Line 710: Line 710:
 
{|  class="floating_tableSCP" style="text-align: left; margin: 1em auto;border-top: 2px solid;border-bottom: 2px solid;min-width:99%;"
 
{|  class="floating_tableSCP" style="text-align: left; margin: 1em auto;border-top: 2px solid;border-bottom: 2px solid;min-width:99%;"
 
|+ style="font-size: 75%;" |<span id='table-1'></span>'''Table. 1''' Convergence analysis of Example 1 testing a Poisson equation with smooth solution.
 
|+ style="font-size: 75%;" |<span id='table-1'></span>'''Table. 1''' Convergence analysis of Example 1 testing a Poisson equation with smooth solution.
|-
+
|-  
|      0.95 @c cccc cccc 
+
 
| style="text-align: right;" |       
 
| style="text-align: right;" |       
 
|     
 
|     

Revision as of 20:50, 6 October 2023


Abstract

This work forms the foundation for addressing high-order immersed interface methods to solve interface problems and enables us to conduct in-depth examination of this theory. Here, we focus on the introduction a fourth-order finite-difference formulation to approximate the second-order derivative of discontinuous functions. The approach is based on the combination of a high-order implicit formulation and the immersed interface method. The idea is to modify the standard schemes by introducing additional contribution terms based on jump conditions. These contributions are calculated only at grid points where the stencil intersects with the interface. Here, we discuss the issues of implementing the one-dimensional Poisson equation and the heat conduction equation with discontinuous solutions as a three-point stencil for each grid point on the computational domain. In both cases, the resulting discretization approach yields a tridiagonal linear system with matrix coefficients identical to those employed for smooth solutions. We present several numerical experiments to verify the feasibility and accuracy of the method. Thus, this high-order method provides an attractive numerical framework that can efficiently lead to the solution to more complex problems.

keywords

Immersed interface method, implicit finite difference, fourth-order accuracy, Poisson equation, heat conduction equation

1 Introduction

High-order numerical solutions to differential equations arising from discontinuous solutions find extensive utility across various research domains [1,2,3,4,5,6]. In the case of smooth solutions, the standard central finite-difference method requires a significant number of grid points to achieve a high level of accuracy in its numerical results. As a result, over the past few decades, several schemes have been developed to obtain fourth- and sixth-order finite-difference methods [7,8,9,10,11], including those one based on the implicit finite-difference (IFD) formulation [12,13,14,15].

On the other hand, although several methods have been proposed to address discontinuous problems [2,16,17,18,19,20,21], the Immersed Interface Method (IIM) [22,23,24,25] stands out as a highly accurate option that requires minimal adjustments to the standard finite-difference formulation. However, these methods typically achieve second-order accuracy. For instance, there are limited implementations of a few third-, fourth- and sixth-order IIMs available for solving Poisson equations with discontinuous solutions [26,27,28,29,30,31,32,33].

This paper focuses on the basic ideas of combining the implicit finite-difference and immersed interface method (IFD-IIM) to achieve high-order approximations for second-order derivatives of both continuous and discontinuous real-valued functions. The IFD scheme offers a highly accurate numerical method [34,35], while the IIM handles discontinuities through minimal adjustments made exclusively at grid points where the stencil intersects the interface [36,37], yielding additional terms known as jump contributions.

We illustrate the implementation of a global fourth-order IFD-IIM approach with two examples: the one-dimensional Poisson equation for static cases and the heat conduction equation with a fixed interface for time-evolving scenarios. Our proposed method offers several advantages. Notably, the resulting tridiagonal matrix coefficient of the finite-difference scheme remains the same as those for smooth solutions, with the additional terms arising from the jumps located in the right-hand side vector. Consequently, our algorithm is straightforward to implement, employing the efficient Thomas' algorithm.

We have organized our study as follows. In Section 2, we introduce a fourth-order implicit finite-difference method capable of handling second-order derivatives, both in smooth and discontinuous scenarios. Section 3 demonstrates the application of this implicit scheme in approximating solutions to the one-dimensional Poisson equation. Section 4 shows the combination of the IFD-IIM with the Crank-Nicolson method to solve the heat conduction equation. Sections 5 and 6 provides a series of numerical examples to illustrate the algorithm's accuracy for both equations. Lastly, Section 7 offers our conclusions and outlines directions for future research.

2 Implicit finite-difference formulation with discontinuities

In this section, we outline the key attributes of the implicit finite difference formulation to achieve a global fourth-order method, demonstrating how the scheme can be adapted for addressing discontinuous problems through the utilization of the immersed interface method.

We approximate the numerical solution on the domain Failed to parse (MathML with SVG or PNG fallback (recommended for modern browsers and accessibility tools): Invalid response ("Math extension cannot connect to Restbase.") from server "https://mathoid.scipedia.com/localhost/v1/":): {\textstyle [\mathfrak{a},\,\mathfrak{b}]}

that is divided into Failed to parse (MathML with SVG or PNG fallback (recommended for modern browsers and accessibility tools): Invalid response ("Math extension cannot connect to Restbase.") from server "https://mathoid.scipedia.com/localhost/v1/":): {\textstyle N}
sub-intervals, as follows

Failed to parse (MathML with SVG or PNG fallback (recommended for modern browsers and accessibility tools): Invalid response ("Math extension cannot connect to Restbase.") from server "https://mathoid.scipedia.com/localhost/v1/":): x_i = \mathfrak{a} + (i-1)h, \qquad i=1, 2, \dots , N,N+1,
(1)

where the grid size is given by Failed to parse (MathML with SVG or PNG fallback (recommended for modern browsers and accessibility tools): Invalid response ("Math extension cannot connect to Restbase.") from server "https://mathoid.scipedia.com/localhost/v1/":): {\textstyle h=(\mathfrak{b}-\mathfrak{a})/N} . We employ Failed to parse (MathML with SVG or PNG fallback (recommended for modern browsers and accessibility tools): Invalid response ("Math extension cannot connect to Restbase.") from server "https://mathoid.scipedia.com/localhost/v1/":): {\textstyle U_i}

and Failed to parse (MathML with SVG or PNG fallback (recommended for modern browsers and accessibility tools): Invalid response ("Math extension cannot connect to Restbase.") from server "https://mathoid.scipedia.com/localhost/v1/":): {\textstyle u_i = u(x_i)}
to denote the approximate and exact solution at the Failed to parse (MathML with SVG or PNG fallback (recommended for modern browsers and accessibility tools): Invalid response ("Math extension cannot connect to Restbase.") from server "https://mathoid.scipedia.com/localhost/v1/":): {\textstyle i}

th-point of the grid, respectively. Here, the interface is at Failed to parse (MathML with SVG or PNG fallback (recommended for modern browsers and accessibility tools): Invalid response ("Math extension cannot connect to Restbase.") from server "https://mathoid.scipedia.com/localhost/v1/":): {\textstyle x=x_\alpha }

located between grid points Failed to parse (MathML with SVG or PNG fallback (recommended for modern browsers and accessibility tools): Invalid response ("Math extension cannot connect to Restbase.") from server "https://mathoid.scipedia.com/localhost/v1/":): {\textstyle x_I}
and Failed to parse (MathML with SVG or PNG fallback (recommended for modern browsers and accessibility tools): Invalid response ("Math extension cannot connect to Restbase.") from server "https://mathoid.scipedia.com/localhost/v1/":): {\textstyle x_{I+1}}
as Failed to parse (MathML with SVG or PNG fallback (recommended for modern browsers and accessibility tools): Invalid response ("Math extension cannot connect to Restbase.") from server "https://mathoid.scipedia.com/localhost/v1/":): {\textstyle x_I\leq x_\alpha{<}x_{I+1}}

, see Fig. 1. The distances of the closest grid points to the interface are defined as Failed to parse (MathML with SVG or PNG fallback (recommended for modern browsers and accessibility tools): Invalid response ("Math extension cannot connect to Restbase.") from server "https://mathoid.scipedia.com/localhost/v1/":): {\textstyle h_{L} = x_{I}-x_\alpha }

and Failed to parse (MathML with SVG or PNG fallback (recommended for modern browsers and accessibility tools): Invalid response ("Math extension cannot connect to Restbase.") from server "https://mathoid.scipedia.com/localhost/v1/":): {\textstyle h_{R} = x_{I+1}-x_\alpha }

. Note that Failed to parse (MathML with SVG or PNG fallback (recommended for modern browsers and accessibility tools): Invalid response ("Math extension cannot connect to Restbase.") from server "https://mathoid.scipedia.com/localhost/v1/":): {\textstyle h_{R}}

and Failed to parse (MathML with SVG or PNG fallback (recommended for modern browsers and accessibility tools): Invalid response ("Math extension cannot connect to Restbase.") from server "https://mathoid.scipedia.com/localhost/v1/":): {\textstyle h_{L}}
are positive and negative values, respectively.
Example of a discontinuous function u with an interface located between the points xI and xI+1.
Figure 1: Example of a discontinuous function Failed to parse (MathML with SVG or PNG fallback (recommended for modern browsers and accessibility tools): Invalid response ("Math extension cannot connect to Restbase.") from server "https://mathoid.scipedia.com/localhost/v1/":): u
with an interface located between the points Failed to parse (MathML with SVG or PNG fallback (recommended for modern browsers and accessibility tools): Invalid response ("Math extension cannot connect to Restbase.") from server "https://mathoid.scipedia.com/localhost/v1/":): x_{I}
and Failed to parse (MathML with SVG or PNG fallback (recommended for modern browsers and accessibility tools): Invalid response ("Math extension cannot connect to Restbase.") from server "https://mathoid.scipedia.com/localhost/v1/":): x_{I+1}

.

On the other hand, the jump for Failed to parse (MathML with SVG or PNG fallback (recommended for modern browsers and accessibility tools): Invalid response ("Math extension cannot connect to Restbase.") from server "https://mathoid.scipedia.com/localhost/v1/":): {\textstyle u}

at Failed to parse (MathML with SVG or PNG fallback (recommended for modern browsers and accessibility tools): Invalid response ("Math extension cannot connect to Restbase.") from server "https://mathoid.scipedia.com/localhost/v1/":): {\textstyle x_\alpha }
is defined as

Failed to parse (MathML with SVG or PNG fallback (recommended for modern browsers and accessibility tools): Invalid response ("Math extension cannot connect to Restbase.") from server "https://mathoid.scipedia.com/localhost/v1/":): \left[u \right]= u^{+} - u^{-}, \quad \mathrm{where} \quad u^{+} = u(x_\alpha ^{+} )= \lim _{x\to x_\alpha ^+}u(x),\quad \mathrm{and} \quad u^{-} = u(x_\alpha ^{-}) = \lim _{x\to x_\alpha ^-}u(x).

We employ a similar definition for the jumps such as the ones of the right-hand side and the derivatives of Failed to parse (MathML with SVG or PNG fallback (recommended for modern browsers and accessibility tools): Invalid response ("Math extension cannot connect to Restbase.") from server "https://mathoid.scipedia.com/localhost/v1/":): {\textstyle u} .

In this paper, we designate Failed to parse (MathML with SVG or PNG fallback (recommended for modern browsers and accessibility tools): Invalid response ("Math extension cannot connect to Restbase.") from server "https://mathoid.scipedia.com/localhost/v1/":): {\textstyle x_I}

and Failed to parse (MathML with SVG or PNG fallback (recommended for modern browsers and accessibility tools): Invalid response ("Math extension cannot connect to Restbase.") from server "https://mathoid.scipedia.com/localhost/v1/":): {\textstyle x_{I+1}}
as irregular points, while considering the rest as regular points. This classification holds significant importance as distinct schemes are applied to each category, as presented in the following theorems.

2.1 Second-order derivative approximation for regular and irregular grid points

The following two Theorems state the main results to approximate the second-order derivative using high-order schemes for regular and irregular points.

Theorem 1: Regular points [34,35]. Let us consider a real-valued function Failed to parse (MathML with SVG or PNG fallback (recommended for modern browsers and accessibility tools): Invalid response ("Math extension cannot connect to Restbase.") from server "https://mathoid.scipedia.com/localhost/v1/":): {\textstyle u}

with an interface Failed to parse (MathML with SVG or PNG fallback (recommended for modern browsers and accessibility tools): Invalid response ("Math extension cannot connect to Restbase.") from server "https://mathoid.scipedia.com/localhost/v1/":): {\textstyle x_\alpha }
such that Failed to parse (MathML with SVG or PNG fallback (recommended for modern browsers and accessibility tools): Invalid response ("Math extension cannot connect to Restbase.") from server "https://mathoid.scipedia.com/localhost/v1/":): {\textstyle x_I\leq x_\alpha{<}x_{I+1}}

. Then Failed to parse (MathML with SVG or PNG fallback (recommended for modern browsers and accessibility tools): Invalid response ("Math extension cannot connect to Restbase.") from server "https://mathoid.scipedia.com/localhost/v1/":): {\textstyle u_{xx}}

can be approximated by a fourth-order implicit finite-difference (IFD) scheme

Failed to parse (MathML with SVG or PNG fallback (recommended for modern browsers and accessibility tools): Invalid response ("Math extension cannot connect to Restbase.") from server "https://mathoid.scipedia.com/localhost/v1/":): \left.\mathfrak{D}^2 u_{xx}\right|_i = \left.\delta ^2 u\right|_i + O(h^4), \quad i \neq I, I+1,
(2)

where

Failed to parse (MathML with SVG or PNG fallback (recommended for modern browsers and accessibility tools): Invalid response ("Math extension cannot connect to Restbase.") from server "https://mathoid.scipedia.com/localhost/v1/":): \mathfrak{D}^2(\cdot )  := (\cdot ) + bh^2 (\cdot )_{xx},
(3)

Failed to parse (MathML with SVG or PNG fallback (recommended for modern browsers and accessibility tools): Invalid response ("Math extension cannot connect to Restbase.") from server "https://mathoid.scipedia.com/localhost/v1/":): {\textstyle b=1/12} , and central finite-difference formula Failed to parse (MathML with SVG or PNG fallback (recommended for modern browsers and accessibility tools): Invalid response ("Math extension cannot connect to Restbase.") from server "https://mathoid.scipedia.com/localhost/v1/":): {\textstyle \delta ^2}

is given by

Failed to parse (MathML with SVG or PNG fallback (recommended for modern browsers and accessibility tools): Invalid response ("Math extension cannot connect to Restbase.") from server "https://mathoid.scipedia.com/localhost/v1/":): \left.\delta ^2 u\right|_i := \frac{1}{h^2} \left\{u_{i-1}-2u_i+u_{i+1}\right\}.
(4)

From Taylor series expansions and under some simplifications, the second-order derivative at any regular point Failed to parse (MathML with SVG or PNG fallback (recommended for modern browsers and accessibility tools): Invalid response ("Math extension cannot connect to Restbase.") from server "https://mathoid.scipedia.com/localhost/v1/":): {\textstyle x_i}

can be written in terms of the centered finite-difference operator, as follows

Failed to parse (MathML with SVG or PNG fallback (recommended for modern browsers and accessibility tools): Invalid response ("Math extension cannot connect to Restbase.") from server "https://mathoid.scipedia.com/localhost/v1/":): \left.u_{xx}\right|_i = \frac{1}{h^2} \left\{u_{i-1}-2u_i+u_{i+1}\right\}- \frac{1}{12}h^2\left.u_{xxxx}\right|_i +O(h^4),

Previous equation holds due to the solution is smooth on a neighborhood around Failed to parse (MathML with SVG or PNG fallback (recommended for modern browsers and accessibility tools): Invalid response ("Math extension cannot connect to Restbase.") from server "https://mathoid.scipedia.com/localhost/v1/":): {\textstyle x_{i}} . Thus, we obtain a fourth-order IFD using a stencil of three nodes by moving the fourth-order term to the left-hand side. We get

Failed to parse (MathML with SVG or PNG fallback (recommended for modern browsers and accessibility tools): Invalid response ("Math extension cannot connect to Restbase.") from server "https://mathoid.scipedia.com/localhost/v1/":): \left.u_{xx}\right|_i + \frac{1}{12}h^2 \left(\left.u_{xx} \right)_{xx}\right|_i = \frac{1}{h^2} \left\{u_{i-1}-2u_i+u_{i+1}\right\}+ O(h^4).

Finally, the proof is completed by using the definition of operator Failed to parse (MathML with SVG or PNG fallback (recommended for modern browsers and accessibility tools): Invalid response ("Math extension cannot connect to Restbase.") from server "https://mathoid.scipedia.com/localhost/v1/":): {\textstyle \mathfrak{D}^2} , Failed to parse (MathML with SVG or PNG fallback (recommended for modern browsers and accessibility tools): Invalid response ("Math extension cannot connect to Restbase.") from server "https://mathoid.scipedia.com/localhost/v1/":): {\textstyle \delta ^2} , and Failed to parse (MathML with SVG or PNG fallback (recommended for modern browsers and accessibility tools): Invalid response ("Math extension cannot connect to Restbase.") from server "https://mathoid.scipedia.com/localhost/v1/":): {\textstyle b} .

It is important to remark that formula (2) is applicable exclusively for regular points. In order to address this limitation for the two irregular points near the interface, we introduce a modified implicit finite-difference scheme using the IIM, specifically tailored to handle discontinuous solutions. Furthermore, instead of having a fourth-order local truncation error for the irregular points, we proceed as other IIMs [22,23,24,29,33,32] by taking one order lower at these points. We will numerically show that the global order of convergence can be still Failed to parse (MathML with SVG or PNG fallback (recommended for modern browsers and accessibility tools): Invalid response ("Math extension cannot connect to Restbase.") from server "https://mathoid.scipedia.com/localhost/v1/":): {\textstyle O(h^4)}

even if the local truncation error at Failed to parse (MathML with SVG or PNG fallback (recommended for modern browsers and accessibility tools): Invalid response ("Math extension cannot connect to Restbase.") from server "https://mathoid.scipedia.com/localhost/v1/":): {\textstyle i=I}
and Failed to parse (MathML with SVG or PNG fallback (recommended for modern browsers and accessibility tools): Invalid response ("Math extension cannot connect to Restbase.") from server "https://mathoid.scipedia.com/localhost/v1/":): {\textstyle i=I+1}
is Failed to parse (MathML with SVG or PNG fallback (recommended for modern browsers and accessibility tools): Invalid response ("Math extension cannot connect to Restbase.") from server "https://mathoid.scipedia.com/localhost/v1/":): {\textstyle O(h^{3})}

.

Theorem 2: Irregular points [14]. Let us consider the known jump conditions

Failed to parse (MathML with SVG or PNG fallback (recommended for modern browsers and accessibility tools): Invalid response ("Math extension cannot connect to Restbase.") from server "https://mathoid.scipedia.com/localhost/v1/":): \left[u \right],\quad \left[u_{x} \right],\quad \left[u_{xx} \right],\quad \left[u_{xxx} \right],\quad \left[u_{xxxx} \right],\quad
(5)

at Failed to parse (MathML with SVG or PNG fallback (recommended for modern browsers and accessibility tools): Invalid response ("Math extension cannot connect to Restbase.") from server "https://mathoid.scipedia.com/localhost/v1/":): {\textstyle x_\alpha }

such that Failed to parse (MathML with SVG or PNG fallback (recommended for modern browsers and accessibility tools): Invalid response ("Math extension cannot connect to Restbase.") from server "https://mathoid.scipedia.com/localhost/v1/":): {\textstyle x_I\leq x_\alpha{<}x_{I+1}}

. Then Failed to parse (MathML with SVG or PNG fallback (recommended for modern browsers and accessibility tools): Invalid response ("Math extension cannot connect to Restbase.") from server "https://mathoid.scipedia.com/localhost/v1/":): {\textstyle u_{xx}}

can be approximated at Failed to parse (MathML with SVG or PNG fallback (recommended for modern browsers and accessibility tools): Invalid response ("Math extension cannot connect to Restbase.") from server "https://mathoid.scipedia.com/localhost/v1/":): {\textstyle x_I}
and Failed to parse (MathML with SVG or PNG fallback (recommended for modern browsers and accessibility tools): Invalid response ("Math extension cannot connect to Restbase.") from server "https://mathoid.scipedia.com/localhost/v1/":): {\textstyle x_{I+1}}
by the implicit finite-difference immersed interface method (IFD-IIM) given by

Failed to parse (MathML with SVG or PNG fallback (recommended for modern browsers and accessibility tools): Invalid response ("Math extension cannot connect to Restbase.") from server "https://mathoid.scipedia.com/localhost/v1/":): \mathfrak{D}^2 u_{xx}\left.\right|_i = \left.\delta ^2 u\right|_i + C_i + O(h^3), \quad i= I, I+1,
(6)

where Failed to parse (MathML with SVG or PNG fallback (recommended for modern browsers and accessibility tools): Invalid response ("Math extension cannot connect to Restbase.") from server "https://mathoid.scipedia.com/localhost/v1/":): {\textstyle \mathfrak{D}^2}

and Failed to parse (MathML with SVG or PNG fallback (recommended for modern browsers and accessibility tools): Invalid response ("Math extension cannot connect to Restbase.") from server "https://mathoid.scipedia.com/localhost/v1/":): {\textstyle \delta ^2}
are defined in (3) and (4), respectively, and

Failed to parse (MathML with SVG or PNG fallback (recommended for modern browsers and accessibility tools): Invalid response ("Math extension cannot connect to Restbase.") from server "https://mathoid.scipedia.com/localhost/v1/":): C_i = \begin{cases}- \dfrac{1}{h^2}\left\{[u]+h_R\left[u_{x}\right]+\dfrac{h_R^2}{2}\left[u_{xx} \right]+b\left(2h_R^3\left[u_{xxx} \right]+\dfrac{h_R^4}{2}\left[u_{xxxx} \right]\right)\right\}, & i=I, \\[3mm] \dfrac{1}{h^2}\left\{[u]+h_L\left[u_{x} \right]+\dfrac{h_L^2}{2}\left[u_{xx} \right]+ b \left(2h_L^3\left[u_{xxx} \right]+\dfrac{h_L^4}{2}\left[u_{xxxx} \right]\right)\right\}, & i=I+1, \end{cases}
(7)

and where Failed to parse (MathML with SVG or PNG fallback (recommended for modern browsers and accessibility tools): Invalid response ("Math extension cannot connect to Restbase.") from server "https://mathoid.scipedia.com/localhost/v1/":): {\textstyle b=1/12} .

We obtain a third-order scheme for at Failed to parse (MathML with SVG or PNG fallback (recommended for modern browsers and accessibility tools): Invalid response ("Math extension cannot connect to Restbase.") from server "https://mathoid.scipedia.com/localhost/v1/":): {\textstyle x_I}

and Failed to parse (MathML with SVG or PNG fallback (recommended for modern browsers and accessibility tools): Invalid response ("Math extension cannot connect to Restbase.") from server "https://mathoid.scipedia.com/localhost/v1/":): {\textstyle x_{I+1}}
following similar ideas as the ones developed for the generalized Taylor expansion proposed by Xu & Wang [36] and the IIM for elliptic interface problems with straight interfaces proposed by Feng & Li [37]. The idea is to consider extended smooth solutions of Failed to parse (MathML with SVG or PNG fallback (recommended for modern browsers and accessibility tools): Invalid response ("Math extension cannot connect to Restbase.") from server "https://mathoid.scipedia.com/localhost/v1/":): {\textstyle u}
such that we can apply the standard central scheme to Failed to parse (MathML with SVG or PNG fallback (recommended for modern browsers and accessibility tools): Invalid response ("Math extension cannot connect to Restbase.") from server "https://mathoid.scipedia.com/localhost/v1/":): {\textstyle x_I}
and Failed to parse (MathML with SVG or PNG fallback (recommended for modern browsers and accessibility tools): Invalid response ("Math extension cannot connect to Restbase.") from server "https://mathoid.scipedia.com/localhost/v1/":): {\textstyle x_{I+1}}

. For instance, a function based on the original left solution is defined as

Failed to parse (MathML with SVG or PNG fallback (recommended for modern browsers and accessibility tools): Invalid response ("Math extension cannot connect to Restbase.") from server "https://mathoid.scipedia.com/localhost/v1/":): u_\ell (x) = \begin{cases}u(x), & x\leq x_\alpha ,\\ \displaystyle u^-+h_R u_{x}^{-}+\frac{h_R^2}{2}u_{xx}^{-} +\dfrac{h_R^3}{6}u_{xxx}^{-}+\dfrac{h_R^4}{24}u_{xxxx}^{-} , & x_\alpha{<}x,\\ \end{cases}

Using Taylor series expansions of Failed to parse (MathML with SVG or PNG fallback (recommended for modern browsers and accessibility tools): Invalid response ("Math extension cannot connect to Restbase.") from server "https://mathoid.scipedia.com/localhost/v1/":): {\textstyle u_{I+1}}

around Failed to parse (MathML with SVG or PNG fallback (recommended for modern browsers and accessibility tools): Invalid response ("Math extension cannot connect to Restbase.") from server "https://mathoid.scipedia.com/localhost/v1/":): {\textstyle x_\alpha }

, the definition of jumps (5), and some simplification yield

Failed to parse (MathML with SVG or PNG fallback (recommended for modern browsers and accessibility tools): Invalid response ("Math extension cannot connect to Restbase.") from server "https://mathoid.scipedia.com/localhost/v1/":): \left.\delta ^2 u\right|_I = \left.\delta ^2 u_{\ell }\right|_I + \dfrac{1}{h^2}\left([u]+h_R\left[u_{x} \right]+\dfrac{h_R^2}{2}\left[u_{xx} \right]+\dfrac{h_R^3}{6}\left[u_{xxx} \right]+\dfrac{h_R^4}{24}\left[u_{xxxx} \right]\right)+O(h^3).

Thus,

Failed to parse (MathML with SVG or PNG fallback (recommended for modern browsers and accessibility tools): Invalid response ("Math extension cannot connect to Restbase.") from server "https://mathoid.scipedia.com/localhost/v1/":): \left.\delta ^2 u\right|_I = \left.(u_\ell )_{xx} \right|_I + bh^2 \left.(u_\ell )_{xxxx} \right|_I +\dfrac{1}{h^2}\left([u]+h_R\left[u_{x} \right]+\dfrac{h_R^2}{2}\left[u_{xx} \right]+\dfrac{h_R^3}{6}\left[u_{xxx} \right]+\dfrac{h_R^4}{24}\left[u_{xxxx} \right]\right)+O(h^3).

Finally, we get (6) which complete the proof. The same procedure can be applied for the proof at Failed to parse (MathML with SVG or PNG fallback (recommended for modern browsers and accessibility tools): Invalid response ("Math extension cannot connect to Restbase.") from server "https://mathoid.scipedia.com/localhost/v1/":): {\textstyle x_{I+1}} . We refer to the reader to the work of Itza Balam and Uh Zapata [14] for more details.

Remark 1: If Failed to parse (MathML with SVG or PNG fallback (recommended for modern browsers and accessibility tools): Invalid response ("Math extension cannot connect to Restbase.") from server "https://mathoid.scipedia.com/localhost/v1/":): {\textstyle b=0} , then Theorem 1 yields the standard second-order finite-difference method for regular points given by

Failed to parse (MathML with SVG or PNG fallback (recommended for modern browsers and accessibility tools): Invalid response ("Math extension cannot connect to Restbase.") from server "https://mathoid.scipedia.com/localhost/v1/":): \left.u_{xx}\right|_i = \left.\delta ^2 u\right|_i + O(h^2), \quad i \neq I, I+1,
(8)

and Theorem 1 results in an IIM of first-order for irregular points Failed to parse (MathML with SVG or PNG fallback (recommended for modern browsers and accessibility tools): Invalid response ("Math extension cannot connect to Restbase.") from server "https://mathoid.scipedia.com/localhost/v1/":): {\textstyle i= I, I+1}

as follows

Failed to parse (MathML with SVG or PNG fallback (recommended for modern browsers and accessibility tools): Invalid response ("Math extension cannot connect to Restbase.") from server "https://mathoid.scipedia.com/localhost/v1/":): \left.u_{xx}\right|_i = \left.\delta ^2 u\right|_i + c_i+ O(h), \quad i=I,I+1,
(9)

where

Failed to parse (MathML with SVG or PNG fallback (recommended for modern browsers and accessibility tools): Invalid response ("Math extension cannot connect to Restbase.") from server "https://mathoid.scipedia.com/localhost/v1/":): c_i = \begin{cases}- \dfrac{1}{h^2}\left([u]+h_R\left[u_{x} \right]+\dfrac{h_R^2}{2}\left[u_{xx} \right]\right), & i=I, \\[3mm] \dfrac{1}{h^2}\left([u]+h_L\left[u_{x} \right]+\dfrac{h_L^2}{2}\left[u_{xx} \right]\right), & i=I+1. \end{cases}
(10)

Note that, in this case, we only require to explicitly know jump conditions Failed to parse (MathML with SVG or PNG fallback (recommended for modern browsers and accessibility tools): Invalid response ("Math extension cannot connect to Restbase.") from server "https://mathoid.scipedia.com/localhost/v1/":): {\textstyle [u]} , Failed to parse (MathML with SVG or PNG fallback (recommended for modern browsers and accessibility tools): Invalid response ("Math extension cannot connect to Restbase.") from server "https://mathoid.scipedia.com/localhost/v1/":): {\textstyle \left[u_{x} \right]}

and Failed to parse (MathML with SVG or PNG fallback (recommended for modern browsers and accessibility tools): Invalid response ("Math extension cannot connect to Restbase.") from server "https://mathoid.scipedia.com/localhost/v1/":): {\textstyle \left[u_{xx} \right]}

.

2.2 Implicit approximation for a real-valued function

Before to apply the previous results for approximations to differential equations, it would be useful to express with finite differences the operator Failed to parse (MathML with SVG or PNG fallback (recommended for modern browsers and accessibility tools): Invalid response ("Math extension cannot connect to Restbase.") from server "https://mathoid.scipedia.com/localhost/v1/":): {\textstyle \left.\mathfrak{D}^2u\right|_i=u_i+\left.bh^2u_{xx}\right|_i}

for a real-valued function Failed to parse (MathML with SVG or PNG fallback (recommended for modern browsers and accessibility tools): Invalid response ("Math extension cannot connect to Restbase.") from server "https://mathoid.scipedia.com/localhost/v1/":): {\textstyle u}
and not its second-order derivative Failed to parse (MathML with SVG or PNG fallback (recommended for modern browsers and accessibility tools): Invalid response ("Math extension cannot connect to Restbase.") from server "https://mathoid.scipedia.com/localhost/v1/":): {\textstyle u_{xx}}

. The finite-difference formula is obtained by approximating Failed to parse (MathML with SVG or PNG fallback (recommended for modern browsers and accessibility tools): Invalid response ("Math extension cannot connect to Restbase.") from server "https://mathoid.scipedia.com/localhost/v1/":): {\textstyle \left.u_{xx}\right|_i}

with the central finite differences, as presented in (1)-(10) for regular and irregular points, respectively.

For regular points (Failed to parse (MathML with SVG or PNG fallback (recommended for modern browsers and accessibility tools): Invalid response ("Math extension cannot connect to Restbase.") from server "https://mathoid.scipedia.com/localhost/v1/":): {\textstyle i\neq I,I+1} ), it follows from equation (1):

Failed to parse (MathML with SVG or PNG fallback (recommended for modern browsers and accessibility tools): Invalid response ("Math extension cannot connect to Restbase.") from server "https://mathoid.scipedia.com/localhost/v1/":): \left.\mathfrak{D}^2u\right|_i = u_i+\left.bh^2 u_{xx}\right|_i = u_i + bh^2\left\{\left.\delta ^2 u \right|_i + O(h^2)\right\} = b u_{i-1}+\,(1-2b) u_i+\,b u_{i+1} + O(h^4).

Thus, if we define as Failed to parse (MathML with SVG or PNG fallback (recommended for modern browsers and accessibility tools): Invalid response ("Math extension cannot connect to Restbase.") from server "https://mathoid.scipedia.com/localhost/v1/":): {\textstyle \mathfrak{d}^2}

the resulting finite-difference

Failed to parse (MathML with SVG or PNG fallback (recommended for modern browsers and accessibility tools): Invalid response ("Math extension cannot connect to Restbase.") from server "https://mathoid.scipedia.com/localhost/v1/":): \left.\mathfrak{d}^2 u \right|_i  : = b u_{i-1}+\,(1-2b) u_i+\,b u_{i+1},
(11)

then, we have that

Failed to parse (MathML with SVG or PNG fallback (recommended for modern browsers and accessibility tools): Invalid response ("Math extension cannot connect to Restbase.") from server "https://mathoid.scipedia.com/localhost/v1/":): \left.\mathfrak{D}^2 u \right|_i = \left.\mathfrak{d}^2 u \right|_i + O(h^4), \quad i\neq I,I+1.
(12)

However, we still have the same issue to overcome for a discontinuous function Failed to parse (MathML with SVG or PNG fallback (recommended for modern browsers and accessibility tools): Invalid response ("Math extension cannot connect to Restbase.") from server "https://mathoid.scipedia.com/localhost/v1/":): {\textstyle u} . We remark that this second-order derivative of Failed to parse (MathML with SVG or PNG fallback (recommended for modern browsers and accessibility tools): Invalid response ("Math extension cannot connect to Restbase.") from server "https://mathoid.scipedia.com/localhost/v1/":): {\textstyle u}

is already multiplied for Failed to parse (MathML with SVG or PNG fallback (recommended for modern browsers and accessibility tools): Invalid response ("Math extension cannot connect to Restbase.") from server "https://mathoid.scipedia.com/localhost/v1/":): {\textstyle h^2}

. Consequently, we can use the IIM technique where the contribution term is only first-order accurate to Failed to parse (MathML with SVG or PNG fallback (recommended for modern browsers and accessibility tools): Invalid response ("Math extension cannot connect to Restbase.") from server "https://mathoid.scipedia.com/localhost/v1/":): {\textstyle u}

thus, we still have a local Failed to parse (MathML with SVG or PNG fallback (recommended for modern browsers and accessibility tools): Invalid response ("Math extension cannot connect to Restbase.") from server "https://mathoid.scipedia.com/localhost/v1/":): {\textstyle O(h^3)}
to keep a global fourth-order accurate method. Then for irregular points, the IIM applied for this term follows

Failed to parse (MathML with SVG or PNG fallback (recommended for modern browsers and accessibility tools): Invalid response ("Math extension cannot connect to Restbase.") from server "https://mathoid.scipedia.com/localhost/v1/":): \left.\mathfrak{D}^2 u \right|_i = \left.\mathfrak{d}^2 u \right|_i + (c_u)_i + O(h^3), \quad i=I,I+1,
(13)

where Failed to parse (MathML with SVG or PNG fallback (recommended for modern browsers and accessibility tools): Invalid response ("Math extension cannot connect to Restbase.") from server "https://mathoid.scipedia.com/localhost/v1/":): {\textstyle \mathfrak{d}^2}

is given by finite difference (11) and

Failed to parse (MathML with SVG or PNG fallback (recommended for modern browsers and accessibility tools): Invalid response ("Math extension cannot connect to Restbase.") from server "https://mathoid.scipedia.com/localhost/v1/":): (c_u)_i = \begin{cases}- b\left([u]+h_R\left[u_x\right]+\dfrac{h_R^2}{2}\left[u_{xx} \right]\right), & i=I, \\[3mm] b\left([u]+h_L\left[u_x \right]+\dfrac{h_L^2}{2}\left[u_{xx} \right]\right), & i=I+1. \end{cases}
(14)

Finally, for regular and irregular points, we have high-order finite-difference approximations of the implicit operator Failed to parse (MathML with SVG or PNG fallback (recommended for modern browsers and accessibility tools): Invalid response ("Math extension cannot connect to Restbase.") from server "https://mathoid.scipedia.com/localhost/v1/":): {\textstyle \mathfrak{D}^2}

applied to a real-valued function Failed to parse (MathML with SVG or PNG fallback (recommended for modern browsers and accessibility tools): Invalid response ("Math extension cannot connect to Restbase.") from server "https://mathoid.scipedia.com/localhost/v1/":): {\textstyle u}
as in (12) and (13), and to its second-order derivative Failed to parse (MathML with SVG or PNG fallback (recommended for modern browsers and accessibility tools): Invalid response ("Math extension cannot connect to Restbase.") from server "https://mathoid.scipedia.com/localhost/v1/":): {\textstyle u_{xx}}
as in (2) and (6). Now, we proceed to implement them to the solution of differential equations, as presented in the following two sections.

3 Poisson equation

In this section, we develop a fourth-order finite difference scheme for the Poisson equation. Let us consider Failed to parse (MathML with SVG or PNG fallback (recommended for modern browsers and accessibility tools): Invalid response ("Math extension cannot connect to Restbase.") from server "https://mathoid.scipedia.com/localhost/v1/":): {\textstyle u}

and Failed to parse (MathML with SVG or PNG fallback (recommended for modern browsers and accessibility tools): Invalid response ("Math extension cannot connect to Restbase.") from server "https://mathoid.scipedia.com/localhost/v1/":): {\textstyle f}
as the solution of the problem and known right-hand side function, respectively. Thus the interface problem is given by

Failed to parse (MathML with SVG or PNG fallback (recommended for modern browsers and accessibility tools): Invalid response ("Math extension cannot connect to Restbase.") from server "https://mathoid.scipedia.com/localhost/v1/":): \Delta u(\boldsymbol{x}) = f(\boldsymbol{x}), \quad \boldsymbol{x}\in \Omega \setminus \Gamma , \quad \Omega = \Omega ^{+} \cup \Omega ^{-},
Failed to parse (MathML with SVG or PNG fallback (recommended for modern browsers and accessibility tools): Invalid response ("Math extension cannot connect to Restbase.") from server "https://mathoid.scipedia.com/localhost/v1/":): u(\boldsymbol{x}) = g(\boldsymbol{x}), \quad \boldsymbol{x}\in \partial \Omega ,
Failed to parse (MathML with SVG or PNG fallback (recommended for modern browsers and accessibility tools): Invalid response ("Math extension cannot connect to Restbase.") from server "https://mathoid.scipedia.com/localhost/v1/":): \left[u\right]_\Gamma = \mathfrak{p}(\boldsymbol{x}), \quad \boldsymbol{x}\in \Gamma ,
Failed to parse (MathML with SVG or PNG fallback (recommended for modern browsers and accessibility tools): Invalid response ("Math extension cannot connect to Restbase.") from server "https://mathoid.scipedia.com/localhost/v1/":): \left[u_{\boldsymbol{n}} \right]_\Gamma = \mathfrak{q}(\boldsymbol{x}) , \quad \boldsymbol{x}\in \Gamma{.}

We divide Failed to parse (MathML with SVG or PNG fallback (recommended for modern browsers and accessibility tools): Invalid response ("Math extension cannot connect to Restbase.") from server "https://mathoid.scipedia.com/localhost/v1/":): {\textstyle \Omega }

in two regions, Failed to parse (MathML with SVG or PNG fallback (recommended for modern browsers and accessibility tools): Invalid response ("Math extension cannot connect to Restbase.") from server "https://mathoid.scipedia.com/localhost/v1/":): {\textstyle \Omega ^{+}}
and Failed to parse (MathML with SVG or PNG fallback (recommended for modern browsers and accessibility tools): Invalid response ("Math extension cannot connect to Restbase.") from server "https://mathoid.scipedia.com/localhost/v1/":): {\textstyle \Omega ^{-}}

, separated by an immersed interface Failed to parse (MathML with SVG or PNG fallback (recommended for modern browsers and accessibility tools): Invalid response ("Math extension cannot connect to Restbase.") from server "https://mathoid.scipedia.com/localhost/v1/":): {\textstyle \Gamma } . Dirichlet boundary conditions are defined on Failed to parse (MathML with SVG or PNG fallback (recommended for modern browsers and accessibility tools): Invalid response ("Math extension cannot connect to Restbase.") from server "https://mathoid.scipedia.com/localhost/v1/":): {\textstyle \partial \Omega }

through function Failed to parse (MathML with SVG or PNG fallback (recommended for modern browsers and accessibility tools): Invalid response ("Math extension cannot connect to Restbase.") from server "https://mathoid.scipedia.com/localhost/v1/":): {\textstyle g}

. We assume that Failed to parse (MathML with SVG or PNG fallback (recommended for modern browsers and accessibility tools): Invalid response ("Math extension cannot connect to Restbase.") from server "https://mathoid.scipedia.com/localhost/v1/":): {\textstyle u}

and Failed to parse (MathML with SVG or PNG fallback (recommended for modern browsers and accessibility tools): Invalid response ("Math extension cannot connect to Restbase.") from server "https://mathoid.scipedia.com/localhost/v1/":): {\textstyle f}
may have discontinuities at the interface Failed to parse (MathML with SVG or PNG fallback (recommended for modern browsers and accessibility tools): Invalid response ("Math extension cannot connect to Restbase.") from server "https://mathoid.scipedia.com/localhost/v1/":): {\textstyle \Gamma }

. Thus, we require additional conditions Failed to parse (MathML with SVG or PNG fallback (recommended for modern browsers and accessibility tools): Invalid response ("Math extension cannot connect to Restbase.") from server "https://mathoid.scipedia.com/localhost/v1/":): {\textstyle \left[u\right]_\Gamma }

and Failed to parse (MathML with SVG or PNG fallback (recommended for modern browsers and accessibility tools): Invalid response ("Math extension cannot connect to Restbase.") from server "https://mathoid.scipedia.com/localhost/v1/":): {\textstyle \left[u_{\boldsymbol{n}} \right]_\Gamma }
known as principal jump conditions. Here, Failed to parse (MathML with SVG or PNG fallback (recommended for modern browsers and accessibility tools): Invalid response ("Math extension cannot connect to Restbase.") from server "https://mathoid.scipedia.com/localhost/v1/":): {\textstyle u_{\boldsymbol{n}}}
is the derivative in the normal direction. Note that the principal jump conditions, Failed to parse (MathML with SVG or PNG fallback (recommended for modern browsers and accessibility tools): Invalid response ("Math extension cannot connect to Restbase.") from server "https://mathoid.scipedia.com/localhost/v1/":): {\textstyle \mathfrak{p}}
and Failed to parse (MathML with SVG or PNG fallback (recommended for modern browsers and accessibility tools): Invalid response ("Math extension cannot connect to Restbase.") from server "https://mathoid.scipedia.com/localhost/v1/":): {\textstyle \mathfrak{q}}

, are known functions defined on Failed to parse (MathML with SVG or PNG fallback (recommended for modern browsers and accessibility tools): Invalid response ("Math extension cannot connect to Restbase.") from server "https://mathoid.scipedia.com/localhost/v1/":): {\textstyle \Gamma } .

In the context of the general problem, the computational domain can be considered into multiple dimensions. Nevertheless, since the primary objective of this paper is to illustrate the fundamental attributes of the proposed implicit high-order method, we concentrate on investigating the one-dimensional (1D) interface problem as defined by

Failed to parse (MathML with SVG or PNG fallback (recommended for modern browsers and accessibility tools): Invalid response ("Math extension cannot connect to Restbase.") from server "https://mathoid.scipedia.com/localhost/v1/":): u_{xx}(x) = f(x),\quad x\in (\mathfrak{a},x_\alpha ) \cup (x_\alpha , \mathfrak{b}), (15)
Failed to parse (MathML with SVG or PNG fallback (recommended for modern browsers and accessibility tools): Invalid response ("Math extension cannot connect to Restbase.") from server "https://mathoid.scipedia.com/localhost/v1/":): u(x) = g(x), \quad x\in \{ \mathfrak{a},\mathfrak{b}\} , (16)
Failed to parse (MathML with SVG or PNG fallback (recommended for modern browsers and accessibility tools): Invalid response ("Math extension cannot connect to Restbase.") from server "https://mathoid.scipedia.com/localhost/v1/":): \left[u\right] = \mathfrak{p}, (17)
Failed to parse (MathML with SVG or PNG fallback (recommended for modern browsers and accessibility tools): Invalid response ("Math extension cannot connect to Restbase.") from server "https://mathoid.scipedia.com/localhost/v1/":): \left[u_{x}\right] = \mathfrak{q}, (18)

Here, Failed to parse (MathML with SVG or PNG fallback (recommended for modern browsers and accessibility tools): Invalid response ("Math extension cannot connect to Restbase.") from server "https://mathoid.scipedia.com/localhost/v1/":): {\textstyle u}

and Failed to parse (MathML with SVG or PNG fallback (recommended for modern browsers and accessibility tools): Invalid response ("Math extension cannot connect to Restbase.") from server "https://mathoid.scipedia.com/localhost/v1/":): {\textstyle f}
can be discontinuous functions at a given fixed point Failed to parse (MathML with SVG or PNG fallback (recommended for modern browsers and accessibility tools): Invalid response ("Math extension cannot connect to Restbase.") from server "https://mathoid.scipedia.com/localhost/v1/":): {\textstyle x=x_\alpha }

, and principal jump conditions Failed to parse (MathML with SVG or PNG fallback (recommended for modern browsers and accessibility tools): Invalid response ("Math extension cannot connect to Restbase.") from server "https://mathoid.scipedia.com/localhost/v1/":): {\textstyle \left[u\right]=\left[u\right]_{x_\alpha }}

and Failed to parse (MathML with SVG or PNG fallback (recommended for modern browsers and accessibility tools): Invalid response ("Math extension cannot connect to Restbase.") from server "https://mathoid.scipedia.com/localhost/v1/":): {\textstyle \left[u_{x}\right]=\left[u_{x}\right]_{x_\alpha }}
are known values at Failed to parse (MathML with SVG or PNG fallback (recommended for modern browsers and accessibility tools): Invalid response ("Math extension cannot connect to Restbase.") from server "https://mathoid.scipedia.com/localhost/v1/":): {\textstyle x_\alpha }

.

3.1 IFD-IIM for the 1D Poisson problem

Let us consider that Failed to parse (MathML with SVG or PNG fallback (recommended for modern browsers and accessibility tools): Invalid response ("Math extension cannot connect to Restbase.") from server "https://mathoid.scipedia.com/localhost/v1/":): {\textstyle x_\alpha }

is located between the adjacent grid points Failed to parse (MathML with SVG or PNG fallback (recommended for modern browsers and accessibility tools): Invalid response ("Math extension cannot connect to Restbase.") from server "https://mathoid.scipedia.com/localhost/v1/":): {\textstyle x_I}
and Failed to parse (MathML with SVG or PNG fallback (recommended for modern browsers and accessibility tools): Invalid response ("Math extension cannot connect to Restbase.") from server "https://mathoid.scipedia.com/localhost/v1/":): {\textstyle x_{I+1}}
as Failed to parse (MathML with SVG or PNG fallback (recommended for modern browsers and accessibility tools): Invalid response ("Math extension cannot connect to Restbase.") from server "https://mathoid.scipedia.com/localhost/v1/":): {\textstyle x_I \leq x_\alpha < x_{I+1}}

. If we apply operator Failed to parse (MathML with SVG or PNG fallback (recommended for modern browsers and accessibility tools): Invalid response ("Math extension cannot connect to Restbase.") from server "https://mathoid.scipedia.com/localhost/v1/":): {\textstyle \mathfrak{D}^2(\cdot ) = (\cdot ) +bh^2 (\cdot )_{xx}}

at both sides of (15), then we get

Failed to parse (MathML with SVG or PNG fallback (recommended for modern browsers and accessibility tools): Invalid response ("Math extension cannot connect to Restbase.") from server "https://mathoid.scipedia.com/localhost/v1/":): \left.\mathfrak{D}^2 u_{xx}\right|_{i} = \left.\mathfrak{D}^2 f\right|_{i}, \qquad i=2,\dots , N.
(19)

For Failed to parse (MathML with SVG or PNG fallback (recommended for modern browsers and accessibility tools): Invalid response ("Math extension cannot connect to Restbase.") from server "https://mathoid.scipedia.com/localhost/v1/":): {\textstyle i=1}

and Failed to parse (MathML with SVG or PNG fallback (recommended for modern browsers and accessibility tools): Invalid response ("Math extension cannot connect to Restbase.") from server "https://mathoid.scipedia.com/localhost/v1/":): {\textstyle i=N+1}

, the grid points are at the boundary, thus the Dirichlet boundary condition can be directly applied. Thus, using the IFD scheme (2) and approximation (12) in (19) at Failed to parse (MathML with SVG or PNG fallback (recommended for modern browsers and accessibility tools): Invalid response ("Math extension cannot connect to Restbase.") from server "https://mathoid.scipedia.com/localhost/v1/":): {\textstyle x_i} , we have that the finite-difference scheme for regular points is given by

Failed to parse (MathML with SVG or PNG fallback (recommended for modern browsers and accessibility tools): Invalid response ("Math extension cannot connect to Restbase.") from server "https://mathoid.scipedia.com/localhost/v1/":): \left.\delta ^2u\right|_{i} = \left.\mathfrak{d}^2f\right|_{i} + O(h^4), \qquad i\neq I,I+1.
(20)

Similarly, using formulas (6) and (13), the scheme for irregular points is given by

Failed to parse (MathML with SVG or PNG fallback (recommended for modern browsers and accessibility tools): Invalid response ("Math extension cannot connect to Restbase.") from server "https://mathoid.scipedia.com/localhost/v1/":): \left.\delta ^2u\right|_{i} + C_i = \left.\mathfrak{d}^2f\right|_{i} + (c_f)_i + O(h^3), \qquad i=I,I+1,
(21)

where Failed to parse (MathML with SVG or PNG fallback (recommended for modern browsers and accessibility tools): Invalid response ("Math extension cannot connect to Restbase.") from server "https://mathoid.scipedia.com/localhost/v1/":): {\textstyle C_i}

and Failed to parse (MathML with SVG or PNG fallback (recommended for modern browsers and accessibility tools): Invalid response ("Math extension cannot connect to Restbase.") from server "https://mathoid.scipedia.com/localhost/v1/":): {\textstyle (c_f)_i}
are given by (7) and (14), respectively. Thus, combining the results for all grid points, the IFD-IIM for the 1D Poisson equation (15) at Failed to parse (MathML with SVG or PNG fallback (recommended for modern browsers and accessibility tools): Invalid response ("Math extension cannot connect to Restbase.") from server "https://mathoid.scipedia.com/localhost/v1/":): {\textstyle x_i}
is given by

Failed to parse (MathML with SVG or PNG fallback (recommended for modern browsers and accessibility tools): Invalid response ("Math extension cannot connect to Restbase.") from server "https://mathoid.scipedia.com/localhost/v1/":): \frac{1}{h^2}U_{i-1}\,\,-\frac{2}{h^2}U_{i}\,+\,\frac{1}{h^2}U_{i+1} = bf_{i-1}+\,(1-2b)f_i+\,bf_{i+1} + \mathfrak{C}_i, \quad i=2, \dots , N,
(22)

where total contribution is Failed to parse (MathML with SVG or PNG fallback (recommended for modern browsers and accessibility tools): Invalid response ("Math extension cannot connect to Restbase.") from server "https://mathoid.scipedia.com/localhost/v1/":): {\textstyle \mathfrak{C}_i = (c_f)_i - C_i}

with

Failed to parse (MathML with SVG or PNG fallback (recommended for modern browsers and accessibility tools): Invalid response ("Math extension cannot connect to Restbase.") from server "https://mathoid.scipedia.com/localhost/v1/":): C_i = \begin{cases}- \dfrac{1}{h^2}\left([u]+h_R\left[u_{x}\right]+\dfrac{h_R^2}{2} + b \left(2 h_R^3\left[u_{xxx}\right]+\dfrac{h_R^4}{2}\left[u_{xxxx}\right]\right)\right), & i=I,\\[4mm] \dfrac{1}{h^2} \left([u]+h_L\left[u_{x}\right]+\dfrac{h_L^2}{2} + b \left(2h_L^3\left[u_{xxx}\right]+\dfrac{h_L^4}{2}\left[u_{xxxx}\right]\right)\right), & i=I+1,\\[2mm] 0, & \textrm{else where,} \end{cases}
(23)

and

Failed to parse (MathML with SVG or PNG fallback (recommended for modern browsers and accessibility tools): Invalid response ("Math extension cannot connect to Restbase.") from server "https://mathoid.scipedia.com/localhost/v1/":): (c_f)_i = \begin{cases}- b\left([f]+h_R\left[f_x\right]+\dfrac{h_R^2}{2}\left[f_{xx} \right]\right), & i=I, \\[3mm] b\left([f]+h_L\left[f_x \right]+\dfrac{h_L^2}{2}\left[f_{xx} \right]\right), & i=I+1,\\[2mm] 0, & \textrm{else where.} \end{cases}
(24)

We remark that scheme (22)-(24) results in an approximation with local truncation error of fourth- and third-order for regular and irregular grid points, respectively. Thus, a global Failed to parse (MathML with SVG or PNG fallback (recommended for modern browsers and accessibility tools): Invalid response ("Math extension cannot connect to Restbase.") from server "https://mathoid.scipedia.com/localhost/v1/":): {\textstyle O(h^4)}

method is expected.

3.2 IFD-IIM and principal jump conditions

Note that Failed to parse (MathML with SVG or PNG fallback (recommended for modern browsers and accessibility tools): Invalid response ("Math extension cannot connect to Restbase.") from server "https://mathoid.scipedia.com/localhost/v1/":): {\textstyle \left[u\right]} , Failed to parse (MathML with SVG or PNG fallback (recommended for modern browsers and accessibility tools): Invalid response ("Math extension cannot connect to Restbase.") from server "https://mathoid.scipedia.com/localhost/v1/":): {\textstyle \left[u_{x}\right]} , Failed to parse (MathML with SVG or PNG fallback (recommended for modern browsers and accessibility tools): Invalid response ("Math extension cannot connect to Restbase.") from server "https://mathoid.scipedia.com/localhost/v1/":): {\textstyle \left[u_{xx}\right]} , Failed to parse (MathML with SVG or PNG fallback (recommended for modern browsers and accessibility tools): Invalid response ("Math extension cannot connect to Restbase.") from server "https://mathoid.scipedia.com/localhost/v1/":): {\textstyle \left[u_{xxx}\right]} , and Failed to parse (MathML with SVG or PNG fallback (recommended for modern browsers and accessibility tools): Invalid response ("Math extension cannot connect to Restbase.") from server "https://mathoid.scipedia.com/localhost/v1/":): {\textstyle \left[u_{xxxx}\right]}

must be known to apply the proposal fourth-order IFD-IIM. Thus, it seems that more jump conditions of Failed to parse (MathML with SVG or PNG fallback (recommended for modern browsers and accessibility tools): Invalid response ("Math extension cannot connect to Restbase.") from server "https://mathoid.scipedia.com/localhost/v1/":): {\textstyle u}
rather than the principal jump conditions (17) and (18) are required to have a fourth-order accurate method. However, we can use the Poisson equation (15) to obtain them as follows
Failed to parse (MathML with SVG or PNG fallback (recommended for modern browsers and accessibility tools): Invalid response ("Math extension cannot connect to Restbase.") from server "https://mathoid.scipedia.com/localhost/v1/":): \left[u_{xx}\right]=[f], \qquad \left[u_{xxx}\right]=\left[f_{x}\right], \qquad \left[u_{xxxx}\right]=\left[f_{xx}\right].
(25)

Thus, the total jump contribution for the one-dimensional Poisson problem is given by

Failed to parse (MathML with SVG or PNG fallback (recommended for modern browsers and accessibility tools): Invalid response ("Math extension cannot connect to Restbase.") from server "https://mathoid.scipedia.com/localhost/v1/":): \mathfrak{C}_i = \begin{cases} \dfrac{1}{h^2}\left([u]+h_R\left[u_{x}\right]+\dfrac{h_R^2}{2} \right)- b \left\{[f] + h_R\left(- \dfrac{2h_R^2}{h^2}+1\right)\left[f_x\right]+\dfrac{h_R^2}{2} \left(-\dfrac{h_R^2}{h^2}+1\right)\left[f_{xx}\right]\right\}, & i=I, \\[2mm] - \dfrac{1}{h^2} \left([u]+h_L\left[u_{x}\right]+\dfrac{h_L^2}{2} \right)+ b \left\{[f] + h_L\left(- \dfrac{2h_L^2}{h^2} +1\right)\left[f_x\right]+ \dfrac{h_L^2}{2} \left(-\dfrac{h_L^2}{h^2}+1\right)\left[f_{xx}\right]\right\}, & i=I+1,\\[2mm] 0, & \textrm{else where}. \end{cases}
(26)

Thus contribution Failed to parse (MathML with SVG or PNG fallback (recommended for modern browsers and accessibility tools): Invalid response ("Math extension cannot connect to Restbase.") from server "https://mathoid.scipedia.com/localhost/v1/":): {\textstyle \mathfrak{C}_i}

depends only on the principal jump conditions, Failed to parse (MathML with SVG or PNG fallback (recommended for modern browsers and accessibility tools): Invalid response ("Math extension cannot connect to Restbase.") from server "https://mathoid.scipedia.com/localhost/v1/":): {\textstyle [u]}
and Failed to parse (MathML with SVG or PNG fallback (recommended for modern browsers and accessibility tools): Invalid response ("Math extension cannot connect to Restbase.") from server "https://mathoid.scipedia.com/localhost/v1/":): {\textstyle [u_x]}

, and right-hand side jumps: Failed to parse (MathML with SVG or PNG fallback (recommended for modern browsers and accessibility tools): Invalid response ("Math extension cannot connect to Restbase.") from server "https://mathoid.scipedia.com/localhost/v1/":): {\textstyle [f]} , Failed to parse (MathML with SVG or PNG fallback (recommended for modern browsers and accessibility tools): Invalid response ("Math extension cannot connect to Restbase.") from server "https://mathoid.scipedia.com/localhost/v1/":): {\textstyle \left[f_{x}\right]} , and Failed to parse (MathML with SVG or PNG fallback (recommended for modern browsers and accessibility tools): Invalid response ("Math extension cannot connect to Restbase.") from server "https://mathoid.scipedia.com/localhost/v1/":): {\textstyle \left[f_{xx} \right]} . The additional jumps derivatives from the right-hand side can be approximated using the current values of Failed to parse (MathML with SVG or PNG fallback (recommended for modern browsers and accessibility tools): Invalid response ("Math extension cannot connect to Restbase.") from server "https://mathoid.scipedia.com/localhost/v1/":): {\textstyle f} . In this paper, we will assume that we know them.

Remark 2: For the 1D Poisson problem, a global second-order IIM (Failed to parse (MathML with SVG or PNG fallback (recommended for modern browsers and accessibility tools): Invalid response ("Math extension cannot connect to Restbase.") from server "https://mathoid.scipedia.com/localhost/v1/":): {\textstyle b=0} ) only requires to know the principal jump conditions Failed to parse (MathML with SVG or PNG fallback (recommended for modern browsers and accessibility tools): Invalid response ("Math extension cannot connect to Restbase.") from server "https://mathoid.scipedia.com/localhost/v1/":): {\textstyle [u]} , Failed to parse (MathML with SVG or PNG fallback (recommended for modern browsers and accessibility tools): Invalid response ("Math extension cannot connect to Restbase.") from server "https://mathoid.scipedia.com/localhost/v1/":): {\textstyle \left[u_{x}\right]}

and Failed to parse (MathML with SVG or PNG fallback (recommended for modern browsers and accessibility tools): Invalid response ("Math extension cannot connect to Restbase.") from server "https://mathoid.scipedia.com/localhost/v1/":): {\textstyle \left[f\right]}

.

Remark 3: If Failed to parse (MathML with SVG or PNG fallback (recommended for modern browsers and accessibility tools): Invalid response ("Math extension cannot connect to Restbase.") from server "https://mathoid.scipedia.com/localhost/v1/":): {\textstyle h_R/h=1} , then Failed to parse (MathML with SVG or PNG fallback (recommended for modern browsers and accessibility tools): Invalid response ("Math extension cannot connect to Restbase.") from server "https://mathoid.scipedia.com/localhost/v1/":): {\textstyle h_L=0}

and both weight terms next to second-order derivative jump of Failed to parse (MathML with SVG or PNG fallback (recommended for modern browsers and accessibility tools): Invalid response ("Math extension cannot connect to Restbase.") from server "https://mathoid.scipedia.com/localhost/v1/":): {\textstyle f}
are equal to zero in (26). Thus, we do not require to know jump condition Failed to parse (MathML with SVG or PNG fallback (recommended for modern browsers and accessibility tools): Invalid response ("Math extension cannot connect to Restbase.") from server "https://mathoid.scipedia.com/localhost/v1/":): {\textstyle \left[f_{xx}\right]}
to obtain a fourth-order method when the interface is located at a grid point.

4 Heat equation with a fixed interface

For the second differential equation, we consider the heat conduction equation with initial, boundary, and principal jump conditions, as follows

Failed to parse (MathML with SVG or PNG fallback (recommended for modern browsers and accessibility tools): Invalid response ("Math extension cannot connect to Restbase.") from server "https://mathoid.scipedia.com/localhost/v1/":): u_t(\boldsymbol{x},t) = \Delta u(\boldsymbol{x},t)- f(\boldsymbol{x},t), \quad \boldsymbol{x}\in \Omega \setminus \Gamma \times (0,T], \quad \Omega = \Omega ^{+} \cup \Omega ^{-},
Failed to parse (MathML with SVG or PNG fallback (recommended for modern browsers and accessibility tools): Invalid response ("Math extension cannot connect to Restbase.") from server "https://mathoid.scipedia.com/localhost/v1/":): u(\boldsymbol{x},0) = u_0(\boldsymbol{x}), \quad \boldsymbol{x} \in \Omega ,
Failed to parse (MathML with SVG or PNG fallback (recommended for modern browsers and accessibility tools): Invalid response ("Math extension cannot connect to Restbase.") from server "https://mathoid.scipedia.com/localhost/v1/":): u(\boldsymbol{x},t) = g(\boldsymbol{x},t), \quad (\boldsymbol{x},t) \in \partial \Omega \times (0,T],
Failed to parse (MathML with SVG or PNG fallback (recommended for modern browsers and accessibility tools): Invalid response ("Math extension cannot connect to Restbase.") from server "https://mathoid.scipedia.com/localhost/v1/":): \left[u\right]_\Gamma = \mathfrak{p}(\boldsymbol{x},t), \quad \boldsymbol{x}\in \Gamma \times [0,T],
Failed to parse (MathML with SVG or PNG fallback (recommended for modern browsers and accessibility tools): Invalid response ("Math extension cannot connect to Restbase.") from server "https://mathoid.scipedia.com/localhost/v1/":): \left[u_{\boldsymbol{n}} \right]_\Gamma = \mathfrak{q}(\boldsymbol{x},t) , \quad \boldsymbol{x}\in \Gamma \times [0,T],

where the source Failed to parse (MathML with SVG or PNG fallback (recommended for modern browsers and accessibility tools): Invalid response ("Math extension cannot connect to Restbase.") from server "https://mathoid.scipedia.com/localhost/v1/":): {\textstyle f}

and initial value Failed to parse (MathML with SVG or PNG fallback (recommended for modern browsers and accessibility tools): Invalid response ("Math extension cannot connect to Restbase.") from server "https://mathoid.scipedia.com/localhost/v1/":): {\textstyle u_0}
may be discontinuous or singular across a fixed interface Failed to parse (MathML with SVG or PNG fallback (recommended for modern browsers and accessibility tools): Invalid response ("Math extension cannot connect to Restbase.") from server "https://mathoid.scipedia.com/localhost/v1/":): {\textstyle \Gamma }

. The interface Failed to parse (MathML with SVG or PNG fallback (recommended for modern browsers and accessibility tools): Invalid response ("Math extension cannot connect to Restbase.") from server "https://mathoid.scipedia.com/localhost/v1/":): {\textstyle \Gamma }

is immersed in the domain Failed to parse (MathML with SVG or PNG fallback (recommended for modern browsers and accessibility tools): Invalid response ("Math extension cannot connect to Restbase.") from server "https://mathoid.scipedia.com/localhost/v1/":): {\textstyle \Omega }
and divides into two parts, Failed to parse (MathML with SVG or PNG fallback (recommended for modern browsers and accessibility tools): Invalid response ("Math extension cannot connect to Restbase.") from server "https://mathoid.scipedia.com/localhost/v1/":): {\textstyle \Omega ^{+}}
and Failed to parse (MathML with SVG or PNG fallback (recommended for modern browsers and accessibility tools): Invalid response ("Math extension cannot connect to Restbase.") from server "https://mathoid.scipedia.com/localhost/v1/":): {\textstyle \Omega ^{-}}

. As the Poisson equation, Failed to parse (MathML with SVG or PNG fallback (recommended for modern browsers and accessibility tools): Invalid response ("Math extension cannot connect to Restbase.") from server "https://mathoid.scipedia.com/localhost/v1/":): {\textstyle g} , Failed to parse (MathML with SVG or PNG fallback (recommended for modern browsers and accessibility tools): Invalid response ("Math extension cannot connect to Restbase.") from server "https://mathoid.scipedia.com/localhost/v1/":): {\textstyle \mathfrak{p}}

and Failed to parse (MathML with SVG or PNG fallback (recommended for modern browsers and accessibility tools): Invalid response ("Math extension cannot connect to Restbase.") from server "https://mathoid.scipedia.com/localhost/v1/":): {\textstyle \mathfrak{q}}
are known functions. This paper only focuses on the one-dimensional problem given by

Failed to parse (MathML with SVG or PNG fallback (recommended for modern browsers and accessibility tools): Invalid response ("Math extension cannot connect to Restbase.") from server "https://mathoid.scipedia.com/localhost/v1/":): u_t = u_{xx}-f, \quad (x,t) \in (\mathfrak{a},x_\alpha ) \cup (x_\alpha , \mathfrak{b}) \times (0,T], (27)
Failed to parse (MathML with SVG or PNG fallback (recommended for modern browsers and accessibility tools): Invalid response ("Math extension cannot connect to Restbase.") from server "https://mathoid.scipedia.com/localhost/v1/":): u(x,0) = u_0(x), \quad x \in (\mathfrak{a},\mathfrak{b}), (28)
Failed to parse (MathML with SVG or PNG fallback (recommended for modern browsers and accessibility tools): Invalid response ("Math extension cannot connect to Restbase.") from server "https://mathoid.scipedia.com/localhost/v1/":): u(x,t) = g(x,t), \quad (x,t) \in \{ \mathfrak{a},\mathfrak{b}\} \times (0,T], (29)
Failed to parse (MathML with SVG or PNG fallback (recommended for modern browsers and accessibility tools): Invalid response ("Math extension cannot connect to Restbase.") from server "https://mathoid.scipedia.com/localhost/v1/":): \left[u\right] = \mathfrak{p}(t),\quad t\in [0,T], (30)
Failed to parse (MathML with SVG or PNG fallback (recommended for modern browsers and accessibility tools): Invalid response ("Math extension cannot connect to Restbase.") from server "https://mathoid.scipedia.com/localhost/v1/":): \left[u_{x}\right] = \mathfrak{q}(t), \quad t\in [0,T]. (31)

where the source Failed to parse (MathML with SVG or PNG fallback (recommended for modern browsers and accessibility tools): Invalid response ("Math extension cannot connect to Restbase.") from server "https://mathoid.scipedia.com/localhost/v1/":): {\textstyle f}

and initial value Failed to parse (MathML with SVG or PNG fallback (recommended for modern browsers and accessibility tools): Invalid response ("Math extension cannot connect to Restbase.") from server "https://mathoid.scipedia.com/localhost/v1/":): {\textstyle u_0}
may be discontinuous or singular across a fixed interface located at Failed to parse (MathML with SVG or PNG fallback (recommended for modern browsers and accessibility tools): Invalid response ("Math extension cannot connect to Restbase.") from server "https://mathoid.scipedia.com/localhost/v1/":): {\textstyle x_\alpha }

.

4.1 IFD-IIM for the 1D heat conduction problem

Since the interface is fixed and all the quantities are continuous with time, we can approximate the time derivative using the Crank-Nicolson method, as follows

Failed to parse (MathML with SVG or PNG fallback (recommended for modern browsers and accessibility tools): Invalid response ("Math extension cannot connect to Restbase.") from server "https://mathoid.scipedia.com/localhost/v1/":): u^{n+1} = u^{n} + \dfrac{\Delta t}{2} \left\{\left(u_{xx}-f\right)^{n+1} + \left(u_{xx}-f\right)^{n}\right\}+ O(\Delta t^2).
(32)

Applying the fourth-order operator (3) to equation (32) yields

Failed to parse (MathML with SVG or PNG fallback (recommended for modern browsers and accessibility tools): Invalid response ("Math extension cannot connect to Restbase.") from server "https://mathoid.scipedia.com/localhost/v1/":): \left.\mathfrak{D}^2u\right|_{i}^{n+1} = \left.\mathfrak{D}^2u\right|_{i}^{n} + \dfrac{\Delta t}{2}\left\{ \left.\mathfrak{D}^2u_{xx}\right|_{i}^{n+1} +\left.\mathfrak{D}^2u_{xx}\right|_{i}^{n} -\left.\mathfrak{D}^2f\right|_{i}^{n+1} -\left.\mathfrak{D}^2f\right|_{i}^{n} \right\} + O(\Delta t^2), \quad i=2, \dots , N.
(33)

For regular points, using the IFD method (2) and approximation (12), equation (33) can be approximated as follows

Failed to parse (MathML with SVG or PNG fallback (recommended for modern browsers and accessibility tools): Invalid response ("Math extension cannot connect to Restbase.") from server "https://mathoid.scipedia.com/localhost/v1/":): \left.\mathfrak{d}^2u\right|_{i}^{n+1} = \left.\mathfrak{d}^2u\right|_{i}^{n} + \dfrac{\Delta t}{2}\left\{ \left.\delta ^2u\right|_{i}^{n+1} +\left.\delta ^2u\right|_{i}^{n} -\left.\mathfrak{d}^2f\right|_{i}^{n+1} -\left.\mathfrak{d}^2f\right|_{i}^{n} \right\} + O(\Delta t^2) + O(h^4), \quad i\neq I,I+1.
(34)

For irregular points, using the IFD-IIM (6) and approximation (13), the implicit scheme is given by

Failed to parse (MathML with SVG or PNG fallback (recommended for modern browsers and accessibility tools): Invalid response ("Math extension cannot connect to Restbase.") from server "https://mathoid.scipedia.com/localhost/v1/":): \left.\mathfrak{d}^2u\right|_{i}^{n+1} = \left.\mathfrak{d}^2u\right|_{i}^{n} + \dfrac{\Delta t}{2}\left\{ \left.\delta ^2u\right|_{i}^{n+1} +\left.\delta ^2u\right|_{i}^{n} -\left.\mathfrak{d}^2f\right|_{i}^{n+1} -\left.\mathfrak{d}^2f\right|_{i}^{n} \right\}+ \mathfrak{C}_i + O(\Delta t^2) + O(h^3), \quad i= I,I+1,
(35)

where

Failed to parse (MathML with SVG or PNG fallback (recommended for modern browsers and accessibility tools): Invalid response ("Math extension cannot connect to Restbase.") from server "https://mathoid.scipedia.com/localhost/v1/":): \mathfrak{C}_i = - (c_u)_{i}^{n+1} + (c_u)_{i}^{n} + \dfrac{\Delta t}{2}\left\{ C_{i}^{n+1} + C_{i}^{n} - (c_f)_{i}^{n+1} - (c_f)_{i}^{n} \right\}.
(36)

Here, Failed to parse (MathML with SVG or PNG fallback (recommended for modern browsers and accessibility tools): Invalid response ("Math extension cannot connect to Restbase.") from server "https://mathoid.scipedia.com/localhost/v1/":): {\textstyle (c_u)_i}

and Failed to parse (MathML with SVG or PNG fallback (recommended for modern browsers and accessibility tools): Invalid response ("Math extension cannot connect to Restbase.") from server "https://mathoid.scipedia.com/localhost/v1/":): {\textstyle (c_f)_i}
are defined as (14), and Failed to parse (MathML with SVG or PNG fallback (recommended for modern browsers and accessibility tools): Invalid response ("Math extension cannot connect to Restbase.") from server "https://mathoid.scipedia.com/localhost/v1/":): {\textstyle C_i}
is given by (7). Thus, for 1D heat conduction equation (27), the IFD-IIM reads

Failed to parse (MathML with SVG or PNG fallback (recommended for modern browsers and accessibility tools): Invalid response ("Math extension cannot connect to Restbase.") from server "https://mathoid.scipedia.com/localhost/v1/":): (b-r)U_{i-1}^{n+1}+(1-2b+2r)U_i^{n+1}+(b-r)U_{i+1}^{n+1} = (b+r)U_{i-1}^{n}+(1-2b-2r)U_i^{n}+(b+r)U_{i+1}^{n}
Failed to parse (MathML with SVG or PNG fallback (recommended for modern browsers and accessibility tools): Invalid response ("Math extension cannot connect to Restbase.") from server "https://mathoid.scipedia.com/localhost/v1/":): - \dfrac{\Delta t}{2}\left\{bf_{i-1}^{n+1}+(1-2b)f_i^{n+1}+bf_{i+1}^{n+1} \right\} (37)
Failed to parse (MathML with SVG or PNG fallback (recommended for modern browsers and accessibility tools): Invalid response ("Math extension cannot connect to Restbase.") from server "https://mathoid.scipedia.com/localhost/v1/":): - \dfrac{\Delta t}{2}\left\{bf_{i-1}^{n}+(1-2b)f_i^{n}+bf_{i+1}^{n} \right\}+ \mathfrak{C}_i,

where Failed to parse (MathML with SVG or PNG fallback (recommended for modern browsers and accessibility tools): Invalid response ("Math extension cannot connect to Restbase.") from server "https://mathoid.scipedia.com/localhost/v1/":): {\textstyle r=\frac{1}{2}\Delta t/h^2}

and Failed to parse (MathML with SVG or PNG fallback (recommended for modern browsers and accessibility tools): Invalid response ("Math extension cannot connect to Restbase.") from server "https://mathoid.scipedia.com/localhost/v1/":): {\textstyle \mathfrak{C}_i}
is given by (36). Here, we have that Failed to parse (MathML with SVG or PNG fallback (recommended for modern browsers and accessibility tools): Invalid response ("Math extension cannot connect to Restbase.") from server "https://mathoid.scipedia.com/localhost/v1/":): {\textstyle \mathfrak{C}_i=0}
 for regular points.

Remark 4: The IFD-IIM (37) is unconditionally stable and the local truncation error is of Failed to parse (MathML with SVG or PNG fallback (recommended for modern browsers and accessibility tools): Invalid response ("Math extension cannot connect to Restbase.") from server "https://mathoid.scipedia.com/localhost/v1/":): {\textstyle O(\Delta t^2 + h^4)}

and Failed to parse (MathML with SVG or PNG fallback (recommended for modern browsers and accessibility tools): Invalid response ("Math extension cannot connect to Restbase.") from server "https://mathoid.scipedia.com/localhost/v1/":): {\textstyle O(\Delta t^2 + h^3)}
for regular and irregular grid points, respectively. Thus a global fourth-order method is expected by taking Failed to parse (MathML with SVG or PNG fallback (recommended for modern browsers and accessibility tools): Invalid response ("Math extension cannot connect to Restbase.") from server "https://mathoid.scipedia.com/localhost/v1/":): {\textstyle \Delta t = O(h^2)}

.

Remark 5: As the Crank-Nicolson method is implicit in time, the IFD-IIM solves a linear system at each time step. To address this efficiently, we employed Thomas' algorithm, given that the resulting matrix is tridiagonal. Furthermore, the implicit method in space preserves the original structure of this system of equations, thus yielding a higher-order method without compromising the efficiency of the standard scheme.

Remark 6: In addition to accounting for the contributions of the source term Failed to parse (MathML with SVG or PNG fallback (recommended for modern browsers and accessibility tools): Invalid response ("Math extension cannot connect to Restbase.") from server "https://mathoid.scipedia.com/localhost/v1/":): {\textstyle f}

and its derivatives, the finite-difference scheme presented in equation (37) requires additional knowledge of the jump conditions for the solution given by Failed to parse (MathML with SVG or PNG fallback (recommended for modern browsers and accessibility tools): Invalid response ("Math extension cannot connect to Restbase.") from server "https://mathoid.scipedia.com/localhost/v1/":): {\textstyle \left[u_{xx}\right]}

, Failed to parse (MathML with SVG or PNG fallback (recommended for modern browsers and accessibility tools): Invalid response ("Math extension cannot connect to Restbase.") from server "https://mathoid.scipedia.com/localhost/v1/":): {\textstyle \left[u_{xxx}\right]} , and Failed to parse (MathML with SVG or PNG fallback (recommended for modern browsers and accessibility tools): Invalid response ("Math extension cannot connect to Restbase.") from server "https://mathoid.scipedia.com/localhost/v1/":): {\textstyle \left[u_{xxxx}\right]} . It is worth noting that, although not presented here, there are techniques available for deriving all the necessary jump conditions from the principal jump conditions [14].

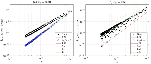
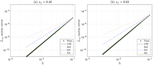
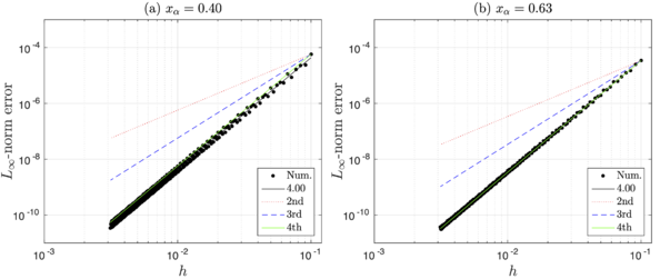
5 Numerical results for the Poisson equation

In this section, we test the IFD-IIM for different examples of the Poisson equation. In the following simulations, we numerically solve the equation for a given right-hand side function and compare it with its analytic solution. In all cases the resulting linear system is solved using the Thomas' algorithm.

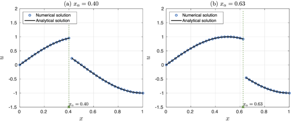
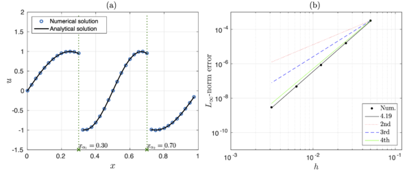
The numerical method is tested using three different examples. Example 1 considers a smooth solution to verify the fourth-order implicit method for smooth solutions. Example 2 studies a Poisson equation with a discontinuous solution in a single interface point. Finally, Example 3 presents a discontinuous problem with multiple interface points. A Matlab code of these examples can be download at https://github.com/CIMATMerida/IFD-IIM

For the all these examples, the computational domain is the interval Failed to parse (MathML with SVG or PNG fallback (recommended for modern browsers and accessibility tools): Invalid response ("Math extension cannot connect to Restbase.") from server "https://mathoid.scipedia.com/localhost/v1/":): {\textstyle [0,1]} , and the grid spacing is Failed to parse (MathML with SVG or PNG fallback (recommended for modern browsers and accessibility tools): Invalid response ("Math extension cannot connect to Restbase.") from server "https://mathoid.scipedia.com/localhost/v1/":): {\textstyle h=1/N}

for different Failed to parse (MathML with SVG or PNG fallback (recommended for modern browsers and accessibility tools): Invalid response ("Math extension cannot connect to Restbase.") from server "https://mathoid.scipedia.com/localhost/v1/":): {\textstyle N}
sub-intervals. The errors are reported using the Failed to parse (MathML with SVG or PNG fallback (recommended for modern browsers and accessibility tools): Invalid response ("Math extension cannot connect to Restbase.") from server "https://mathoid.scipedia.com/localhost/v1/":): {\textstyle L_\infty }

-norm and the discrete Failed to parse (MathML with SVG or PNG fallback (recommended for modern browsers and accessibility tools): Invalid response ("Math extension cannot connect to Restbase.") from server "https://mathoid.scipedia.com/localhost/v1/":): {\textstyle L_2} -norm calculated as

Failed to parse (MathML with SVG or PNG fallback (recommended for modern browsers and accessibility tools): Invalid response ("Math extension cannot connect to Restbase.") from server "https://mathoid.scipedia.com/localhost/v1/":): \left\|e \right\|_\infty = \max _{1\leq i\leq N+1} \left|u_{i}-U_{i} \right|, \quad \mathrm{and} \quad \left\|e\right\|_2 = \left(\sum _{i=1}^{N+1} (u_{i}-U_{i})^2\Delta x\right)^{1/2},
(38)

respectively, where Failed to parse (MathML with SVG or PNG fallback (recommended for modern browsers and accessibility tools): Invalid response ("Math extension cannot connect to Restbase.") from server "https://mathoid.scipedia.com/localhost/v1/":): {\textstyle U_{i}}

and Failed to parse (MathML with SVG or PNG fallback (recommended for modern browsers and accessibility tools): Invalid response ("Math extension cannot connect to Restbase.") from server "https://mathoid.scipedia.com/localhost/v1/":): {\textstyle u_{i}}
corresponds to the numerical and exact solution at Failed to parse (MathML with SVG or PNG fallback (recommended for modern browsers and accessibility tools): Invalid response ("Math extension cannot connect to Restbase.") from server "https://mathoid.scipedia.com/localhost/v1/":): {\textstyle x_i}

, respectively. The estimated order of accuracy is computed as

Failed to parse (MathML with SVG or PNG fallback (recommended for modern browsers and accessibility tools): Invalid response ("Math extension cannot connect to Restbase.") from server "https://mathoid.scipedia.com/localhost/v1/":): \textrm{Order} := \dfrac{\log \left(\left\|e \right\|_{N_1}/ \left\|e \right\|_{N_2}\right)}{\log \left(N_1/N_2 \right)},
(39)

where Failed to parse (MathML with SVG or PNG fallback (recommended for modern browsers and accessibility tools): Invalid response ("Math extension cannot connect to Restbase.") from server "https://mathoid.scipedia.com/localhost/v1/":): {\textstyle N_1}

and Failed to parse (MathML with SVG or PNG fallback (recommended for modern browsers and accessibility tools): Invalid response ("Math extension cannot connect to Restbase.") from server "https://mathoid.scipedia.com/localhost/v1/":): {\textstyle N_2}
indicates the different number of sub-intervals of the corresponding norm.

5.1 Example 1. Poison equation with smooth solution

Example 1 considers an infinitely smooth and differentiable exact solution of the one-dimensional Poisson problem (15) given by the following expression

Failed to parse (MathML with SVG or PNG fallback (recommended for modern browsers and accessibility tools): Invalid response ("Math extension cannot connect to Restbase.") from server "https://mathoid.scipedia.com/localhost/v1/":): u(x) = e^{-4\pi (x-1/4)^2}.
(40)

The right-hand side function, Failed to parse (MathML with SVG or PNG fallback (recommended for modern browsers and accessibility tools): Invalid response ("Math extension cannot connect to Restbase.") from server "https://mathoid.scipedia.com/localhost/v1/":): {\textstyle f} , is obtained directly from (40). We impose Dirichlet boundary conditions according to the function Failed to parse (MathML with SVG or PNG fallback (recommended for modern browsers and accessibility tools): Invalid response ("Math extension cannot connect to Restbase.") from server "https://mathoid.scipedia.com/localhost/v1/":): {\textstyle u} . Due to the regularity of the solution, the jump contributions Failed to parse (MathML with SVG or PNG fallback (recommended for modern browsers and accessibility tools): Invalid response ("Math extension cannot connect to Restbase.") from server "https://mathoid.scipedia.com/localhost/v1/":): {\textstyle \mathcal{C}_I}

and Failed to parse (MathML with SVG or PNG fallback (recommended for modern browsers and accessibility tools): Invalid response ("Math extension cannot connect to Restbase.") from server "https://mathoid.scipedia.com/localhost/v1/":): {\textstyle \mathcal{C}_{I+1}}
in equation (26) are equal to zero.

Table 1 presents the convergence analysis of Example 1 for different grid resolutions. If Failed to parse (MathML with SVG or PNG fallback (recommended for modern browsers and accessibility tools): Invalid response ("Math extension cannot connect to Restbase.") from server "https://mathoid.scipedia.com/localhost/v1/":): {\textstyle b = 0} , then we recover the standard central finite-difference method of second-order accuracy. On the other hand, the fourth-order implicit scheme is recovered when Failed to parse (MathML with SVG or PNG fallback (recommended for modern browsers and accessibility tools): Invalid response ("Math extension cannot connect to Restbase.") from server "https://mathoid.scipedia.com/localhost/v1/":): {\textstyle b=1/12} . Last row of table 1 shows the numerical order calculated by the regression-line slope based on a least squares method (LSM) of the Failed to parse (MathML with SVG or PNG fallback (recommended for modern browsers and accessibility tools): Invalid response ("Math extension cannot connect to Restbase.") from server "https://mathoid.scipedia.com/localhost/v1/":): {\textstyle L_{\infty }} - and Failed to parse (MathML with SVG or PNG fallback (recommended for modern browsers and accessibility tools): Invalid response ("Math extension cannot connect to Restbase.") from server "https://mathoid.scipedia.com/localhost/v1/":): {\textstyle L_2} -norm error. A complete analysis of the IFD method for smooth solutions can be found in [12].


Table. 1 Convergence analysis of Example 1 testing a Poisson equation with smooth solution.
Failed to parse (MathML with SVG or PNG fallback (recommended for modern browsers and accessibility tools): Invalid response ("Math extension cannot connect to Restbase.") from server "https://mathoid.scipedia.com/localhost/v1/":): {\textstyle N} Failed to parse (MathML with SVG or PNG fallback (recommended for modern browsers and accessibility tools): Invalid response ("Math extension cannot connect to Restbase.") from server "https://mathoid.scipedia.com/localhost/v1/":): {\textstyle L_\infty }

-norm

Order Failed to parse (MathML with SVG or PNG fallback (recommended for modern browsers and accessibility tools): Invalid response ("Math extension cannot connect to Restbase.") from server "https://mathoid.scipedia.com/localhost/v1/":): {\textstyle L_2}

-norm

Order Failed to parse (MathML with SVG or PNG fallback (recommended for modern browsers and accessibility tools): Invalid response ("Math extension cannot connect to Restbase.") from server "https://mathoid.scipedia.com/localhost/v1/":): {\textstyle L_\infty }

-norm

Order Failed to parse (MathML with SVG or PNG fallback (recommended for modern browsers and accessibility tools): Invalid response ("Math extension cannot connect to Restbase.") from server "https://mathoid.scipedia.com/localhost/v1/":): {\textstyle L_2}

-norm

Order
10 7.52e-02 –- 2.84e-02 –- 9.30e-03 –- 3.56e-03 –-
20 1.70e-02 2.15 6.52e-03 2.12 5.05e-04 4.20 1.93e-04 4.21
40 4.15e-03 2.03 1.60e-03 2.03 3.06e-05 4.04 1.17e-05 4.04
80 1.03e-03 2.01 3.98e-04 2.01 1.90e-06 4.01 7.27e-07 4.01
160 2.57e-04 2.00 9.95e-05 2.00 1.18e-07 4.00 4.54e-08 4.00
LSM 2.04 2.04 4.06 4.06

5.2 Example 2. Poison equation with a single interface

For Example 2, we show the method's capability by solving a single interface problem located at Failed to parse (MathML with SVG or PNG fallback (recommended for modern browsers and accessibility tools): Invalid response ("Math extension cannot connect to Restbase.") from server "https://mathoid.scipedia.com/localhost/v1/":): {\textstyle x = x_\alpha } . The exact solution is given by the function

Failed to parse (MathML with SVG or PNG fallback (recommended for modern browsers and accessibility tools): Invalid response ("Math extension cannot connect to Restbase.") from server "https://mathoid.scipedia.com/localhost/v1/":): u(x) = \begin{cases}\sin (\pi x), & x\leq x_\alpha ,\\ \cos (\pi x), & x > x_\alpha{.} \end{cases}
(41)

The right-hand side, Failed to parse (MathML with SVG or PNG fallback (recommended for modern browsers and accessibility tools): Invalid response ("Math extension cannot connect to Restbase.") from server "https://mathoid.scipedia.com/localhost/v1/":): {\textstyle f} , is obtained directly from equation (41). We test two different points: Failed to parse (MathML with SVG or PNG fallback (recommended for modern browsers and accessibility tools): Invalid response ("Math extension cannot connect to Restbase.") from server "https://mathoid.scipedia.com/localhost/v1/":): {\textstyle x_\alpha=0.40}

and Failed to parse (MathML with SVG or PNG fallback (recommended for modern browsers and accessibility tools): Invalid response ("Math extension cannot connect to Restbase.") from server "https://mathoid.scipedia.com/localhost/v1/":): {\textstyle x_\alpha=0.63}

. For the first case, we always have Failed to parse (MathML with SVG or PNG fallback (recommended for modern browsers and accessibility tools): Invalid response ("Math extension cannot connect to Restbase.") from server "https://mathoid.scipedia.com/localhost/v1/":): {\textstyle h_R/h=1}

for Failed to parse (MathML with SVG or PNG fallback (recommended for modern browsers and accessibility tools): Invalid response ("Math extension cannot connect to Restbase.") from server "https://mathoid.scipedia.com/localhost/v1/":): {\textstyle N=10\times{2}^{n}}
(Failed to parse (MathML with SVG or PNG fallback (recommended for modern browsers and accessibility tools): Invalid response ("Math extension cannot connect to Restbase.") from server "https://mathoid.scipedia.com/localhost/v1/":): {\textstyle n=0,1,2,\dots }

); thus the interface is always located at one grid point of that resolution. In general, for Failed to parse (MathML with SVG or PNG fallback (recommended for modern browsers and accessibility tools): Invalid response ("Math extension cannot connect to Restbase.") from server "https://mathoid.scipedia.com/localhost/v1/":): {\textstyle x_\alpha=0.63} , we have different Failed to parse (MathML with SVG or PNG fallback (recommended for modern browsers and accessibility tools): Invalid response ("Math extension cannot connect to Restbase.") from server "https://mathoid.scipedia.com/localhost/v1/":): {\textstyle h_R/h}

values for different Failed to parse (MathML with SVG or PNG fallback (recommended for modern browsers and accessibility tools): Invalid response ("Math extension cannot connect to Restbase.") from server "https://mathoid.scipedia.com/localhost/v1/":): {\textstyle N}
numbers. Figure 2 shows the numerical and exact solution when the interface is located at these two values using Failed to parse (MathML with SVG or PNG fallback (recommended for modern browsers and accessibility tools): Invalid response ("Math extension cannot connect to Restbase.") from server "https://mathoid.scipedia.com/localhost/v1/":): {\textstyle N = 40}

. As expected, the exact solution is accurately recovered for both cases.

Numerical and exact solution of Example 2 using N = 40 using (a) x_α= 0.4, and (b) x_α= 0.63.
Figure 2: Numerical and exact solution of Example 2 using Failed to parse (MathML with SVG or PNG fallback (recommended for modern browsers and accessibility tools): Invalid response ("Math extension cannot connect to Restbase.") from server "https://mathoid.scipedia.com/localhost/v1/":): N = 40
using (a) Failed to parse (MathML with SVG or PNG fallback (recommended for modern browsers and accessibility tools): Invalid response ("Math extension cannot connect to Restbase.") from server "https://mathoid.scipedia.com/localhost/v1/":): x_\alpha = 0.4

, and (b) Failed to parse (MathML with SVG or PNG fallback (recommended for modern browsers and accessibility tools): Invalid response ("Math extension cannot connect to Restbase.") from server "https://mathoid.scipedia.com/localhost/v1/":): x_\alpha = 0.63 .

Table 2 shows the convergence analysis for Example 2 for the two Failed to parse (MathML with SVG or PNG fallback (recommended for modern browsers and accessibility tools): Invalid response ("Math extension cannot connect to Restbase.") from server "https://mathoid.scipedia.com/localhost/v1/":): {\textstyle x_\alpha }

values. Observe that a second-order method is recovered for Failed to parse (MathML with SVG or PNG fallback (recommended for modern browsers and accessibility tools): Invalid response ("Math extension cannot connect to Restbase.") from server "https://mathoid.scipedia.com/localhost/v1/":): {\textstyle b = 0}
and a fourth-order method for Failed to parse (MathML with SVG or PNG fallback (recommended for modern browsers and accessibility tools): Invalid response ("Math extension cannot connect to Restbase.") from server "https://mathoid.scipedia.com/localhost/v1/":): {\textstyle b=1/12}

. As expected, the IFD-IIM numerical order does not depend on the location of the interface. However, the magnitude of the error may present minor variations due to the interface position. Figure 3 shows the error analysis corresponding to interface locations Failed to parse (MathML with SVG or PNG fallback (recommended for modern browsers and accessibility tools): Invalid response ("Math extension cannot connect to Restbase.") from server "https://mathoid.scipedia.com/localhost/v1/":): {\textstyle x_\alpha = 0.40}

and Failed to parse (MathML with SVG or PNG fallback (recommended for modern browsers and accessibility tools): Invalid response ("Math extension cannot connect to Restbase.") from server "https://mathoid.scipedia.com/localhost/v1/":): {\textstyle x_\alpha = 0.63}
for Failed to parse (MathML with SVG or PNG fallback (recommended for modern browsers and accessibility tools): Invalid response ("Math extension cannot connect to Restbase.") from server "https://mathoid.scipedia.com/localhost/v1/":): {\textstyle N = 10,11,12, \dots ,320}

.


Table. 2 Convergence analysis of Example 2 using the IFD-IIM.
0.95 @c cccc cccc
(rrrr)2-5 (rrrr)6-9
(rr)2-3 (rr)4-5 (rr)6-7 (rr)8-9 Failed to parse (MathML with SVG or PNG fallback (recommended for modern browsers and accessibility tools): Invalid response ("Math extension cannot connect to Restbase.") from server "https://mathoid.scipedia.com/localhost/v1/":): {\textstyle N} Failed to parse (MathML with SVG or PNG fallback (recommended for modern browsers and accessibility tools): Invalid response ("Math extension cannot connect to Restbase.") from server "https://mathoid.scipedia.com/localhost/v1/":): {\textstyle L_\infty }

-norm

Order Failed to parse (MathML with SVG or PNG fallback (recommended for modern browsers and accessibility tools): Invalid response ("Math extension cannot connect to Restbase.") from server "https://mathoid.scipedia.com/localhost/v1/":): {\textstyle L_\infty }

-norm

Order Failed to parse (MathML with SVG or PNG fallback (recommended for modern browsers and accessibility tools): Invalid response ("Math extension cannot connect to Restbase.") from server "https://mathoid.scipedia.com/localhost/v1/":): {\textstyle L_\infty }

-norm

Order Failed to parse (MathML with SVG or PNG fallback (recommended for modern browsers and accessibility tools): Invalid response ("Math extension cannot connect to Restbase.") from server "https://mathoid.scipedia.com/localhost/v1/":): {\textstyle L_\infty }

-norm

Order
10 1.69e-02 –- 5.19e-03 –- 5.75e-05 –- 3.42e-05 –-
20 4.21e-03 2.00 1.18e-03 2.13 3.58e-06 4.00 1.97e-06 4.12
40 1.05e-03 2.00 3.07e-04 1.95 2.24e-07 4.00 1.39e-07 3.82
80 2.63e-04 2.00 7.53e-05 2.03 1.40e-08 4.00 7.75e-09 4.16
160 6.57e-05 2.00 1.86e-05 2.01 8.74e-10 4.00 5.37e-10 3.85
LSM 2.04 2.02 4.00 3.99
Convergence analysis of Example 2 for N = 10,\dots ,320 using (a) x_α= 0.40, and (b) x_α= 0.63.
Figure 3: Convergence analysis of Example 2 for Failed to parse (MathML with SVG or PNG fallback (recommended for modern browsers and accessibility tools): Invalid response ("Math extension cannot connect to Restbase.") from server "https://mathoid.scipedia.com/localhost/v1/":): N = 10,\dots ,320
using (a) Failed to parse (MathML with SVG or PNG fallback (recommended for modern browsers and accessibility tools): Invalid response ("Math extension cannot connect to Restbase.") from server "https://mathoid.scipedia.com/localhost/v1/":): x_\alpha = 0.40

, and (b) Failed to parse (MathML with SVG or PNG fallback (recommended for modern browsers and accessibility tools): Invalid response ("Math extension cannot connect to Restbase.") from server "https://mathoid.scipedia.com/localhost/v1/":): x_\alpha = 0.63 .

The contribution formula includes jumps Failed to parse (MathML with SVG or PNG fallback (recommended for modern browsers and accessibility tools): Invalid response ("Math extension cannot connect to Restbase.") from server "https://mathoid.scipedia.com/localhost/v1/":): {\textstyle [u]} , Failed to parse (MathML with SVG or PNG fallback (recommended for modern browsers and accessibility tools): Invalid response ("Math extension cannot connect to Restbase.") from server "https://mathoid.scipedia.com/localhost/v1/":): {\textstyle [u_x]} , Failed to parse (MathML with SVG or PNG fallback (recommended for modern browsers and accessibility tools): Invalid response ("Math extension cannot connect to Restbase.") from server "https://mathoid.scipedia.com/localhost/v1/":): {\textstyle [u_{xx}]} , Failed to parse (MathML with SVG or PNG fallback (recommended for modern browsers and accessibility tools): Invalid response ("Math extension cannot connect to Restbase.") from server "https://mathoid.scipedia.com/localhost/v1/":): {\textstyle [u_{xxx}]} , and Failed to parse (MathML with SVG or PNG fallback (recommended for modern browsers and accessibility tools): Invalid response ("Math extension cannot connect to Restbase.") from server "https://mathoid.scipedia.com/localhost/v1/":): {\textstyle [u_{xxxx}]}

to obtain a fourth-order accurate method. Fig. 4 shows that if we add additional jumps of high-order derivatives into Failed to parse (MathML with SVG or PNG fallback (recommended for modern browsers and accessibility tools): Invalid response ("Math extension cannot connect to Restbase.") from server "https://mathoid.scipedia.com/localhost/v1/":): {\textstyle \mathcal{C}}

, such as Failed to parse (MathML with SVG or PNG fallback (recommended for modern browsers and accessibility tools): Invalid response ("Math extension cannot connect to Restbase.") from server "https://mathoid.scipedia.com/localhost/v1/":): {\textstyle [u_{xxxxx}]=[f_{xxx}]} , we observe that the error oscillation decreases in comparison with Fig. 3 results. It is expected because the method is Failed to parse (MathML with SVG or PNG fallback (recommended for modern browsers and accessibility tools): Invalid response ("Math extension cannot connect to Restbase.") from server "https://mathoid.scipedia.com/localhost/v1/":): {\textstyle O(h^4)}

for the whole computational domain, including the irregular points. Thus, we can mitigate error oscillations due to interface position by adding high-order jumps.
Convergence analysis of Example 2 for N = 10,\dots ,320 using (a) α= 0.40, and (b) α= 0.63. The contribution term includes jumps up to fifth-order ([uₓₓₓₓₓ]=[fₓₓₓ]).
Figure 4: Convergence analysis of Example 2 for Failed to parse (MathML with SVG or PNG fallback (recommended for modern browsers and accessibility tools): Invalid response ("Math extension cannot connect to Restbase.") from server "https://mathoid.scipedia.com/localhost/v1/":): N = 10,\dots ,320
using (a) Failed to parse (MathML with SVG or PNG fallback (recommended for modern browsers and accessibility tools): Invalid response ("Math extension cannot connect to Restbase.") from server "https://mathoid.scipedia.com/localhost/v1/":): \alpha = 0.40

, and (b) Failed to parse (MathML with SVG or PNG fallback (recommended for modern browsers and accessibility tools): Invalid response ("Math extension cannot connect to Restbase.") from server "https://mathoid.scipedia.com/localhost/v1/":): \alpha = 0.63 . The contribution term includes jumps up to fifth-order (Failed to parse (MathML with SVG or PNG fallback (recommended for modern browsers and accessibility tools): Invalid response ("Math extension cannot connect to Restbase.") from server "https://mathoid.scipedia.com/localhost/v1/":): [u_{xxxxx}]=[f_{xxx}] ).

Now we study the effect of removing jumps in Failed to parse (MathML with SVG or PNG fallback (recommended for modern browsers and accessibility tools): Invalid response ("Math extension cannot connect to Restbase.") from server "https://mathoid.scipedia.com/localhost/v1/":): {\textstyle \mathcal{C}} . Let us consider a contribution term up to the third derivative jump by dropping Failed to parse (MathML with SVG or PNG fallback (recommended for modern browsers and accessibility tools): Invalid response ("Math extension cannot connect to Restbase.") from server "https://mathoid.scipedia.com/localhost/v1/":): {\textstyle [u_{xxxx}]=[f_{xx}]} . Thus, the numerical approximation is only third-order accurate, as shown in Fig. 5 for different interface values. Note that error oscillations may have a clear pattern or a random distribution depending on the interface location. In general, the error magnitude perturbations are related to the variations coming from Failed to parse (MathML with SVG or PNG fallback (recommended for modern browsers and accessibility tools): Invalid response ("Math extension cannot connect to Restbase.") from server "https://mathoid.scipedia.com/localhost/v1/":): {\textstyle h_R/h}

and Failed to parse (MathML with SVG or PNG fallback (recommended for modern browsers and accessibility tools): Invalid response ("Math extension cannot connect to Restbase.") from server "https://mathoid.scipedia.com/localhost/v1/":): {\textstyle h_L/h}
values in the Failed to parse (MathML with SVG or PNG fallback (recommended for modern browsers and accessibility tools): Invalid response ("Math extension cannot connect to Restbase.") from server "https://mathoid.scipedia.com/localhost/v1/":): {\textstyle \mathcal{C}}
formula (26).
Convergence analysis of Example 2 for N = 10,\dots ,320 using (a) α= 0.40, and (b) α= 0.63. The contribution term includes jumps up to third-order ([uₓₓₓ]=[fₓ]).
Figure 5: Convergence analysis of Example 2 for Failed to parse (MathML with SVG or PNG fallback (recommended for modern browsers and accessibility tools): Invalid response ("Math extension cannot connect to Restbase.") from server "https://mathoid.scipedia.com/localhost/v1/":): N = 10,\dots ,320
using (a) Failed to parse (MathML with SVG or PNG fallback (recommended for modern browsers and accessibility tools): Invalid response ("Math extension cannot connect to Restbase.") from server "https://mathoid.scipedia.com/localhost/v1/":): \alpha = 0.40

, and (b) Failed to parse (MathML with SVG or PNG fallback (recommended for modern browsers and accessibility tools): Invalid response ("Math extension cannot connect to Restbase.") from server "https://mathoid.scipedia.com/localhost/v1/":): \alpha = 0.63 . The contribution term includes jumps up to third-order (Failed to parse (MathML with SVG or PNG fallback (recommended for modern browsers and accessibility tools): Invalid response ("Math extension cannot connect to Restbase.") from server "https://mathoid.scipedia.com/localhost/v1/":): [u_{xxx}]=[f_{x}] ).

Note that there are some points in Fig. 5, marked with circles, that are close to the fourth-order line. Those circled markers correspond to the values with Failed to parse (MathML with SVG or PNG fallback (recommended for modern browsers and accessibility tools): Invalid response ("Math extension cannot connect to Restbase.") from server "https://mathoid.scipedia.com/localhost/v1/":): {\textstyle h_R/h=1}

(a) Failed to parse (MathML with SVG or PNG fallback (recommended for modern browsers and accessibility tools): Invalid response ("Math extension cannot connect to Restbase.") from server "https://mathoid.scipedia.com/localhost/v1/":): {\textstyle N = 5,10,15,\dots ,315}
for Failed to parse (MathML with SVG or PNG fallback (recommended for modern browsers and accessibility tools): Invalid response ("Math extension cannot connect to Restbase.") from server "https://mathoid.scipedia.com/localhost/v1/":): {\textstyle x_\alpha=0.40}

, and (b) Failed to parse (MathML with SVG or PNG fallback (recommended for modern browsers and accessibility tools): Invalid response ("Math extension cannot connect to Restbase.") from server "https://mathoid.scipedia.com/localhost/v1/":): {\textstyle N = 100, 200, 300}

for Failed to parse (MathML with SVG or PNG fallback (recommended for modern browsers and accessibility tools): Invalid response ("Math extension cannot connect to Restbase.") from server "https://mathoid.scipedia.com/localhost/v1/":): {\textstyle x_\alpha=0.63}

. Both set of points satisfy that the interface Failed to parse (MathML with SVG or PNG fallback (recommended for modern browsers and accessibility tools): Invalid response ("Math extension cannot connect to Restbase.") from server "https://mathoid.scipedia.com/localhost/v1/":): {\textstyle x_\alpha }

is located at a grid point Failed to parse (MathML with SVG or PNG fallback (recommended for modern browsers and accessibility tools): Invalid response ("Math extension cannot connect to Restbase.") from server "https://mathoid.scipedia.com/localhost/v1/":): {\textstyle x_I}

. In the case of Failed to parse (MathML with SVG or PNG fallback (recommended for modern browsers and accessibility tools): Invalid response ("Math extension cannot connect to Restbase.") from server "https://mathoid.scipedia.com/localhost/v1/":): {\textstyle x_\alpha=0.4} , we observe that the global order (black points) is close to Failed to parse (MathML with SVG or PNG fallback (recommended for modern browsers and accessibility tools): Invalid response ("Math extension cannot connect to Restbase.") from server "https://mathoid.scipedia.com/localhost/v1/":): {\textstyle 3.21}

meanwhile, the circled points order is four. Similar behavior is obtained for Failed to parse (MathML with SVG or PNG fallback (recommended for modern browsers and accessibility tools): Invalid response ("Math extension cannot connect to Restbase.") from server "https://mathoid.scipedia.com/localhost/v1/":): {\textstyle x_\alpha=0.63}

. Thus, for a given mesh resolution Failed to parse (MathML with SVG or PNG fallback (recommended for modern browsers and accessibility tools): Invalid response ("Math extension cannot connect to Restbase.") from server "https://mathoid.scipedia.com/localhost/v1/":): {\textstyle N} , the IFD-IIM is still fourth-order accurate for Failed to parse (MathML with SVG or PNG fallback (recommended for modern browsers and accessibility tools): Invalid response ("Math extension cannot connect to Restbase.") from server "https://mathoid.scipedia.com/localhost/v1/":): {\textstyle h_R/h = 1} , as proven theoretically in Section 3.2.

5.3 Example 3. Poison equation with multiple interface points

Example 3 investigates the numerical scheme capability to solve a multiple interface problem. We only focus on two interface points located at Failed to parse (MathML with SVG or PNG fallback (recommended for modern browsers and accessibility tools): Invalid response ("Math extension cannot connect to Restbase.") from server "https://mathoid.scipedia.com/localhost/v1/":): {\textstyle x = x_{\alpha _1}}

and Failed to parse (MathML with SVG or PNG fallback (recommended for modern browsers and accessibility tools): Invalid response ("Math extension cannot connect to Restbase.") from server "https://mathoid.scipedia.com/localhost/v1/":): {\textstyle x = x_{\alpha _2}}

. However, the methodology could be applied for multiple interfaces by doing minor modifications in the implementation. For this problem, the exact solution of the Poisson problem is given by

Failed to parse (MathML with SVG or PNG fallback (recommended for modern browsers and accessibility tools): Invalid response ("Math extension cannot connect to Restbase.") from server "https://mathoid.scipedia.com/localhost/v1/":): u(x) = \begin{cases}\sin (2\pi x), & x\leq x_{\alpha _1},\\ \cos (2\pi x), & x_{\alpha _1}<x \leq x_{\alpha _2}, \\ \sin (2\pi x), & x_{\alpha _2} < x. \end{cases}
(42)

The right-hand function is obtained directly from the exact solution (42). We consider the same computational domain and grid resolution as previous 1D examples. Fig. 6 presents the analytical and numerical solution when the interface is located at Failed to parse (MathML with SVG or PNG fallback (recommended for modern browsers and accessibility tools): Invalid response ("Math extension cannot connect to Restbase.") from server "https://mathoid.scipedia.com/localhost/v1/":): {\textstyle x_{\alpha _1}= 0.3}

and Failed to parse (MathML with SVG or PNG fallback (recommended for modern browsers and accessibility tools): Invalid response ("Math extension cannot connect to Restbase.") from server "https://mathoid.scipedia.com/localhost/v1/":): {\textstyle x_{\alpha _2} = 0.7}
using Failed to parse (MathML with SVG or PNG fallback (recommended for modern browsers and accessibility tools): Invalid response ("Math extension cannot connect to Restbase.") from server "https://mathoid.scipedia.com/localhost/v1/":): {\textstyle N=40}

. This figure also shows the error analysis. As expected, the IFD-IIM is a fourth-order accurate method.

(a) Numerical and exact solution of Example 3 with multiple interfaces using N = 40, and (b) convergence error analysis using different grid resolutions.
Figure 6: (a) Numerical and exact solution of Example 3 with multiple interfaces using Failed to parse (MathML with SVG or PNG fallback (recommended for modern browsers and accessibility tools): Invalid response ("Math extension cannot connect to Restbase.") from server "https://mathoid.scipedia.com/localhost/v1/":): N = 40

, and (b) convergence error analysis using different grid resolutions.

6 Numerical results for the Heat equation

This section tests the IFD-IIM for the Heat conduction equation in different scenarios. Example 4 verifies the fourth-order implicit method for smooth solutions in space. Example 5 studies a Heat equation with a discontinuous solution in a single interface point and no source term. Finally, Example 6 presents a general discontinuous problem. For the all these examples, the computational domain is the same interval Failed to parse (MathML with SVG or PNG fallback (recommended for modern browsers and accessibility tools): Invalid response ("Math extension cannot connect to Restbase.") from server "https://mathoid.scipedia.com/localhost/v1/":): {\textstyle [0,1]}

and space step, Failed to parse (MathML with SVG or PNG fallback (recommended for modern browsers and accessibility tools): Invalid response ("Math extension cannot connect to Restbase.") from server "https://mathoid.scipedia.com/localhost/v1/":): {\textstyle h}

, used for the Poisson examples. Here, the final time is at Failed to parse (MathML with SVG or PNG fallback (recommended for modern browsers and accessibility tools): Invalid response ("Math extension cannot connect to Restbase.") from server "https://mathoid.scipedia.com/localhost/v1/":): {\textstyle T=0.5}

and the time step is Failed to parse (MathML with SVG or PNG fallback (recommended for modern browsers and accessibility tools): Invalid response ("Math extension cannot connect to Restbase.") from server "https://mathoid.scipedia.com/localhost/v1/":): {\textstyle \Delta t = \frac{1}{4}h^2}

. The error and estimated order of accuracy are reported using (38) and (39), respectively, at the final step approximation.

6.1 Example 4. Heat equation with smooth solution

This example is constructed so that the exact solution is

Failed to parse (MathML with SVG or PNG fallback (recommended for modern browsers and accessibility tools): Invalid response ("Math extension cannot connect to Restbase.") from server "https://mathoid.scipedia.com/localhost/v1/":): u(x,t) = \sin \left(\frac{3}{2}\pi x\right)\exp (-t),
(43)

where the source term Failed to parse (MathML with SVG or PNG fallback (recommended for modern browsers and accessibility tools): Invalid response ("Math extension cannot connect to Restbase.") from server "https://mathoid.scipedia.com/localhost/v1/":): {\textstyle f}

is derived from (27) and (43). The initial and boundary conditions are also obtained from the exact solution. The convergence analysis of this example is presented in Table 3 with the final time being Failed to parse (MathML with SVG or PNG fallback (recommended for modern browsers and accessibility tools): Invalid response ("Math extension cannot connect to Restbase.") from server "https://mathoid.scipedia.com/localhost/v1/":): {\textstyle T = 0.5}

. As expected, the high-order methods reach their corresponding order of accuracy.


Table. 3 Convergence analysis of Example 4 testing a heat equation with smooth solution.
0.95 @c cccc cccc
(rr)2-5 (rr)6-9 Failed to parse (MathML with SVG or PNG fallback (recommended for modern browsers and accessibility tools): Invalid response ("Math extension cannot connect to Restbase.") from server "https://mathoid.scipedia.com/localhost/v1/":): {\textstyle N} Failed to parse (MathML with SVG or PNG fallback (recommended for modern browsers and accessibility tools): Invalid response ("Math extension cannot connect to Restbase.") from server "https://mathoid.scipedia.com/localhost/v1/":): {\textstyle L_\infty }

-norm

Order Failed to parse (MathML with SVG or PNG fallback (recommended for modern browsers and accessibility tools): Invalid response ("Math extension cannot connect to Restbase.") from server "https://mathoid.scipedia.com/localhost/v1/":): {\textstyle L_2}

-norm

Order Failed to parse (MathML with SVG or PNG fallback (recommended for modern browsers and accessibility tools): Invalid response ("Math extension cannot connect to Restbase.") from server "https://mathoid.scipedia.com/localhost/v1/":): {\textstyle L_\infty }

-norm

Order Failed to parse (MathML with SVG or PNG fallback (recommended for modern browsers and accessibility tools): Invalid response ("Math extension cannot connect to Restbase.") from server "https://mathoid.scipedia.com/localhost/v1/":): {\textstyle L_2}

-norm

Order
10 1.66e-02 –- 1.07e-02 –- 1.84e-04 –- 1.18e-04 –-
20 4.12e-03 2.01 2.65e-03 2.01 1.14e-05 4.01 7.34e-06 4.01
40 1.03e-03 2.00 6.60e-04 2.00 7.15e-07 4.00 4.58e-07 4.00
80 2.58e-04 2.00 1.65e-04 2.00 4.47e-08 4.00 2.86e-08 4.00
160 6.44e-05 2.00 4.12e-05 2.00 2.79e-09 4.00 1.79e-09 4.00
LSM 2.00 2.00 4.00 4.00

6.2 Example 5. Heat equation with discontinuous solution

In this example, the exact solution Failed to parse (MathML with SVG or PNG fallback (recommended for modern browsers and accessibility tools): Invalid response ("Math extension cannot connect to Restbase.") from server "https://mathoid.scipedia.com/localhost/v1/":): {\textstyle u}

is defined as

Failed to parse (MathML with SVG or PNG fallback (recommended for modern browsers and accessibility tools): Invalid response ("Math extension cannot connect to Restbase.") from server "https://mathoid.scipedia.com/localhost/v1/":): u(x) = \begin{cases}\sin (x)\exp (-t), & x\leq x_\alpha ,\\ \cos (x)\exp (-t), & x > x_\alpha{.} \end{cases}
(44)

The source term Failed to parse (MathML with SVG or PNG fallback (recommended for modern browsers and accessibility tools): Invalid response ("Math extension cannot connect to Restbase.") from server "https://mathoid.scipedia.com/localhost/v1/":): {\textstyle f}

of this problem is Failed to parse (MathML with SVG or PNG fallback (recommended for modern browsers and accessibility tools): Invalid response ("Math extension cannot connect to Restbase.") from server "https://mathoid.scipedia.com/localhost/v1/":): {\textstyle f\equiv 0}

. In this example, both the function Failed to parse (MathML with SVG or PNG fallback (recommended for modern browsers and accessibility tools): Invalid response ("Math extension cannot connect to Restbase.") from server "https://mathoid.scipedia.com/localhost/v1/":): {\textstyle u}

and their derivatives have jumps, and these jumps vary in time. The boundary condition, initial condition, and all jumps are specified by Failed to parse (MathML with SVG or PNG fallback (recommended for modern browsers and accessibility tools): Invalid response ("Math extension cannot connect to Restbase.") from server "https://mathoid.scipedia.com/localhost/v1/":): {\textstyle u}

.

The figure of numerical solution and absolute error plot using Failed to parse (MathML with SVG or PNG fallback (recommended for modern browsers and accessibility tools): Invalid response ("Math extension cannot connect to Restbase.") from server "https://mathoid.scipedia.com/localhost/v1/":): {\textstyle N=40}

for different time stages are shown in Fig. 7. On the other hand, the one-dimensional results at Failed to parse (MathML with SVG or PNG fallback (recommended for modern browsers and accessibility tools): Invalid response ("Math extension cannot connect to Restbase.") from server "https://mathoid.scipedia.com/localhost/v1/":): {\textstyle T=0.5}
are presented in Figs. 8 and 9. More details of the grid refinement analysis at Failed to parse (MathML with SVG or PNG fallback (recommended for modern browsers and accessibility tools): Invalid response ("Math extension cannot connect to Restbase.") from server "https://mathoid.scipedia.com/localhost/v1/":): {\textstyle T=0.5}
is presented in Table 4 for two different interface point locations. As expected, a fourth-order method is obtained for both interfaces. We remark that the variation of the errors using Failed to parse (MathML with SVG or PNG fallback (recommended for modern browsers and accessibility tools): Invalid response ("Math extension cannot connect to Restbase.") from server "https://mathoid.scipedia.com/localhost/v1/":): {\textstyle x_\alpha=0.63}
is because the different Failed to parse (MathML with SVG or PNG fallback (recommended for modern browsers and accessibility tools): Invalid response ("Math extension cannot connect to Restbase.") from server "https://mathoid.scipedia.com/localhost/v1/":): {\textstyle h_R/h}
values resulting from the discretization.
Numerical solution and absolute error of Example 5 using N = 40, x_α=0.4 for tퟄ[0,0.5].
Figure 7: Numerical solution and absolute error of Example 5 using Failed to parse (MathML with SVG or PNG fallback (recommended for modern browsers and accessibility tools): Invalid response ("Math extension cannot connect to Restbase.") from server "https://mathoid.scipedia.com/localhost/v1/":): N = 40

, Failed to parse (MathML with SVG or PNG fallback (recommended for modern browsers and accessibility tools): Invalid response ("Math extension cannot connect to Restbase.") from server "https://mathoid.scipedia.com/localhost/v1/":): x_\alpha=0.4

for Failed to parse (MathML with SVG or PNG fallback (recommended for modern browsers and accessibility tools): Invalid response ("Math extension cannot connect to Restbase.") from server "https://mathoid.scipedia.com/localhost/v1/":): t\in [0,0.5]

.

Numerical results at final time simulation T=0.5 and x_α=0.4 of Example 5.
Figure 8: Numerical results at final time simulation Failed to parse (MathML with SVG or PNG fallback (recommended for modern browsers and accessibility tools): Invalid response ("Math extension cannot connect to Restbase.") from server "https://mathoid.scipedia.com/localhost/v1/":): T=0.5
and Failed to parse (MathML with SVG or PNG fallback (recommended for modern browsers and accessibility tools): Invalid response ("Math extension cannot connect to Restbase.") from server "https://mathoid.scipedia.com/localhost/v1/":): x_\alpha=0.4
of Example 5.
Numerical results at final time simulation T=0.5 and x_α=0.63 of Example 5.
Figure 9: Numerical results at final time simulation Failed to parse (MathML with SVG or PNG fallback (recommended for modern browsers and accessibility tools): Invalid response ("Math extension cannot connect to Restbase.") from server "https://mathoid.scipedia.com/localhost/v1/":): T=0.5
and Failed to parse (MathML with SVG or PNG fallback (recommended for modern browsers and accessibility tools): Invalid response ("Math extension cannot connect to Restbase.") from server "https://mathoid.scipedia.com/localhost/v1/":): x_\alpha=0.63
of Example 5.
Table. 4 Convergence analysis of Example 5 using the IFD-IIM for the heat equation with a discontinuous solution.
0.95 @c cccc cccc
(rr)2-5 (rr)6-9 Failed to parse (MathML with SVG or PNG fallback (recommended for modern browsers and accessibility tools): Invalid response ("Math extension cannot connect to Restbase.") from server "https://mathoid.scipedia.com/localhost/v1/":): {\textstyle N} Failed to parse (MathML with SVG or PNG fallback (recommended for modern browsers and accessibility tools): Invalid response ("Math extension cannot connect to Restbase.") from server "https://mathoid.scipedia.com/localhost/v1/":): {\textstyle L_\infty }

-norm

Order Failed to parse (MathML with SVG or PNG fallback (recommended for modern browsers and accessibility tools): Invalid response ("Math extension cannot connect to Restbase.") from server "https://mathoid.scipedia.com/localhost/v1/":): {\textstyle L_2}

-norm

Order Failed to parse (MathML with SVG or PNG fallback (recommended for modern browsers and accessibility tools): Invalid response ("Math extension cannot connect to Restbase.") from server "https://mathoid.scipedia.com/localhost/v1/":): {\textstyle L_\infty }

-norm

Order Failed to parse (MathML with SVG or PNG fallback (recommended for modern browsers and accessibility tools): Invalid response ("Math extension cannot connect to Restbase.") from server "https://mathoid.scipedia.com/localhost/v1/":): {\textstyle L_2}

-norm

Order
10 1.11e-07 –- 6.52e-08 –- 7.57e-08 –- 4.49e-08 –-
20 6.90e-09 4.01 4.01e-09 4.02 3.75e-09 4.34 2.25e-09 4.32
40 4.29e-10 4.00 2.49e-10 4.01 3.58e-10 3.39 2.09e-10 4.43
80 2.68e-11 4.00 1.55e-11 4.00 1.53e-11 4.55 8.93e-12 4.55
160 1.63e-12 4.03 9.39e-13 4.04 1.35e-12 3.50 7.82e-13 3.51
LSM 4.01 4.02 3.95 3.96

From Table 5, we can find the results when the time step is chosen as Failed to parse (MathML with SVG or PNG fallback (recommended for modern browsers and accessibility tools): Invalid response ("Math extension cannot connect to Restbase.") from server "https://mathoid.scipedia.com/localhost/v1/":): {\textstyle \Delta t = h} . As expected, the proposed IFD-IIM is stable and has two-order convergence either we take a second- or fourth-order approximation in space. We remark that this is a property of the selected time integration method. For instance, similar findings as Table 5 can be obtained for smooth solutions.


Table. 5 Convergence analysis of Example 5 testing the heat equation with Failed to parse (MathML with SVG or PNG fallback (recommended for modern browsers and accessibility tools): Invalid response ("Math extension cannot connect to Restbase.") from server "https://mathoid.scipedia.com/localhost/v1/":): \Delta t=h .
0.95 @c cccc cccc
(rr)2-5 (rr)6-9 Failed to parse (MathML with SVG or PNG fallback (recommended for modern browsers and accessibility tools): Invalid response ("Math extension cannot connect to Restbase.") from server "https://mathoid.scipedia.com/localhost/v1/":): {\textstyle N} Failed to parse (MathML with SVG or PNG fallback (recommended for modern browsers and accessibility tools): Invalid response ("Math extension cannot connect to Restbase.") from server "https://mathoid.scipedia.com/localhost/v1/":): {\textstyle L_\infty }

-norm

Order Failed to parse (MathML with SVG or PNG fallback (recommended for modern browsers and accessibility tools): Invalid response ("Math extension cannot connect to Restbase.") from server "https://mathoid.scipedia.com/localhost/v1/":): {\textstyle L_2}

-norm

Order Failed to parse (MathML with SVG or PNG fallback (recommended for modern browsers and accessibility tools): Invalid response ("Math extension cannot connect to Restbase.") from server "https://mathoid.scipedia.com/localhost/v1/":): {\textstyle L_\infty }

-norm

Order Failed to parse (MathML with SVG or PNG fallback (recommended for modern browsers and accessibility tools): Invalid response ("Math extension cannot connect to Restbase.") from server "https://mathoid.scipedia.com/localhost/v1/":): {\textstyle L_2}

-norm

Order
10 2.94e-04 –- 1.87e-04 –- 3.78e-05 –- 2.67e-05 –-
20 8.53e-05 1.78 4.85e-05 1.95 1.03e-05 1.87 7.22e-06 1.89
40 2.11e-05 2.01 1.26e-05 1.94 2.74e-06 1.91 1.92e-06 1.91
80 5.31e-06 1.99 3.15e-06 2.00 6.91e-07 1.99 4.83e-07 1.99
160 1.34e-06 1.99 7.83e-07 2.00 1.72e-07 2.00 1.21e-07 2.00
LSM 1.96 1.97 1.95 1.95

6.3 Example 6. Heat equation with a general discontinuous solution

Finally, Example 6 investigates the capability to solve a heat interface problem with a general discontinuous solution. For this problem, we slightly modified the previous example such that the exact solution of the heat conduction problem is given by

Failed to parse (MathML with SVG or PNG fallback (recommended for modern browsers and accessibility tools): Invalid response ("Math extension cannot connect to Restbase.") from server "https://mathoid.scipedia.com/localhost/v1/":): u(x) = \begin{cases}\sin (2\pi x)\exp (-t), & x\leq x_{\alpha },\\ \cos (2\pi x)\exp (-t), & x > x_{\alpha }. \end{cases}
(45)

Here, the source term Failed to parse (MathML with SVG or PNG fallback (recommended for modern browsers and accessibility tools): Invalid response ("Math extension cannot connect to Restbase.") from server "https://mathoid.scipedia.com/localhost/v1/":): {\textstyle f}

is a general function that varies both in time and space. It is directly derived from equation (27) as well as the exact solution (45). Furthermore, the exact solution is utilized to specify the boundary condition, initial condition, and all jumps contributions.

In Fig. 10, we depict the temporal evolution of the numerical solution and absolute errors using parameters Failed to parse (MathML with SVG or PNG fallback (recommended for modern browsers and accessibility tools): Invalid response ("Math extension cannot connect to Restbase.") from server "https://mathoid.scipedia.com/localhost/v1/":): {\textstyle N=40}

and Failed to parse (MathML with SVG or PNG fallback (recommended for modern browsers and accessibility tools): Invalid response ("Math extension cannot connect to Restbase.") from server "https://mathoid.scipedia.com/localhost/v1/":): {\textstyle x_\alpha=0.4}

. It is noteworthy that the behavior of the solution differs from the previous example. More in-depth analysis of the results at Failed to parse (MathML with SVG or PNG fallback (recommended for modern browsers and accessibility tools): Invalid response ("Math extension cannot connect to Restbase.") from server "https://mathoid.scipedia.com/localhost/v1/":): {\textstyle T = 0.5}

are illustrated in Figs. 11 and 12, corresponding to values of Failed to parse (MathML with SVG or PNG fallback (recommended for modern browsers and accessibility tools): Invalid response ("Math extension cannot connect to Restbase.") from server "https://mathoid.scipedia.com/localhost/v1/":): {\textstyle x_\alpha=0.4}
and Failed to parse (MathML with SVG or PNG fallback (recommended for modern browsers and accessibility tools): Invalid response ("Math extension cannot connect to Restbase.") from server "https://mathoid.scipedia.com/localhost/v1/":): {\textstyle x_\alpha=0.63}

, respectively. Grid refinement analyses are also provided in these figures. As anticipated, the IFD-IIM method demonstrates fourth-order accuracy, a validation that is further detailed in Table 6.

Numerical solution and absolute error of Example 6 using N = 40, x_α=0.4 for tퟄ[0,0.5].
Figure 10: Numerical solution and absolute error of Example 6 using Failed to parse (MathML with SVG or PNG fallback (recommended for modern browsers and accessibility tools): Invalid response ("Math extension cannot connect to Restbase.") from server "https://mathoid.scipedia.com/localhost/v1/":): N = 40

, Failed to parse (MathML with SVG or PNG fallback (recommended for modern browsers and accessibility tools): Invalid response ("Math extension cannot connect to Restbase.") from server "https://mathoid.scipedia.com/localhost/v1/":): x_\alpha=0.4

for Failed to parse (MathML with SVG or PNG fallback (recommended for modern browsers and accessibility tools): Invalid response ("Math extension cannot connect to Restbase.") from server "https://mathoid.scipedia.com/localhost/v1/":): t\in [0,0.5]

.

Numerical results at final time simulation T=0.5 and x_α=0.4 of Example 6.
Figure 11: Numerical results at final time simulation Failed to parse (MathML with SVG or PNG fallback (recommended for modern browsers and accessibility tools): Invalid response ("Math extension cannot connect to Restbase.") from server "https://mathoid.scipedia.com/localhost/v1/":): T=0.5
and Failed to parse (MathML with SVG or PNG fallback (recommended for modern browsers and accessibility tools): Invalid response ("Math extension cannot connect to Restbase.") from server "https://mathoid.scipedia.com/localhost/v1/":): x_\alpha=0.4
of Example 6.
Numerical results at final time simulation T=0.5 and x_α=0.63 of Example 6.
Figure 12: Numerical results at final time simulation Failed to parse (MathML with SVG or PNG fallback (recommended for modern browsers and accessibility tools): Invalid response ("Math extension cannot connect to Restbase.") from server "https://mathoid.scipedia.com/localhost/v1/":): T=0.5
and Failed to parse (MathML with SVG or PNG fallback (recommended for modern browsers and accessibility tools): Invalid response ("Math extension cannot connect to Restbase.") from server "https://mathoid.scipedia.com/localhost/v1/":): x_\alpha=0.63
of Example 6.
Table. 6 Convergence analysis of Example 6 using the IFD-IIM for the heat equation with a general discontinuous solution.
0.95 @c cccc cccc
(rr)2-5 (rr)6-9 Failed to parse (MathML with SVG or PNG fallback (recommended for modern browsers and accessibility tools): Invalid response ("Math extension cannot connect to Restbase.") from server "https://mathoid.scipedia.com/localhost/v1/":): {\textstyle N} Failed to parse (MathML with SVG or PNG fallback (recommended for modern browsers and accessibility tools): Invalid response ("Math extension cannot connect to Restbase.") from server "https://mathoid.scipedia.com/localhost/v1/":): {\textstyle L_\infty }

-norm

Order Failed to parse (MathML with SVG or PNG fallback (recommended for modern browsers and accessibility tools): Invalid response ("Math extension cannot connect to Restbase.") from server "https://mathoid.scipedia.com/localhost/v1/":): {\textstyle L_2}

-norm

Order Failed to parse (MathML with SVG or PNG fallback (recommended for modern browsers and accessibility tools): Invalid response ("Math extension cannot connect to Restbase.") from server "https://mathoid.scipedia.com/localhost/v1/":): {\textstyle L_\infty }

-norm

Order Failed to parse (MathML with SVG or PNG fallback (recommended for modern browsers and accessibility tools): Invalid response ("Math extension cannot connect to Restbase.") from server "https://mathoid.scipedia.com/localhost/v1/":): {\textstyle L_2}

-norm

Order
10 3.91e-04 –- 2.18e-04 –- 4.32e-04 –- 2.43e-04 –-
20 2.50e-05 3.97 1.34e-05 4.02 2.48e-05 4.12 1.45e-05 4.07
40 1.56e-06 4.00 8.37e-07 4.01 2.38e-06 3.38 1.12e-06 3.69
80 9.72e-08 4.00 5.22e-08 4.00 9.48e-08 4.65 5.56e-08 4.34
160 6.08e-09 4.03 3.26e-09 4.00 9.29e-09 3.35 4.37e-09 3.69
LSM 4.00 4.01 3.90 3.95

7 Conclusions

This work serves as the general foundation for addressing high-order IIMs to solve interface problems, facilitating comprehensive investigations into this theoretical framework. Here, we present a fourth-order finite-difference scheme for approximating the second-order derivative of real-valued continuous and discontinuous functions. This method combines an implicit formulation with the immersed interface method. Our proposed scheme employs a three-point stencil, achieving different accuracy at regular and irregular points. To illustrate the effectiveness of the proposed IFD-IIM approach, we applied it to solve the one-dimensional Poisson equation and the heat conduction equation. The global accuracy of the fourth order was demonstrated using several numerical examples for both equations. Hence, this study establishes a general strategy for high-order immersed interface methods, enabling their application to elliptic and time-evolving problems in several dimensions. Additionally, the implicit procedure lends itself to developing of higher-order numerical schemes based on the IIM, including sixth-order methods.

Acknowledgments

This work was partially supported by CONAHCYT under the program Investigadoras e Investigadores por México. We also thanks the facilities provided by the Facultad de Matemáticas (UADY) for the development of this work.

BIBLIOGRAPHY

[1] H. J. Diersch, Fletcher, C.A.J. (1988). Computational Techniques for Fluid Dynamics. Vol. I: Fundamental and General Techniques. Vol. II: Specific Techniques for Different Flow Categories. Springer-Verlag.
[2] Sethian, J. A. (1999). Level Set Methods and Fast Marching Methods: Evolving Interfaces in Geometry, Fluid Mechanics, Computer Vision, and Materials Sciences, Cambridge University Press.
[3] Li, Z. & Ito, K. (2006). The Immersed Interface Method: Numerical Solutions of PDEs Involving Interfaces and Irregular Domains, SIAM: Frontiers in Applied Mathematics.
[4] Javierre E., Vuik C., Vermolen, F. J. & Van der Zwaag, S. (2006). A comparison of numerical models for one-dimensional Stefan problems. Journal of Computational and Applied Mathematics, 192(2), 445–459.
[5] Shi, Y. E., Ray, R. K., & Nguyen, K. D. (2013). A projection method-based model with the exact C-property for shallow-water flows over dry and irregular bottom using unstructured finite-volume technique. Computers & Fluids, 76, 178–195.
[6] Uh, M. & Xu, S. (2014). The immersed interface method for simulating two-fluid flows, Numerical Mathematics: Theory, Methods and Applications, 7(4), 447–472.
[7] Li M., Fornberg B. & Tang T. (1995). A compact fourth order finite difference scheme for the steady incompressible Navier-Stokes equations, Int. J. Numer. Methods Fluids 20, 1137–1151.
[8] Zhang, J. (2002). Multigrid method and fourth-order compact scheme for 2D Poisson equation with unequal mesh-size discretization. J. Comput. Phys. 179(1), 170–179.
[9] Nabavi, M., Siddiqui, M.H.K., & Dargahi J. (2007). A new 9-point sixth-order accurate compact finite difference method for the Helmholtz equation, J. Sound Vib. 307, 972–982.
[10] Wang Y., & Zhang J. (2009). Sixth order compact scheme combined with multigrid method and extrapolation technique for 2D poisson equation, J. Comput. Phys. 228, 137–146.
[11] Zhai, S., Feng, X., & He, Y. (2014). A new method to deduce high-order compact difference schemes for two-dimensional Poisson equation. Applied Mathematics and Computation, 230, 9–26.
[12] Uh Zapata, M. , & Itzá Balam, R. (2017). High-order implicit finite difference schemes for the two-dimensional Poisson equation. Applied Mathematics and Computation, 309, 222–244.
[13] Itzá Balam, R., & Uh Zapata, M (2020). A new eighth-order implicit finite difference method to solve the three-dimensional Helmholtz equation. Computers & Mathematics with Applications, 80(5), 1176–1200.
[14] Itza Balam, R., & UhZapata, M. (2022). A fourth-order compact implicit immersed interface method for 2D Poisson interface problems. Computers & Mathematics with Applications, 119, 257–277.
[15] Uh Zapata, M., Itza Balam, R., & Montalvo-Urquizo, J. (2023). A compact sixth-order implicit immersed interface method to solve 2D Poisson equations with discontinuities. Mathematics and Computers in Simulation, 210, 384–407.
[16] Peskin, C. S. (2002). The immersed boundary method, Acta Numer. 11, 479–517.
[17] Liu, X. D., & Soderis, T. C. (2003). Convergence of the ghost fluid method for elliptic equations with interfaces, J. Math. Comp. 72, 1731–1746.
[18] Hu, H., Pan, K., & Tan, Y. (2010). An interpolation matched interface and boundary method for elliptic interface problems, J. Comput. Appl. Math. 234, 73–94.
[19] Mu, L., Wang, J., Ye, X., & Zhao, S. (2016). A new weak Galerkin finite element method for elliptic interface problems, J. Comput. Phys., 325, 157–173.
[20] Cho, H., Han, H., Lee, B., Ha, Y., & Kang, M. (2019). A second-order boundary condition capturing method for solving the elliptic interface problems on irregular domains, Journal of Scientific Computing, 81(3), 217–251.
[21] Itzá Balam, R. , Hernandez-Lopez, F., Trejo-Sánchez, J., & Uh Zapata, M (2020). An immersed boundary neural network for solving elliptic equations with singular forces on arbitrary domains. Mathematical Biosciences and Engineering: MBE, 18(1), 22–56.
[22] Leveque R.J., & Li Z. (1994). The immersed interface method for elliptic equations with discontinuous coefficients and singular sources, SIAM J. Numer. Anal. 31 (4), 1019-1044.
[23] Wiegmann A., & Bube K.P. (2000) The explicit-jump immersed interface method: finite difference methods for PDEs with piecewise smooth solutions, SIAM J. Numer. Anal. 37 (3), 827–862.
[24] Berthelsen, P. A. (2004). A decomposed immersed interface method for variable coefficient elliptic equations with non-smooth and discontinuous solutions. J. Comput. Phys. 197(1), 364–386.
[25] Seo, J. H. & Mittal, R. (2011). A high-order immersed boundary method for acoustic wave scattering and low-Mach number flow-induced sound in complex geometries, J. Comput. Phys., 230, 1000–1019.
[26] Ito, K., Li, Z., & Kyei, Y. (2005). Higher-order, Cartesian grid based finite difference schemes for elliptic equations on irregular domains. SIAM Journal on Scientific Computing, 27(1), 346-367.
[27] Gibou, F., & Fedkiw, R. (2005). A fourth order accurate discretization for the Laplace and heat equations on arbitrary domains, with applications to the Stefan problem. J. Comput. Phys., 202(2), 577-601.
[28] Linnick, M. N., & Fasel, H. F. (2005). A high-order immersed interface method for simulating unsteady incompressible flows on irregular domains. J. Comput. Phys., 204(1), 157-192.
[29] Zhou, Y. C., Zhao, S., Feig, M., & Wei, G. W. (2006). High order matched interface and boundary method for elliptic equations with discontinuous coefficients and singular sources. J. Comput. Phys., 213(1), 1–30.
[30] Zhong, X. (2007). A new high-order immersed interface method for solving elliptic equations with imbedded interface of discontinuity. J. Comput. Phys., 225(1), 1066-1099.
[31] Feng, X., Li, Z., & Qiao, Z. (2011). High order compact finite difference schemes for the Helmholtz equation with discontinuous coefficients. J. of Comput. Math., 324–340.
[32] Pan, K., He, D., & Li, Z. (2021). A high order compact FD framework for elliptic BVPs involving singular sources, interfaces, and irregular domains. J. Sci. Comput. 88(3), 1–25.
[33] Colnago, M., Casaca, W., & de Souza, L. F. (2020). A high-order immersed interface method free of derivative jump conditions for Poisson equations on irregular domains. J. Comput. Phys. 423, 109791.
[34] Claerbout, J.F. The craft of wave-field extrapolation, in Imaging the Earth's Interior, Blackwell Scientific Publications, Oxford (1985), 260-265.
[35] Liu, Y., & Sen, M. K. (2009). A practical implicit finite-difference method: examples from seismic modeling. Journal of Geophysics and Engineering, 6(3), 231.
[36] Xu S., & Wang Z.J., (2006). Systematic Derivation of Jump Conditions for the Immersed Interface Method in Three-Dimensional Flow Simulation, J. Sci. Comput., 27(6), 1948-1980.

[37] Feng, X., & Li, Z. (2012). Simplified immersed interface methods for elliptic interface problems with straight interfaces. Num. Meth. for Par. Diff. Eqs. 28(1), 188–203.

Back to Top

Document information

Published on 16/11/23
Submitted on 19/09/23

Licence: CC BY-NC-SA license

Document Score

5

Views 17
Recommendations 1

Share this document

claim authorship

Are you one of the authors of this document?