\left(Y^{n+1}\right)-

Failed to parse (MathML with SVG or PNG fallback (recommended for modern browsers and accessibility tools): Invalid response ("Math extension cannot connect to Restbase.") from server "https://mathoid.scipedia.com/localhost/v1/":): \left(2\Delta tD_A{\epsilon }_k\lambda -\Delta tV_A\right)\nabla w_A^{n+1}\left(Y^{n+1}\right)+ Failed to parse (MathML with SVG or PNG fallback (recommended for modern browsers and accessibility tools): Invalid response ("Math extension cannot connect to Restbase.") from server "https://mathoid.scipedia.com/localhost/v1/":): \left(\Delta tV_A\lambda -\Delta tD_A{\epsilon }_k{\lambda }^T\lambda +\right. Failed to parse (MathML with SVG or PNG fallback (recommended for modern browsers and accessibility tools): Invalid response ("Math extension cannot connect to Restbase.") from server "https://mathoid.scipedia.com/localhost/v1/":): \left. \left(1+\frac{\alpha \Delta t}{{\theta }_A}\right)\right)w_A^{n+1}\left(Y^{n+1}\right)= Failed to parse (MathML with SVG or PNG fallback (recommended for modern browsers and accessibility tools): Invalid response ("Math extension cannot connect to Restbase.") from server "https://mathoid.scipedia.com/localhost/v1/":): L\cdot e^{-\lambda Y^{n+1}}.

(18)


Substitute Eq.(18) into Eq.(15), and then combine with Eq.(13) to obtain

Failed to parse (MathML with SVG or PNG fallback (recommended for modern browsers and accessibility tools): Invalid response ("Math extension cannot connect to Restbase.") from server "https://mathoid.scipedia.com/localhost/v1/":): \sum_{i=1}^{N_i}\varphi \left(\Vert {\overline{B}}_j-\right. 

Failed to parse (MathML with SVG or PNG fallback (recommended for modern browsers and accessibility tools): Invalid response ("Math extension cannot connect to Restbase.") from server "https://mathoid.scipedia.com/localhost/v1/":): \left. {\overline{I}}_i\Vert \right){\alpha }_{1i}^{n+1}+ Failed to parse (MathML with SVG or PNG fallback (recommended for modern browsers and accessibility tools): Invalid response ("Math extension cannot connect to Restbase.") from server "https://mathoid.scipedia.com/localhost/v1/":): \sum_{i=1}^{N_b}\varphi \left(\Vert {\overline{B}}_j-\right. Failed to parse (MathML with SVG or PNG fallback (recommended for modern browsers and accessibility tools): Invalid response ("Math extension cannot connect to Restbase.") from server "https://mathoid.scipedia.com/localhost/v1/":): \left. {\overline{B}}_i\Vert \right){\beta }_{1i}^{n+1}= Failed to parse (MathML with SVG or PNG fallback (recommended for modern browsers and accessibility tools): Invalid response ("Math extension cannot connect to Restbase.") from server "https://mathoid.scipedia.com/localhost/v1/":): {\overline{f}}_1\left({\overline{B}}_j\right),

Failed to parse (MathML with SVG or PNG fallback (recommended for modern browsers and accessibility tools): Invalid response ("Math extension cannot connect to Restbase.") from server "https://mathoid.scipedia.com/localhost/v1/":): \sum_{i=1}^{N_i}\left(\overline{c}-\Delta tD_A{\epsilon }_k\Delta \right)\varphi \left(\Vert {\overline{I}}_j-\right. 

Failed to parse (MathML with SVG or PNG fallback (recommended for modern browsers and accessibility tools): Invalid response ("Math extension cannot connect to Restbase.") from server "https://mathoid.scipedia.com/localhost/v1/":): \left. {\overline{I}}_i\Vert \right){\alpha }_{1i}^{n+1}+ Failed to parse (MathML with SVG or PNG fallback (recommended for modern browsers and accessibility tools): Invalid response ("Math extension cannot connect to Restbase.") from server "https://mathoid.scipedia.com/localhost/v1/":): \sum_{i=1}^{N_b}\left(\overline{c}-\Delta tD_A{\epsilon }_k\Delta \right)\varphi \left(\Vert {\overline{I}}_j-\right. Failed to parse (MathML with SVG or PNG fallback (recommended for modern browsers and accessibility tools): Invalid response ("Math extension cannot connect to Restbase.") from server "https://mathoid.scipedia.com/localhost/v1/":): \left. {\overline{B}}_i\Vert \right){\beta }_{1i}^{n+1}= Failed to parse (MathML with SVG or PNG fallback (recommended for modern browsers and accessibility tools): Invalid response ("Math extension cannot connect to Restbase.") from server "https://mathoid.scipedia.com/localhost/v1/":): {\overline{F}}_A^{n+1}\left({\overline{I}}_j\right).

where let Failed to parse (MathML with SVG or PNG fallback (recommended for modern browsers and accessibility tools): Invalid response ("Math extension cannot connect to Restbase.") from server "https://mathoid.scipedia.com/localhost/v1/":): {\overline{\psi }}_A\left(\Vert \overline{X}-\overline{I}\Vert \right)= Failed to parse (MathML with SVG or PNG fallback (recommended for modern browsers and accessibility tools): Invalid response ("Math extension cannot connect to Restbase.") from server "https://mathoid.scipedia.com/localhost/v1/":): \left(\overline{c}-\Delta tD_A{\epsilon }_k\Delta \right)\varphi \left(\Vert \overline{X}-\right. Failed to parse (MathML with SVG or PNG fallback (recommended for modern browsers and accessibility tools): Invalid response ("Math extension cannot connect to Restbase.") from server "https://mathoid.scipedia.com/localhost/v1/":): \left. \overline{I}\Vert \right)

;  Failed to parse (MathML with SVG or PNG fallback (recommended for modern browsers and accessibility tools): Invalid response ("Math extension cannot connect to Restbase.") from server "https://mathoid.scipedia.com/localhost/v1/":): T=\overline{c}-\Delta tD_A{\epsilon }_k\Delta \left(k=\right. 

Failed to parse (MathML with SVG or PNG fallback (recommended for modern browsers and accessibility tools): Invalid response ("Math extension cannot connect to Restbase.") from server "https://mathoid.scipedia.com/localhost/v1/":): \left. 1,2\right)

, we take Failed to parse (MathML with SVG or PNG fallback (recommended for modern browsers and accessibility tools): Invalid response ("Math extension cannot connect to Restbase.") from server "https://mathoid.scipedia.com/localhost/v1/":): {\epsilon }_k=1
,  Failed to parse (MathML with SVG or PNG fallback (recommended for modern browsers and accessibility tools): Invalid response ("Math extension cannot connect to Restbase.") from server "https://mathoid.scipedia.com/localhost/v1/":): \overline{c}
is a constant Failed to parse (MathML with SVG or PNG fallback (recommended for modern browsers and accessibility tools): Invalid response ("Math extension cannot connect to Restbase.") from server "https://mathoid.scipedia.com/localhost/v1/":): \left(\overline{c}>0\right)
;  Failed to parse (MathML with SVG or PNG fallback (recommended for modern browsers and accessibility tools): Invalid response ("Math extension cannot connect to Restbase.") from server "https://mathoid.scipedia.com/localhost/v1/":): {\overline{F}}_A^{n+1}=F_A^{n+1}\left(P^{-1}Y^{n+1}\right)e^{-\lambda Y^{n+1}}
,  Failed to parse (MathML with SVG or PNG fallback (recommended for modern browsers and accessibility tools): Invalid response ("Math extension cannot connect to Restbase.") from server "https://mathoid.scipedia.com/localhost/v1/":): \lambda ={\left({\lambda }_1,{\lambda }_2\right)}^T
,  Failed to parse (MathML with SVG or PNG fallback (recommended for modern browsers and accessibility tools): Invalid response ("Math extension cannot connect to Restbase.") from server "https://mathoid.scipedia.com/localhost/v1/":): {\lambda }_k=V_A/2D_A{\epsilon }_k
,  Failed to parse (MathML with SVG or PNG fallback (recommended for modern browsers and accessibility tools): Invalid response ("Math extension cannot connect to Restbase.") from server "https://mathoid.scipedia.com/localhost/v1/":): {\overline{f}}_1=f_1\left(P^{-1}Y^{n+1}\right)
; Failed to parse (MathML with SVG or PNG fallback (recommended for modern browsers and accessibility tools): Invalid response ("Math extension cannot connect to Restbase.") from server "https://mathoid.scipedia.com/localhost/v1/":): \overline{B}
, Failed to parse (MathML with SVG or PNG fallback (recommended for modern browsers and accessibility tools): Invalid response ("Math extension cannot connect to Restbase.") from server "https://mathoid.scipedia.com/localhost/v1/":): \overline{I}
are the points after Failed to parse (MathML with SVG or PNG fallback (recommended for modern browsers and accessibility tools): Invalid response ("Math extension cannot connect to Restbase.") from server "https://mathoid.scipedia.com/localhost/v1/":): B
, Failed to parse (MathML with SVG or PNG fallback (recommended for modern browsers and accessibility tools): Invalid response ("Math extension cannot connect to Restbase.") from server "https://mathoid.scipedia.com/localhost/v1/":): I
coordinate transformation.

Therefore, defined

Failed to parse (MathML with SVG or PNG fallback (recommended for modern browsers and accessibility tools): Invalid response ("Math extension cannot connect to Restbase.") from server "https://mathoid.scipedia.com/localhost/v1/":): {\Psi }_1\mbox{=}\left[\begin{array}{ccc} \varphi \left(\Vert {\overline{B}}_1-{\overline{B}}_1\Vert \right) & \cdots  & \varphi \left(\Vert {\overline{B}}_1-{\overline{B}}_{N_b}\Vert \right)\\ \vdots  & \ddots  & \vdots \\ \varphi \left(\Vert {\overline{B}}_{N_b}-{\overline{B}}_1\Vert \right) & \cdots  & \varphi \left(\Vert {\overline{B}}_{N_b}-{\overline{B}}_{N_b}\Vert \right) \end{array}\right],
 Failed to parse (MathML with SVG or PNG fallback (recommended for modern browsers and accessibility tools): Invalid response ("Math extension cannot connect to Restbase.") from server "https://mathoid.scipedia.com/localhost/v1/":): {\Psi }_2\mbox{=}\left[\begin{array}{ccc} \varphi \left(\Vert {\overline{B}}_1-{\overline{I}}_1\Vert \right) & \cdots  & \varphi \left(\Vert {\overline{B}}_1-{\overline{I}}_{N_i}\Vert \right)\\ \vdots  & \ddots  & \vdots \\ \varphi \left(\Vert {\overline{B}}_{N_b}-{\overline{I}}_1\Vert \right) & \cdots  & \varphi \left(\Vert {\overline{B}}_{N_b}-{\overline{I}}_{N_i}\Vert \right) \end{array}\right],
Failed to parse (MathML with SVG or PNG fallback (recommended for modern browsers and accessibility tools): Invalid response ("Math extension cannot connect to Restbase.") from server "https://mathoid.scipedia.com/localhost/v1/":): {\Psi }_3\mbox{=}\left[\begin{array}{ccc} {\overline{\psi }}_A\left(\Vert {\overline{I}}_1-{\overline{B}}_1\Vert \right) & \cdots  & {\overline{\psi }}_A\left(\Vert {\overline{I}}_1-{\overline{B}}_{N_b}\Vert \right)\\ \vdots  & \ddots  & \vdots \\ {\overline{\psi }}_A\left(\Vert {\overline{I}}_{N_i}-{\overline{B}}_1\Vert \right) & \cdots  & {\overline{\psi }}_A\left(\Vert {\overline{I}}_{N_i}-{\overline{B}}_{N_b}\Vert \right) \end{array}\right],
 Failed to parse (MathML with SVG or PNG fallback (recommended for modern browsers and accessibility tools): Invalid response ("Math extension cannot connect to Restbase.") from server "https://mathoid.scipedia.com/localhost/v1/":): {\Psi }_4\mbox{=}\left[\begin{array}{ccc} {\overline{\psi }}_A\left(\Vert {\overline{I}}_1-{\overline{I}}_1\Vert \right) & \cdots  & {\overline{\psi }}_A\left(\Vert {\overline{I}}_1-{\overline{I}}_{N_i}\Vert \right)\\ \vdots  & \ddots  & \vdots \\ {\overline{\psi }}_A\left(\Vert {\overline{I}}_{N_i}-{\overline{I}}_1\Vert \right) & \cdots  & {\overline{\psi }}_A\left(\Vert {\overline{I}}_{N_i}-{\overline{I}}_{N_i}\Vert \right) \end{array}\right].

then there is

Failed to parse (MathML with SVG or PNG fallback (recommended for modern browsers and accessibility tools): Invalid response ("Math extension cannot connect to Restbase.") from server "https://mathoid.scipedia.com/localhost/v1/":): {\Psi }_A=\left[\begin{array}{cc} {\Psi }_1 & {\Psi }_2\\ {\Psi }_3 & {\Psi }_4 \end{array}\right],{\overline{F}}_1={\left[{\overline{f}}_1\left({\overline{B}}_1\right),\cdots ,{\overline{f}}_1\left({\overline{B}}_{N_b}\right),{\overline{F}}_A^{n+1}\left({\overline{I}}_1\right),\cdots ,{\overline{F}}_A^{n+1}\left({\overline{I}}_{N_i}\right)\right]}^T.

Consequently, the matrix equation is

Failed to parse (MathML with SVG or PNG fallback (recommended for modern browsers and accessibility tools): Invalid response ("Math extension cannot connect to Restbase.") from server "https://mathoid.scipedia.com/localhost/v1/":): {\Psi }_Aa={\overline{F}}_1
(19)


Lemma 1[15] The function Failed to parse (MathML with SVG or PNG fallback (recommended for modern browsers and accessibility tools): Invalid response ("Math extension cannot connect to Restbase.") from server "https://mathoid.scipedia.com/localhost/v1/":): \Phi \left(x\right)=\phi \left(a\dot x\right)

is a positive definite function if and only if its Fourier tarnsform Failed to parse (MathML with SVG or PNG fallback (recommended for modern browsers and accessibility tools): Invalid response ("Math extension cannot connect to Restbase.") from server "https://mathoid.scipedia.com/localhost/v1/":): F \left(\Phi\right)
is almost everywhere greater than 0.

Lemma 2[11] The Fourier transform Failed to parse (MathML with SVG or PNG fallback (recommended for modern browsers and accessibility tools): Invalid response ("Math extension cannot connect to Restbase.") from server "https://mathoid.scipedia.com/localhost/v1/":): F\left[\phi \right]\left(w\right)

of the ridge basis function Failed to parse (MathML with SVG or PNG fallback (recommended for modern browsers and accessibility tools): Invalid response ("Math extension cannot connect to Restbase.") from server "https://mathoid.scipedia.com/localhost/v1/":): \phi \left(r\right)
is almost everywhere greater than 0, the interpolation matrix Failed to parse (MathML with SVG or PNG fallback (recommended for modern browsers and accessibility tools): Invalid response ("Math extension cannot connect to Restbase.") from server "https://mathoid.scipedia.com/localhost/v1/":): Q
is definite.

Theorem 1 If the ridge basis function Failed to parse (MathML with SVG or PNG fallback (recommended for modern browsers and accessibility tools): Invalid response ("Math extension cannot connect to Restbase.") from server "https://mathoid.scipedia.com/localhost/v1/":): \phi \left(x\right)

is a positive definite function and   Failed to parse (MathML with SVG or PNG fallback (recommended for modern browsers and accessibility tools): Invalid response ("Math extension cannot connect to Restbase.") from server "https://mathoid.scipedia.com/localhost/v1/":): {\left({\Psi }_3{\Psi }_1^{-1}{\Psi }_2-{\Psi }_4\right)}^{-1}
exists, Eq.(19) has a unique solution.

Proof. Choose the ridge basis function Failed to parse (MathML with SVG or PNG fallback (recommended for modern browsers and accessibility tools): Invalid response ("Math extension cannot connect to Restbase.") from server "https://mathoid.scipedia.com/localhost/v1/":): \phi \left(x\right)

, which is an even function. It is known from Lemma 1 and Lemma 2 that Failed to parse (MathML with SVG or PNG fallback (recommended for modern browsers and accessibility tools): Invalid response ("Math extension cannot connect to Restbase.") from server "https://mathoid.scipedia.com/localhost/v1/":): {\Psi }_1
is definite. Hence, Failed to parse (MathML with SVG or PNG fallback (recommended for modern browsers and accessibility tools): Invalid response ("Math extension cannot connect to Restbase.") from server "https://mathoid.scipedia.com/localhost/v1/":): {\Psi }_1^{-1}
exists. As Failed to parse (MathML with SVG or PNG fallback (recommended for modern browsers and accessibility tools): Invalid response ("Math extension cannot connect to Restbase.") from server "https://mathoid.scipedia.com/localhost/v1/":): -{\phi }^{{''}}\left(x\right)
is also an even function, then its Fourier transform is
Failed to parse (MathML with SVG or PNG fallback (recommended for modern browsers and accessibility tools): Invalid response ("Math extension cannot connect to Restbase.") from server "https://mathoid.scipedia.com/localhost/v1/":): F\left[-{\phi }^{{''}}\left(x\right)\right]=-{\left(iw\right)}^2F\left[\phi \left(x\right)\right]=

Failed to parse (MathML with SVG or PNG fallback (recommended for modern browsers and accessibility tools): Invalid response ("Math extension cannot connect to Restbase.") from server "https://mathoid.scipedia.com/localhost/v1/":): w^2F\left[\phi \left(x\right)\right]>0.

Similarly, Failed to parse (MathML with SVG or PNG fallback (recommended for modern browsers and accessibility tools): Invalid response ("Math extension cannot connect to Restbase.") from server "https://mathoid.scipedia.com/localhost/v1/":): {\Psi }_4

is also definite. Hence, Failed to parse (MathML with SVG or PNG fallback (recommended for modern browsers and accessibility tools): Invalid response ("Math extension cannot connect to Restbase.") from server "https://mathoid.scipedia.com/localhost/v1/":): {\Psi }_4^{-1}
also exists.

Elementary transformation of Failed to parse (MathML with SVG or PNG fallback (recommended for modern browsers and accessibility tools): Invalid response ("Math extension cannot connect to Restbase.") from server "https://mathoid.scipedia.com/localhost/v1/":): \left[\begin{array}{cc} {\Psi }_1 & {\Psi }_2\\ {\Psi }_3 & {\Psi }_4 \end{array}\right]

, there is
Failed to parse (MathML with SVG or PNG fallback (recommended for modern browsers and accessibility tools): Invalid response ("Math extension cannot connect to Restbase.") from server "https://mathoid.scipedia.com/localhost/v1/":): \left[\begin{array}{cc} E & -{\Psi }_2{\Psi }_4^{-1}\\ 0 & E \end{array}\right]\left[\begin{array}{cc} {\Psi }_1 & {\Psi }_2\\ {\Psi }_3 & {\Psi }_4 \end{array}\right]\mbox{=}\left[\begin{array}{cc} {\Psi }_1-{\Psi }_2{\Psi }_4^{-1}{\Psi }_3 & 0\\ {\Psi }_3 & {\Psi }_4 \end{array}\right]

We can get the following determinant

Failed to parse (MathML with SVG or PNG fallback (recommended for modern browsers and accessibility tools): Invalid response ("Math extension cannot connect to Restbase.") from server "https://mathoid.scipedia.com/localhost/v1/":): \vert \begin{array}{cc} E & -{\Psi }_2{\Psi }_4^{-1}\\ 0 & E \end{array}\vert \vert \begin{array}{cc} {\Psi }_1 & {\Psi }_2\\ {\Psi }_3 & {\Psi }_4 \end{array}\vert =\vert \begin{array}{cc} {\Psi }_1-{\Psi }_2{\Psi }_4^{-1}{\Psi }_3 & 0\\ {\Psi }_3 & {\Psi }_4 \end{array}\vert =\vert {\Psi }_1-{\Psi }_2{\Psi }_4^{-1}{\Psi }_3\vert \cdot \vert {\Psi }_4\vert 

and because

Failed to parse (MathML with SVG or PNG fallback (recommended for modern browsers and accessibility tools): Invalid response ("Math extension cannot connect to Restbase.") from server "https://mathoid.scipedia.com/localhost/v1/":): \left({\Psi }_1-{\Psi }_2{\Psi }_4^{-1}{\Psi }_3\right)\left[{\Psi }_1^{-1}-\right. 

Failed to parse (MathML with SVG or PNG fallback (recommended for modern browsers and accessibility tools): Invalid response ("Math extension cannot connect to Restbase.") from server "https://mathoid.scipedia.com/localhost/v1/":): \left. {\Psi }_1^{-1}{\Psi }_2{\left({\Psi }_3{\Psi }_1^{-1}{\Psi }_2-{\Psi }_4\right)}^{-1}{\Psi }_3{\Psi }_1^{-1}\right]= Failed to parse (MathML with SVG or PNG fallback (recommended for modern browsers and accessibility tools): Invalid response ("Math extension cannot connect to Restbase.") from server "https://mathoid.scipedia.com/localhost/v1/":): E

we can get that Failed to parse (MathML with SVG or PNG fallback (recommended for modern browsers and accessibility tools): Invalid response ("Math extension cannot connect to Restbase.") from server "https://mathoid.scipedia.com/localhost/v1/":): {\left({\Psi }_3{\Psi }_1^{-1}{\Psi }_2-{\Psi }_4\right)}^{-1}

exists. Subsequently,  Failed to parse (MathML with SVG or PNG fallback (recommended for modern browsers and accessibility tools): Invalid response ("Math extension cannot connect to Restbase.") from server "https://mathoid.scipedia.com/localhost/v1/":): \vert {\Psi }_A\vert \not =0
, the equation has a unique solution.

Similarly, for the area B, it can be proved that there is a unique solution to its matrix equation.

In summary, there is a unique solution to Eq.(14).

4. Numerical examples

In this section, numerical examples of 1D and 2D two-flow domain model are given by using the method described above. In order to verify the validity and accuracy of the proposed method, we compare it with the finite difference method (FDM). The relative error formula given here is

Failed to parse (MathML with SVG or PNG fallback (recommended for modern browsers and accessibility tools): Invalid response ("Math extension cannot connect to Restbase.") from server "https://mathoid.scipedia.com/localhost/v1/":): L_2=\sqrt{\sum_{i=1}^N{\left[u\left(x_i\right)-u_{exact}\left(x_i\right)\right]}^2/\sum_{i=1}^N{\left[u\left(x_i\right)\right]}^2}.

Example 1 Consider the initial boundary value problem of 1D two-flow domain model

Failed to parse (MathML with SVG or PNG fallback (recommended for modern browsers and accessibility tools): Invalid response ("Math extension cannot connect to Restbase.") from server "https://mathoid.scipedia.com/localhost/v1/":): \lbrace \begin{array}{l} \frac{\partial C_A}{\partial t}=D_A\frac{{\partial }^2C_A}{\partial x^2}-V_A\frac{\partial C_A}{\partial x}-\frac{\alpha }{{\theta }_A}\left(C_A-C_B\right)+f_a,x\in {\Omega }_1,t\in \left[0,T\right],\\ \frac{\partial C_B}{\partial t}=D_B\frac{{\partial }^2C_B}{\partial x^2}-V_B\frac{\partial C_B}{\partial x}-\frac{\alpha }{{\theta }_B}\left(C_B-C_A\right)+f_b,x\in {\Omega }_1,t\in \left[0,T\right],\\ C_A\left(x,0\right)=C_{A0},C_B\left(x,0\right)=C_{B0},x\in {\Omega }_1,\\ C_A\left(0,t\right)=f_{a1},C_A\left(1,t\right)=f_{a2},C_B\left(0,t\right)=f_{b1},C_B\left(1,t\right)=f_{b2},t\in \left[0,T\right]. \end{array}

Let Failed to parse (MathML with SVG or PNG fallback (recommended for modern browsers and accessibility tools): Invalid response ("Math extension cannot connect to Restbase.") from server "https://mathoid.scipedia.com/localhost/v1/":): D_A=D_B=1

,  Failed to parse (MathML with SVG or PNG fallback (recommended for modern browsers and accessibility tools): Invalid response ("Math extension cannot connect to Restbase.") from server "https://mathoid.scipedia.com/localhost/v1/":): V_A=V_B=1
,  Failed to parse (MathML with SVG or PNG fallback (recommended for modern browsers and accessibility tools): Invalid response ("Math extension cannot connect to Restbase.") from server "https://mathoid.scipedia.com/localhost/v1/":): {\theta }_A={\theta }_B=2
,  Failed to parse (MathML with SVG or PNG fallback (recommended for modern browsers and accessibility tools): Invalid response ("Math extension cannot connect to Restbase.") from server "https://mathoid.scipedia.com/localhost/v1/":): \alpha =0.001
,  Failed to parse (MathML with SVG or PNG fallback (recommended for modern browsers and accessibility tools): Invalid response ("Math extension cannot connect to Restbase.") from server "https://mathoid.scipedia.com/localhost/v1/":): {\Omega }_1=\left[0,1\right]
. The exact solutions are  Failed to parse (MathML with SVG or PNG fallback (recommended for modern browsers and accessibility tools): Invalid response ("Math extension cannot connect to Restbase.") from server "https://mathoid.scipedia.com/localhost/v1/":): C_A\left(x,t\right)=t^2x{\left(x-1\right)}^2
,  Failed to parse (MathML with SVG or PNG fallback (recommended for modern browsers and accessibility tools): Invalid response ("Math extension cannot connect to Restbase.") from server "https://mathoid.scipedia.com/localhost/v1/":): C_B\left(x,t\right)=t^2x^2{\left(x-1\right)}^3
, where  Failed to parse (MathML with SVG or PNG fallback (recommended for modern browsers and accessibility tools): Invalid response ("Math extension cannot connect to Restbase.") from server "https://mathoid.scipedia.com/localhost/v1/":): C_{A0}
,  Failed to parse (MathML with SVG or PNG fallback (recommended for modern browsers and accessibility tools): Invalid response ("Math extension cannot connect to Restbase.") from server "https://mathoid.scipedia.com/localhost/v1/":): C_{B0}
,  Failed to parse (MathML with SVG or PNG fallback (recommended for modern browsers and accessibility tools): Invalid response ("Math extension cannot connect to Restbase.") from server "https://mathoid.scipedia.com/localhost/v1/":): f_{a1}
,  Failed to parse (MathML with SVG or PNG fallback (recommended for modern browsers and accessibility tools): Invalid response ("Math extension cannot connect to Restbase.") from server "https://mathoid.scipedia.com/localhost/v1/":): f_{a2}
,  Failed to parse (MathML with SVG or PNG fallback (recommended for modern browsers and accessibility tools): Invalid response ("Math extension cannot connect to Restbase.") from server "https://mathoid.scipedia.com/localhost/v1/":): f_{b1}
,  Failed to parse (MathML with SVG or PNG fallback (recommended for modern browsers and accessibility tools): Invalid response ("Math extension cannot connect to Restbase.") from server "https://mathoid.scipedia.com/localhost/v1/":): f_{b2}
are determined by exact solutions. The space step is  Draft Qin 902464492-image188.png ( Failed to parse (MathML with SVG or PNG fallback (recommended for modern browsers and accessibility tools): Invalid response ("Math extension cannot connect to Restbase.") from server "https://mathoid.scipedia.com/localhost/v1/":): N
is the number of nodes) , the time step is  Failed to parse (MathML with SVG or PNG fallback (recommended for modern browsers and accessibility tools): Invalid response ("Math extension cannot connect to Restbase.") from server "https://mathoid.scipedia.com/localhost/v1/":): \Delta t=0.001
. The Gaussian function  Failed to parse (MathML with SVG or PNG fallback (recommended for modern browsers and accessibility tools): Invalid response ("Math extension cannot connect to Restbase.") from server "https://mathoid.scipedia.com/localhost/v1/":): \phi \left(r\right)=exp\left(-c{\left(a\cdot r\right)}^2\right)
as basis function, where the direction of calculation is selected from a unit circle. The direction is:
Failed to parse (MathML with SVG or PNG fallback (recommended for modern browsers and accessibility tools): Invalid response ("Math extension cannot connect to Restbase.") from server "https://mathoid.scipedia.com/localhost/v1/":): a_v=cos\left({\theta }_v\right)Failed to parse (MathML with SVG or PNG fallback (recommended for modern browsers and accessibility tools): Invalid response ("Math extension cannot connect to Restbase.") from server "https://mathoid.scipedia.com/localhost/v1/":): {\theta }_v=\left(v-1\right)\pi /\left(m-1\right)Failed to parse (MathML with SVG or PNG fallback (recommended for modern browsers and accessibility tools): Invalid response ("Math extension cannot connect to Restbase.") from server "https://mathoid.scipedia.com/localhost/v1/":): v=1,2,\ldots ,m

When Failed to parse (MathML with SVG or PNG fallback (recommended for modern browsers and accessibility tools): Invalid response ("Math extension cannot connect to Restbase.") from server "https://mathoid.scipedia.com/localhost/v1/":): m=3

, calculation results are shown in Table 1, where Failed to parse (MathML with SVG or PNG fallback (recommended for modern browsers and accessibility tools): Invalid response ("Math extension cannot connect to Restbase.") from server "https://mathoid.scipedia.com/localhost/v1/":): c_1
, Failed to parse (MathML with SVG or PNG fallback (recommended for modern browsers and accessibility tools): Invalid response ("Math extension cannot connect to Restbase.") from server "https://mathoid.scipedia.com/localhost/v1/":): c_2
are parameters of  Failed to parse (MathML with SVG or PNG fallback (recommended for modern browsers and accessibility tools): Invalid response ("Math extension cannot connect to Restbase.") from server "https://mathoid.scipedia.com/localhost/v1/":): C_A
,  Failed to parse (MathML with SVG or PNG fallback (recommended for modern browsers and accessibility tools): Invalid response ("Math extension cannot connect to Restbase.") from server "https://mathoid.scipedia.com/localhost/v1/":): C_B
,  Failed to parse (MathML with SVG or PNG fallback (recommended for modern browsers and accessibility tools): Invalid response ("Math extension cannot connect to Restbase.") from server "https://mathoid.scipedia.com/localhost/v1/":): e_1
,  Failed to parse (MathML with SVG or PNG fallback (recommended for modern browsers and accessibility tools): Invalid response ("Math extension cannot connect to Restbase.") from server "https://mathoid.scipedia.com/localhost/v1/":): e_2
are calculation errors of  Failed to parse (MathML with SVG or PNG fallback (recommended for modern browsers and accessibility tools): Invalid response ("Math extension cannot connect to Restbase.") from server "https://mathoid.scipedia.com/localhost/v1/":): C_A
,  Failed to parse (MathML with SVG or PNG fallback (recommended for modern browsers and accessibility tools): Invalid response ("Math extension cannot connect to Restbase.") from server "https://mathoid.scipedia.com/localhost/v1/":): C_B
, respectively.
Table 1 The results of the numerical solution of the method in this paper (T=1)
Inserted nodes (N) Space step (h) Parameter (c) Calculation error (e)
11 1/10 c1=4.55 e1=7.2261e-04
c2=2.51 e2=8.5523e-04
21 1/20 c1=28.0 e1=6.2200e-04
c2=25.0 e2=6.1254e-04
51 1/50 c1=217 e1=4.7024e-04
c2=247 e2=3.8390e-04


Draft Qin 902464492-image202-c.png
Draft Qin 902464492-image203-c.png
Figure 1 Comparison of exact solutions and numerical solutions (N=31)

According to Table 1, it can be seen that the meshless method with ridge basis functions is feasible, and calculation accuracy has gradually improved with the increase of nodes. Fig.1 shows the comparison between the exact solution and the numerical solution of the method in this paper when the number of nodes is 31. It can be seen from Fig.1 that the numerical solution of the proposed method is well matched with the exact solution even when T is large.

Table 2 Comparison of errors between the method in this paper and FDM
Time Time space Inserted nodes The method of this paper FDM
T=1 0.001 31 5.5257e-04 3.1313e-03
4.8538e-04 3.4988e-03
61 4.0158e-04 2.5859e-03
3.4339e-04 2.3371e-03
101 3.6495e-04 2.4729e-03
2.3089e-04 1.9831e-03
0.01 31 4.2783e-03 2.4518e-02
6.8133e-03 2.9222e-02
61 2.7401e-03 2.4005e-02
2.8381e-03 2.2630e-02
101 1.2704e-03 2.3896e-02
1.3564e-03 1.3382e-02


Table3 Comparison of errors of the method in this paper
Time Inserted nodes Parameter m=4

Calculation error

m=5

Calculation error

m=6

Calculation error

T=1 11 c1=4.550 e1=6.2837e-04 e1=6.1823e-04 e1=5.6218e-04
c2=2.450 e2=1.0022e-03 e2=3.7018e-03 e2=1.2782e-03
41 c1=127.0 e1=5.7576e-04 e1=6.1657e-04 e1=8.4694e-04
c2=134.0 e2=2.6641e-04 e2=1.9289e-04 e2=4.0056e-04
101 c1=905.7 e1=1.5110e-04 e1=9.0536e-04 e1=1.4458e-04
c2=903.7 e2=2.2702e-04 e2=1.5241e-04 e2=2.2188e-04


When T=1, Table 2 gives the comparison of the calculation results of the proposed method and the FDM under different time steps and different node numbers. Table 3 shows the error comparison of the numerical solution of the proposed method after selecting different nodes and directions. As can be seen from Table 2, under different time steps, as the number of spatial nodes increases, the error accuracy and the convergent result of the proposed method are over than the FDM. It can be seen from Table 3 that the number of inserted nodes, the selection of free parameters and the direction of the basis function all affect the numerical accuracy of the meshless method with ridge basis functions.

Example 2 Consider the initial boundary value problem of 2D two-flow domain model

Failed to parse (MathML with SVG or PNG fallback (recommended for modern browsers and accessibility tools): Invalid response ("Math extension cannot connect to Restbase.") from server "https://mathoid.scipedia.com/localhost/v1/":): \lbrace \begin{array}{l} \frac{\partial C_A}{\partial t}=D_A\Delta C_A-V_A\left(\frac{\partial C_A}{\partial x}+\frac{\partial C_A}{\partial y}\right)-\frac{\alpha }{{\theta }_A}\left(C_A-C_B\right)+f_a,\left(x,y\right)\in {\Omega }_2,t\in \left[0,T\right],\\ \frac{\partial C_B}{\partial t}=D_B\Delta C_B-V_B\left(\frac{\partial C_B}{\partial x}+\frac{\partial C_B}{\partial y}\right)-\frac{\alpha }{{\theta }_B}\left(C_B-C_A\right)+f_b,\left(x,y\right)\in {\Omega }_2,t\in \left[0,T\right],\\ C_A\left(x,y,0\right)=C_{A0},C_B\left(x,y,0\right)=C_{B0},\left(x,y\right)\in {\Omega }_2,\\ C_A\left(x,y,t\right)=f_1,C_B\left(x,y,t\right)=f_2,\left(x,y\right)\in {\Omega }_2,t\in \left[0,T\right]. \end{array}

Let Failed to parse (MathML with SVG or PNG fallback (recommended for modern browsers and accessibility tools): Invalid response ("Math extension cannot connect to Restbase.") from server "https://mathoid.scipedia.com/localhost/v1/":): D_A=D_B=1

,  Failed to parse (MathML with SVG or PNG fallback (recommended for modern browsers and accessibility tools): Invalid response ("Math extension cannot connect to Restbase.") from server "https://mathoid.scipedia.com/localhost/v1/":): V_A=V_B=1
,  Failed to parse (MathML with SVG or PNG fallback (recommended for modern browsers and accessibility tools): Invalid response ("Math extension cannot connect to Restbase.") from server "https://mathoid.scipedia.com/localhost/v1/":): {\theta }_A={\theta }_B=1
,  Failed to parse (MathML with SVG or PNG fallback (recommended for modern browsers and accessibility tools): Invalid response ("Math extension cannot connect to Restbase.") from server "https://mathoid.scipedia.com/localhost/v1/":): \alpha =0.001
,  Failed to parse (MathML with SVG or PNG fallback (recommended for modern browsers and accessibility tools): Invalid response ("Math extension cannot connect to Restbase.") from server "https://mathoid.scipedia.com/localhost/v1/":): {\Omega }_2=\left[0,1\right]\times \left[0,1\right]
. The exact solutions are  Failed to parse (MathML with SVG or PNG fallback (recommended for modern browsers and accessibility tools): Invalid response ("Math extension cannot connect to Restbase.") from server "https://mathoid.scipedia.com/localhost/v1/":): C_A=e^{1/2\left(x+y\right)-t}
,  Failed to parse (MathML with SVG or PNG fallback (recommended for modern browsers and accessibility tools): Invalid response ("Math extension cannot connect to Restbase.") from server "https://mathoid.scipedia.com/localhost/v1/":): C_B=\left(t+1\right)x^2y^2
, where  Failed to parse (MathML with SVG or PNG fallback (recommended for modern browsers and accessibility tools): Invalid response ("Math extension cannot connect to Restbase.") from server "https://mathoid.scipedia.com/localhost/v1/":): C_{A0}
,  Failed to parse (MathML with SVG or PNG fallback (recommended for modern browsers and accessibility tools): Invalid response ("Math extension cannot connect to Restbase.") from server "https://mathoid.scipedia.com/localhost/v1/":): C_{B0}
,  Failed to parse (MathML with SVG or PNG fallback (recommended for modern browsers and accessibility tools): Invalid response ("Math extension cannot connect to Restbase.") from server "https://mathoid.scipedia.com/localhost/v1/":): f_1
,  Failed to parse (MathML with SVG or PNG fallback (recommended for modern browsers and accessibility tools): Invalid response ("Math extension cannot connect to Restbase.") from server "https://mathoid.scipedia.com/localhost/v1/":): f_2
are determined by exact solutions. Space step size is  Draft Qin 902464492-image213.png , time step size is  Failed to parse (MathML with SVG or PNG fallback (recommended for modern browsers and accessibility tools): Invalid response ("Math extension cannot connect to Restbase.") from server "https://mathoid.scipedia.com/localhost/v1/":): \Delta t=0.001
. The MQ type function  Failed to parse (MathML with SVG or PNG fallback (recommended for modern browsers and accessibility tools): Invalid response ("Math extension cannot connect to Restbase.") from server "https://mathoid.scipedia.com/localhost/v1/":): \phi \left(r\right)=\sqrt{c^2+{\left(a\cdot r\right)}^2}
as basis function, where the direction of calculation is selected from a unit circle. The direction is:
Failed to parse (MathML with SVG or PNG fallback (recommended for modern browsers and accessibility tools): Invalid response ("Math extension cannot connect to Restbase.") from server "https://mathoid.scipedia.com/localhost/v1/":): a_v=cos\left({\theta }_v\right)
,  Failed to parse (MathML with SVG or PNG fallback (recommended for modern browsers and accessibility tools): Invalid response ("Math extension cannot connect to Restbase.") from server "https://mathoid.scipedia.com/localhost/v1/":): {\theta }_v=\left(v-1\right)\pi /\left(m-1\right)
,  Failed to parse (MathML with SVG or PNG fallback (recommended for modern browsers and accessibility tools): Invalid response ("Math extension cannot connect to Restbase.") from server "https://mathoid.scipedia.com/localhost/v1/":): v=1,2,\cdots ,m

When Failed to parse (MathML with SVG or PNG fallback (recommended for modern browsers and accessibility tools): Invalid response ("Math extension cannot connect to Restbase.") from server "https://mathoid.scipedia.com/localhost/v1/":): m=9

, calculation results are shown in Table 4.
Table 4 The calculation results of the method in this paper (T=1)
Inserted nodes (N) Space step (h) Parameter (c) Calculation error (e)
11×11 1/10 0.4 e1=7.4021e-05
e2=7.2808e-04
21×21 1/20 0.2 e1=3.7560e-05
e2=3.5269e-04
41×41 1/40 0.1 e1=1.4015e-05
e2=2.1705e-04


As can be seen from table 4 that the meshless method with ridge basis functions for solving the 2D two-flow domain model problem can improve computing efficiency and accuracy. Table 5 gives comparison of the calculation results of the proposed method and the FDM under different node numbers at T=1. Table 6 gives the error comparison of the numerical solutions of the proposed method when selecting different node numbers and calculation directions. As can be seen from table 5, with the increase of the number of nodes, the error accuracy of the method in this paper is higher than the FDM. According to table 6, the factors affecting the numerical accuracy of the meshless method with ridge basis functions include not only the number of nodes inserted, the selection of free parameters, but also the selection of the direction of the basis function.

Table 5 Comparison of error between the method in this paper and FDM
Time Time space Inserted nodes The method of this paper FDM
T=1 0.001 5×5 2.5995e-04 2.8608e-02
8.6418e-04 7.5926e-02
8×8 8.6031e-05 2.7613e-02
7.9283e-04 7.0071e-02
16×16 6.4917e-05 2.5862e-02
4.6672e-04 5.8683e-02
31×31 2.3104e-05 2.2896e-02
2.3731e-04 4.6187e-02


Table6 Comparison of errors of the method in this paper
Time Inserted nodes Parameter m=11

Calculation error

m=13

Calculation error

m=15

Calculation error

T=1 5×5 c=2.0 e1=2.4564e-04 e1=1.1316e-04 e1=6.3281e-04
e2=8.0200e-04 e2=1.0241e-03 e2=1.0646e-03
11×11 c=0.4 e1=7.1922e-05 e1=7.1233e-05 e1=7.0651e-05
e2=7.0068e-04 e2=7.1778e-04 e2=7.0662e-04
41×41 c=0.1 e1=1.3912e-05 e1=2.4231e-05 e1=1.3042e-05
e2=2.3381e-04 e2=3.4299e-04 e2=2.7869e-04


Fig.2 shows the comparison between the exact solution and the numerical solution of the proposed method when the time is T=1 and the number of nodes is 11×11. It can be found that the numerical solution of the meshless method with ridge basis functions is basically consistent with the exact solution.


Draft Qin 902464492-image220-c.png
Draft Qin 902464492-image221-c.png


Draft Qin 902464492-image222-c.png
Draft Qin 902464492-image223-c.png
Figure 2 Comparison of exact solutions and numerical solutions (N=11×11, T=1)

5. Conclusions

In this paper, the meshless method with ridge basis functions for 2D two-flow domain model is prorosed, the existence and uniqueness of its numerical solution is analyzed and numerical examples of 1D and 2D two-flow domain model problems are given. We compare the errors between the proposed method and the finite difference method. The numerical results show that the error precision and convergence of the meshless method with ridge basis functions exceed FDM with the increase of the number of nodes. Therefore, the meshless method with ridge basis functions is an effective numerical method that can be used to solve the two-flow domain model problem.

Acknowledgements

No.

References

[1] Marco M., Cianci R., Paladino O., Some analytical solutions for two-dimensional convection-dispersion equation in cylindrical geometry. Environ. Model. Softw., 21:681-688, 2016.

[2] Coats K. H., Smith B. D., Dead-end pore volume and dispersion in porous media. Soc. Petro. Eng. J., 4:73-84, 1964.

[3] Skopp J., Gardner W. R., Tyler E. J., Solute movement in structured soil: Two-region model with small interaction. Soil Sci. Soc. Am. Proc., 45:837-842, 1981.

[4] Zhang X., Liu Y., Ma S., Theory and application of meshless method. Prog. Mech., 39:1-36, 2009.

[5] Wu Z. M., Radial basis function, scattered data fitting and numerical solution of meshless partial differential equation. J. Eng. Math., 19:1-12, 2002.

[6] Reutskiy S. Y., A meshless radial basis function method for 2D steady-state heat conduction problems in anisotropic and inhomogeneous media. Eng. Anal. Bound. Elem., 66:1-11, 2016.

[7] Zabihi F., Saffarian M., A meshless method using radial basis functions for the numerical solution of two-dimensional ZK–BBM equation. Int. J. Appl. Comput. Math., 2016.

[8] Ahmad J., Elyas S., Numerical simulation of nonlinear coupled Burgers’ equation through meshless radial point interpolation method. Eng. Anal. Bound. Elem., 95:187-199, 2018.

[9] Gordon Y., Maiorov V., Meyer M., et al, On the best approximation by ridge function in the uniform norm. Constr. Approx., 18:61-85, 2002.

[10] Ismailov V. E., A note on the best Failed to parse (MathML with SVG or PNG fallback (recommended for modern browsers and accessibility tools): Invalid response ("Math extension cannot connect to Restbase.") from server "https://mathoid.scipedia.com/localhost/v1/":): L_2

approximation by ridge function. Appl. Math. E-Notes, 7:71-76, 2007.

[11] Zhang L. W., Error estimates for interpolation with ridge basis function. J. Fudan Univ., Nat. Sci. Ed., 44: 301-306, 2005.

[12] Zhang L. W., Approximation to limited linear combined ridge basis function of plane wave. J. Shandong Univ., Nat. Sci. Ed., 41:87-92, 2006.

[13] Shu H. M., Huang C. Q., Li C. W., A novel meshless method based on ridge basis function. J. Chin. Petro. Univ., 32:108-113, 2008.

[14] Wang Z. G., Qin X. Q., Guo W., et al, Meshless method with ridge basis functions. Appl. Math. Comput., 217:1870-1886, 2010.

[15] Tian S. L., Fang B. Y., Wang Z. G., Approximation of two-point boundary value problems for differential games based on ridge basis function. J. Shandong Univ., Nat. Sci. Ed., 46:38-41, 2011.

Back to Top

Document information

Published on 12/09/19
Submitted on 02/07/19

Volume 3, 2019
Licence: CC BY-NC-SA license

Document Score

0

Views 54
Recommendations 0

Share this document

claim authorship

Are you one of the authors of this document?