Line 1,594: Line 1,594:
 
{| style="text-align: left; margin:auto;width: 100%;"  
 
{| style="text-align: left; margin:auto;width: 100%;"  
 
|-
 
|-
| style="text-align: center;" | <math>\textrm{Example 2.E:}  u(x,y) = \begin{cases}0 & x\leq x_\alpha ,\\ 2+\ln (x(1+y^2)) & x_\alpha{<}x,\\ \end{cases} \quad  \textrm{where}  x_\alpha = 0.5.  </math>
+
| style="text-align: center;" | <math>\textrm{Example 2.E:}  u(x,y) = \begin{cases}0 & x\leq x_\alpha ,\\ 2+\ln (x(1+y^2)) & x_\alpha{<}x,\\ \end{cases} \quad  \textrm{where } \quad   x_\alpha = 0.5.  </math>
 
|}
 
|}
 
|}
 
|}
Line 1,600: Line 1,600:
 
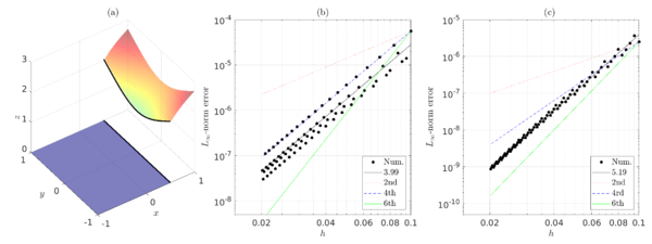
Here, the jump derivatives for all points at the interface are <math display="inline">[u_x] = 2</math>, <math display="inline">[u_{xx}] = -4</math>, <math display="inline">[u_{xxx}] =16</math>, <math display="inline">[u_{xxxx}] = -96</math>, <math display="inline">[u_{xxxxx}] =  768</math>, and <math display="inline">[u_{xxxxxx}] = -7680</math>. Is important to remark that opposite to the previous examples, the jump derivatives increase rapidly. This behavior makes the problem challenging to solve.
 
Here, the jump derivatives for all points at the interface are <math display="inline">[u_x] = 2</math>, <math display="inline">[u_{xx}] = -4</math>, <math display="inline">[u_{xxx}] =16</math>, <math display="inline">[u_{xxxx}] = -96</math>, <math display="inline">[u_{xxxxx}] =  768</math>, and <math display="inline">[u_{xxxxxx}] = -7680</math>. Is important to remark that opposite to the previous examples, the jump derivatives increase rapidly. This behavior makes the problem challenging to solve.
  
Table [[#table-5|5]] and Fig.[[#img-11|11]] show the convergence analysis for Example 2.E. Numerical results show that Example 2.E has more variability in error than previous examples. However, the order of each technique is close to the proposed one. These findings also confirm that local truncation error depends not only on <math display="inline">h_R</math> and <math display="inline">h_L</math> but also on the jump magnitudes.
+
[[#table-5|Table 5]] and [[#img-11|Figure 11]] show the convergence analysis for Example 2.E. Numerical results show that Example 2.E has more variability in error than previous examples. However, the order of each technique is close to the proposed one. These findings also confirm that local truncation error depends not only on <math display="inline">h_R</math> and <math display="inline">h_L</math> but also on the jump magnitudes.
  
 +
<div class="center" style="font-size: 75%;">'''Table 5'''. Convergence analysis of Example 2.E</div>
  
{| class="floating_tableSCP" style="text-align: left; margin: 1em auto;border-top: 2px solid;border-bottom: 2px solid;min-width:50%;"
+
<span id='table-5'></span>
|+ style="font-size: 75%;" |<span id='table-5'></span>'''Table. 5''' Convergence analysis of Example 2.E.
+
{| class="wikitable" style="margin: 1em auto 0.1em auto;border-collapse: collapse;font-size:85%;width:auto;"  
|-     
+
|-style="text-align:center"
| style="text-align: right;" |       
+
! <math display="inline">N</math> !!  <math display="inline">L_\infty </math>-norm !!   Order !! <math display="inline">L_\infty </math>-norm !!   Order !! <math display="inline">L_\infty </math>-norm !!   Order
|       
+
|-style="text-align:center"
|  
+
|-
+
| <math display="inline">N</math>  
+
| <math display="inline">L_\infty </math>-norm   
+
Order      
+
| <math display="inline">L_\infty </math>-norm   
+
Order  
+
| <math display="inline">L_\infty </math>-norm   
+
Order
+
|-
+
 
| 10  
 
| 10  
 
|  1.11e-02  
 
|  1.11e-02  
Line 1,625: Line 1,616:
 
|  1.38e-04  
 
|  1.38e-04  
 
|  &#8211;-   
 
|  &#8211;-   
|-
+
|-style="text-align:center"
 
| 20  
 
| 20  
 
|  1.80e-03  
 
|  1.80e-03  
Line 1,633: Line 1,624:
 
|  2.48e-06  
 
|  2.48e-06  
 
|  5.80   
 
|  5.80   
|-
+
|-style="text-align:center"
 
| 40  
 
| 40  
 
|  5.64e-04  
 
|  5.64e-04  
Line 1,641: Line 1,632:
 
|  9.43e-08  
 
|  9.43e-08  
 
|  4.72   
 
|  4.72   
|-
+
|-style="text-align:center"
 
| 80  
 
| 80  
 
|  1.57e-04  
 
|  1.57e-04  
Line 1,649: Line 1,640:
 
|  2.61e-09  
 
|  2.61e-09  
 
|  5.17   
 
|  5.17   
|-
+
|-style="text-align:center"
 
| 160  
 
| 160  
 
|  4.11e-05  
 
|  4.11e-05  
Line 1,657: Line 1,648:
 
|  6.10e-11  
 
|  6.10e-11  
 
|  5.42   
 
|  5.42   
|-
+
|-style="text-align:center"
 
| LSM  
 
| LSM  
 
|   
 
|   
Line 1,668: Line 1,659:
 
|
 
|
 
|}
 
|}
 +
 +
 
<div id='img-11'></div>
 
<div id='img-11'></div>
{| class="floating_imageSCP" style="text-align: center; border: 1px solid #BBB; margin: 1em auto; width: 100%;max-width: 100%;"
+
{| class="wikitable" style="margin: 0em auto 0.1em auto;border-collapse: collapse;width:auto;"
 +
|-style="background:white;"
 +
|style="text-align: center;padding:10px;"| [[Image:Draft_Balam_338770048-Fig_Exa4_2D_ABC_solcloud4th6thB.png|600px]]
 
|-
 
|-
|[[Image:Draft_Balam_338770048-Fig_Exa4_2D_ABC_solcloud4th6thB.png|588px|Numerical and exact solution of Example 2.E using N = 80; (b),(c) convergence error analysis of IFD-IIM and HIFD-IIM respectively, using different grid resolutions from N=10 to 100.]]
+
| style="background:#efefef;text-align:left;padding:10px;font-size: 85%;"| '''Figure 11'''. (a) Numerical and exact solution of Example 2.E using <math>N = 80</math>. (b)-(c) Convergence error analysis of IFD-IIM and HIFD-IIM, respectively, using different grid resolutions from <math>N=10</math> to <math>100</math>
|- style="text-align: center; font-size: 75%;"
+
| colspan="1" | '''Figure 11:''' Numerical and exact solution of Example 2.E using <math>N = 80</math>; (b),(c) convergence error analysis of IFD-IIM and HIFD-IIM respectively, using different grid resolutions from <math>N=10</math> to <math>100</math>.
+
 
|}
 
|}
  

Revision as of 13:13, 4 January 2024

Abstract

This paper introduces a sixth-order Immersed Interface Method (IIM) for addressing 2D Poisson problems characterized by a discontinuous forcing function with straight interfaces. In the presence of this discontinuity, the problem exhibits a non-smooth solution at the interface that divides the domain into two regions. Here, the IIM is employed to compute the solution on a fixed Cartesian grid. This method integrates necessary jump conditions resulting from the interface into the numerical schemes. In order to achieve a sixth-order method, the proposed approach combines implicit finite differences with the IIM. The proposed scheme is efficient because the matrix arising from discretization remains the same as in the smooth problem, and changes are made to the resulting linear system by introducing new terms on the right side. These supplementary terms account for the discontinuities in the solution and its derivatives, with calculations restricted near the interface. The paper demonstrates the accuracy of the proposed method through various numerical examples.

Keywords: Poisson equation, immersed interface method, finite difference, sixth-order of accuracy, implicit finite difference

1. Introduction

Developing advanced algorithms for solving the Poisson equation holds great significance in numerous research domains, including computational fluid dynamics, wave propagation, and theoretical physics [1]. The discontinuous problem emerges in scenarios marked by abrupt changes at interfaces that separate different regions within a given domain [2,3,4]. In this article, we particularly focus on linear interfaces, which are commonly encountered in layered phenomena (for example, as seen in [5,6,7] and the cited references). Additionally, the pursuit of high-order methods for addressing such challenges is highly advantageous since their enhanced precision permits the use of coarser grids, subsequently reducing computational expenses.

This paper presents high-order finite-difference schemes up to sixth-order for the Poisson equation for straight interfaces. The problem is given by [2,3,4]

Failed to parse (MathML with SVG or PNG fallback (recommended for modern browsers and accessibility tools): Invalid response ("Math extension cannot connect to Restbase.") from server "https://mathoid.scipedia.com/localhost/v1/":): \Delta u({x}) = f({x}), \quad {x}\in \Omega \setminus \Gamma , \quad \Omega = \Omega ^{+} \cup \Omega ^{-}
(1)
Failed to parse (MathML with SVG or PNG fallback (recommended for modern browsers and accessibility tools): Invalid response ("Math extension cannot connect to Restbase.") from server "https://mathoid.scipedia.com/localhost/v1/":): \left[u\right]_\Gamma = \mathfrak{p}({x}), \quad {x}\in \Gamma ,
(2)
Failed to parse (MathML with SVG or PNG fallback (recommended for modern browsers and accessibility tools): Invalid response ("Math extension cannot connect to Restbase.") from server "https://mathoid.scipedia.com/localhost/v1/":): \left[u_{{n}} \right]_\Gamma = \mathfrak{q}({x}) , \quad {x}\in \Gamma{.}
(3)

where Failed to parse (MathML with SVG or PNG fallback (recommended for modern browsers and accessibility tools): Invalid response ("Math extension cannot connect to Restbase.") from server "https://mathoid.scipedia.com/localhost/v1/":): {\textstyle u}

and Failed to parse (MathML with SVG or PNG fallback (recommended for modern browsers and accessibility tools): Invalid response ("Math extension cannot connect to Restbase.") from server "https://mathoid.scipedia.com/localhost/v1/":): {\textstyle f}
are the solution and known right-hand side function, respectively. We divide Failed to parse (MathML with SVG or PNG fallback (recommended for modern browsers and accessibility tools): Invalid response ("Math extension cannot connect to Restbase.") from server "https://mathoid.scipedia.com/localhost/v1/":): {\textstyle \Omega }
in two regions, Failed to parse (MathML with SVG or PNG fallback (recommended for modern browsers and accessibility tools): Invalid response ("Math extension cannot connect to Restbase.") from server "https://mathoid.scipedia.com/localhost/v1/":): {\textstyle \Omega ^{+}}
and Failed to parse (MathML with SVG or PNG fallback (recommended for modern browsers and accessibility tools): Invalid response ("Math extension cannot connect to Restbase.") from server "https://mathoid.scipedia.com/localhost/v1/":): {\textstyle \Omega^{-}}

, separated by an immersed interface Failed to parse (MathML with SVG or PNG fallback (recommended for modern browsers and accessibility tools): Invalid response ("Math extension cannot connect to Restbase.") from server "https://mathoid.scipedia.com/localhost/v1/":): {\textstyle \Gamma } . The computational domain can be one-dimensional (1D) (with several interface points), or a two-dimensional (2D) region with straight interfaces. We use Dirichlet boundary conditions on Failed to parse (MathML with SVG or PNG fallback (recommended for modern browsers and accessibility tools): Invalid response ("Math extension cannot connect to Restbase.") from server "https://mathoid.scipedia.com/localhost/v1/":): {\textstyle \partial \Omega } . We assume that the solution, the right-hand side function, and their derivatives may have discontinuities at Failed to parse (MathML with SVG or PNG fallback (recommended for modern browsers and accessibility tools): Invalid response ("Math extension cannot connect to Restbase.") from server "https://mathoid.scipedia.com/localhost/v1/":): {\textstyle \Gamma } . Thus, we require jump conditions as additional inputs. The principal jump conditions Failed to parse (MathML with SVG or PNG fallback (recommended for modern browsers and accessibility tools): Invalid response ("Math extension cannot connect to Restbase.") from server "https://mathoid.scipedia.com/localhost/v1/":): {\textstyle [u]=\mathfrak{p}}

and Failed to parse (MathML with SVG or PNG fallback (recommended for modern browsers and accessibility tools): Invalid response ("Math extension cannot connect to Restbase.") from server "https://mathoid.scipedia.com/localhost/v1/":): {\textstyle [u_{{n}}]=\mathfrak{q}}
are known functions and are defined on Failed to parse (MathML with SVG or PNG fallback (recommended for modern browsers and accessibility tools): Invalid response ("Math extension cannot connect to Restbase.") from server "https://mathoid.scipedia.com/localhost/v1/":): {\textstyle \Gamma }

. Here, Failed to parse (MathML with SVG or PNG fallback (recommended for modern browsers and accessibility tools): Invalid response ("Math extension cannot connect to Restbase.") from server "https://mathoid.scipedia.com/localhost/v1/":): {\textstyle u_{{n}}}

is the derivative in the normal direction.

Many numerical methods have been proposed to solve accurately the Poisson equation; however most of these methods are limited to smooth solutions. For instance, many developments have been made to get fourth- and sixth-order finite-difference methods for the Poisson equation (1), see for example [8,9,10,11,12,13,14]. On the other hand, to overcome the interface issue, several approaches exist to approximate discontinuous solutions, such as the level set method [15], immersed boundary method [16], ghost fluid method [17], interpolation matched interface method [18], Galerkin finite element method [19], boundary condition capturing [20], and interface neural networks [21]. However, there are not many available high-order discretizations of the Poisson problems with interfaces and many of these algorithms are only second-order accuracy. From these methods, the immersed interface method [4,22,23,24,25] is one popular option to solve Eqs. (1)-(3) accurately by simple modifications of standard finite differences.

There only exist a few high-order immersed interface methods to solve elliptic equations. Fourth-order interface methods for elliptic equations with discontinuous solutions or discontinuous coefficients are investigated in [26,27,28,29,30]. Lately, Feng and Li [31] presented a third-order IIM for elliptic interface problems, but it is limited to straight interfaces lying at grid points. Pan et al. [32] proposed a third-order IIM to solve elliptic problems on irregular domains, and Colnago et al. [33] developed a fourth-order approximation. More recently, Feng et al. [34] presented a sixth-order IIM to solve Poisson interface problem with singular sources based on the undetermined coefficients technique.

This paper presents a new high-order implicit finite-difference immersed interface method (HIFD-IIM) up to sixth-order accuracy to solve the 2D Poisson problem (1)-(3) with straight interfaces. The implicit finite-difference methodology is based on calculating the unknown variable and its corresponding derivatives simultaneously [35,36]. The system is changed by adding new terms on the right side, named jump contributions. These terms include the jumps of the solution and its derivatives, and they are calculated near the interface. In this context, the straight interfaces allows to calculate the jumps contributions directly from principal jump conditions (2) and (3) without any other calculation. The modifications are only performed at grid points where the method's stencil intersects the interface. Moreover, the matrix in the linear system is the same as the smooth problem. This formulation makes the method attractive as it is easy to implement and does not require other convergence restrictions than the ones from standard methods for smooth solutions. To the best authors' knowledge, there is not other methods using the proposed formulation.

The paper is organized as follows. Section 2 introduces the implicit formulation. The main theoretical results are presented in this section. Section 3 deals with the 1D Poisson problem. Section 4 shows how to implement the high order methods for 2D problems with straight interfaces. Section 5 contains several examples to test the algorithm's capacity. Finally, in Section 6, we present the conclusions and future work.

2. Implicit finite-difference formulation

We begin our analysis by considering the 1D finite-difference (FD) scheme for the second derivative of a real-valued function Failed to parse (MathML with SVG or PNG fallback (recommended for modern browsers and accessibility tools): Invalid response ("Math extension cannot connect to Restbase.") from server "https://mathoid.scipedia.com/localhost/v1/":): {\textstyle u} . In this work, the numerical solution is approximated using a uniform grid. An interval Failed to parse (MathML with SVG or PNG fallback (recommended for modern browsers and accessibility tools): Invalid response ("Math extension cannot connect to Restbase.") from server "https://mathoid.scipedia.com/localhost/v1/":): {\textstyle [\mathfrak{a},\,\mathfrak{b}]}

is divided into Failed to parse (MathML with SVG or PNG fallback (recommended for modern browsers and accessibility tools): Invalid response ("Math extension cannot connect to Restbase.") from server "https://mathoid.scipedia.com/localhost/v1/":): {\textstyle N}
sub-intervals, using Failed to parse (MathML with SVG or PNG fallback (recommended for modern browsers and accessibility tools): Invalid response ("Math extension cannot connect to Restbase.") from server "https://mathoid.scipedia.com/localhost/v1/":): {\textstyle x_i = \mathfrak{a} + (i-1)h}

, Failed to parse (MathML with SVG or PNG fallback (recommended for modern browsers and accessibility tools): Invalid response ("Math extension cannot connect to Restbase.") from server "https://mathoid.scipedia.com/localhost/v1/":): {\textstyle i=1, 2, \dots , N,N+1} , where the grid size is given by Failed to parse (MathML with SVG or PNG fallback (recommended for modern browsers and accessibility tools): Invalid response ("Math extension cannot connect to Restbase.") from server "https://mathoid.scipedia.com/localhost/v1/":): {\textstyle h=(\mathfrak{b}-\mathfrak{a})/N} . For simplicity, we set Failed to parse (MathML with SVG or PNG fallback (recommended for modern browsers and accessibility tools): Invalid response ("Math extension cannot connect to Restbase.") from server "https://mathoid.scipedia.com/localhost/v1/":): {\textstyle x=x_\alpha }

between two consecutive grid points Failed to parse (MathML with SVG or PNG fallback (recommended for modern browsers and accessibility tools): Invalid response ("Math extension cannot connect to Restbase.") from server "https://mathoid.scipedia.com/localhost/v1/":): {\textstyle x_I\leq x_\alpha{<}x_{I+1}}

. We called Failed to parse (MathML with SVG or PNG fallback (recommended for modern browsers and accessibility tools): Invalid response ("Math extension cannot connect to Restbase.") from server "https://mathoid.scipedia.com/localhost/v1/":): {\textstyle x_I}

and Failed to parse (MathML with SVG or PNG fallback (recommended for modern browsers and accessibility tools): Invalid response ("Math extension cannot connect to Restbase.") from server "https://mathoid.scipedia.com/localhost/v1/":): {\textstyle x_{I+1}}
irregular points; meanwhile the reminder points are referred as regular. Besides Failed to parse (MathML with SVG or PNG fallback (recommended for modern browsers and accessibility tools): Invalid response ("Math extension cannot connect to Restbase.") from server "https://mathoid.scipedia.com/localhost/v1/":): {\textstyle h}

, the discretization needs the definitions of Failed to parse (MathML with SVG or PNG fallback (recommended for modern browsers and accessibility tools): Invalid response ("Math extension cannot connect to Restbase.") from server "https://mathoid.scipedia.com/localhost/v1/":): {\textstyle h_{L} = x_{I}-x_\alpha } , and Failed to parse (MathML with SVG or PNG fallback (recommended for modern browsers and accessibility tools): Invalid response ("Math extension cannot connect to Restbase.") from server "https://mathoid.scipedia.com/localhost/v1/":): {\textstyle h_{R} = x_{I+1}-x_\alpha } . Note that Failed to parse (MathML with SVG or PNG fallback (recommended for modern browsers and accessibility tools): Invalid response ("Math extension cannot connect to Restbase.") from server "https://mathoid.scipedia.com/localhost/v1/":): {\textstyle h_{R}}

is a positive value, meanwhile Failed to parse (MathML with SVG or PNG fallback (recommended for modern browsers and accessibility tools): Invalid response ("Math extension cannot connect to Restbase.") from server "https://mathoid.scipedia.com/localhost/v1/":): {\textstyle h_{L}}
is negative (Figure  1).
Draft Balam 338770048-Stencil.png
Figure 1. Stencil of the immersed interface method at Failed to parse (MathML with SVG or PNG fallback (recommended for modern browsers and accessibility tools): Invalid response ("Math extension cannot connect to Restbase.") from server "https://mathoid.scipedia.com/localhost/v1/":): x_{I}
and Failed to parse (MathML with SVG or PNG fallback (recommended for modern browsers and accessibility tools): Invalid response ("Math extension cannot connect to Restbase.") from server "https://mathoid.scipedia.com/localhost/v1/":): x_{I+1}


Finally, we denote as Failed to parse (MathML with SVG or PNG fallback (recommended for modern browsers and accessibility tools): Invalid response ("Math extension cannot connect to Restbase.") from server "https://mathoid.scipedia.com/localhost/v1/":): {\textstyle \varphi _i = \left.\varphi \right|_i = \varphi (x_i)}

the evaluation of function Failed to parse (MathML with SVG or PNG fallback (recommended for modern browsers and accessibility tools): Invalid response ("Math extension cannot connect to Restbase.") from server "https://mathoid.scipedia.com/localhost/v1/":): {\textstyle \varphi }
at the Failed to parse (MathML with SVG or PNG fallback (recommended for modern browsers and accessibility tools): Invalid response ("Math extension cannot connect to Restbase.") from server "https://mathoid.scipedia.com/localhost/v1/":): {\textstyle i}

th-point of the grid.

2.1 Approximation on regular points

It is well-known that the central finite difference gives us a second-order approximation, and can be written as

Failed to parse (MathML with SVG or PNG fallback (recommended for modern browsers and accessibility tools): Invalid response ("Math extension cannot connect to Restbase.") from server "https://mathoid.scipedia.com/localhost/v1/":): \left.u_{xx}\right|_i = \left.\delta ^2u\right|_i + O(h^2),
(4)

where

Failed to parse (MathML with SVG or PNG fallback (recommended for modern browsers and accessibility tools): Invalid response ("Math extension cannot connect to Restbase.") from server "https://mathoid.scipedia.com/localhost/v1/":): \left.\delta ^2u\right|_i := \frac{u_{i-1}-2u_{i}+u_{i+1}}{h^2},
(5)

for a given small value Failed to parse (MathML with SVG or PNG fallback (recommended for modern browsers and accessibility tools): Invalid response ("Math extension cannot connect to Restbase.") from server "https://mathoid.scipedia.com/localhost/v1/":): {\textstyle h > 0} .

One way to increase the order of accuracy in Eq. (4) is using a FD operator with more grid points. However, there is another way to get high-order approximations without changing the length of the FD operator (5). It is by considering a high-order implicit finite-difference (HIFD) formulation, as presented in Zapata and Balam [13]. Thus, using Taylor series expansions, it directly follows that the sixth-order formula is given by

Failed to parse (MathML with SVG or PNG fallback (recommended for modern browsers and accessibility tools): Invalid response ("Math extension cannot connect to Restbase.") from server "https://mathoid.scipedia.com/localhost/v1/":): \left.\partial ^4u_{xx}\right|_i = \left.\delta ^2 u\right|_i + O(h^6), \qquad i\ne I, I+1.
(6)

where the FD operator Failed to parse (MathML with SVG or PNG fallback (recommended for modern browsers and accessibility tools): Invalid response ("Math extension cannot connect to Restbase.") from server "https://mathoid.scipedia.com/localhost/v1/":): {\textstyle \delta ^2}

is given by Eq. (5) and the partial operator is defined as

Failed to parse (MathML with SVG or PNG fallback (recommended for modern browsers and accessibility tools): Invalid response ("Math extension cannot connect to Restbase.") from server "https://mathoid.scipedia.com/localhost/v1/":): \partial ^4(\cdot )  := (\cdot ) + bh^2(\cdot )_{xx} + eh^4 (\cdot )_{xxxx},
(7)

Failed to parse (MathML with SVG or PNG fallback (recommended for modern browsers and accessibility tools): Invalid response ("Math extension cannot connect to Restbase.") from server "https://mathoid.scipedia.com/localhost/v1/":): {\textstyle b=1/12}

and Failed to parse (MathML with SVG or PNG fallback (recommended for modern browsers and accessibility tools): Invalid response ("Math extension cannot connect to Restbase.") from server "https://mathoid.scipedia.com/localhost/v1/":): {\textstyle e = 1/360}

. The above formulation (6) turns in a fourth-order method if we choose Failed to parse (MathML with SVG or PNG fallback (recommended for modern browsers and accessibility tools): Invalid response ("Math extension cannot connect to Restbase.") from server "https://mathoid.scipedia.com/localhost/v1/":): {\textstyle b=1/12}

and Failed to parse (MathML with SVG or PNG fallback (recommended for modern browsers and accessibility tools): Invalid response ("Math extension cannot connect to Restbase.") from server "https://mathoid.scipedia.com/localhost/v1/":): {\textstyle e=0}

. Moreover, if we select Failed to parse (MathML with SVG or PNG fallback (recommended for modern browsers and accessibility tools): Invalid response ("Math extension cannot connect to Restbase.") from server "https://mathoid.scipedia.com/localhost/v1/":): {\textstyle b=0}

and Failed to parse (MathML with SVG or PNG fallback (recommended for modern browsers and accessibility tools): Invalid response ("Math extension cannot connect to Restbase.") from server "https://mathoid.scipedia.com/localhost/v1/":): {\textstyle e=0}
the standard second-order approximation is recovered.

We remark that Eq. (6) can only be applied in cases where the problem's solution has enough regularity [37]. To overcome this issue, we combine the HIFD with the IIM to solve problems with discontinuous solutions, as described in the next section.

2.2 Approximation on irregular points

This paper proposes a new formulation named HIFD-IIM that is based on the combination of HIFD and IIM. To derive high-order schemes, the IIM requires additional conditions at Failed to parse (MathML with SVG or PNG fallback (recommended for modern browsers and accessibility tools): Invalid response ("Math extension cannot connect to Restbase.") from server "https://mathoid.scipedia.com/localhost/v1/":): {\textstyle i=I, I+1} . These are known as jump conditions at Failed to parse (MathML with SVG or PNG fallback (recommended for modern browsers and accessibility tools): Invalid response ("Math extension cannot connect to Restbase.") from server "https://mathoid.scipedia.com/localhost/v1/":): {\textstyle x_\alpha } . Thus, for a function Failed to parse (MathML with SVG or PNG fallback (recommended for modern browsers and accessibility tools): Invalid response ("Math extension cannot connect to Restbase.") from server "https://mathoid.scipedia.com/localhost/v1/":): {\textstyle \varphi } , they are given by

Failed to parse (MathML with SVG or PNG fallback (recommended for modern browsers and accessibility tools): Invalid response ("Math extension cannot connect to Restbase.") from server "https://mathoid.scipedia.com/localhost/v1/":): \left[\varphi \right]= \varphi ^{+} - \varphi ^{-}, \qquad \varphi ^{+} = \varphi (x_\alpha ^{+} )= \lim _{x\to x_\alpha ^+}\varphi (x), \qquad \varphi ^{-} = \varphi (x_\alpha ^{-}) = \lim _{x\to x_\alpha ^-}\varphi (x).
(8)

The IIM contribution requires to include high-order jump derivatives. However, we can reduce the number of jumps by applying a less accurate scheme at the irregular points. As other IIMs proposed by different authors [22,24,38,39,40], the global order is Failed to parse (MathML with SVG or PNG fallback (recommended for modern browsers and accessibility tools): Invalid response ("Math extension cannot connect to Restbase.") from server "https://mathoid.scipedia.com/localhost/v1/":): {\textstyle O(h^2)} , even if the local truncation error at Failed to parse (MathML with SVG or PNG fallback (recommended for modern browsers and accessibility tools): Invalid response ("Math extension cannot connect to Restbase.") from server "https://mathoid.scipedia.com/localhost/v1/":): {\textstyle i=I}

and Failed to parse (MathML with SVG or PNG fallback (recommended for modern browsers and accessibility tools): Invalid response ("Math extension cannot connect to Restbase.") from server "https://mathoid.scipedia.com/localhost/v1/":): {\textstyle i=I+1}
is one order lower, i.e., Failed to parse (MathML with SVG or PNG fallback (recommended for modern browsers and accessibility tools): Invalid response ("Math extension cannot connect to Restbase.") from server "https://mathoid.scipedia.com/localhost/v1/":): {\textstyle O(h)}
[41]. Recently, Pan et al. [32] proposed a global third-order IIM using Failed to parse (MathML with SVG or PNG fallback (recommended for modern browsers and accessibility tools): Invalid response ("Math extension cannot connect to Restbase.") from server "https://mathoid.scipedia.com/localhost/v1/":): {\textstyle O(h^{3})}
and Failed to parse (MathML with SVG or PNG fallback (recommended for modern browsers and accessibility tools): Invalid response ("Math extension cannot connect to Restbase.") from server "https://mathoid.scipedia.com/localhost/v1/":): {\textstyle O(h^{2})}
local truncation errors at regular and irregular grid points, respectively. Following similar ideas, the main result of this paper is presented in Theorem 1.

Theorem 1: HIFD-IIM. Let us consider the known jump conditions

Failed to parse (MathML with SVG or PNG fallback (recommended for modern browsers and accessibility tools): Invalid response ("Math extension cannot connect to Restbase.") from server "https://mathoid.scipedia.com/localhost/v1/":): \left[u \right],\quad \left[u_{x} \right],\quad \left[u_{xx} \right],\quad \left[u_{xxx} \right],\quad \left[u_{xxxx} \right],\quad \left[u_{xxxxx} \right],\quad \left[u_{xxxxxx} \right],\quad
(9)

on Failed to parse (MathML with SVG or PNG fallback (recommended for modern browsers and accessibility tools): Invalid response ("Math extension cannot connect to Restbase.") from server "https://mathoid.scipedia.com/localhost/v1/":): {\textstyle x_\alpha }

such that Failed to parse (MathML with SVG or PNG fallback (recommended for modern browsers and accessibility tools): Invalid response ("Math extension cannot connect to Restbase.") from server "https://mathoid.scipedia.com/localhost/v1/":): {\textstyle x_I\leq x_\alpha{<}x_{I+1}}

. Then Failed to parse (MathML with SVG or PNG fallback (recommended for modern browsers and accessibility tools): Invalid response ("Math extension cannot connect to Restbase.") from server "https://mathoid.scipedia.com/localhost/v1/":): {\textstyle u_{xx}}

can be approximated at Failed to parse (MathML with SVG or PNG fallback (recommended for modern browsers and accessibility tools): Invalid response ("Math extension cannot connect to Restbase.") from server "https://mathoid.scipedia.com/localhost/v1/":): {\textstyle x_I}
and Failed to parse (MathML with SVG or PNG fallback (recommended for modern browsers and accessibility tools): Invalid response ("Math extension cannot connect to Restbase.") from server "https://mathoid.scipedia.com/localhost/v1/":): {\textstyle x_{I+1}}
by the finite-difference scheme

Failed to parse (MathML with SVG or PNG fallback (recommended for modern browsers and accessibility tools): Invalid response ("Math extension cannot connect to Restbase.") from server "https://mathoid.scipedia.com/localhost/v1/":): \left.\partial ^4 u_{xx}\right|_i = \left.\delta ^2 u\right|_i + C_i + O(h^5), \quad i= I, I+1,
(10)

where

Failed to parse (MathML with SVG or PNG fallback (recommended for modern browsers and accessibility tools): Invalid response ("Math extension cannot connect to Restbase.") from server "https://mathoid.scipedia.com/localhost/v1/":): C_I  := - \dfrac{1}{h^2}\left\{[u] + h_R\left[u_{x}\right]+ \dfrac{h_R^2}{2}\left[u_{xx} \right]+ \dfrac{h_R^3}{3!}\left[u_{xxx} \right]+\dfrac{h_R^4}{4!}\left[u_{xxxx} \right]+ \dfrac{h_R^5}{5!}\left[u_{xxxxx} \right]+ \dfrac{h_R^6}{6!}\left[u_{xxxxxx} \right]\right\},
(11)
Failed to parse (MathML with SVG or PNG fallback (recommended for modern browsers and accessibility tools): Invalid response ("Math extension cannot connect to Restbase.") from server "https://mathoid.scipedia.com/localhost/v1/":): C_{I+1} := \dfrac{1}{h^2}\left\{[u]+h_L\left[u_{x} \right]+\dfrac{h_L^2}{2}\left[u_{xx} \right]+ \dfrac{h_L^2}{3!}\left[u_{xxx} \right]+\dfrac{h_L^4}{4!}\left[u_{xxxx} \right]+ \dfrac{h_L^6}{5!}\left[u_{xxxxx} \right]+\dfrac{h_L^6}{6!}\left[u_{xxxxxx} \right]\right\}.
(12)


We obtain a fifth-order scheme for at Failed to parse (MathML with SVG or PNG fallback (recommended for modern browsers and accessibility tools): Invalid response ("Math extension cannot connect to Restbase.") from server "https://mathoid.scipedia.com/localhost/v1/":): {\textstyle x_I}

and Failed to parse (MathML with SVG or PNG fallback (recommended for modern browsers and accessibility tools): Invalid response ("Math extension cannot connect to Restbase.") from server "https://mathoid.scipedia.com/localhost/v1/":): {\textstyle x_{I+1}}
following similar ideas as the generalized Taylor expansion proposed by Xu and Wang [38] and the IIM for elliptic interface problems with straight interfaces proposed by Feng and Li [39].

We initially consider extended solutions of Failed to parse (MathML with SVG or PNG fallback (recommended for modern browsers and accessibility tools): Invalid response ("Math extension cannot connect to Restbase.") from server "https://mathoid.scipedia.com/localhost/v1/":): {\textstyle u} , named Failed to parse (MathML with SVG or PNG fallback (recommended for modern browsers and accessibility tools): Invalid response ("Math extension cannot connect to Restbase.") from server "https://mathoid.scipedia.com/localhost/v1/":): {\textstyle u_\ell }

and Failed to parse (MathML with SVG or PNG fallback (recommended for modern browsers and accessibility tools): Invalid response ("Math extension cannot connect to Restbase.") from server "https://mathoid.scipedia.com/localhost/v1/":): {\textstyle u_r}

, as shown in Figure 2. The idea is to have smooth functions such that we can apply the standard central scheme to Failed to parse (MathML with SVG or PNG fallback (recommended for modern browsers and accessibility tools): Invalid response ("Math extension cannot connect to Restbase.") from server "https://mathoid.scipedia.com/localhost/v1/":): {\textstyle x_I}

and Failed to parse (MathML with SVG or PNG fallback (recommended for modern browsers and accessibility tools): Invalid response ("Math extension cannot connect to Restbase.") from server "https://mathoid.scipedia.com/localhost/v1/":): {\textstyle x_{I+1}}

. These functions are defined as

Failed to parse (MathML with SVG or PNG fallback (recommended for modern browsers and accessibility tools): Invalid response ("Math extension cannot connect to Restbase.") from server "https://mathoid.scipedia.com/localhost/v1/":): u_\ell (x) = \begin{cases}u(x), & x\leq x_\alpha ,\\ \displaystyle u^-+h_R u_{x}^{-}+\frac{h_R^2}{2}u_{xx}^{-} +\dfrac{h_R^3}{3!}u_{xxx}^{-}+\dfrac{h_R^4}{4!}u_{xxxx}^{-}+\dfrac{h_R^5}{5!}u_{xxxxx}^{-}+\dfrac{h_R^6}{6!}u_{xxxxxx}^{-} , & x_\alpha{<}x,\\ \end{cases}
(13)

Failed to parse (MathML with SVG or PNG fallback (recommended for modern browsers and accessibility tools): Invalid response ("Math extension cannot connect to Restbase.") from server "https://mathoid.scipedia.com/localhost/v1/":): u_r(x) = \begin{cases}\displaystyle u^++h_Lu_{x}^{+} +\frac{h_L^2}{2}u_{xx}^{+} +\dfrac{h_L^3}{3!}u_{xxx} ^{+}+\dfrac{h_L^4}{4!}u_{xxxx}^{+}+\dfrac{h_L^5}{5!}u_{xxxxx}^{+}+\dfrac{h_L^6}{6!}u_{xxxxxx}^{+}, & x<x_\alpha ,\\ u(x), & x_\alpha \leq x, \end{cases}
(14)

where Failed to parse (MathML with SVG or PNG fallback (recommended for modern browsers and accessibility tools): Invalid response ("Math extension cannot connect to Restbase.") from server "https://mathoid.scipedia.com/localhost/v1/":): {\textstyle u^{-}}

and Failed to parse (MathML with SVG or PNG fallback (recommended for modern browsers and accessibility tools): Invalid response ("Math extension cannot connect to Restbase.") from server "https://mathoid.scipedia.com/localhost/v1/":): {\textstyle u^{+}}
are defined in Eq. (8).
Draft Balam 338770048-Function ul.png Draft Balam 338770048-Function ur.png
Figure 2. Extended solutions Failed to parse (MathML with SVG or PNG fallback (recommended for modern browsers and accessibility tools): Invalid response ("Math extension cannot connect to Restbase.") from server "https://mathoid.scipedia.com/localhost/v1/":): u_\ell
and Failed to parse (MathML with SVG or PNG fallback (recommended for modern browsers and accessibility tools): Invalid response ("Math extension cannot connect to Restbase.") from server "https://mathoid.scipedia.com/localhost/v1/":): u_r


Taylor series expansions of Failed to parse (MathML with SVG or PNG fallback (recommended for modern browsers and accessibility tools): Invalid response ("Math extension cannot connect to Restbase.") from server "https://mathoid.scipedia.com/localhost/v1/":): {\textstyle u_{I+1}}

around Failed to parse (MathML with SVG or PNG fallback (recommended for modern browsers and accessibility tools): Invalid response ("Math extension cannot connect to Restbase.") from server "https://mathoid.scipedia.com/localhost/v1/":): {\textstyle x_\alpha }
yields
Failed to parse (MathML with SVG or PNG fallback (recommended for modern browsers and accessibility tools): Invalid response ("Math extension cannot connect to Restbase.") from server "https://mathoid.scipedia.com/localhost/v1/":): u_{I+1} = u^{+}+h_Ru_x^{+}+\dfrac{h_R^2}{2}u_{xx}^{+}+\dfrac{h_R^3}{3!}u_{xxx} ^{+}+\dfrac{h_R^4}{4!}u_{xxxx}^{+} +\dfrac{h_R^5}{5!}u_{xxxxx}^{+} +\dfrac{h_R^6}{6!}u_{xxxxxx}^{+}+O(h^7).

Using the definition of jumps (9), it follows

Failed to parse (MathML with SVG or PNG fallback (recommended for modern browsers and accessibility tools): Invalid response ("Math extension cannot connect to Restbase.") from server "https://mathoid.scipedia.com/localhost/v1/":): u_{I+1} = \left(u^-+h_Ru_x^-+\dfrac{h_R^2}{2}u_{xx} ^-+\dfrac{h_R^3}{3!}u_{xxx} ^-+\dfrac{h_R^4}{4!}u_{xxxx}^-+\dfrac{h_R^5}{5!}u_{xxxxx}^-+\dfrac{h_R^6}{6!}u_{xxxxxx}^-\right)
Failed to parse (MathML with SVG or PNG fallback (recommended for modern browsers and accessibility tools): Invalid response ("Math extension cannot connect to Restbase.") from server "https://mathoid.scipedia.com/localhost/v1/":): +\;[u]+h_R\left[u_{x} \right]+\dfrac{h_R^2}{2}\left[u_{xx} \right]+\dfrac{h_R^3}{3!}\left[u_{xxx} \right]+\dfrac{h_R^4}{4!}\left[u_{xxxx} \right]+\dfrac{h_R^5}{5!}\left[u_{xxxxx} \right]+\dfrac{h_R^6}{6!}\left[u_{xxxxxx} \right]+O(h^7).

Next, we use Failed to parse (MathML with SVG or PNG fallback (recommended for modern browsers and accessibility tools): Invalid response ("Math extension cannot connect to Restbase.") from server "https://mathoid.scipedia.com/localhost/v1/":): {\textstyle u_\ell }

definition in (13) to obtain
Failed to parse (MathML with SVG or PNG fallback (recommended for modern browsers and accessibility tools): Invalid response ("Math extension cannot connect to Restbase.") from server "https://mathoid.scipedia.com/localhost/v1/":): u_{I+1} = {u_\ell }_{I+1}+[u]+h_R\left[u_{x} \right]+\dfrac{h_R^2}{2}\left[u_{xx} \right]+\dfrac{h_R^3}{3!}\left[u_{xxx} \right]+\dfrac{h_R^4}{4!}\left[u_{xxxx} \right]+\dfrac{h_R^5}{5!}\left[u_{xxxxx} \right]+\dfrac{h_R^6}{6!}\left[u_{xxxxxx} \right]+O(h^7).

Thus,

Failed to parse (MathML with SVG or PNG fallback (recommended for modern browsers and accessibility tools): Invalid response ("Math extension cannot connect to Restbase.") from server "https://mathoid.scipedia.com/localhost/v1/":): u_{I+1} = {u_\ell }_{I+1} - h^2C_I +O(h^7),
(15)

where Failed to parse (MathML with SVG or PNG fallback (recommended for modern browsers and accessibility tools): Invalid response ("Math extension cannot connect to Restbase.") from server "https://mathoid.scipedia.com/localhost/v1/":): {\textstyle C_I}

is defined as equation (11). Substituting (15) into a standard central scheme for the second-order derivative, it yields
Failed to parse (MathML with SVG or PNG fallback (recommended for modern browsers and accessibility tools): Invalid response ("Math extension cannot connect to Restbase.") from server "https://mathoid.scipedia.com/localhost/v1/":): \left.\delta ^2 u\right|_I =\frac{1}{h^2}u_{I+1}-\dfrac{2}{h^2}u_{I}+\frac{1}{h^2}u_{I-1} = \frac{1}{h^2} u_{\ell I+1}-\frac{2}{h^2}{u_\ell }_I +\frac{1}{h^2}{u_\ell }_{I-1} - C_{I} + O(h^5).

On the other hand, using Taylor series of Failed to parse (MathML with SVG or PNG fallback (recommended for modern browsers and accessibility tools): Invalid response ("Math extension cannot connect to Restbase.") from server "https://mathoid.scipedia.com/localhost/v1/":): {\textstyle (u_\ell )_{xx}} , we have

Failed to parse (MathML with SVG or PNG fallback (recommended for modern browsers and accessibility tools): Invalid response ("Math extension cannot connect to Restbase.") from server "https://mathoid.scipedia.com/localhost/v1/":): \left.(u_\ell )_{xx}\right|_I =\frac{1}{h^2} u_{\ell I+1}-\frac{2}{h^2}{u_\ell }_I +\frac{1}{h^2}{u_\ell }_{I-1} - bh^2(u_\ell )_{xxxx}- eh^4(u_\ell )_{xxxxxx} +O(h^6).

Thus,

Failed to parse (MathML with SVG or PNG fallback (recommended for modern browsers and accessibility tools): Invalid response ("Math extension cannot connect to Restbase.") from server "https://mathoid.scipedia.com/localhost/v1/":): \left.\delta ^2 u\right|_I = \left.(u_\ell )_{xx} \right|_I + \left.bh^2 (u_\ell )_{xxxx}\right|_I + \left.eh^4 (u_\ell )_{xxxxxx}\right|_I - C_I+O(h^5).


Finally, we get Failed to parse (MathML with SVG or PNG fallback (recommended for modern browsers and accessibility tools): Invalid response ("Math extension cannot connect to Restbase.") from server "https://mathoid.scipedia.com/localhost/v1/":): {\textstyle \left.\partial ^4 u_{xx}\right|_I = \left.\delta ^2_x u\right|_I + C_I + O(h^5)} . This completes the proof. The same procedure can be applied for the proof at Failed to parse (MathML with SVG or PNG fallback (recommended for modern browsers and accessibility tools): Invalid response ("Math extension cannot connect to Restbase.") from server "https://mathoid.scipedia.com/localhost/v1/":): {\textstyle x_{I+1}}

using definition (14).

It is important to remark that Failed to parse (MathML with SVG or PNG fallback (recommended for modern browsers and accessibility tools): Invalid response ("Math extension cannot connect to Restbase.") from server "https://mathoid.scipedia.com/localhost/v1/":): {\textstyle C_I}

and Failed to parse (MathML with SVG or PNG fallback (recommended for modern browsers and accessibility tools): Invalid response ("Math extension cannot connect to Restbase.") from server "https://mathoid.scipedia.com/localhost/v1/":): {\textstyle C_{I+1}}
are constants computed from the jump derivatives of Failed to parse (MathML with SVG or PNG fallback (recommended for modern browsers and accessibility tools): Invalid response ("Math extension cannot connect to Restbase.") from server "https://mathoid.scipedia.com/localhost/v1/":): {\textstyle u}
and we assume that those values are known. To emphasize that the contribution includes all jump derivatives up to sixth-order we write Failed to parse (MathML with SVG or PNG fallback (recommended for modern browsers and accessibility tools): Invalid response ("Math extension cannot connect to Restbase.") from server "https://mathoid.scipedia.com/localhost/v1/":): {\textstyle C_I^6}
instead Failed to parse (MathML with SVG or PNG fallback (recommended for modern browsers and accessibility tools): Invalid response ("Math extension cannot connect to Restbase.") from server "https://mathoid.scipedia.com/localhost/v1/":): {\textstyle C_I}

.

Remark 1: We can rewrite the contributions (11) and (12) as follows

Failed to parse (MathML with SVG or PNG fallback (recommended for modern browsers and accessibility tools): Invalid response ("Math extension cannot connect to Restbase.") from server "https://mathoid.scipedia.com/localhost/v1/":): C^6_I  :=- \dfrac{1}{h^2}\left\{[u] + h_R\left[u_{x}\right]+ \dfrac{h_R^2}{2}\left[u_{xx} \right] + b\left(2h_R^3\left[u_{xxx} \right]+\dfrac{h_R^4}{2}\left[u_{xxxx} \right]\right)\right.
Failed to parse (MathML with SVG or PNG fallback (recommended for modern browsers and accessibility tools): Invalid response ("Math extension cannot connect to Restbase.") from server "https://mathoid.scipedia.com/localhost/v1/":): \qquad \quad \left.+\,e\left(3h_R^5\left[u_{xxxxx} \right]+ \dfrac{h_R^6}{2}\left[u_{xxxxxx} \right]\right)\right\},
(16)
Failed to parse (MathML with SVG or PNG fallback (recommended for modern browsers and accessibility tools): Invalid response ("Math extension cannot connect to Restbase.") from server "https://mathoid.scipedia.com/localhost/v1/":): C^6_{I+1} := \dfrac{1}{h^2}\left\{[u] + h_L\left[u_{x}\right]+ \dfrac{h_L^2}{2}\left[u_{xx} \right]+ b\left(2h_L^3\left[u_{xxx} \right]+\dfrac{h_L^4}{2}\left[u_{xxxx} \right]\right)\right.
Failed to parse (MathML with SVG or PNG fallback (recommended for modern browsers and accessibility tools): Invalid response ("Math extension cannot connect to Restbase.") from server "https://mathoid.scipedia.com/localhost/v1/":): \qquad \quad \left.+\,e\left(3h_L^5\left[u_{xxxxx} \right]+ \dfrac{h_L^6}{2}\left[u_{xxxxxx} \right]\right)\right\},
(17)

where Failed to parse (MathML with SVG or PNG fallback (recommended for modern browsers and accessibility tools): Invalid response ("Math extension cannot connect to Restbase.") from server "https://mathoid.scipedia.com/localhost/v1/":): {\textstyle b}

and Failed to parse (MathML with SVG or PNG fallback (recommended for modern browsers and accessibility tools): Invalid response ("Math extension cannot connect to Restbase.") from server "https://mathoid.scipedia.com/localhost/v1/":): {\textstyle e}
are defined as in Eq. (7).

Remark 2: If the solution is smooth, then all contributions Failed to parse (MathML with SVG or PNG fallback (recommended for modern browsers and accessibility tools): Invalid response ("Math extension cannot connect to Restbase.") from server "https://mathoid.scipedia.com/localhost/v1/":): {\textstyle C^6_I}

and Failed to parse (MathML with SVG or PNG fallback (recommended for modern browsers and accessibility tools): Invalid response ("Math extension cannot connect to Restbase.") from server "https://mathoid.scipedia.com/localhost/v1/":): {\textstyle C^6_{I+1}}
are equal to zero and the standard sixth-order method [37] is recovered in Eq. (6).

Corollary 1: If we consider Failed to parse (MathML with SVG or PNG fallback (recommended for modern browsers and accessibility tools): Invalid response ("Math extension cannot connect to Restbase.") from server "https://mathoid.scipedia.com/localhost/v1/":): {\textstyle b=1/12}

and Failed to parse (MathML with SVG or PNG fallback (recommended for modern browsers and accessibility tools): Invalid response ("Math extension cannot connect to Restbase.") from server "https://mathoid.scipedia.com/localhost/v1/":): {\textstyle e=0}
in Eqs. (1) and (17), then we obtain a third-order scheme for Failed to parse (MathML with SVG or PNG fallback (recommended for modern browsers and accessibility tools): Invalid response ("Math extension cannot connect to Restbase.") from server "https://mathoid.scipedia.com/localhost/v1/":): {\textstyle  i= I, I+1}
(global fourth-order method) as follows
Failed to parse (MathML with SVG or PNG fallback (recommended for modern browsers and accessibility tools): Invalid response ("Math extension cannot connect to Restbase.") from server "https://mathoid.scipedia.com/localhost/v1/":): \left.u_{xx}\right|_i + \left.bh^2 (u_{xx})_{xx}\right|_i = \left.\delta ^2 u\right|_i + C^4_i + O(h^3), \quad i=I,I+1,
(18)

where

Failed to parse (MathML with SVG or PNG fallback (recommended for modern browsers and accessibility tools): Invalid response ("Math extension cannot connect to Restbase.") from server "https://mathoid.scipedia.com/localhost/v1/":): C^4_I = - \dfrac{1}{h^2}\left\{[u] + h_R\left[u_{x} \right]+ \dfrac{h_R^2}{2}\left[u_{xx} \right]+ \dfrac{h_R^3}{3!}\left[u_{xxx} \right]+ \dfrac{h_R^4}{4!}\left[u_{xxxx} \right]\right\},
(19)
Failed to parse (MathML with SVG or PNG fallback (recommended for modern browsers and accessibility tools): Invalid response ("Math extension cannot connect to Restbase.") from server "https://mathoid.scipedia.com/localhost/v1/":): C^4_{I+1} = \dfrac{1}{h^2}\left\{[u]+h_L\left[u_{x} \right]+ \dfrac{h_L^2}{2}\left[u_{xx} \right]+ \dfrac{h_L^3}{3!}\left[u_{xxx} \right]+ \dfrac{h_L^4}{4!}\left[u_{xxxx} \right]\right\}.
(20)

Corollary 2: If Failed to parse (MathML with SVG or PNG fallback (recommended for modern browsers and accessibility tools): Invalid response ("Math extension cannot connect to Restbase.") from server "https://mathoid.scipedia.com/localhost/v1/":): {\textstyle b = e = 0}

in Eqs. (1) and (17), the method represents an explicit finite-difference scheme of first-order of accuracy for Failed to parse (MathML with SVG or PNG fallback (recommended for modern browsers and accessibility tools): Invalid response ("Math extension cannot connect to Restbase.") from server "https://mathoid.scipedia.com/localhost/v1/":): {\textstyle  i= I, I+1}
(global second-order method) as follows
Failed to parse (MathML with SVG or PNG fallback (recommended for modern browsers and accessibility tools): Invalid response ("Math extension cannot connect to Restbase.") from server "https://mathoid.scipedia.com/localhost/v1/":): \left.u_{xx}\right|_i = \left.\delta ^2 u\right|_i + C^2_i+ O(h), \quad i=I,I+1,
(21)

where

Failed to parse (MathML with SVG or PNG fallback (recommended for modern browsers and accessibility tools): Invalid response ("Math extension cannot connect to Restbase.") from server "https://mathoid.scipedia.com/localhost/v1/":): C^2_I = - \dfrac{1}{h^2}\left\{[u]+h_R\left[u_{x} \right]+\dfrac{h_R^2}{2}\left[u_{xx} \right]\right\},
(22)
Failed to parse (MathML with SVG or PNG fallback (recommended for modern browsers and accessibility tools): Invalid response ("Math extension cannot connect to Restbase.") from server "https://mathoid.scipedia.com/localhost/v1/":): C^2_{I+1} = \dfrac{1}{h^2}\left\{[u]+h_L\left[u_{x} \right]+\dfrac{h_L^2}{2}\left[u_{xx} \right]\right\}.
(23)

In this case, we only require to explicitly know jump conditions Failed to parse (MathML with SVG or PNG fallback (recommended for modern browsers and accessibility tools): Invalid response ("Math extension cannot connect to Restbase.") from server "https://mathoid.scipedia.com/localhost/v1/":): {\textstyle [u]} , Failed to parse (MathML with SVG or PNG fallback (recommended for modern browsers and accessibility tools): Invalid response ("Math extension cannot connect to Restbase.") from server "https://mathoid.scipedia.com/localhost/v1/":): {\textstyle \left[u_{x} \right]} , and Failed to parse (MathML with SVG or PNG fallback (recommended for modern browsers and accessibility tools): Invalid response ("Math extension cannot connect to Restbase.") from server "https://mathoid.scipedia.com/localhost/v1/":): {\textstyle \left[u_{xx} \right]} .

Observe that previous corollaries include the superscript Failed to parse (MathML with SVG or PNG fallback (recommended for modern browsers and accessibility tools): Invalid response ("Math extension cannot connect to Restbase.") from server "https://mathoid.scipedia.com/localhost/v1/":): {\textstyle 2}

and Failed to parse (MathML with SVG or PNG fallback (recommended for modern browsers and accessibility tools): Invalid response ("Math extension cannot connect to Restbase.") from server "https://mathoid.scipedia.com/localhost/v1/":): {\textstyle 4}
to emphasize contributions upto second- and fourth-order derivatives, respectively.

3. One-dimensional problem

In this section, we use Failed to parse (MathML with SVG or PNG fallback (recommended for modern browsers and accessibility tools): Invalid response ("Math extension cannot connect to Restbase.") from server "https://mathoid.scipedia.com/localhost/v1/":): {\textstyle u_{xx}}

approximation from Theorem 1 to study the 1D Poisson problem given by

Failed to parse (MathML with SVG or PNG fallback (recommended for modern browsers and accessibility tools): Invalid response ("Math extension cannot connect to Restbase.") from server "https://mathoid.scipedia.com/localhost/v1/":): u_{xx}(x) = f(x),\quad x\in \Omega = (\mathfrak{a},x_\alpha ) \cup (x_\alpha , \mathfrak{b}),
(24)

where Failed to parse (MathML with SVG or PNG fallback (recommended for modern browsers and accessibility tools): Invalid response ("Math extension cannot connect to Restbase.") from server "https://mathoid.scipedia.com/localhost/v1/":): {\textstyle u}

and Failed to parse (MathML with SVG or PNG fallback (recommended for modern browsers and accessibility tools): Invalid response ("Math extension cannot connect to Restbase.") from server "https://mathoid.scipedia.com/localhost/v1/":): {\textstyle f}
can be discontinuous functions at a given point Failed to parse (MathML with SVG or PNG fallback (recommended for modern browsers and accessibility tools): Invalid response ("Math extension cannot connect to Restbase.") from server "https://mathoid.scipedia.com/localhost/v1/":): {\textstyle x=x_\alpha }

, and the principal jump conditions Failed to parse (MathML with SVG or PNG fallback (recommended for modern browsers and accessibility tools): Invalid response ("Math extension cannot connect to Restbase.") from server "https://mathoid.scipedia.com/localhost/v1/":): {\textstyle \left[u\right] = \mathfrak{p}} , Failed to parse (MathML with SVG or PNG fallback (recommended for modern browsers and accessibility tools): Invalid response ("Math extension cannot connect to Restbase.") from server "https://mathoid.scipedia.com/localhost/v1/":): {\textstyle \left[u_{x}\right] = \mathfrak{q}}

are known values at Failed to parse (MathML with SVG or PNG fallback (recommended for modern browsers and accessibility tools): Invalid response ("Math extension cannot connect to Restbase.") from server "https://mathoid.scipedia.com/localhost/v1/":): {\textstyle x_\alpha }

. For the boundary conditions, we impose the Dirichlet type. Although this technique can be applied to several interface points, we only focus on one point Failed to parse (MathML with SVG or PNG fallback (recommended for modern browsers and accessibility tools): Invalid response ("Math extension cannot connect to Restbase.") from server "https://mathoid.scipedia.com/localhost/v1/":): {\textstyle x_\alpha \in [x_{I},x_{I+1})}

to simplify our exposition.

If we apply the partial operator (7) at both sides of (24), then we get

Failed to parse (MathML with SVG or PNG fallback (recommended for modern browsers and accessibility tools): Invalid response ("Math extension cannot connect to Restbase.") from server "https://mathoid.scipedia.com/localhost/v1/":): \left.\partial ^4 u_{xx}\right|_i= \partial ^4 f\left.\right|_i, \qquad i=2, \dots ,I,I+1,\dots , N.
(25)

Substituting Eqs. (6) and (10) into the left hand-side of Eq. (25), we get

Failed to parse (MathML with SVG or PNG fallback (recommended for modern browsers and accessibility tools): Invalid response ("Math extension cannot connect to Restbase.") from server "https://mathoid.scipedia.com/localhost/v1/":): \left.\partial ^4 u_{xx}\right|_i = \left.\delta ^2 u\right|_i+ C^6_i\{ u\} , \qquad i=2, \dots ,I,I+1,\dots , N,
(26)

where Failed to parse (MathML with SVG or PNG fallback (recommended for modern browsers and accessibility tools): Invalid response ("Math extension cannot connect to Restbase.") from server "https://mathoid.scipedia.com/localhost/v1/":): {\textstyle C^6_i}

corresponds to the contribution term of Failed to parse (MathML with SVG or PNG fallback (recommended for modern browsers and accessibility tools): Invalid response ("Math extension cannot connect to Restbase.") from server "https://mathoid.scipedia.com/localhost/v1/":): {\textstyle u}
at Failed to parse (MathML with SVG or PNG fallback (recommended for modern browsers and accessibility tools): Invalid response ("Math extension cannot connect to Restbase.") from server "https://mathoid.scipedia.com/localhost/v1/":): {\textstyle x_i}
given by

Failed to parse (MathML with SVG or PNG fallback (recommended for modern browsers and accessibility tools): Invalid response ("Math extension cannot connect to Restbase.") from server "https://mathoid.scipedia.com/localhost/v1/":): C^6_i\{ u\} = \begin{cases}- \dfrac{1}{h^2}\left\{[u] + h_R\left[u_{x}\right]+ \dfrac{h_R^2}{2}\left[u_{xx} \right]+ \dfrac{h_R^3}{3!}\left[u_{xxx} \right]+\dfrac{h_R^4}{4!}\left[u_{xxxx} \right]\right.\\ \left.\quad \quad \quad + \dfrac{h_R^5}{5!}\left[u_{xxxxx} \right]+ \dfrac{h_R^6}{6!}\left[u_{xxxxxx} \right]\right\},& i=I,\\[4mm] \dfrac{1}{h^2}\left\{[u]+h_L\left[u_{x} \right]+\dfrac{h_L^2}{2}\left[u_{xx} \right]+ \dfrac{h_L^2}{3!}\left[u_{xxx} \right]+\dfrac{h_L^4}{4!}\left[u_{xxxx} \right]\right.\\ \left.\quad \quad \quad + \dfrac{h_L^6}{5!}\left[u_{xxxxx} \right]+\dfrac{h_L^6}{6!}\left[u_{xxxxxx} \right]\right\},& i=I+1,\\ 0, & \mathrm{otherwise.} \end{cases}
(27)


Here, we introduce the notation Failed to parse (MathML with SVG or PNG fallback (recommended for modern browsers and accessibility tools): Invalid response ("Math extension cannot connect to Restbase.") from server "https://mathoid.scipedia.com/localhost/v1/":): {\textstyle C^6_i\{ u\} }

to emphasize that the contribution depends on the high-order jump derivatives and it is computed from the function Failed to parse (MathML with SVG or PNG fallback (recommended for modern browsers and accessibility tools): Invalid response ("Math extension cannot connect to Restbase.") from server "https://mathoid.scipedia.com/localhost/v1/":): {\textstyle u}

. It is necessary because in next section we will require to obtain contributions from different functions.

If we explicitly know the function Failed to parse (MathML with SVG or PNG fallback (recommended for modern browsers and accessibility tools): Invalid response ("Math extension cannot connect to Restbase.") from server "https://mathoid.scipedia.com/localhost/v1/":): {\textstyle f}

and its derivatives, then the right-hand side of Eq. (25) can be calculated as:
Failed to parse (MathML with SVG or PNG fallback (recommended for modern browsers and accessibility tools): Invalid response ("Math extension cannot connect to Restbase.") from server "https://mathoid.scipedia.com/localhost/v1/":): \left.\partial ^4 f\right|_i=f_i + bh^2 f_{xx}|_i+eh^4 f_{xxxx}|_i.

On the other hand, if we only know values of Failed to parse (MathML with SVG or PNG fallback (recommended for modern browsers and accessibility tools): Invalid response ("Math extension cannot connect to Restbase.") from server "https://mathoid.scipedia.com/localhost/v1/":): {\textstyle f}

on the grid, we have to approximate the second- and fourth-order derivative of Failed to parse (MathML with SVG or PNG fallback (recommended for modern browsers and accessibility tools): Invalid response ("Math extension cannot connect to Restbase.") from server "https://mathoid.scipedia.com/localhost/v1/":): {\textstyle f}
at Failed to parse (MathML with SVG or PNG fallback (recommended for modern browsers and accessibility tools): Invalid response ("Math extension cannot connect to Restbase.") from server "https://mathoid.scipedia.com/localhost/v1/":): {\textstyle x_i}

. As with other implicit schemes [13,36], the right-hand side derivatives are calculated using a central finite-difference method. The discretization of the right-hand side for Failed to parse (MathML with SVG or PNG fallback (recommended for modern browsers and accessibility tools): Invalid response ("Math extension cannot connect to Restbase.") from server "https://mathoid.scipedia.com/localhost/v1/":): {\textstyle i\neq I, I+1}

is given by
Failed to parse (MathML with SVG or PNG fallback (recommended for modern browsers and accessibility tools): Invalid response ("Math extension cannot connect to Restbase.") from server "https://mathoid.scipedia.com/localhost/v1/":): \left.\partial ^4 f\right|_i=f_i +\left.bh^2 f_{xx}\right|_i+\left.eh^4 f_{xxxx}\right|_i
Failed to parse (MathML with SVG or PNG fallback (recommended for modern browsers and accessibility tools): Invalid response ("Math extension cannot connect to Restbase.") from server "https://mathoid.scipedia.com/localhost/v1/":): =\,df_{i-2}+ (b-4d)f_{i-1}+\,(1-2b+6d)f_i+\,(b-4d)f_{i+1}+\,df_{i+2}+O(h^5),

where Failed to parse (MathML with SVG or PNG fallback (recommended for modern browsers and accessibility tools): Invalid response ("Math extension cannot connect to Restbase.") from server "https://mathoid.scipedia.com/localhost/v1/":): {\textstyle d =: e-b^2 = -1/240} . For Failed to parse (MathML with SVG or PNG fallback (recommended for modern browsers and accessibility tools): Invalid response ("Math extension cannot connect to Restbase.") from server "https://mathoid.scipedia.com/localhost/v1/":): {\textstyle i = I, I+1} , we need to compute the derivatives using the IIM technique which is described as follows. Notice that the second derivative of Failed to parse (MathML with SVG or PNG fallback (recommended for modern browsers and accessibility tools): Invalid response ("Math extension cannot connect to Restbase.") from server "https://mathoid.scipedia.com/localhost/v1/":): {\textstyle f}

in Failed to parse (MathML with SVG or PNG fallback (recommended for modern browsers and accessibility tools): Invalid response ("Math extension cannot connect to Restbase.") from server "https://mathoid.scipedia.com/localhost/v1/":): {\textstyle bh^2 f_{xx}}
requires a discretization of third-order accuracy to obtain a local error of Failed to parse (MathML with SVG or PNG fallback (recommended for modern browsers and accessibility tools): Invalid response ("Math extension cannot connect to Restbase.") from server "https://mathoid.scipedia.com/localhost/v1/":): {\textstyle O(h^5)}
because it is already multiplied by a factor Failed to parse (MathML with SVG or PNG fallback (recommended for modern browsers and accessibility tools): Invalid response ("Math extension cannot connect to Restbase.") from server "https://mathoid.scipedia.com/localhost/v1/":): {\textstyle h^2}

. Thus, using Eq. (1), we obtain

Failed to parse (MathML with SVG or PNG fallback (recommended for modern browsers and accessibility tools): Invalid response ("Math extension cannot connect to Restbase.") from server "https://mathoid.scipedia.com/localhost/v1/":): \left.f_{xx}\right|_i = \left.\delta ^2f\right|_i- \left.bh^2f_{xxxx}\right|_i + C^4_i\{ f\} +O(h^3).
(28)

On the other hand, the fourth-order derivative of Failed to parse (MathML with SVG or PNG fallback (recommended for modern browsers and accessibility tools): Invalid response ("Math extension cannot connect to Restbase.") from server "https://mathoid.scipedia.com/localhost/v1/":): {\textstyle f}

in Failed to parse (MathML with SVG or PNG fallback (recommended for modern browsers and accessibility tools): Invalid response ("Math extension cannot connect to Restbase.") from server "https://mathoid.scipedia.com/localhost/v1/":): {\textstyle eh^4 f_{xxxx}}
only requires an approximation of the first-order accuracy because its coefficient includes the term Failed to parse (MathML with SVG or PNG fallback (recommended for modern browsers and accessibility tools): Invalid response ("Math extension cannot connect to Restbase.") from server "https://mathoid.scipedia.com/localhost/v1/":): {\textstyle h^4}
thus, we still have a local Failed to parse (MathML with SVG or PNG fallback (recommended for modern browsers and accessibility tools): Invalid response ("Math extension cannot connect to Restbase.") from server "https://mathoid.scipedia.com/localhost/v1/":): {\textstyle O(h^5)}
to keep a global sixth-order accurate method. Now applying Eqs. (1) and (2) we get
Failed to parse (MathML with SVG or PNG fallback (recommended for modern browsers and accessibility tools): Invalid response ("Math extension cannot connect to Restbase.") from server "https://mathoid.scipedia.com/localhost/v1/":): \left.f_{xxxx}\right|_i =\delta ^2\left.f_{xx}\right|_i + C^2_i\{ f_{xx}\} + O(h)
Failed to parse (MathML with SVG or PNG fallback (recommended for modern browsers and accessibility tools): Invalid response ("Math extension cannot connect to Restbase.") from server "https://mathoid.scipedia.com/localhost/v1/":): =\delta ^2\left(\left[\delta ^2f -bh^2\partial _{xx}f_{xx}\right|_i + C^4_i\{ f\} + O(h^3)\right)+ C^2_i\{ f_{xx}\} + O(h),

then,

Failed to parse (MathML with SVG or PNG fallback (recommended for modern browsers and accessibility tools): Invalid response ("Math extension cannot connect to Restbase.") from server "https://mathoid.scipedia.com/localhost/v1/":): \left.f_{xxxx}\right|_i =\left.\delta ^4f\right|_i + \delta ^2C^4_i\{ f\} + C^2_i\{ f_{xx}\} + O(h).
(29)

where

Failed to parse (MathML with SVG or PNG fallback (recommended for modern browsers and accessibility tools): Invalid response ("Math extension cannot connect to Restbase.") from server "https://mathoid.scipedia.com/localhost/v1/":): \delta ^4f = \dfrac{1}{h^4}\left(f_{i+2}-4f_{i+1}+6f_i-4f_{i-1}+f_{i-2}\right).

Note that now the contribution notation includes from which function Failed to parse (MathML with SVG or PNG fallback (recommended for modern browsers and accessibility tools): Invalid response ("Math extension cannot connect to Restbase.") from server "https://mathoid.scipedia.com/localhost/v1/":): {\textstyle f}

or Failed to parse (MathML with SVG or PNG fallback (recommended for modern browsers and accessibility tools): Invalid response ("Math extension cannot connect to Restbase.") from server "https://mathoid.scipedia.com/localhost/v1/":): {\textstyle f_{xx}}
it comes. We also remark that term Failed to parse (MathML with SVG or PNG fallback (recommended for modern browsers and accessibility tools): Invalid response ("Math extension cannot connect to Restbase.") from server "https://mathoid.scipedia.com/localhost/v1/":): {\textstyle bh^2\delta ^2f_{xxxx}}
will be small if we guarantee Failed to parse (MathML with SVG or PNG fallback (recommended for modern browsers and accessibility tools): Invalid response ("Math extension cannot connect to Restbase.") from server "https://mathoid.scipedia.com/localhost/v1/":): {\textstyle \delta ^2f_{xxxx}\approx f_{xxxxxx}}
is bounded, which is always true in our analysis. Now, using identities (28) and (29), we obtain the discretization of the right-hand side as follows
Failed to parse (MathML with SVG or PNG fallback (recommended for modern browsers and accessibility tools): Invalid response ("Math extension cannot connect to Restbase.") from server "https://mathoid.scipedia.com/localhost/v1/":): f_i + bh^2 f_{xx}|_i+eh^4 f_{xxxx}|_i=\,df_{i-2}+ (b-4d)f_{i-1}+\,(1-2b+6d)f_i+\,(b-4d)f_{i+1}+\,df_{i+2}
Failed to parse (MathML with SVG or PNG fallback (recommended for modern browsers and accessibility tools): Invalid response ("Math extension cannot connect to Restbase.") from server "https://mathoid.scipedia.com/localhost/v1/":): +\; bh^2C^4_i\{ f\} + dh^4\left(C^2_i\{ f_{xx}\} + \delta ^2C^4_i\{ f\} \right)+ O(h^5).
(30)

Finally, the HIFD-IIM for the 1D Poisson equation (24) at Failed to parse (MathML with SVG or PNG fallback (recommended for modern browsers and accessibility tools): Invalid response ("Math extension cannot connect to Restbase.") from server "https://mathoid.scipedia.com/localhost/v1/":): {\textstyle x_i}

is given by

Failed to parse (MathML with SVG or PNG fallback (recommended for modern browsers and accessibility tools): Invalid response ("Math extension cannot connect to Restbase.") from server "https://mathoid.scipedia.com/localhost/v1/":): \left.\delta ^2 u\right|_i = \,df_{i-2}+ (b-4d)f_{i-1}+\,(1-2b+6d)f_i+\,(b-4d)f_{i+1}+\,ef_{i+2} + \;\mathcal{C} + O(h^5),
(31)

where Failed to parse (MathML with SVG or PNG fallback (recommended for modern browsers and accessibility tools): Invalid response ("Math extension cannot connect to Restbase.") from server "https://mathoid.scipedia.com/localhost/v1/":): {\textstyle \mathcal{C}=(C_f)_i-C_i^6\{ u\} }

and
Failed to parse (MathML with SVG or PNG fallback (recommended for modern browsers and accessibility tools): Invalid response ("Math extension cannot connect to Restbase.") from server "https://mathoid.scipedia.com/localhost/v1/":): (C_f)_i:= bh^2C^4_i\{ f\} + dh^4C^2_i\{ f_{xx}\} + dh^2\left(C^4_{i+1}\{ f\} -2C^4_i\{ f\} +C^4_{i-1}\{ f\} \right),

for Failed to parse (MathML with SVG or PNG fallback (recommended for modern browsers and accessibility tools): Invalid response ("Math extension cannot connect to Restbase.") from server "https://mathoid.scipedia.com/localhost/v1/":): {\textstyle i=2, \dots , N} . Note that Dirichlet boundary conditions are directly applied at Failed to parse (MathML with SVG or PNG fallback (recommended for modern browsers and accessibility tools): Invalid response ("Math extension cannot connect to Restbase.") from server "https://mathoid.scipedia.com/localhost/v1/":): {\textstyle i=1}

and Failed to parse (MathML with SVG or PNG fallback (recommended for modern browsers and accessibility tools): Invalid response ("Math extension cannot connect to Restbase.") from server "https://mathoid.scipedia.com/localhost/v1/":): {\textstyle i=N+1}

.

Using definitions (19), (20), (22), and (23), we can simplify contribution Failed to parse (MathML with SVG or PNG fallback (recommended for modern browsers and accessibility tools): Invalid response ("Math extension cannot connect to Restbase.") from server "https://mathoid.scipedia.com/localhost/v1/":): {\textstyle (C_f)_i}

as

Failed to parse (MathML with SVG or PNG fallback (recommended for modern browsers and accessibility tools): Invalid response ("Math extension cannot connect to Restbase.") from server "https://mathoid.scipedia.com/localhost/v1/":): (C_f)_i = \begin{cases}-d\left([f]+h_R\left[f_x\right]+\dfrac{h_R^2}{2}\left[f_{xx}\right]+\dfrac{h_R^3}{3!}\left[f_{xxx}\right]+\dfrac{h_R^2}{4!}\left[f_{xxxx}\right]\right)&i=I-1\\[2mm] -\left(a_0[f]+r_1\left[f_x\right]+r_2\left[f_{xx}\right]+r_3\left[f_{xxx}\right]+r_4\left[f_{xxxx} \right]\right)& i=I, \\[2mm] a_0[f]+l_1\left[f_x\right]+l_2\left[f_{xx}\right]+l_3\left[f_{xxx}\right]+l_4\left[f_{xxxx} \right],& i=I+1,\\[2mm] d\left([f]+h_L\left[f_x\right]+\dfrac{h_L^2}{2}\left[f_{xx}\right]+\dfrac{h_L^3}{3!}\left[f_{xxx}\right]+\dfrac{h_L^4}{4!}\left[f_{xxxx} \right]\right)& i=I+2,\\[2mm] 0 & \mathrm{otherwise}, \end{cases}
(32)

where Failed to parse (MathML with SVG or PNG fallback (recommended for modern browsers and accessibility tools): Invalid response ("Math extension cannot connect to Restbase.") from server "https://mathoid.scipedia.com/localhost/v1/":): {\textstyle a_0 = b-d} , and

Failed to parse (MathML with SVG or PNG fallback (recommended for modern browsers and accessibility tools): Invalid response ("Math extension cannot connect to Restbase.") from server "https://mathoid.scipedia.com/localhost/v1/":): \begin{array}{ll}r_1 = bh_R + d(h_L-2h_R), & l_1 = bh_L + d(h_R-2h_L), \\[2mm] r_2 = \dfrac{1}{2}\left(bh^2_R + d(h_L^2-2h_R^2+2h^2)\right), & l_2 = \dfrac{1}{2}\left(bh^2_L + d(h_R^2-2h_L^2+2h^2)\right),\\[2mm] r_3 = \dfrac{1}{3!}\left(bh^3_R + d(h_L^3-2h_R^3+6h^2h_R)\right), & l_3 = \dfrac{1}{3!}\left(bh^3_L + d(h_R^3-2h_L^3+6h^2h_L)\right),\\[2mm] r_4 = \dfrac{1}{4!}\left(bh^4_R + d(h_L^4-2h_R^4+24h^2h_R^2)\right), & l_4 = \dfrac{1}{4!}\left(bh^4_L + d(h_R^4-2h_L^4+24h^2h_L^2)\right). \end{array}

3.1 1D HIFD-IIM and the principal jump conditions

Note that Failed to parse (MathML with SVG or PNG fallback (recommended for modern browsers and accessibility tools): Invalid response ("Math extension cannot connect to Restbase.") from server "https://mathoid.scipedia.com/localhost/v1/":): {\textstyle \left[u\right]} , Failed to parse (MathML with SVG or PNG fallback (recommended for modern browsers and accessibility tools): Invalid response ("Math extension cannot connect to Restbase.") from server "https://mathoid.scipedia.com/localhost/v1/":): {\textstyle \left[u_{x}\right]} , Failed to parse (MathML with SVG or PNG fallback (recommended for modern browsers and accessibility tools): Invalid response ("Math extension cannot connect to Restbase.") from server "https://mathoid.scipedia.com/localhost/v1/":): {\textstyle \left[u_{xx}\right]} , Failed to parse (MathML with SVG or PNG fallback (recommended for modern browsers and accessibility tools): Invalid response ("Math extension cannot connect to Restbase.") from server "https://mathoid.scipedia.com/localhost/v1/":): {\textstyle \left[u_{xxx}\right]} , Failed to parse (MathML with SVG or PNG fallback (recommended for modern browsers and accessibility tools): Invalid response ("Math extension cannot connect to Restbase.") from server "https://mathoid.scipedia.com/localhost/v1/":): {\textstyle \left[u_{xxxx}\right]} , Failed to parse (MathML with SVG or PNG fallback (recommended for modern browsers and accessibility tools): Invalid response ("Math extension cannot connect to Restbase.") from server "https://mathoid.scipedia.com/localhost/v1/":): {\textstyle \left[u_{xxxxx}\right]}

and Failed to parse (MathML with SVG or PNG fallback (recommended for modern browsers and accessibility tools): Invalid response ("Math extension cannot connect to Restbase.") from server "https://mathoid.scipedia.com/localhost/v1/":): {\textstyle \left[u_{xxxxxx}\right]}
must be known to apply the proposed sixth-order HIFD-IIM. Thus, it seems that more jump conditions of Failed to parse (MathML with SVG or PNG fallback (recommended for modern browsers and accessibility tools): Invalid response ("Math extension cannot connect to Restbase.") from server "https://mathoid.scipedia.com/localhost/v1/":): {\textstyle u}
rather than the principal jump conditions are required to have a sixth-order accurate method. However, we can use the Poisson equation (24) to obtain relations between Failed to parse (MathML with SVG or PNG fallback (recommended for modern browsers and accessibility tools): Invalid response ("Math extension cannot connect to Restbase.") from server "https://mathoid.scipedia.com/localhost/v1/":): {\textstyle u}

, Failed to parse (MathML with SVG or PNG fallback (recommended for modern browsers and accessibility tools): Invalid response ("Math extension cannot connect to Restbase.") from server "https://mathoid.scipedia.com/localhost/v1/":): {\textstyle f}

and their derivatives as follows
Failed to parse (MathML with SVG or PNG fallback (recommended for modern browsers and accessibility tools): Invalid response ("Math extension cannot connect to Restbase.") from server "https://mathoid.scipedia.com/localhost/v1/":): \left[u_{xx}\right]=[f], \quad \left[u_{xxx}\right]=\left[f_{x}\right], \quad \left[u_{xxxx}\right]=\left[f_{xx}\right], \quad \left[u_{xxxxx}\right]=\left[f_{xxx}\right], \quad \left[u_{xxxxxx}\right]=\left[f_{xxxx}\right].

Thus, the total jump contribution for the 1D problem, Failed to parse (MathML with SVG or PNG fallback (recommended for modern browsers and accessibility tools): Invalid response ("Math extension cannot connect to Restbase.") from server "https://mathoid.scipedia.com/localhost/v1/":): {\textstyle \mathcal{C}} , is given by

Failed to parse (MathML with SVG or PNG fallback (recommended for modern browsers and accessibility tools): Invalid response ("Math extension cannot connect to Restbase.") from server "https://mathoid.scipedia.com/localhost/v1/":): \mathcal{C}= \begin{cases} -d\left([f]+h_R\left[f_x\right]+\dfrac{h_R^2}{2}\left[f_{xx}\right]+\dfrac{h_R^3}{3!}\left[f_{xxx}\right]+\dfrac{h_R^2}{4!}\left[f_{xxxx}\right]\right), &i=I-1,\\[3mm] \dfrac{1}{h^2}\left\{[u] + h_R\left[u_{x}\right]\right\}-\left(R_0[f]+R_1\left[f_x\right]+R_2\left[f_{xx}\right]+R_3\left[f_{xxx}\right]+R_4\left[f_{xxxx} \right]\right), & i=I, \\[3mm] -\dfrac{1}{h^2}\left\{[u] + h_L\left[u_{x}\right]\right\}+L_0[f]+L_1\left[f_x\right]+L_2\left[f_{xx}\right]+L_3\left[f_{xxx}\right]+L_4\left[f_{xxxx} \right],& i=I+1,\\[3mm] d\left([f]+h_L\left[f_x\right]+\dfrac{h_L^2}{2}\left[f_{xx}\right]+\dfrac{h_L^3}{3!}\left[f_{xxx}\right]+\dfrac{h_L^4}{4!}\left[f_{xxxx} \right]\right),& i=I+2,\\[3mm] 0, & \mathrm{otherwise}, \end{cases}

where

Failed to parse (MathML with SVG or PNG fallback (recommended for modern browsers and accessibility tools): Invalid response ("Math extension cannot connect to Restbase.") from server "https://mathoid.scipedia.com/localhost/v1/":): R_0 = a_0-\dfrac{h_R^2}{2h^2}, \quad R_k = r_k-\dfrac{h_R^{k+2}}{(k+2)!h^2}, \quad L_0 = a_0-\dfrac{h_L^2}{2h^2}, \quad L_k = l_k-\dfrac{h_L^{k+2}}{(k+2)!h^2}.

for Failed to parse (MathML with SVG or PNG fallback (recommended for modern browsers and accessibility tools): Invalid response ("Math extension cannot connect to Restbase.") from server "https://mathoid.scipedia.com/localhost/v1/":): {\textstyle k=1,2,3,4} . Thus, the contribution Failed to parse (MathML with SVG or PNG fallback (recommended for modern browsers and accessibility tools): Invalid response ("Math extension cannot connect to Restbase.") from server "https://mathoid.scipedia.com/localhost/v1/":): {\textstyle \mathcal{C}=(C_f)_i-C^6_i\{ u\} }

depends only on the principal jump conditions and right-hand side jumps Failed to parse (MathML with SVG or PNG fallback (recommended for modern browsers and accessibility tools): Invalid response ("Math extension cannot connect to Restbase.") from server "https://mathoid.scipedia.com/localhost/v1/":): {\textstyle [f]}

, Failed to parse (MathML with SVG or PNG fallback (recommended for modern browsers and accessibility tools): Invalid response ("Math extension cannot connect to Restbase.") from server "https://mathoid.scipedia.com/localhost/v1/":): {\textstyle \left[f_{x}\right]} , Failed to parse (MathML with SVG or PNG fallback (recommended for modern browsers and accessibility tools): Invalid response ("Math extension cannot connect to Restbase.") from server "https://mathoid.scipedia.com/localhost/v1/":): {\textstyle \left[f_{xx}\right]} , Failed to parse (MathML with SVG or PNG fallback (recommended for modern browsers and accessibility tools): Invalid response ("Math extension cannot connect to Restbase.") from server "https://mathoid.scipedia.com/localhost/v1/":): {\textstyle \left[f_{xxx}\right]} , and Failed to parse (MathML with SVG or PNG fallback (recommended for modern browsers and accessibility tools): Invalid response ("Math extension cannot connect to Restbase.") from server "https://mathoid.scipedia.com/localhost/v1/":): {\textstyle \left[f_{xxxx} \right]} .

Remark 3: For the 1D Poisson problem, a second-order IIM (Failed to parse (MathML with SVG or PNG fallback (recommended for modern browsers and accessibility tools): Invalid response ("Math extension cannot connect to Restbase.") from server "https://mathoid.scipedia.com/localhost/v1/":): {\textstyle b=0} , Failed to parse (MathML with SVG or PNG fallback (recommended for modern browsers and accessibility tools): Invalid response ("Math extension cannot connect to Restbase.") from server "https://mathoid.scipedia.com/localhost/v1/":): {\textstyle d=0} ) only requires knowing the principal jump conditions Failed to parse (MathML with SVG or PNG fallback (recommended for modern browsers and accessibility tools): Invalid response ("Math extension cannot connect to Restbase.") from server "https://mathoid.scipedia.com/localhost/v1/":): {\textstyle [u]} , Failed to parse (MathML with SVG or PNG fallback (recommended for modern browsers and accessibility tools): Invalid response ("Math extension cannot connect to Restbase.") from server "https://mathoid.scipedia.com/localhost/v1/":): {\textstyle \left[u_{x}\right]} , and Failed to parse (MathML with SVG or PNG fallback (recommended for modern browsers and accessibility tools): Invalid response ("Math extension cannot connect to Restbase.") from server "https://mathoid.scipedia.com/localhost/v1/":): {\textstyle \left[f\right]} . On the other hand, a fourth-order IFD-IIM (Failed to parse (MathML with SVG or PNG fallback (recommended for modern browsers and accessibility tools): Invalid response ("Math extension cannot connect to Restbase.") from server "https://mathoid.scipedia.com/localhost/v1/":): {\textstyle d=0} ) is obtained knowing the principal jump conditions Failed to parse (MathML with SVG or PNG fallback (recommended for modern browsers and accessibility tools): Invalid response ("Math extension cannot connect to Restbase.") from server "https://mathoid.scipedia.com/localhost/v1/":): {\textstyle [u]} , Failed to parse (MathML with SVG or PNG fallback (recommended for modern browsers and accessibility tools): Invalid response ("Math extension cannot connect to Restbase.") from server "https://mathoid.scipedia.com/localhost/v1/":): {\textstyle \left[u_x\right]} , Failed to parse (MathML with SVG or PNG fallback (recommended for modern browsers and accessibility tools): Invalid response ("Math extension cannot connect to Restbase.") from server "https://mathoid.scipedia.com/localhost/v1/":): {\textstyle \left[f \right]} , and additionally Failed to parse (MathML with SVG or PNG fallback (recommended for modern browsers and accessibility tools): Invalid response ("Math extension cannot connect to Restbase.") from server "https://mathoid.scipedia.com/localhost/v1/":): {\textstyle \left[f_x \right]}

and Failed to parse (MathML with SVG or PNG fallback (recommended for modern browsers and accessibility tools): Invalid response ("Math extension cannot connect to Restbase.") from server "https://mathoid.scipedia.com/localhost/v1/":): {\textstyle \left[f_{xx} \right]}

. However, the extra jumps are from the right-hand side, which is already known analytically or can be approximated using the current values of Failed to parse (MathML with SVG or PNG fallback (recommended for modern browsers and accessibility tools): Invalid response ("Math extension cannot connect to Restbase.") from server "https://mathoid.scipedia.com/localhost/v1/":): {\textstyle f} . In this paper, we will assume that we know them.

Remark 4: We can achieve sixth or fourth-order approximation in some particular grids even if we do not know high-order derivative jumps. For example, for the sixth-order HIFD-IIM, if Failed to parse (MathML with SVG or PNG fallback (recommended for modern browsers and accessibility tools): Invalid response ("Math extension cannot connect to Restbase.") from server "https://mathoid.scipedia.com/localhost/v1/":): {\textstyle h_R/h=1} , then Failed to parse (MathML with SVG or PNG fallback (recommended for modern browsers and accessibility tools): Invalid response ("Math extension cannot connect to Restbase.") from server "https://mathoid.scipedia.com/localhost/v1/":): {\textstyle h_L=0} , and both weight terms next to the fourth-order derivative jump of Failed to parse (MathML with SVG or PNG fallback (recommended for modern browsers and accessibility tools): Invalid response ("Math extension cannot connect to Restbase.") from server "https://mathoid.scipedia.com/localhost/v1/":): {\textstyle f}

are equal to zero. Thus, we do not require to know the jump condition Failed to parse (MathML with SVG or PNG fallback (recommended for modern browsers and accessibility tools): Invalid response ("Math extension cannot connect to Restbase.") from server "https://mathoid.scipedia.com/localhost/v1/":): {\textstyle \left[f_{xxxx}\right]}
to obtain a sixth-order method when the interface is located at a grid point. Similarly, we can get a fourth-order scheme even if we do not know jump condition Failed to parse (MathML with SVG or PNG fallback (recommended for modern browsers and accessibility tools): Invalid response ("Math extension cannot connect to Restbase.") from server "https://mathoid.scipedia.com/localhost/v1/":): {\textstyle \left[f_{xx}\right]}
when the interface is located at a grid point.

4. Two-dimensional problem

We now apply the methodology to 2D problems and straight interfaces. We study the 2D Poisson problem given by

Failed to parse (MathML with SVG or PNG fallback (recommended for modern browsers and accessibility tools): Invalid response ("Math extension cannot connect to Restbase.") from server "https://mathoid.scipedia.com/localhost/v1/":): u_{xx}(x,y) +u_{yy}(x,y) = f(x,y),\quad (x,y)\in \Omega = (\mathfrak{a},x_\alpha ) \cup (x_\alpha , \mathfrak{b})\times (\mathfrak{c},\mathfrak{d}),
(33)

where Failed to parse (MathML with SVG or PNG fallback (recommended for modern browsers and accessibility tools): Invalid response ("Math extension cannot connect to Restbase.") from server "https://mathoid.scipedia.com/localhost/v1/":): {\textstyle u}

and Failed to parse (MathML with SVG or PNG fallback (recommended for modern browsers and accessibility tools): Invalid response ("Math extension cannot connect to Restbase.") from server "https://mathoid.scipedia.com/localhost/v1/":): {\textstyle f}
can be discontinuous functions at Failed to parse (MathML with SVG or PNG fallback (recommended for modern browsers and accessibility tools): Invalid response ("Math extension cannot connect to Restbase.") from server "https://mathoid.scipedia.com/localhost/v1/":): {\textstyle x=x_\alpha }

, and the principal jump conditions are known functions in the variable Failed to parse (MathML with SVG or PNG fallback (recommended for modern browsers and accessibility tools): Invalid response ("Math extension cannot connect to Restbase.") from server "https://mathoid.scipedia.com/localhost/v1/":): {\textstyle y}

and specified as follows

Failed to parse (MathML with SVG or PNG fallback (recommended for modern browsers and accessibility tools): Invalid response ("Math extension cannot connect to Restbase.") from server "https://mathoid.scipedia.com/localhost/v1/":): \left[u\right]= \mathfrak{p}(x_\alpha ,y), \quad \mathrm{and} \quad \left[u_{{n}} \right]= \mathfrak{q}(x_\alpha ,y) , \qquad \mathfrak{c} \leq y \leq \mathfrak{d}.
(34)

The numerical domain is discretized using an uniform mesh, Failed to parse (MathML with SVG or PNG fallback (recommended for modern browsers and accessibility tools): Invalid response ("Math extension cannot connect to Restbase.") from server "https://mathoid.scipedia.com/localhost/v1/":): {\textstyle h = (\mathfrak{b}-\mathfrak{a})/N}

(Failed to parse (MathML with SVG or PNG fallback (recommended for modern browsers and accessibility tools): Invalid response ("Math extension cannot connect to Restbase.") from server "https://mathoid.scipedia.com/localhost/v1/":): {\textstyle N}
sub-intervals in the Failed to parse (MathML with SVG or PNG fallback (recommended for modern browsers and accessibility tools): Invalid response ("Math extension cannot connect to Restbase.") from server "https://mathoid.scipedia.com/localhost/v1/":): {\textstyle x}

-direction) and assuming that Failed to parse (MathML with SVG or PNG fallback (recommended for modern browsers and accessibility tools): Invalid response ("Math extension cannot connect to Restbase.") from server "https://mathoid.scipedia.com/localhost/v1/":): {\textstyle \mathfrak{d}-\mathfrak{c} = Mh}

(Failed to parse (MathML with SVG or PNG fallback (recommended for modern browsers and accessibility tools): Invalid response ("Math extension cannot connect to Restbase.") from server "https://mathoid.scipedia.com/localhost/v1/":): {\textstyle M}
sub-intervals in the Failed to parse (MathML with SVG or PNG fallback (recommended for modern browsers and accessibility tools): Invalid response ("Math extension cannot connect to Restbase.") from server "https://mathoid.scipedia.com/localhost/v1/":): {\textstyle y}

-direction). We denote as Failed to parse (MathML with SVG or PNG fallback (recommended for modern browsers and accessibility tools): Invalid response ("Math extension cannot connect to Restbase.") from server "https://mathoid.scipedia.com/localhost/v1/":): {\textstyle u_{ij}=u(x_i,y_j)}

and Failed to parse (MathML with SVG or PNG fallback (recommended for modern browsers and accessibility tools): Invalid response ("Math extension cannot connect to Restbase.") from server "https://mathoid.scipedia.com/localhost/v1/":): {\textstyle f_{ij}=f(x_i,y_j)}
where the Failed to parse (MathML with SVG or PNG fallback (recommended for modern browsers and accessibility tools): Invalid response ("Math extension cannot connect to Restbase.") from server "https://mathoid.scipedia.com/localhost/v1/":): {\textstyle ij}

th point is given by

Failed to parse (MathML with SVG or PNG fallback (recommended for modern browsers and accessibility tools): Invalid response ("Math extension cannot connect to Restbase.") from server "https://mathoid.scipedia.com/localhost/v1/":): (x_i,y_j)=(\mathfrak{a}+(i-1)h,\mathfrak{c}+(j-1)h), \qquad i=1,\dots , N, N+1, j=1, \dots , M, M+1.

The grid points are also classified into two types: regular and irregular. If the straight interface, Failed to parse (MathML with SVG or PNG fallback (recommended for modern browsers and accessibility tools): Invalid response ("Math extension cannot connect to Restbase.") from server "https://mathoid.scipedia.com/localhost/v1/":): {\textstyle x = x_\alpha } , intersects the FD stencil surrounding the Failed to parse (MathML with SVG or PNG fallback (recommended for modern browsers and accessibility tools): Invalid response ("Math extension cannot connect to Restbase.") from server "https://mathoid.scipedia.com/localhost/v1/":): {\textstyle ij} th point, the center point is called irregular; otherwise, the grid point is regular (Figure 3).

Draft Balam 338770048-Fig IRPoints.png
Figure 3. Two-dimensional computational domain with a uniform mesh showing regular and irregular grid points. On the right-hand side, we list different types of stencils used to discretize the 2D Poisson problem


Finally, let us define the discrete operators Failed to parse (MathML with SVG or PNG fallback (recommended for modern browsers and accessibility tools): Invalid response ("Math extension cannot connect to Restbase.") from server "https://mathoid.scipedia.com/localhost/v1/":): {\textstyle \delta ^2_x}

and Failed to parse (MathML with SVG or PNG fallback (recommended for modern browsers and accessibility tools): Invalid response ("Math extension cannot connect to Restbase.") from server "https://mathoid.scipedia.com/localhost/v1/":): {\textstyle \delta ^4_x}
at the Failed to parse (MathML with SVG or PNG fallback (recommended for modern browsers and accessibility tools): Invalid response ("Math extension cannot connect to Restbase.") from server "https://mathoid.scipedia.com/localhost/v1/":): {\textstyle ij}

th point as

Failed to parse (MathML with SVG or PNG fallback (recommended for modern browsers and accessibility tools): Invalid response ("Math extension cannot connect to Restbase.") from server "https://mathoid.scipedia.com/localhost/v1/":): \delta ^2_x u(x_i,y_j) = \dfrac{u_{i+1j}-2u_{ij}+u_{i-1j}}{h^2},
Failed to parse (MathML with SVG or PNG fallback (recommended for modern browsers and accessibility tools): Invalid response ("Math extension cannot connect to Restbase.") from server "https://mathoid.scipedia.com/localhost/v1/":): \delta ^4_x u(x_i,y_j) = \delta ^2_x\delta ^2_x u(x_i,y_j) = \dfrac{u_{i+2j}-4u_{i+1j}+6u_{ij}-4u_{i-1j}+u_{i-2j}}{h^4}.

Formulas Failed to parse (MathML with SVG or PNG fallback (recommended for modern browsers and accessibility tools): Invalid response ("Math extension cannot connect to Restbase.") from server "https://mathoid.scipedia.com/localhost/v1/":): {\textstyle \delta ^2_y}

and Failed to parse (MathML with SVG or PNG fallback (recommended for modern browsers and accessibility tools): Invalid response ("Math extension cannot connect to Restbase.") from server "https://mathoid.scipedia.com/localhost/v1/":): {\textstyle \delta ^4_y}
are defined similarly.

We develop the discretization around the Failed to parse (MathML with SVG or PNG fallback (recommended for modern browsers and accessibility tools): Invalid response ("Math extension cannot connect to Restbase.") from server "https://mathoid.scipedia.com/localhost/v1/":): {\textstyle ij} th point. However, to simplify our exposition we drop the evaluation at Failed to parse (MathML with SVG or PNG fallback (recommended for modern browsers and accessibility tools): Invalid response ("Math extension cannot connect to Restbase.") from server "https://mathoid.scipedia.com/localhost/v1/":): {\textstyle ij} th point. We start the discretization by applying the HIFD operator (7) in Failed to parse (MathML with SVG or PNG fallback (recommended for modern browsers and accessibility tools): Invalid response ("Math extension cannot connect to Restbase.") from server "https://mathoid.scipedia.com/localhost/v1/":): {\textstyle x} - and Failed to parse (MathML with SVG or PNG fallback (recommended for modern browsers and accessibility tools): Invalid response ("Math extension cannot connect to Restbase.") from server "https://mathoid.scipedia.com/localhost/v1/":): {\textstyle y} -direction to the Poisson equation (33), as

Failed to parse (MathML with SVG or PNG fallback (recommended for modern browsers and accessibility tools): Invalid response ("Math extension cannot connect to Restbase.") from server "https://mathoid.scipedia.com/localhost/v1/":): \partial _y^4 u_{xx} + \partial _y^4 u_{yy} = \partial _y^4 f, \quad \mathrm{and} \quad \partial _x^4 u_{xx} + \partial _x^4 u_{yy} = \partial _x^4 f,
(35)

where

Failed to parse (MathML with SVG or PNG fallback (recommended for modern browsers and accessibility tools): Invalid response ("Math extension cannot connect to Restbase.") from server "https://mathoid.scipedia.com/localhost/v1/":): \partial _x^4(\cdot ):= (\cdot ) + bh^2(\cdot )_{xx} + eh^4(\cdot )_{xxxx}, \quad \textrm{ and } \quad \partial _y^4(\cdot ):= (\cdot ) + bh^2(\cdot )_{yy} + eh^4(\cdot )_{yyyy}.
(36)

Adding both equations in Eq. (35),

Failed to parse (MathML with SVG or PNG fallback (recommended for modern browsers and accessibility tools): Invalid response ("Math extension cannot connect to Restbase.") from server "https://mathoid.scipedia.com/localhost/v1/":): \partial ^4_x u_{xx} + \partial ^4_y u_{yy} + \partial ^4_y u_{xx} + \partial ^4_x u_{yy} = \partial _x^4 f + \partial _y^4 f.
(37)

In the following sections, we will describe the discretization of Eq. (37) for regular and irregular grid points.

4.1 The HIFD-IIM at regular points

Using one-dimensional formula (6), Eq. (36) and some algebraic simplifications, the sixth-order implicit method applied on the regular grid points is given by

Failed to parse (MathML with SVG or PNG fallback (recommended for modern browsers and accessibility tools): Invalid response ("Math extension cannot connect to Restbase.") from server "https://mathoid.scipedia.com/localhost/v1/":): \delta _x^2u+ \delta _y^2u + b h^2 \left(\delta _y^2\delta _x^2u+\delta _x^2\delta _y^2u\right)+ (e-2b^2)h^4\left(\delta _x^4\delta _y^2u+\delta _y^4\delta _x^2u\right)
Failed to parse (MathML with SVG or PNG fallback (recommended for modern browsers and accessibility tools): Invalid response ("Math extension cannot connect to Restbase.") from server "https://mathoid.scipedia.com/localhost/v1/":): = f + b h^2 \left(f_{xx} + f_{yy}\right)+ eh^4\left(f_{xxxx} + f_{yyyy}\right)+ O(h^6).
(38)

The implicit methods have not only high accuracy, but they are also more efficient in terms of the number of iterations required to solve the linear system of the discretization [13]. In the next section we work with the irregular grind points.

4.2 The HIFD-IIM at irregular points

As the interface is a vertical line, the left-hand side terms without cross derivatives of (37) can be approximated using the HIFD-IIM formulation as follows

Failed to parse (MathML with SVG or PNG fallback (recommended for modern browsers and accessibility tools): Invalid response ("Math extension cannot connect to Restbase.") from server "https://mathoid.scipedia.com/localhost/v1/":): \partial ^4_x u_{xx} = \delta _x^2u + C^6\{ u\} +O(h^5),\quad \textrm{ and } \quad \partial ^4_y u_{yy} = \delta _y^2u +O(h^6).
(39)

The left-hand side terms with cross derivatives of (37) require more attention. Using the Poisson equation and Theorem 1, we can show that the following equation holds

Failed to parse (MathML with SVG or PNG fallback (recommended for modern browsers and accessibility tools): Invalid response ("Math extension cannot connect to Restbase.") from server "https://mathoid.scipedia.com/localhost/v1/":): \partial ^4_y u_{xx} + \partial ^4_x u_{yy} = f + b h^2 \left(\delta _y^2\delta _x^2u+\delta _x^2\delta _y^2u\right)+ (e-2b^2)h^4\left(\delta _x^4\delta _y^2u+\delta _y^4\delta _x^2u\right)
Failed to parse (MathML with SVG or PNG fallback (recommended for modern browsers and accessibility tools): Invalid response ("Math extension cannot connect to Restbase.") from server "https://mathoid.scipedia.com/localhost/v1/":): +\;bh^2\delta _y^2C^6\{ u\} +bh^2\left(C^4\{ u_{yy}\} + bh^2C^2\{ u_{yyyy}\} \right)
Failed to parse (MathML with SVG or PNG fallback (recommended for modern browsers and accessibility tools): Invalid response ("Math extension cannot connect to Restbase.") from server "https://mathoid.scipedia.com/localhost/v1/":): +\;(e-2b^2)h^4\left(\delta _x^2C^4\{ u_{yy}\} + bh^2\delta _x^2C^2\{ u_{yyyy}\} + C^2\{ u_{yyxx}\} + \delta _y^4C^6\{ u\} \right)+ O(h^5).
(40)

On the other hand, using the definition of operator Failed to parse (MathML with SVG or PNG fallback (recommended for modern browsers and accessibility tools): Invalid response ("Math extension cannot connect to Restbase.") from server "https://mathoid.scipedia.com/localhost/v1/":): {\textstyle \partial ^4}

given by (36), the right-hand side can be written as follows

Failed to parse (MathML with SVG or PNG fallback (recommended for modern browsers and accessibility tools): Invalid response ("Math extension cannot connect to Restbase.") from server "https://mathoid.scipedia.com/localhost/v1/":): \partial _x^4 f + \partial _y^4 f = 2f + b h^2 \left(f_{xx} + f_{yy}\right)+ eh^4\left(f_{xxxx} + f_{yyyy}\right).
(41)

Substituting Eqs. (39)-(41) into (37) we obtain

Failed to parse (MathML with SVG or PNG fallback (recommended for modern browsers and accessibility tools): Invalid response ("Math extension cannot connect to Restbase.") from server "https://mathoid.scipedia.com/localhost/v1/":): \delta _x^2u+ \delta _y^2u + b h^2 \left(\delta _y^2\delta _x^2u+\delta _x^2\delta _y^2u\right)+ (e-2b^2)h^4\left(\delta _x^4\delta _y^2u+\delta _y^4\delta _x^2u\right)
Failed to parse (MathML with SVG or PNG fallback (recommended for modern browsers and accessibility tools): Invalid response ("Math extension cannot connect to Restbase.") from server "https://mathoid.scipedia.com/localhost/v1/":): = f + b h^2 \left(f_{xx} + f_{yy}\right)+ eh^4\left(f_{xxxx} + f_{yyyy}\right) +\;\mathcal{C}_u + O(h^5),
(42)

where

Failed to parse (MathML with SVG or PNG fallback (recommended for modern browsers and accessibility tools): Invalid response ("Math extension cannot connect to Restbase.") from server "https://mathoid.scipedia.com/localhost/v1/":): \mathcal{C}_u = -C^6\{ u\} -bh^2\delta _y^2C^6\{ u\} -bh^2\left(C^4\{ u_{yy}\} + bh^2C^2\{ u_{yyyy}\} \right)
Failed to parse (MathML with SVG or PNG fallback (recommended for modern browsers and accessibility tools): Invalid response ("Math extension cannot connect to Restbase.") from server "https://mathoid.scipedia.com/localhost/v1/":): -(e-2b^2)h^4\left(\delta _x^2C^4\{ u_{yy}\} + bh^2\delta _x^2C^2\{ u_{yyyy}\} + C^2\{ u_{yyxx}\} + \delta _y^4C^6\{ u\} \right) + O(h^5).
(43)

All above terms are evaluated at the Failed to parse (MathML with SVG or PNG fallback (recommended for modern browsers and accessibility tools): Invalid response ("Math extension cannot connect to Restbase.") from server "https://mathoid.scipedia.com/localhost/v1/":): {\textstyle ij} th point (omitted to avoid misunderstandings). If we known explicitly Failed to parse (MathML with SVG or PNG fallback (recommended for modern browsers and accessibility tools): Invalid response ("Math extension cannot connect to Restbase.") from server "https://mathoid.scipedia.com/localhost/v1/":): {\textstyle f} , then the discretization is complete. However, there are problems which the Poisson implementation only allows to known the right-hand side at the discretization points. In the following section, we focus on this case.

4.3 Right-hand side approximation

It is possible that Failed to parse (MathML with SVG or PNG fallback (recommended for modern browsers and accessibility tools): Invalid response ("Math extension cannot connect to Restbase.") from server "https://mathoid.scipedia.com/localhost/v1/":): {\textstyle f}

is only know at the grid points. If this is the case, we only require to compute terms Failed to parse (MathML with SVG or PNG fallback (recommended for modern browsers and accessibility tools): Invalid response ("Math extension cannot connect to Restbase.") from server "https://mathoid.scipedia.com/localhost/v1/":): {\textstyle f_{xx}}
and Failed to parse (MathML with SVG or PNG fallback (recommended for modern browsers and accessibility tools): Invalid response ("Math extension cannot connect to Restbase.") from server "https://mathoid.scipedia.com/localhost/v1/":): {\textstyle f_{xxxx}}
using HIFD-IIM because the interface is a vertical line (Figure 3). Moreover, Eqs. (28) and (29) are valid in this case. Then,

Failed to parse (MathML with SVG or PNG fallback (recommended for modern browsers and accessibility tools): Invalid response ("Math extension cannot connect to Restbase.") from server "https://mathoid.scipedia.com/localhost/v1/":): f + b h^2 \left(f_{xx} + f_{yy}\right)+ eh^4\left(f_{xxxx} + f_{yyyy}\right) =f + bh^2\left(\delta _x^2f + \delta _y^2f\right)+ dh^4\delta _x^4f + \; eh^4\delta _y^4f
Failed to parse (MathML with SVG or PNG fallback (recommended for modern browsers and accessibility tools): Invalid response ("Math extension cannot connect to Restbase.") from server "https://mathoid.scipedia.com/localhost/v1/":): +\;bh^2C^4\{ f\} +dh^4\left(\delta _x^2C^4\{ f\} + C^2\{ f_{xx}\} \right)+O(h^5),
(44)

where Failed to parse (MathML with SVG or PNG fallback (recommended for modern browsers and accessibility tools): Invalid response ("Math extension cannot connect to Restbase.") from server "https://mathoid.scipedia.com/localhost/v1/":): {\textstyle d = e-b^2} . Finally, putting together Eqs. (42) and (44), we obtain the fully discretized 2D problem as follows

Failed to parse (MathML with SVG or PNG fallback (recommended for modern browsers and accessibility tools): Invalid response ("Math extension cannot connect to Restbase.") from server "https://mathoid.scipedia.com/localhost/v1/":): \delta _x^2u+ \delta _y^2u + b h^2 \left(\delta _y^2\delta _x^2u+\delta _x^2\delta _y^2u\right)+ (e-2b^2)h^4\left(\delta _x^4\delta _y^2u+\delta _y^4\delta _x^2u\right)
Failed to parse (MathML with SVG or PNG fallback (recommended for modern browsers and accessibility tools): Invalid response ("Math extension cannot connect to Restbase.") from server "https://mathoid.scipedia.com/localhost/v1/":): = f + bh^2\left(\delta _x^2f + \delta _y^2f\right)+ dh^4\delta _x^4f+ eh^4\delta _y^4f +\;\mathcal{C}_f +\mathcal{C}_u +O(h^5),
(45)

where Failed to parse (MathML with SVG or PNG fallback (recommended for modern browsers and accessibility tools): Invalid response ("Math extension cannot connect to Restbase.") from server "https://mathoid.scipedia.com/localhost/v1/":): {\textstyle \mathcal{C}_f = bh^2C^4\{ f\} + dh^4\left(\delta _x^2C^4\{ f\} + C^2\{ f_{xx}\} \right)} .

If the 2D Poisson problem admits a smooth solution, then all contribution terms in Eq. (45) are equal to zero, and a sixth-order method is recovered. In the presence of an interface, the contributions Failed to parse (MathML with SVG or PNG fallback (recommended for modern browsers and accessibility tools): Invalid response ("Math extension cannot connect to Restbase.") from server "https://mathoid.scipedia.com/localhost/v1/":): {\textstyle C^2} , Failed to parse (MathML with SVG or PNG fallback (recommended for modern browsers and accessibility tools): Invalid response ("Math extension cannot connect to Restbase.") from server "https://mathoid.scipedia.com/localhost/v1/":): {\textstyle C^4} , and Failed to parse (MathML with SVG or PNG fallback (recommended for modern browsers and accessibility tools): Invalid response ("Math extension cannot connect to Restbase.") from server "https://mathoid.scipedia.com/localhost/v1/":): {\textstyle C^6}

on regular grid points are always zero. This scheme requires a stencil type C (Figure 3).

Remark 5: Taking Failed to parse (MathML with SVG or PNG fallback (recommended for modern browsers and accessibility tools): Invalid response ("Math extension cannot connect to Restbase.") from server "https://mathoid.scipedia.com/localhost/v1/":): {\textstyle e=0}

into Eq. (36) and only considering approximations up to four-order accurate, we obtain the IFD-IIM
Failed to parse (MathML with SVG or PNG fallback (recommended for modern browsers and accessibility tools): Invalid response ("Math extension cannot connect to Restbase.") from server "https://mathoid.scipedia.com/localhost/v1/":): \delta _x^2u+ \delta _y^2u + b h^2 \left(\delta _y^2\delta _x^2u+\delta _x^2\delta _y^2u\right) = f + bh^2\left(\delta _x^2f + \delta _y^2f\right)+ \widehat{\mathcal{C}_f} + \widehat{\mathcal{C}_u}+O(h^3),
(46)

where Failed to parse (MathML with SVG or PNG fallback (recommended for modern browsers and accessibility tools): Invalid response ("Math extension cannot connect to Restbase.") from server "https://mathoid.scipedia.com/localhost/v1/":): {\textstyle \widehat{\mathcal{C}_f}=C^4\{ f\} }

and Failed to parse (MathML with SVG or PNG fallback (recommended for modern browsers and accessibility tools): Invalid response ("Math extension cannot connect to Restbase.") from server "https://mathoid.scipedia.com/localhost/v1/":): {\textstyle \widehat{\mathcal{C}_u} = -C^4\{ u\} -bh^2\delta _y^2C^4\{ u\} -bh^2C^2\{ u_{yy}\} }

. In addition, if the 2D Poisson problem admits a smooth solution, all contribution terms in (5) vanish, and we get a fourth-order implcit scheme. In fact, the contributions Failed to parse (MathML with SVG or PNG fallback (recommended for modern browsers and accessibility tools): Invalid response ("Math extension cannot connect to Restbase.") from server "https://mathoid.scipedia.com/localhost/v1/":): {\textstyle C^k}

are always zero on regular grid points. This scheme requires a stencil type A (Figure 3). Furthermore, if we consider that Failed to parse (MathML with SVG or PNG fallback (recommended for modern browsers and accessibility tools): Invalid response ("Math extension cannot connect to Restbase.") from server "https://mathoid.scipedia.com/localhost/v1/":): {\textstyle b=0}
in Eq. (5) then we obtain the standard explicit immersed interface method, called IIM, which is second order accurate.

Remark 6: It is possible to develop a discrete formulation for the 2D Poisson problem when the straight interface is horizontal. The resulting scheme is

Failed to parse (MathML with SVG or PNG fallback (recommended for modern browsers and accessibility tools): Invalid response ("Math extension cannot connect to Restbase.") from server "https://mathoid.scipedia.com/localhost/v1/":): \delta _x^2u+ \delta _y^2u + b h^2 \left(\delta _y^2\delta _x^2u+\delta _x^2\delta _y^2u\right)+ (e-2b^2)h^4\left(\delta _x^4\delta _y^2u+\delta _y^4\delta _x^2u\right)
Failed to parse (MathML with SVG or PNG fallback (recommended for modern browsers and accessibility tools): Invalid response ("Math extension cannot connect to Restbase.") from server "https://mathoid.scipedia.com/localhost/v1/":): =f + bh^2\left(\delta _x^2f + \delta _y^2f\right)+ dh^4\delta _x^4f+ eh^4\delta _y^4f+\;\mathcal{C} +O(h^5),

where

Failed to parse (MathML with SVG or PNG fallback (recommended for modern browsers and accessibility tools): Invalid response ("Math extension cannot connect to Restbase.") from server "https://mathoid.scipedia.com/localhost/v1/":): \mathcal{C} = bh^2C^4\{ f\} + dh^4\left(\delta _y^2C^4\{ f\} + C^2\{ f_{yy}\} \right)
Failed to parse (MathML with SVG or PNG fallback (recommended for modern browsers and accessibility tools): Invalid response ("Math extension cannot connect to Restbase.") from server "https://mathoid.scipedia.com/localhost/v1/":): -\;C^6\{ u\} -bh^2\delta _x^2C^6\{ u\} -bh^2\left(C^4\{ u_{xx}\} + bh^2C^2\{ u_{xxxx}\} \right)
Failed to parse (MathML with SVG or PNG fallback (recommended for modern browsers and accessibility tools): Invalid response ("Math extension cannot connect to Restbase.") from server "https://mathoid.scipedia.com/localhost/v1/":): -\;(e-2b^2)h^4\left(\delta _y^2C^4\{ u_{xx}\} + bh^2\delta _x^2C^2\{ u_{xxxx}\} + C^2\{ u_{xxyy}\} + \delta _x^4C^6\{ u\} \right).

The constants Failed to parse (MathML with SVG or PNG fallback (recommended for modern browsers and accessibility tools): Invalid response ("Math extension cannot connect to Restbase.") from server "https://mathoid.scipedia.com/localhost/v1/":): {\textstyle C^2} , Failed to parse (MathML with SVG or PNG fallback (recommended for modern browsers and accessibility tools): Invalid response ("Math extension cannot connect to Restbase.") from server "https://mathoid.scipedia.com/localhost/v1/":): {\textstyle C^4} , and Failed to parse (MathML with SVG or PNG fallback (recommended for modern browsers and accessibility tools): Invalid response ("Math extension cannot connect to Restbase.") from server "https://mathoid.scipedia.com/localhost/v1/":): {\textstyle C^6}

are computed using jump derivatives in the Failed to parse (MathML with SVG or PNG fallback (recommended for modern browsers and accessibility tools): Invalid response ("Math extension cannot connect to Restbase.") from server "https://mathoid.scipedia.com/localhost/v1/":): {\textstyle y}

-direction.

4.4 Boundary treatment

The grid points close to the interface require special treatment because the HIFD-IIM formulation of the 21-point stencil C cannot be applied there. For regular grid points, we use the following fourth-order method

Failed to parse (MathML with SVG or PNG fallback (recommended for modern browsers and accessibility tools): Invalid response ("Math extension cannot connect to Restbase.") from server "https://mathoid.scipedia.com/localhost/v1/":): \delta _x^2u+ \delta _y^2u + b h^2 \left(\delta _y^2\delta _x^2u+\delta _x^2\delta _y^2u\right) = f + bh^2\left(\delta _x^2f + \delta _y^2f\right)+ O(h^4).

The deduction of this scheme, stencil type A, can be found in Zapata and Balam [13].

It is necessary to develop a new fourth-order method for the grid points near both boundary and interface. Following the same ideas to develop the sixth-order method, we obtain a new scheme with stencil of type B

Failed to parse (MathML with SVG or PNG fallback (recommended for modern browsers and accessibility tools): Invalid response ("Math extension cannot connect to Restbase.") from server "https://mathoid.scipedia.com/localhost/v1/":): \delta _x^2u+ \delta _y^2u + b h^2\left(\delta _x^2\delta _y^2u + \delta _y^2\delta _x^2u\right)+ (e-2b^2)h^4\delta _x^4\delta _y^2u = f + bh^2\left(\delta _x^2f + \delta _y^2f\right)+ h^4\delta _x^4f
Failed to parse (MathML with SVG or PNG fallback (recommended for modern browsers and accessibility tools): Invalid response ("Math extension cannot connect to Restbase.") from server "https://mathoid.scipedia.com/localhost/v1/":): -\;b^2h^4\delta _y^4f+\mathcal{C}_{boundary} + O(h^4),

where

Failed to parse (MathML with SVG or PNG fallback (recommended for modern browsers and accessibility tools): Invalid response ("Math extension cannot connect to Restbase.") from server "https://mathoid.scipedia.com/localhost/v1/":): \mathcal{C}_{boundary} = bh^2C^4\{ f\} + dh^4\left(\delta _x^2C^4\{ f\} + C^2\{ f_{xx}\} \right) -C^6\{ u\} -bh^2\delta _y^2C^6\{ u\}
Failed to parse (MathML with SVG or PNG fallback (recommended for modern browsers and accessibility tools): Invalid response ("Math extension cannot connect to Restbase.") from server "https://mathoid.scipedia.com/localhost/v1/":): -\;bh^2\left(C^4\{ u_{yy}\} + bh^2C^2\{ u_{yyyy}\} \right)
Failed to parse (MathML with SVG or PNG fallback (recommended for modern browsers and accessibility tools): Invalid response ("Math extension cannot connect to Restbase.") from server "https://mathoid.scipedia.com/localhost/v1/":): -\;(e-2b^2)h^4\left(\delta _x^2C^4\{ u_{yy}\} + bh^2\delta _x^2C^2\{ u_{yyyy}\} + C^2\{ u_{yyxx}\} \right)+ O(h^4).

Remark 7: We emphasized that the proposed methods are high-order accuracy regardless of the position of the interface concerning the grid. Moreover, the scheme does not assume restrictions in the jumps, such as the natural jump conditions (Failed to parse (MathML with SVG or PNG fallback (recommended for modern browsers and accessibility tools): Invalid response ("Math extension cannot connect to Restbase.") from server "https://mathoid.scipedia.com/localhost/v1/":): {\textstyle [u_x]=0} , Failed to parse (MathML with SVG or PNG fallback (recommended for modern browsers and accessibility tools): Invalid response ("Math extension cannot connect to Restbase.") from server "https://mathoid.scipedia.com/localhost/v1/":): {\textstyle [u_y]=0} ). This characteristic is a significant advantage of the proposed HIFD-IIM, besides the higher-order, compared with the fourth-order simplified immersed interface method developed by Feng et al.[39].

5. Numerical results

This section tests the HIFD-IIM for different one- and two-dimensional examples with straight interfaces. In the following simulations, we numerically solve the Poisson equation for a given right-hand side function and compare it with its analytic solution. We present different examples to test the HIFD-IIM capabilities. First, we investigate the method's accuracy for one-dimensional problems. Next, we validate the HIFD-IIM for two-dimensional solutions with straight interfaces.

The errors are reported utilizing the Failed to parse (MathML with SVG or PNG fallback (recommended for modern browsers and accessibility tools): Invalid response ("Math extension cannot connect to Restbase.") from server "https://mathoid.scipedia.com/localhost/v1/":): {\textstyle L_\infty } -norm, as Failed to parse (MathML with SVG or PNG fallback (recommended for modern browsers and accessibility tools): Invalid response ("Math extension cannot connect to Restbase.") from server "https://mathoid.scipedia.com/localhost/v1/":): {\textstyle \left\|e \right\|_\infty = \max _{i,j} \left|u_{ij}-U_{ij} \right|} , where Failed to parse (MathML with SVG or PNG fallback (recommended for modern browsers and accessibility tools): Invalid response ("Math extension cannot connect to Restbase.") from server "https://mathoid.scipedia.com/localhost/v1/":): {\textstyle u_{ij}}

and Failed to parse (MathML with SVG or PNG fallback (recommended for modern browsers and accessibility tools): Invalid response ("Math extension cannot connect to Restbase.") from server "https://mathoid.scipedia.com/localhost/v1/":): {\textstyle U_{ij}}
corresponds to the exact and numerical  solution at Failed to parse (MathML with SVG or PNG fallback (recommended for modern browsers and accessibility tools): Invalid response ("Math extension cannot connect to Restbase.") from server "https://mathoid.scipedia.com/localhost/v1/":): {\textstyle (x_i,y_j)}

, respectively. The estimated order of accuracy is computed as

Failed to parse (MathML with SVG or PNG fallback (recommended for modern browsers and accessibility tools): Invalid response ("Math extension cannot connect to Restbase.") from server "https://mathoid.scipedia.com/localhost/v1/":): \textrm{Order} := \log \left(\left\|e \right\|_{N_1}/ \left\|e \right\|_{N_2}\right)/\log \left(N_2/N_1 \right),

where Failed to parse (MathML with SVG or PNG fallback (recommended for modern browsers and accessibility tools): Invalid response ("Math extension cannot connect to Restbase.") from server "https://mathoid.scipedia.com/localhost/v1/":): {\textstyle N_1}

and Failed to parse (MathML with SVG or PNG fallback (recommended for modern browsers and accessibility tools): Invalid response ("Math extension cannot connect to Restbase.") from server "https://mathoid.scipedia.com/localhost/v1/":): {\textstyle N_2}
indicates the different number of sub-intervals. In all tables, the last row shows the numerical order calculated by the regression-line slope based on a Least Squares Method (LSM).

5.1 One-dimensional examples

We initially consider the 1D problem (24) to analyze the order of the proposed implicit methods. The numerical method is tested using three different tests. Example 1.A was designed to verify the high-order implicit method for smooth solutions. Example 1.B studies a Poisson equation with a discontinuous solution in a single interface point. Example 1.C presents a discontinuous problem with multiple interface points. Thus, the proposed solution is taken from the following list of functions:

Failed to parse (MathML with SVG or PNG fallback (recommended for modern browsers and accessibility tools): Invalid response ("Math extension cannot connect to Restbase.") from server "https://mathoid.scipedia.com/localhost/v1/":): \textrm{Example 1.A:} \quad u(x) = e^{-4\pi (x-1/4)^2}.
(47)
Failed to parse (MathML with SVG or PNG fallback (recommended for modern browsers and accessibility tools): Invalid response ("Math extension cannot connect to Restbase.") from server "https://mathoid.scipedia.com/localhost/v1/":): \textrm{Example 1.B:} \quad u(x) = \begin{cases}\sin (\pi x)& x\leq x_\alpha ,\\ \cos (\pi x)& x > x_\alpha{.} \end{cases}
(48)
Failed to parse (MathML with SVG or PNG fallback (recommended for modern browsers and accessibility tools): Invalid response ("Math extension cannot connect to Restbase.") from server "https://mathoid.scipedia.com/localhost/v1/":): \textrm{Example 1.C:} \quad u(x) = \begin{cases}\sin (2\pi x)& x\leq x_{\alpha _1},\\ \cos (2\pi x)& x_{\alpha _1}<x \leq x_{\alpha _2}, \\ \sin (2\pi x)& x_{\alpha _2} < x. \end{cases}
(49)

where Failed to parse (MathML with SVG or PNG fallback (recommended for modern browsers and accessibility tools): Invalid response ("Math extension cannot connect to Restbase.") from server "https://mathoid.scipedia.com/localhost/v1/":): {\textstyle x_\alpha } , Failed to parse (MathML with SVG or PNG fallback (recommended for modern browsers and accessibility tools): Invalid response ("Math extension cannot connect to Restbase.") from server "https://mathoid.scipedia.com/localhost/v1/":): {\textstyle x_{\alpha _1}}

and Failed to parse (MathML with SVG or PNG fallback (recommended for modern browsers and accessibility tools): Invalid response ("Math extension cannot connect to Restbase.") from server "https://mathoid.scipedia.com/localhost/v1/":): {\textstyle x_{\alpha _2}}
are known values corresponding to the interface location. The right-hand side function, Failed to parse (MathML with SVG or PNG fallback (recommended for modern browsers and accessibility tools): Invalid response ("Math extension cannot connect to Restbase.") from server "https://mathoid.scipedia.com/localhost/v1/":): {\textstyle f}

, is obtained directly from Eq. (33) and Failed to parse (MathML with SVG or PNG fallback (recommended for modern browsers and accessibility tools): Invalid response ("Math extension cannot connect to Restbase.") from server "https://mathoid.scipedia.com/localhost/v1/":): {\textstyle u} . For all cases, we impose the Dirichlet boundary conditions according to Failed to parse (MathML with SVG or PNG fallback (recommended for modern browsers and accessibility tools): Invalid response ("Math extension cannot connect to Restbase.") from server "https://mathoid.scipedia.com/localhost/v1/":): {\textstyle u} . The computational domain is the interval Failed to parse (MathML with SVG or PNG fallback (recommended for modern browsers and accessibility tools): Invalid response ("Math extension cannot connect to Restbase.") from server "https://mathoid.scipedia.com/localhost/v1/":): {\textstyle [0,1]} , and the grid spacing is Failed to parse (MathML with SVG or PNG fallback (recommended for modern browsers and accessibility tools): Invalid response ("Math extension cannot connect to Restbase.") from server "https://mathoid.scipedia.com/localhost/v1/":): {\textstyle h = 1 /N}

for different Failed to parse (MathML with SVG or PNG fallback (recommended for modern browsers and accessibility tools): Invalid response ("Math extension cannot connect to Restbase.") from server "https://mathoid.scipedia.com/localhost/v1/":): {\textstyle N}
numbers.

For Example 1.A, due to the solution's regularity, the jump contributions are equal to zero. Table 1 presents the convergence analysis of Example 1.A for different grid resolutions. Note that the IIM, IFD-IIM, and HIFD-IIM achieve their corresponding order of accuracy. These results match with the ones obtained using an implicit methodology as presented in [13].

Table 1. Convergence analysis of Example 1.A for IFD-IIM and HIFD-IIM
Failed to parse (MathML with SVG or PNG fallback (recommended for modern browsers and accessibility tools): Invalid response ("Math extension cannot connect to Restbase.") from server "https://mathoid.scipedia.com/localhost/v1/":): {\textstyle N} Failed to parse (MathML with SVG or PNG fallback (recommended for modern browsers and accessibility tools): Invalid response ("Math extension cannot connect to Restbase.") from server "https://mathoid.scipedia.com/localhost/v1/":): {\textstyle L_\infty } -norm Order Failed to parse (MathML with SVG or PNG fallback (recommended for modern browsers and accessibility tools): Invalid response ("Math extension cannot connect to Restbase.") from server "https://mathoid.scipedia.com/localhost/v1/":): {\textstyle L_\infty } -norm Order Failed to parse (MathML with SVG or PNG fallback (recommended for modern browsers and accessibility tools): Invalid response ("Math extension cannot connect to Restbase.") from server "https://mathoid.scipedia.com/localhost/v1/":): {\textstyle L_\infty } -norm Order
10 7.52e-02 –- 9.30e-03 –- 1.39e-04 –-
20 1.70e-02 2.15 5.05e-04 4.20 1.52e-06 6.51
40 4.15e-03 2.03 3.06e-05 4.04 1.77e-08 6.43
80 1.03e-03 2.01 1.90e-06 4.01 2.34e-10 6.24
160 2.57e-04 2.00 1.18e-07 4.00 3.24e-12 6.18
LSM 2.04 4.06 6.34


Example 1.B shows the capacity of the proposed method to solve a single interface problem located at Failed to parse (MathML with SVG or PNG fallback (recommended for modern browsers and accessibility tools): Invalid response ("Math extension cannot connect to Restbase.") from server "https://mathoid.scipedia.com/localhost/v1/":): {\textstyle x = x_\alpha } . We test two different interface points: Failed to parse (MathML with SVG or PNG fallback (recommended for modern browsers and accessibility tools): Invalid response ("Math extension cannot connect to Restbase.") from server "https://mathoid.scipedia.com/localhost/v1/":): {\textstyle x_\alpha=0.40}

and Failed to parse (MathML with SVG or PNG fallback (recommended for modern browsers and accessibility tools): Invalid response ("Math extension cannot connect to Restbase.") from server "https://mathoid.scipedia.com/localhost/v1/":): {\textstyle x_\alpha=0.63}

. We initially select the mesh grid given by Failed to parse (MathML with SVG or PNG fallback (recommended for modern browsers and accessibility tools): Invalid response ("Math extension cannot connect to Restbase.") from server "https://mathoid.scipedia.com/localhost/v1/":): {\textstyle N=10\times{2}^{n}} , thus the first interface is always located on a grid point (Failed to parse (MathML with SVG or PNG fallback (recommended for modern browsers and accessibility tools): Invalid response ("Math extension cannot connect to Restbase.") from server "https://mathoid.scipedia.com/localhost/v1/":): {\textstyle h_R/h=1} ). For the second case, we have different Failed to parse (MathML with SVG or PNG fallback (recommended for modern browsers and accessibility tools): Invalid response ("Math extension cannot connect to Restbase.") from server "https://mathoid.scipedia.com/localhost/v1/":): {\textstyle h_R/h}

values for the same Failed to parse (MathML with SVG or PNG fallback (recommended for modern browsers and accessibility tools): Invalid response ("Math extension cannot connect to Restbase.") from server "https://mathoid.scipedia.com/localhost/v1/":): {\textstyle N}
numbers. Figure 4 shows the numerical and exact solution  using Failed to parse (MathML with SVG or PNG fallback (recommended for modern browsers and accessibility tools): Invalid response ("Math extension cannot connect to Restbase.") from server "https://mathoid.scipedia.com/localhost/v1/":): {\textstyle N = 40}

. As expected, the exact solution is accurately recovered for both cases.

Numerical and exact solution of Example 1.B using N = 40 using (a) x_α= 0.4, and (b) x_α= 0.63.
Figure 4. Numerical and exact solution of Example 1.B using Failed to parse (MathML with SVG or PNG fallback (recommended for modern browsers and accessibility tools): Invalid response ("Math extension cannot connect to Restbase.") from server "https://mathoid.scipedia.com/localhost/v1/":): N = 40
using (a) Failed to parse (MathML with SVG or PNG fallback (recommended for modern browsers and accessibility tools): Invalid response ("Math extension cannot connect to Restbase.") from server "https://mathoid.scipedia.com/localhost/v1/":): x_\alpha = 0.4

, and (b) Failed to parse (MathML with SVG or PNG fallback (recommended for modern browsers and accessibility tools): Invalid response ("Math extension cannot connect to Restbase.") from server "https://mathoid.scipedia.com/localhost/v1/":): x_\alpha = 0.63


Table 2 shows the convergence analysis for Example 1.B. As expected, the desired order of accuracy are obtained for the two Failed to parse (MathML with SVG or PNG fallback (recommended for modern browsers and accessibility tools): Invalid response ("Math extension cannot connect to Restbase.") from server "https://mathoid.scipedia.com/localhost/v1/":): {\textstyle x_\alpha }

values. Observe that high-order methods do not depend on the location of the interface. However, their error magnitude presents minor variations due to the interface position. Errors with mesh size close to Failed to parse (MathML with SVG or PNG fallback (recommended for modern browsers and accessibility tools): Invalid response ("Math extension cannot connect to Restbase.") from server "https://mathoid.scipedia.com/localhost/v1/":): {\textstyle N = 160}
have a random behavior due the effect of arithmetic operations close to the machine precision. Figure 5 shows the error analysis corresponding to interface locations Failed to parse (MathML with SVG or PNG fallback (recommended for modern browsers and accessibility tools): Invalid response ("Math extension cannot connect to Restbase.") from server "https://mathoid.scipedia.com/localhost/v1/":): {\textstyle x_\alpha = 0.40}
and Failed to parse (MathML with SVG or PNG fallback (recommended for modern browsers and accessibility tools): Invalid response ("Math extension cannot connect to Restbase.") from server "https://mathoid.scipedia.com/localhost/v1/":): {\textstyle x_\alpha = 0.63}
for Failed to parse (MathML with SVG or PNG fallback (recommended for modern browsers and accessibility tools): Invalid response ("Math extension cannot connect to Restbase.") from server "https://mathoid.scipedia.com/localhost/v1/":): {\textstyle N = 10,11,12, \dots ,100}

. Note that errors of IFD-IIM give a good behavior even if the Failed to parse (MathML with SVG or PNG fallback (recommended for modern browsers and accessibility tools): Invalid response ("Math extension cannot connect to Restbase.") from server "https://mathoid.scipedia.com/localhost/v1/":): {\textstyle h_R/h}

varies and they are close to fourth order. As expected, errors of HIFD-IIM are also near sixth order.
Table 2. Convergence analysis of Example 1.B using the IFD-IIM and HIFD-IIM
Failed to parse (MathML with SVG or PNG fallback (recommended for modern browsers and accessibility tools): Invalid response ("Math extension cannot connect to Restbase.") from server "https://mathoid.scipedia.com/localhost/v1/":): {\textstyle N} Failed to parse (MathML with SVG or PNG fallback (recommended for modern browsers and accessibility tools): Invalid response ("Math extension cannot connect to Restbase.") from server "https://mathoid.scipedia.com/localhost/v1/":): {\textstyle L_\infty } -norm Order Failed to parse (MathML with SVG or PNG fallback (recommended for modern browsers and accessibility tools): Invalid response ("Math extension cannot connect to Restbase.") from server "https://mathoid.scipedia.com/localhost/v1/":): {\textstyle L_\infty } -norm Order Failed to parse (MathML with SVG or PNG fallback (recommended for modern browsers and accessibility tools): Invalid response ("Math extension cannot connect to Restbase.") from server "https://mathoid.scipedia.com/localhost/v1/":): {\textstyle L_\infty } -norm Order
10 1.69e-02 –- 5.75e-05 –- 6.42e-07 –-
20 4.21e-03 2.00 3.58e-06 4.00 1.01e-08 6.42
40 1.05e-03 2.00 2.24e-07 4.00 1.59e-10 6.21
80 2.63e-04 2.00 1.40e-08 4.00 2.48e-12 6.11
160 6.57e-05 2.00 8.74e-10 4.00 4.55e-14 5.82
LSM 2.00 4.00 5.95
Failed to parse (MathML with SVG or PNG fallback (recommended for modern browsers and accessibility tools): Invalid response ("Math extension cannot connect to Restbase.") from server "https://mathoid.scipedia.com/localhost/v1/":): {\textstyle N} Failed to parse (MathML with SVG or PNG fallback (recommended for modern browsers and accessibility tools): Invalid response ("Math extension cannot connect to Restbase.") from server "https://mathoid.scipedia.com/localhost/v1/":): {\textstyle L_\infty } -norm Order Failed to parse (MathML with SVG or PNG fallback (recommended for modern browsers and accessibility tools): Invalid response ("Math extension cannot connect to Restbase.") from server "https://mathoid.scipedia.com/localhost/v1/":): {\textstyle L_\infty } -norm Order Failed to parse (MathML with SVG or PNG fallback (recommended for modern browsers and accessibility tools): Invalid response ("Math extension cannot connect to Restbase.") from server "https://mathoid.scipedia.com/localhost/v1/":): {\textstyle L_\infty } -norm Order
10 6.63e-03 –- 3.42e-05 –- 6.38e-07 –-
20 1.48e-03 2.16 1.97e-06 4.12 9.89e-09 6.44
40 4.46e-04 1.73 1.39e-07 3.82 1.58e-10 6.18
80 9.37e-05 2.25 7.75e-09 4.16 2.40e-12 6.15
160 2.75e-05 1.77 5.37e-10 3.85 7.31e-14 5.08
LSM 1.98 3.99 5.81


Draft Balam 338770048-Fig Exa1B 1D CloudOrder4.png
Convergence analysis of Example 1.B for N = 10,\dots ,100 using (a),(b) IFD-IIM  and (c),(d) HIFD-IIM for x_α= 0.40 and x_α= 0.63.
Figure 5. Convergence analysis of Example 1.B for Failed to parse (MathML with SVG or PNG fallback (recommended for modern browsers and accessibility tools): Invalid response ("Math extension cannot connect to Restbase.") from server "https://mathoid.scipedia.com/localhost/v1/":): N = 10,\dots ,100
using (a),(b) IFD-IIM  and (c),(d) HIFD-IIM for Failed to parse (MathML with SVG or PNG fallback (recommended for modern browsers and accessibility tools): Invalid response ("Math extension cannot connect to Restbase.") from server "https://mathoid.scipedia.com/localhost/v1/":): x_\alpha = 0.40
and Failed to parse (MathML with SVG or PNG fallback (recommended for modern browsers and accessibility tools): Invalid response ("Math extension cannot connect to Restbase.") from server "https://mathoid.scipedia.com/localhost/v1/":): x_\alpha = 0.63


We remark that, the contribution formula includes jumps Failed to parse (MathML with SVG or PNG fallback (recommended for modern browsers and accessibility tools): Invalid response ("Math extension cannot connect to Restbase.") from server "https://mathoid.scipedia.com/localhost/v1/":): {\textstyle [u]} , Failed to parse (MathML with SVG or PNG fallback (recommended for modern browsers and accessibility tools): Invalid response ("Math extension cannot connect to Restbase.") from server "https://mathoid.scipedia.com/localhost/v1/":): {\textstyle [u_x]} , Failed to parse (MathML with SVG or PNG fallback (recommended for modern browsers and accessibility tools): Invalid response ("Math extension cannot connect to Restbase.") from server "https://mathoid.scipedia.com/localhost/v1/":): {\textstyle [u_{xx}]} , Failed to parse (MathML with SVG or PNG fallback (recommended for modern browsers and accessibility tools): Invalid response ("Math extension cannot connect to Restbase.") from server "https://mathoid.scipedia.com/localhost/v1/":): {\textstyle [u_{xxx}]} , and Failed to parse (MathML with SVG or PNG fallback (recommended for modern browsers and accessibility tools): Invalid response ("Math extension cannot connect to Restbase.") from server "https://mathoid.scipedia.com/localhost/v1/":): {\textstyle [u_{xxxx}]}

to obtain a fourth-order accurate method. Figure 6 shows that if we add additional jumps of high-order derivatives to Failed to parse (MathML with SVG or PNG fallback (recommended for modern browsers and accessibility tools): Invalid response ("Math extension cannot connect to Restbase.") from server "https://mathoid.scipedia.com/localhost/v1/":): {\textstyle \mathcal{C}}

, such as Failed to parse (MathML with SVG or PNG fallback (recommended for modern browsers and accessibility tools): Invalid response ("Math extension cannot connect to Restbase.") from server "https://mathoid.scipedia.com/localhost/v1/":): {\textstyle [u_{xxxxx}]} , we observe that the error oscillation decreases compared to Figure 5 results. It is expected because now the method is Failed to parse (MathML with SVG or PNG fallback (recommended for modern browsers and accessibility tools): Invalid response ("Math extension cannot connect to Restbase.") from server "https://mathoid.scipedia.com/localhost/v1/":): {\textstyle O(h^4)}

for the whole computational domain, including the irregular points. Thus, we can mitigate error oscillations due to interface position by adding high-order jumps. A similar behavior is observed for the sixth-order HIFD-IIM if we include the seventh derivative jump Failed to parse (MathML with SVG or PNG fallback (recommended for modern browsers and accessibility tools): Invalid response ("Math extension cannot connect to Restbase.") from server "https://mathoid.scipedia.com/localhost/v1/":): {\textstyle [u_{xxxxxxx}]}

.

Convergence analysis of Example 1.B for N = 10,\dots ,100 using (a) x_α= 0.40, and (b) x_α= 0.63. The contribution term includes jumps up to fifth-order ([uₓₓₓₓₓ]=[fₓₓₓ]).
Figure 6. Convergence analysis of Example 1.B for Failed to parse (MathML with SVG or PNG fallback (recommended for modern browsers and accessibility tools): Invalid response ("Math extension cannot connect to Restbase.") from server "https://mathoid.scipedia.com/localhost/v1/":): N = 10,\dots ,100
using (a) Failed to parse (MathML with SVG or PNG fallback (recommended for modern browsers and accessibility tools): Invalid response ("Math extension cannot connect to Restbase.") from server "https://mathoid.scipedia.com/localhost/v1/":): x_\alpha = 0.40

, and (b) Failed to parse (MathML with SVG or PNG fallback (recommended for modern browsers and accessibility tools): Invalid response ("Math extension cannot connect to Restbase.") from server "https://mathoid.scipedia.com/localhost/v1/":): x_\alpha = 0.63 . The contribution term includes jumps up to fifth-order (Failed to parse (MathML with SVG or PNG fallback (recommended for modern browsers and accessibility tools): Invalid response ("Math extension cannot connect to Restbase.") from server "https://mathoid.scipedia.com/localhost/v1/":): [u_{xxxxx}]=[f_{xxx}] )


Finally, Example 1.C investigates the method's capacity to solve a multiple interface problem. We only focus on two interface points located at Failed to parse (MathML with SVG or PNG fallback (recommended for modern browsers and accessibility tools): Invalid response ("Math extension cannot connect to Restbase.") from server "https://mathoid.scipedia.com/localhost/v1/":): {\textstyle x_{\alpha _1}= 0.30}

and Failed to parse (MathML with SVG or PNG fallback (recommended for modern browsers and accessibility tools): Invalid response ("Math extension cannot connect to Restbase.") from server "https://mathoid.scipedia.com/localhost/v1/":): {\textstyle x_{\alpha _2} = 0.70}

. However, the methodology could be applied for several interfaces by doing minor modifications in the implementation. Figure 7 presents the analytical and numerical solution using Failed to parse (MathML with SVG or PNG fallback (recommended for modern browsers and accessibility tools): Invalid response ("Math extension cannot connect to Restbase.") from server "https://mathoid.scipedia.com/localhost/v1/":): {\textstyle N=40} . This figure also shows the corresponding absolute error. Figure 8 shows the error analysis for high-order IIM using different grid resolutions Failed to parse (MathML with SVG or PNG fallback (recommended for modern browsers and accessibility tools): Invalid response ("Math extension cannot connect to Restbase.") from server "https://mathoid.scipedia.com/localhost/v1/":): {\textstyle N = 10, 20, 80 ,160} . As expected, the IFD-IIM and HIFD-IIM are fourth- and sixth-order accurate methods, respectively.

(a) Numerical and exact solution of Example 1.C with multiple interfaces using N = 40; (b) Absolute error of the numerical solution using the HIFD-IIM.
Figure 7. (a) Numerical and exact solution of Example 1.C with multiple interfaces using Failed to parse (MathML with SVG or PNG fallback (recommended for modern browsers and accessibility tools): Invalid response ("Math extension cannot connect to Restbase.") from server "https://mathoid.scipedia.com/localhost/v1/":): N = 40

. (b) Absolute error of the numerical solution using the HIFD-IIM


Convergence error analysis of (c) the IFD-IIM, and (d) HIFDM-IIM, using different grid resolutions N = 10, 20, 40, 80 ,160.
Figure 8. Convergence error analysis of (c) the IFD-IIM, and (d) HIFDM-IIM, using different grid resolutions Failed to parse (MathML with SVG or PNG fallback (recommended for modern browsers and accessibility tools): Invalid response ("Math extension cannot connect to Restbase.") from server "https://mathoid.scipedia.com/localhost/v1/":): N = 10, 20, 40, 80 ,160

5.2 Two-dimensional examples

In this section we study the method's capacities to solve two-dimensional problems with different jump-contribution characteristics. Here we use straight interfaces located at Failed to parse (MathML with SVG or PNG fallback (recommended for modern browsers and accessibility tools): Invalid response ("Math extension cannot connect to Restbase.") from server "https://mathoid.scipedia.com/localhost/v1/":): {\textstyle x = x_\alpha } . First, we consider smooth problem to verify the accurate implementation of the implicit method. Next, we analyze several discontinuous problems and finally, we include a more complex test where the jump derivatives increase rapidly.

For all 2D examples, the right-hand side function and jump conditions are computed from the corresponding exact solution, the computational domain is Failed to parse (MathML with SVG or PNG fallback (recommended for modern browsers and accessibility tools): Invalid response ("Math extension cannot connect to Restbase.") from server "https://mathoid.scipedia.com/localhost/v1/":): {\textstyle \Omega = [-1,1]\times [-1,1]}

and the grid size in both directions is the same using Failed to parse (MathML with SVG or PNG fallback (recommended for modern browsers and accessibility tools): Invalid response ("Math extension cannot connect to Restbase.") from server "https://mathoid.scipedia.com/localhost/v1/":): {\textstyle N=10}

, Failed to parse (MathML with SVG or PNG fallback (recommended for modern browsers and accessibility tools): Invalid response ("Math extension cannot connect to Restbase.") from server "https://mathoid.scipedia.com/localhost/v1/":): {\textstyle 20} , Failed to parse (MathML with SVG or PNG fallback (recommended for modern browsers and accessibility tools): Invalid response ("Math extension cannot connect to Restbase.") from server "https://mathoid.scipedia.com/localhost/v1/":): {\textstyle 40} , Failed to parse (MathML with SVG or PNG fallback (recommended for modern browsers and accessibility tools): Invalid response ("Math extension cannot connect to Restbase.") from server "https://mathoid.scipedia.com/localhost/v1/":): {\textstyle 80} , Failed to parse (MathML with SVG or PNG fallback (recommended for modern browsers and accessibility tools): Invalid response ("Math extension cannot connect to Restbase.") from server "https://mathoid.scipedia.com/localhost/v1/":): {\textstyle 160} . We impose Dirichlet boundary conditions. This paper uses the Successive-Over Relaxation (SOR) method with Failed to parse (MathML with SVG or PNG fallback (recommended for modern browsers and accessibility tools): Invalid response ("Math extension cannot connect to Restbase.") from server "https://mathoid.scipedia.com/localhost/v1/":): {\textstyle \epsilon=10^{-14}}

and Failed to parse (MathML with SVG or PNG fallback (recommended for modern browsers and accessibility tools): Invalid response ("Math extension cannot connect to Restbase.") from server "https://mathoid.scipedia.com/localhost/v1/":): {\textstyle \omega=1.9}
as tolerance and relaxation parameters, respectively.

5.2.1 2D Poisson equation with smooth solution

In the first 2D example, we solve the Poisson equation (33) for a smooth solution to show the correct implementation of the high-order implicit methods. In this case, the exact solution is given by

Failed to parse (MathML with SVG or PNG fallback (recommended for modern browsers and accessibility tools): Invalid response ("Math extension cannot connect to Restbase.") from server "https://mathoid.scipedia.com/localhost/v1/":): \textrm{Example 2.A:} \qquad u(x,y) = \sin (3x)\sin (3y).
(50)

Table 3 shows the convergence analysis of Example 2.A using different grid resolutions for the fourth- and sixth-order implicit formulation. As expected for a smooth solution, the implicit formulation improves the precision of the standard second-order numerical solution.

Table 3. Convergence analysis of Example 2.A
Failed to parse (MathML with SVG or PNG fallback (recommended for modern browsers and accessibility tools): Invalid response ("Math extension cannot connect to Restbase.") from server "https://mathoid.scipedia.com/localhost/v1/":): {\textstyle N} Failed to parse (MathML with SVG or PNG fallback (recommended for modern browsers and accessibility tools): Invalid response ("Math extension cannot connect to Restbase.") from server "https://mathoid.scipedia.com/localhost/v1/":): {\textstyle L_\infty } -norm Order Failed to parse (MathML with SVG or PNG fallback (recommended for modern browsers and accessibility tools): Invalid response ("Math extension cannot connect to Restbase.") from server "https://mathoid.scipedia.com/localhost/v1/":): {\textstyle L_\infty } -norm Order Failed to parse (MathML with SVG or PNG fallback (recommended for modern browsers and accessibility tools): Invalid response ("Math extension cannot connect to Restbase.") from server "https://mathoid.scipedia.com/localhost/v1/":): {\textstyle L_\infty } -norm Order
10 2.65e-02 –- 3.07e-04 –- 4.64e-05 –-
20 7.06e-03 1.91 2.10e-05 3.87 7.54e-07 5.94
40 1.76e-03 2.00 1.32e-06 3.99 1.17e-08 6.01
80 4.40e-04 2.00 8.24e-08 4.00 1.82e-10 6.00
160 1.10e-04 2.00 5.16e-09 4.00 2.95e-12 5.95
LSM 1.98 3.97 5.98

5.2.2 2D Poisson equation with straight interfaces

In this section, we solve the 2D Poisson problem using the following set of functions:

Failed to parse (MathML with SVG or PNG fallback (recommended for modern browsers and accessibility tools): Invalid response ("Math extension cannot connect to Restbase.") from server "https://mathoid.scipedia.com/localhost/v1/":): \textrm{Example 2.B:} \quad u(x,y) = \begin{cases}\sin (x)e^y & x\leq x_\alpha ,\\ -x^2e^y + 2& x_\alpha{<}x,\\ \end{cases} \qquad \quad \quad \quad \textrm{where } \quad x_\alpha = 0.
Failed to parse (MathML with SVG or PNG fallback (recommended for modern browsers and accessibility tools): Invalid response ("Math extension cannot connect to Restbase.") from server "https://mathoid.scipedia.com/localhost/v1/":): \textrm{Example 2.C:} \quad u(x,y) = \begin{cases}\sin (x)\sin (y) & x\leq x_\alpha ,\\ e^x\sin (3y) + 1 & x_\alpha{<}x,\\ \end{cases} \quad \quad \quad \textrm{where } \quad x_\alpha = 0.4.
Failed to parse (MathML with SVG or PNG fallback (recommended for modern browsers and accessibility tools): Invalid response ("Math extension cannot connect to Restbase.") from server "https://mathoid.scipedia.com/localhost/v1/":): \textrm{Example 2.D:} \quad u(x,y) = \begin{cases}\cos (3x)\cos (3y) & x\leq x_\alpha ,\\ \sin (3y)\sin (3y) & x_\alpha{<}x,\\ \end{cases} \qquad \quad \textrm{where } \quad x_\alpha = 0.5.

Examples 2.B, 2.C and 2.D investigate the influence on the absolute error and the accuracy over several assumptions of the jump derivatives. Example 2.B analyzes the solution where jump derivatives in the Failed to parse (MathML with SVG or PNG fallback (recommended for modern browsers and accessibility tools): Invalid response ("Math extension cannot connect to Restbase.") from server "https://mathoid.scipedia.com/localhost/v1/":): {\textstyle y} -direction vanish at Failed to parse (MathML with SVG or PNG fallback (recommended for modern browsers and accessibility tools): Invalid response ("Math extension cannot connect to Restbase.") from server "https://mathoid.scipedia.com/localhost/v1/":): {\textstyle x_\alpha } . In Example 2.C, the jump derivative in the Failed to parse (MathML with SVG or PNG fallback (recommended for modern browsers and accessibility tools): Invalid response ("Math extension cannot connect to Restbase.") from server "https://mathoid.scipedia.com/localhost/v1/":): {\textstyle y} -direction changes slower for Failed to parse (MathML with SVG or PNG fallback (recommended for modern browsers and accessibility tools): Invalid response ("Math extension cannot connect to Restbase.") from server "https://mathoid.scipedia.com/localhost/v1/":): {\textstyle x<x_\alpha }

than the one for Failed to parse (MathML with SVG or PNG fallback (recommended for modern browsers and accessibility tools): Invalid response ("Math extension cannot connect to Restbase.") from server "https://mathoid.scipedia.com/localhost/v1/":): {\textstyle x>x_\alpha }

. Example 2.D studies the problem without any assumption about the jump derivatives. Note that the interface location Failed to parse (MathML with SVG or PNG fallback (recommended for modern browsers and accessibility tools): Invalid response ("Math extension cannot connect to Restbase.") from server "https://mathoid.scipedia.com/localhost/v1/":): {\textstyle x_\alpha }

is also different for each example.

Figure 9 shows the numerical solution of these examples using a grid resolution of Failed to parse (MathML with SVG or PNG fallback (recommended for modern browsers and accessibility tools): Invalid response ("Math extension cannot connect to Restbase.") from server "https://mathoid.scipedia.com/localhost/v1/":): {\textstyle N = 80} . As expected, the HIFD-IIM solves the problem accurately for each case.

Numerical solution of 2D Poisson equation with a straight interface corresponding to Examples 2.B, 2.C, and 2.D using N=80.
Figure 9. Numerical solution of 2D Poisson equation with a straight interface corresponding to Examples 2.B, 2.C, and 2.D using Failed to parse (MathML with SVG or PNG fallback (recommended for modern browsers and accessibility tools): Invalid response ("Math extension cannot connect to Restbase.") from server "https://mathoid.scipedia.com/localhost/v1/":): N=80


Table 4 shows the convergence analysis for Example 3 using the implicit methods. As expected, the IFD-IIM and HIFD-IIM schemes are close to fourth- and sixth-order, respectively. This table also confirms the standard IIM is second-order accurate. Observe that the order corresponding to the HIFD-IIM with Failed to parse (MathML with SVG or PNG fallback (recommended for modern browsers and accessibility tools): Invalid response ("Math extension cannot connect to Restbase.") from server "https://mathoid.scipedia.com/localhost/v1/":): {\textstyle N=160}

in Example 2.B is reduced due to the arithmetic operations close to the machine precision. Figure 10 shows more details of the convergence analysis using a cloud of points from Failed to parse (MathML with SVG or PNG fallback (recommended for modern browsers and accessibility tools): Invalid response ("Math extension cannot connect to Restbase.") from server "https://mathoid.scipedia.com/localhost/v1/":): {\textstyle N = 10}
to Failed to parse (MathML with SVG or PNG fallback (recommended for modern browsers and accessibility tools): Invalid response ("Math extension cannot connect to Restbase.") from server "https://mathoid.scipedia.com/localhost/v1/":): {\textstyle N=160}

.

Table 4. Convergence analysis of Examples 2.B, 2.C, and 2.D using a straight interface

Failed to parse (MathML with SVG or PNG fallback (recommended for modern browsers and accessibility tools): Invalid response ("Math extension cannot connect to Restbase.") from server "https://mathoid.scipedia.com/localhost/v1/":): {\textstyle N} Failed to parse (MathML with SVG or PNG fallback (recommended for modern browsers and accessibility tools): Invalid response ("Math extension cannot connect to Restbase.") from server "https://mathoid.scipedia.com/localhost/v1/":): {\textstyle L_\infty } -norm Order Failed to parse (MathML with SVG or PNG fallback (recommended for modern browsers and accessibility tools): Invalid response ("Math extension cannot connect to Restbase.") from server "https://mathoid.scipedia.com/localhost/v1/":): {\textstyle L_\infty } -norm Order Failed to parse (MathML with SVG or PNG fallback (recommended for modern browsers and accessibility tools): Invalid response ("Math extension cannot connect to Restbase.") from server "https://mathoid.scipedia.com/localhost/v1/":): {\textstyle L_\infty } -norm Order
10 5.76e-04 –- 5.06e-06 –- 2.10e-06 –-
20 1.50e-04 1.94 3.19e-07 3.99 3.78e-08 5.79
40 3.77e-05 1.99 2.00e-08 3.99 6.34e-10 5.90
80 9.45e-06 2.00 1.25e-09 4.00 1.03e-11 5.95
160 2.36e-06 2.00 7.84e-11 4.00 1.17e-12 3.13
LSM 1.99 4.00 5.34
Failed to parse (MathML with SVG or PNG fallback (recommended for modern browsers and accessibility tools): Invalid response ("Math extension cannot connect to Restbase.") from server "https://mathoid.scipedia.com/localhost/v1/":): {\textstyle N} Failed to parse (MathML with SVG or PNG fallback (recommended for modern browsers and accessibility tools): Invalid response ("Math extension cannot connect to Restbase.") from server "https://mathoid.scipedia.com/localhost/v1/":): {\textstyle L_\infty } -norm Order Failed to parse (MathML with SVG or PNG fallback (recommended for modern browsers and accessibility tools): Invalid response ("Math extension cannot connect to Restbase.") from server "https://mathoid.scipedia.com/localhost/v1/":): {\textstyle L_\infty } -norm Order Failed to parse (MathML with SVG or PNG fallback (recommended for modern browsers and accessibility tools): Invalid response ("Math extension cannot connect to Restbase.") from server "https://mathoid.scipedia.com/localhost/v1/":): {\textstyle L_\infty } -norm Order
10 2.65e-02 –- 8.40e-04 –- 3.01e-04 –-
20 6.60e-03 2.00 6.58e-05 3.67 6.74e-06 5.48
40 1.61e-03 2.04 4.52e-06 3.86 1.25e-07 5.75
80 3.98e-04 2.01 2.96e-07 3.93 2.14e-09 5.87
160 9.90e-05 2.01 1.90e-08 3.97 3.50e-11 5.93
LSM 2.02 3.87 5.77
Failed to parse (MathML with SVG or PNG fallback (recommended for modern browsers and accessibility tools): Invalid response ("Math extension cannot connect to Restbase.") from server "https://mathoid.scipedia.com/localhost/v1/":): {\textstyle N} Failed to parse (MathML with SVG or PNG fallback (recommended for modern browsers and accessibility tools): Invalid response ("Math extension cannot connect to Restbase.") from server "https://mathoid.scipedia.com/localhost/v1/":): {\textstyle L_\infty } -norm Order Failed to parse (MathML with SVG or PNG fallback (recommended for modern browsers and accessibility tools): Invalid response ("Math extension cannot connect to Restbase.") from server "https://mathoid.scipedia.com/localhost/v1/":): {\textstyle L_\infty } -norm Order Failed to parse (MathML with SVG or PNG fallback (recommended for modern browsers and accessibility tools): Invalid response ("Math extension cannot connect to Restbase.") from server "https://mathoid.scipedia.com/localhost/v1/":): {\textstyle L_\infty } -norm Order
10 4.62e-02 –- 5.46e-04 –- 2.62e-04 –-
20 1.13e-02 2.03 3.94e-05 3.79 2.91e-06 6.49
40 2.81e-03 2.01 2.63e-06 3.91 5.40e-08 5.75
80 7.04e-04 2.00 1.69e-07 3.96 9.12e-10 5.89
160 1.76e-04 2.00 1.07e-08 3.98 1.48e-11 5.95
LSM 2.01 3.91 5.98


Draft Balam 338770048-Fig Exa2 2D ABC cloud4thB.png
Convergence analysis of Examples 2.B, 2.C, and 2.D using the (a)-(c) IFD-IIM and (d)-(f) HIFD-IIM from N=10 to 100.
Figure 10. Convergence analysis of Examples 2.B, 2.C, and 2.D using the (a)-(c) IFD-IIM and (d)-(f) HIFD-IIM from Failed to parse (MathML with SVG or PNG fallback (recommended for modern browsers and accessibility tools): Invalid response ("Math extension cannot connect to Restbase.") from server "https://mathoid.scipedia.com/localhost/v1/":): N=10
to Failed to parse (MathML with SVG or PNG fallback (recommended for modern browsers and accessibility tools): Invalid response ("Math extension cannot connect to Restbase.") from server "https://mathoid.scipedia.com/localhost/v1/":): 100

5.2.3 2D Poisson solution with large jump derivatives

Finally, we construct the following example to analyze the variations in the errors due to jump derivative magnitudes. Thus, we have

Failed to parse (MathML with SVG or PNG fallback (recommended for modern browsers and accessibility tools): Invalid response ("Math extension cannot connect to Restbase.") from server "https://mathoid.scipedia.com/localhost/v1/":): \textrm{Example 2.E:} u(x,y) = \begin{cases}0 & x\leq x_\alpha ,\\ 2+\ln (x(1+y^2)) & x_\alpha{<}x,\\ \end{cases} \quad \textrm{where } \quad x_\alpha = 0.5.

Here, the jump derivatives for all points at the interface are Failed to parse (MathML with SVG or PNG fallback (recommended for modern browsers and accessibility tools): Invalid response ("Math extension cannot connect to Restbase.") from server "https://mathoid.scipedia.com/localhost/v1/":): {\textstyle [u_x] = 2} , Failed to parse (MathML with SVG or PNG fallback (recommended for modern browsers and accessibility tools): Invalid response ("Math extension cannot connect to Restbase.") from server "https://mathoid.scipedia.com/localhost/v1/":): {\textstyle [u_{xx}] = -4} , Failed to parse (MathML with SVG or PNG fallback (recommended for modern browsers and accessibility tools): Invalid response ("Math extension cannot connect to Restbase.") from server "https://mathoid.scipedia.com/localhost/v1/":): {\textstyle [u_{xxx}] =16} , Failed to parse (MathML with SVG or PNG fallback (recommended for modern browsers and accessibility tools): Invalid response ("Math extension cannot connect to Restbase.") from server "https://mathoid.scipedia.com/localhost/v1/":): {\textstyle [u_{xxxx}] = -96} , Failed to parse (MathML with SVG or PNG fallback (recommended for modern browsers and accessibility tools): Invalid response ("Math extension cannot connect to Restbase.") from server "https://mathoid.scipedia.com/localhost/v1/":): {\textstyle [u_{xxxxx}] = 768} , and Failed to parse (MathML with SVG or PNG fallback (recommended for modern browsers and accessibility tools): Invalid response ("Math extension cannot connect to Restbase.") from server "https://mathoid.scipedia.com/localhost/v1/":): {\textstyle [u_{xxxxxx}] = -7680} . Is important to remark that opposite to the previous examples, the jump derivatives increase rapidly. This behavior makes the problem challenging to solve.

Table 5 and Figure 11 show the convergence analysis for Example 2.E. Numerical results show that Example 2.E has more variability in error than previous examples. However, the order of each technique is close to the proposed one. These findings also confirm that local truncation error depends not only on Failed to parse (MathML with SVG or PNG fallback (recommended for modern browsers and accessibility tools): Invalid response ("Math extension cannot connect to Restbase.") from server "https://mathoid.scipedia.com/localhost/v1/":): {\textstyle h_R}

and Failed to parse (MathML with SVG or PNG fallback (recommended for modern browsers and accessibility tools): Invalid response ("Math extension cannot connect to Restbase.") from server "https://mathoid.scipedia.com/localhost/v1/":): {\textstyle h_L}
but also on the jump magnitudes.
Table 5. Convergence analysis of Example 2.E

Failed to parse (MathML with SVG or PNG fallback (recommended for modern browsers and accessibility tools): Invalid response ("Math extension cannot connect to Restbase.") from server "https://mathoid.scipedia.com/localhost/v1/":): {\textstyle N} Failed to parse (MathML with SVG or PNG fallback (recommended for modern browsers and accessibility tools): Invalid response ("Math extension cannot connect to Restbase.") from server "https://mathoid.scipedia.com/localhost/v1/":): {\textstyle L_\infty } -norm Order Failed to parse (MathML with SVG or PNG fallback (recommended for modern browsers and accessibility tools): Invalid response ("Math extension cannot connect to Restbase.") from server "https://mathoid.scipedia.com/localhost/v1/":): {\textstyle L_\infty } -norm Order Failed to parse (MathML with SVG or PNG fallback (recommended for modern browsers and accessibility tools): Invalid response ("Math extension cannot connect to Restbase.") from server "https://mathoid.scipedia.com/localhost/v1/":): {\textstyle L_\infty } -norm Order
10 1.11e-02 –- 2.72e-04 –- 1.38e-04 –-
20 1.80e-03 2.62 5.61e-05 2.28 2.48e-06 5.80
40 5.64e-04 1.67 3.62e-06 3.96 9.43e-08 4.72
80 1.57e-04 1.85 2.29e-07 3.98 2.61e-09 5.17
160 4.11e-05 1.93 1.43e-08 3.99 6.10e-11 5.42
LSM 1.97 3.64 5.21


Draft Balam 338770048-Fig Exa4 2D ABC solcloud4th6thB.png
Figure 11. (a) Numerical and exact solution of Example 2.E using Failed to parse (MathML with SVG or PNG fallback (recommended for modern browsers and accessibility tools): Invalid response ("Math extension cannot connect to Restbase.") from server "https://mathoid.scipedia.com/localhost/v1/":): N = 80

. (b)-(c) Convergence error analysis of IFD-IIM and HIFD-IIM, respectively, using different grid resolutions from Failed to parse (MathML with SVG or PNG fallback (recommended for modern browsers and accessibility tools): Invalid response ("Math extension cannot connect to Restbase.") from server "https://mathoid.scipedia.com/localhost/v1/":): N=10

to Failed to parse (MathML with SVG or PNG fallback (recommended for modern browsers and accessibility tools): Invalid response ("Math extension cannot connect to Restbase.") from server "https://mathoid.scipedia.com/localhost/v1/":): 100

6 Conclusions

The present paper introduces a new sixth-order immersed interface combined with an implicit finite difference to solve 2D Poisson problems with straight interfaces. The resulting numerical method is Failed to parse (MathML with SVG or PNG fallback (recommended for modern browsers and accessibility tools): Invalid response ("Math extension cannot connect to Restbase.") from server "https://mathoid.scipedia.com/localhost/v1/":): {\textstyle O(h^6)}

at regular points, and Failed to parse (MathML with SVG or PNG fallback (recommended for modern browsers and accessibility tools): Invalid response ("Math extension cannot connect to Restbase.") from server "https://mathoid.scipedia.com/localhost/v1/":): {\textstyle O(h^5)}
at irregular points. Furthermore, a fourth-order immersed interface method is obtained as a particular case of the proposed scheme. This paper also presents a numerical technique to handle the boundaries in the Poisson problem. The global accuracy of the sixth-order was demonstrated using several numerical examples. As expected, this approach does not depend on the interface position. For future work, the proposed approximation will be used to solve more general elliptic equations and interface shapes, and time-dependent problems in higher dimensions.

References

[1] H. J. Diersch, Fletcher, C.A.J. Computational Techniques for Fluid Dynamics. Vol. I: Fundamental and General Techniques. Vol. II: Specific Techniques for Different Flow Categories. Springer-Verlag, 1998.
[2] E. Javierre, C. Vuik, F.J. Vermolen, S. Van der Zwaag, A comparison of numerical models for one-dimensional Stefan problems, J. Comput. Appl. Math. 192 (2) (2006) 445–459.
[3] Y.E. Shi, R.K. Ray, K.D. Nguyen, A projection method-based model with the exact C-property for shallow-water flows over dry and irregular bottom using unstructured finite-volume technique, Comput. Fluids 76 (2013) 178–195.
[4] Li, Z. & Ito, K. The Immersed Interface Method: Numerical Solutions of PDEs Involving Interfaces and Irregular Domains, SIAM: Frontiers in Applied Mathematics, 2006.
[5] Z. Li, D. McTigue, and J. Heine, A numerical method for diffusive transport with moving boundaries and discontinuous material properties, Int J Numer Anal Meth Geomech 21 (1997), 653–662.
[6] Z. Li and J. Zou, Theoretical and numerical analysis on a thermo-elastic system with discontinuities, J Comput Appl Math 91 (1998), 1–22.
[7] S. Tsynkov, G. Baruch, G. Fibich, & E. Turkel, Fourth order schemes for time-harmonic wave equations with discontinuous coefficients, Commun Comput Phys 5 (2009), 442–455.
[8] Li M., Fornberg B. & Tang T. A compact fourth order finite difference scheme for the steady incompressible Navier-Stokes equations, Int. J. Numer. Methods Fluids 20 (1995), 1137–1151.
[9] Zhang, J. Multigrid method and fourth-order compact scheme for 2D Poisson equation with unequal mesh-size discretization. J. Comput. Phys. 179(1) (2002), 170–179.
[10] Nabavi, M., Siddiqui, M.H.K., & Dargahi J. A new 9-point sixth-order accurate compact finite difference method for the Helmholtz equation, J. Sound Vib. 307 (2007), 972–982.
[11] Wang Y., & Zhang J. Sixth order compact scheme combined with multigrid method and extrapolation technique for 2D poisson equation, J. Comput. Phys. 228 (2009), 137–146.
[12] Zhai, S., Feng, X., & He, Y. A new method to deduce high-order compact difference schemes for two-dimensional Poisson equation. Applied Mathematics and Computation 230 (2014), 9–26.
[13] Uh Zapata, M., & Itzá Balam, R. High-order implicit finite difference schemes for the two-dimensional Poisson equation. Applied Mathematics and Computation 309 (2017), 222–244.
[14] Itzá Balam, R., & Uh Zapata, M. A new eighth-order implicit finite difference method to solve the three-dimensional Helmholtz equation. Computers & Mathematics with Applications 80(5) (2020), 1176–1200.
[15] Sethian, J. A. Level Set Methods and Fast Marching Methods: Evolving Interfaces in Geometry, Fluid Mechanics, Computer Vision, and Materials Sciences, Cambridge University Press, 1999.
[16] Peskin, C. S. The immersed boundary method, Acta Numer. 11 (2002), 479–517.
[17] Liu, X. D., & Soderis, T. C. Convergence of the ghost fluid method for elliptic equations with interfaces, J. Math. Comp. 72 (2003), 1731–1746.
[18] Hu, H., Pan, K., & Tan, Y. An interpolation matched interface and boundary method for elliptic interface problems, J. Comput. Appl. Math. 234 (2010), 73–94.
[19] Mu, L., Wang, J., Ye, X., & Zhao, S. A new weak Galerkin finite element method for elliptic interface problems, J. Comput. Phys. 325 (2016), 157–173.
[20] Cho, H., Han, H., Lee, B., Ha, Y., & Kang, M. A second-order boundary condition capturing method for solving the elliptic interface problems on irregular domains, Journal of Scientific Computing 81(3) (2019), 217–251.
[21] Itzá Balam, R., Hernandez-Lopez, F., Trejo-Sánchez, J., & Uh Zapata, M. An immersed boundary neural network for solving elliptic equations with singular forces on arbitrary domains. Mathematical Biosciences and Engineering: MBE 18(1) (2020), 22–56.
[22] Leveque R.J., & Li Z. The immersed interface method for elliptic equations with discontinuous coefficients and singular sources, SIAM J. Numer. Anal. 31(4) (1994), 1019-1044.
[23] Wiegmann A., & Bube K.P. The explicit-jump immersed interface method: finite difference methods for PDEs with piecewise smooth solutions, SIAM J. Numer. Anal. 37(3) (2000), 827–862.
[24] Berthelsen, P. A. (2004). A decomposed immersed interface method for variable coefficient elliptic equations with non-smooth and discontinuous solutions. J. Comput. Phys. 197(1), 364–386.
[25] Seo, J. H. & Mittal, R. A high-order immersed boundary method for acoustic wave scattering and low-Mach number flow-induced sound in complex geometries, J. Comput. Phys. 230 (2011), 1000–1019.
[26] Ito, K., Li, Z., & Kyei, Y. Higher-order, Cartesian grid based finite difference schemes for elliptic equations on irregular domains. SIAM Journal on Scientific Computing 27(1) (2005), 346-367.
[27] Gibou, F., & Fedkiw, R. A fourth order accurate discretization for the Laplace and heat equations on arbitrary domains, with applications to the Stefan problem. J. Comput. Phys. 202(2) (2005), 577-601.
[28] Linnick, M. N., & Fasel, H. F. A high-order immersed interface method for simulating unsteady incompressible flows on irregular domains. J. Comput. Phys. 204(1) (2005), 157-192.
[29] Zhou, Y. C., Zhao, S., Feig, M., & Wei, G. W. High order matched interface and boundary method for elliptic equations with discontinuous coefficients and singular sources. J. Comput. Phys. 213(1) (2006), 1–30.
[30] Zhong, X. A new high-order immersed interface method for solving elliptic equations with imbedded interface of discontinuity. J. Comput. Phys. 225(1) (2007), 1066-1099.
[31] Feng, X., Li, Z., & Qiao, Z. High order compact finite difference schemes for the Helmholtz equation with discontinuous coefficients. J. of Comput. Math. (2011) 324–340.
[32] Pan, K., He, D., & Li, Z. A high order compact FD framework for elliptic BVPs involving singular sources, interfaces, and irregular domains. J. Sci. Comput. 88(3) (2021), 1–25.
[33] Colnago, M., Casaca, W., & de Souza, L. F. A high-order immersed interface method free of derivative jump conditions for Poisson equations on irregular domains. J. Comput. Phys. 423 (2020), 109791.
[34] Feng, Q., Han, B., & Minev, P. Sixth order compact finite difference schemes for Poisson interface problems with singular sources. Computers & Mathematics with Applications 99 (2021), 2-25.
[35] Claerbout, J.F. The craft of wave-field extrapolation, in Imaging the Earth's Interior, Blackwell Scientific Publications, Oxford (1985), 260-265.
[36] Liu, Y., & Sen, M. K. A practical implicit finite-difference method: examples from seismic modeling. Journal of Geophysics and Engineering 6(3) (2009), 231.
[37] W.F. Spotz, High-order compact finite difference schemes for computational mechanics Doctoral dissertation, The University of Texas at Austin, 1995.
[38] Xu S., & Wang Z.J. Systematic Derivation of Jump Conditions for the Immersed Interface Method in Three-Dimensional Flow Simulation, J. Sci. Comput. 27(6) (2006), 1948-1980.
[39] Feng, X., & Li, Z. Simplified immersed interface methods for elliptic interface problems with straight interfaces. Num. Meth. for Par. Diff. Eqs. 28(1) (2012), 188–203.
[40] Li, Z. Immersed interface methods for moving interface problems. Numerical algorithms 14(4) (1997), 269-293.

[41] Huang, H., & Li, Z. (1999). Convergence analysis of the immersed interface method. IMA Journal of Numerical Analysis, 19(4), 583-608.

Back to Top

Document information

Published on 27/12/23
Accepted on 17/12/23
Submitted on 04/09/23

Volume 39, Issue 4, 2023
DOI: 10.23967/j.rimni.2023.12.002
Licence: CC BY-NC-SA license

Document Score

0

Views 165
Recommendations 0

Share this document

claim authorship

Are you one of the authors of this document?