Line 438: Line 438:
  
 
<br>
 
<br>
'''Case 1''' <math display="inline">c_f<\sqrt{2Ah/D}</math>. Following <math display="inline">C^*_{ar}-c_fD-\gamma wD=(1-\gamma )wD+c_lS^*\geqslant 0</math>, we have <math display="inline">\bar{t}_n\geqslant ((m+n)Q^*-S^*)/D</math> (or equivalently, <math display="inline">f_n(\bar{t}_n)\leqslant 0</math>) and thus <math display="inline">\bar{q}_n\geqslant 0</math>. In this case, <math display="inline">(\bar{q}_n,\bar{t}_n)</math> locates in the feasible domain of <math display="inline">f_2</math> if and only if <math display="inline">t_s\leqslant \bar{t}_n\leqslant t_e</math>. Thus, <math display="inline">t_{2,n}=t_s</math> if <math display="inline">\bar{t}_n< t_s</math>; <math display="inline">t_{2,n}=t_e</math> if <math display="inline">\bar{t}_n> t_e</math>; and <math display="inline">t_{2,n}=\bar{t}_n</math> if <math display="inline">t_s\leqslant \bar{t}_n\leqslant t_e</math>. And <math display="inline">q_{2,n}</math> follows from the first-order optimality condition.
+
'''Case 1''': <math display="inline">c_f<\sqrt{2Ah/D}</math>. Following <math display="inline">C^*_{ar}-c_fD-\gamma wD=(1-\gamma )wD+c_lS^*\geqslant 0</math>, we have <math display="inline">\bar{t}_n\geqslant ((m+n)Q^*-S^*)/D</math> (or equivalently, <math display="inline">f_n(\bar{t}_n)\leqslant 0</math>) and thus <math display="inline">\bar{q}_n\geqslant 0</math>. In this case, <math display="inline">(\bar{q}_n,\bar{t}_n)</math> locates in the feasible domain of <math display="inline">f_2</math> if and only if <math display="inline">t_s\leqslant \bar{t}_n\leqslant t_e</math>. Thus, <math display="inline">t_{2,n}=t_s</math> if <math display="inline">\bar{t}_n< t_s</math>; <math display="inline">t_{2,n}=t_e</math> if <math display="inline">\bar{t}_n> t_e</math>; and <math display="inline">t_{2,n}=\bar{t}_n</math> if <math display="inline">t_s\leqslant \bar{t}_n\leqslant t_e</math>. And <math display="inline">q_{2,n}</math> follows from the first-order optimality condition.
  
 
<br>
 
<br>
  
'''Case 2''' <math display="inline">c_f\geqslant \sqrt{2Ah/D}</math>. In this case, we have <math display="inline">C^*_{ar}-c_fD-\gamma wD=(1-\gamma )wD+\sqrt{2ADh}-c_fD</math>. Since <math display="inline">S^*=0</math> and <math display="inline">t_s\leqslant mQ^*/D</math>, the feasible domain of <math display="inline">f_2</math> is reduced to <math display="inline">q_r\geqslant 0</math> and <math display="inline">(m+n)Q^*/D\leqslant t_r\leqslant \min \{ t_e,((m+n)Q^*+q_r)/D\} </math>. If <math display="inline">c_f\leqslant (1-\gamma )w+\sqrt{2Ah/D}</math>, then <math display="inline">\bar{t}_n\geqslant (m+n)Q^*/D</math> and <math display="inline">\bar{q}_n\geqslant 0</math>. In this context, <math display="inline">(\bar{q}_n,\bar{t}_n)</math> locates in the feasible domain of <math display="inline">f_2</math> if and only if <math display="inline">t_s\leqslant \bar{t}_n\leqslant t_e</math>. Alternatively, if <math display="inline">c_f>\sqrt{2Ah/D}+(1-\gamma )w/D</math>, then <math display="inline">\bar{t}_{n}<(m+n)Q^*/D</math>. In this context, <math display="inline">(\bar{q}_n,\bar{t}_n)</math> does not locate in the feasible domain of <math display="inline">f_2</math>. Thus, <math display="inline">t_{2,n}=(m+n)Q^*/D</math> and <math display="inline">q_{2,n}=((1-\gamma )wD+h(Q^*-S^*))/\gamma h\geqslant 0</math>.
+
'''Case 2''': <math display="inline">c_f\geqslant \sqrt{2Ah/D}</math>. In this case, we have <math display="inline">C^*_{ar}-c_fD-\gamma wD=(1-\gamma )wD+\sqrt{2ADh}-c_fD</math>. Since <math display="inline">S^*=0</math> and <math display="inline">t_s\leqslant mQ^*/D</math>, the feasible domain of <math display="inline">f_2</math> is reduced to <math display="inline">q_r\geqslant 0</math> and <math display="inline">(m+n)Q^*/D\leqslant t_r\leqslant \min \{ t_e,((m+n)Q^*+q_r)/D\} </math>. If <math display="inline">c_f\leqslant (1-\gamma )w+\sqrt{2Ah/D}</math>, then <math display="inline">\bar{t}_n\geqslant (m+n)Q^*/D</math> and <math display="inline">\bar{q}_n\geqslant 0</math>. In this context, <math display="inline">(\bar{q}_n,\bar{t}_n)</math> locates in the feasible domain of <math display="inline">f_2</math> if and only if <math display="inline">t_s\leqslant \bar{t}_n\leqslant t_e</math>. Alternatively, if <math display="inline">c_f>\sqrt{2Ah/D}+(1-\gamma )w/D</math>, then <math display="inline">\bar{t}_{n}<(m+n)Q^*/D</math>. In this context, <math display="inline">(\bar{q}_n,\bar{t}_n)</math> does not locate in the feasible domain of <math display="inline">f_2</math>. Thus, <math display="inline">t_{2,n}=(m+n)Q^*/D</math> and <math display="inline">q_{2,n}=((1-\gamma )wD+h(Q^*-S^*))/\gamma h\geqslant 0</math>.
  
 
<br>
 
<br>
Line 451: Line 451:
 
<br>
 
<br>
  
'''Case 2''' <math display="inline">t_e\geqslant ((m+n)Q^*-S^*)/D</math>. If <math display="inline">t_s\leqslant ((m+n)Q^*-S^*)/D</math>, then <math display="inline">f_1(q_r,t_r,n)</math> reaches the minimum at <math display="inline">(q_{1,n},t_{1,n})</math>, where <math display="inline">q_{1,n}=(C^*_{ar}-\gamma wD)/\gamma h</math> and <math display="inline">t_{1,n}=((m+n)Q^*-S^*)/D</math> (see Lemma 3). Since <math display="inline">f_n(t_{1,n})=0</math>, the minimizer of <math display="inline">f_1</math> also locates in the feasible domain of <math display="inline">f_2</math>. Hence, the minimizer of <math display="inline">f</math> can be regarded as that of <math display="inline">f_2</math>. Alternatively, if <math display="inline">t_s>((m+n)Q^*-S^*)/D</math>, then <math display="inline">f_n(t_r)<0</math> always holds for any <math display="inline">t_r\in [t_s,t_e]</math>. In this context, the domain of <math display="inline">f_1(q_r,t_r,n)</math> is empty. Thus, the minimizer of <math display="inline">f(q_r,t_r,n)</math> is exactly that of <math display="inline">f_2(q_r,t_r,n)</math>.
+
'''Case 2''': <math display="inline">t_e\geqslant ((m+n)Q^*-S^*)/D</math>. If <math display="inline">t_s\leqslant ((m+n)Q^*-S^*)/D</math>, then <math display="inline">f_1(q_r,t_r,n)</math> reaches the minimum at <math display="inline">(q_{1,n},t_{1,n})</math>, where <math display="inline">q_{1,n}=(C^*_{ar}-\gamma wD)/\gamma h</math> and <math display="inline">t_{1,n}=((m+n)Q^*-S^*)/D</math> (see Lemma 3). Since <math display="inline">f_n(t_{1,n})=0</math>, the minimizer of <math display="inline">f_1</math> also locates in the feasible domain of <math display="inline">f_2</math>. Hence, the minimizer of <math display="inline">f</math> can be regarded as that of <math display="inline">f_2</math>. Alternatively, if <math display="inline">t_s>((m+n)Q^*-S^*)/D</math>, then <math display="inline">f_n(t_r)<0</math> always holds for any <math display="inline">t_r\in [t_s,t_e]</math>. In this context, the domain of <math display="inline">f_1(q_r,t_r,n)</math> is empty. Thus, the minimizer of <math display="inline">f(q_r,t_r,n)</math> is exactly that of <math display="inline">f_2(q_r,t_r,n)</math>.
  
 
<br>
 
<br>
Line 460: Line 460:
 
<br>
 
<br>
  
'''Case 1''' <math display="inline">t_f\leqslant t_e<((m+1)Q^*-S^*)/D</math>. Given that <math display="inline">t_f</math> is the unique regular replenishment point in the promotion period <math display="inline">[t_s,t_e]</math>, the retailer needs to decide whether to place a regular order at time <math display="inline">t_f</math>. If he does so (i.e., <math display="inline">n=1</math>), by <math display="inline">t_e<((m+1)Q^*-S^*)/D</math>, Lemmas 3(i), and Lemma 4, <math display="inline">f(q_r,t_r,1)</math> reaches the minimum at <math display="inline">(q_{1,1},t_{1,1})</math>; that is <math display="inline">f(q_r,t_r,1)\geqslant f(q_{1,1},t_{1,1},1)=f_1(q_{1,1},t_{1,1},1)</math> for any <math display="inline">q_r\geqslant 0</math> and <math display="inline">t_r\in [t_s,t_e]</math>. If he does not so (i.e., <math display="inline">n=0</math>), given that <math display="inline">t_e\geqslant (mQ^*-S^*)/D</math>, the minimum of <math display="inline">f(q_r,t_r,0)</math> occurs at <math display="inline">(q_{2,0},t_{2,0})</math>; that is, <math display="inline">f(q_r,t_r,1)\geqslant f(q_{2,0},t_{2,0},0)=f_2(q_{2,0},t_{2,0},0)</math> for any <math display="inline">q_r\geqslant 0</math> and <math display="inline">t_r\in [t_s,t_e]</math>. In this sense, the retailer places a regular order at time <math display="inline">t_s</math> (i.e., <math display="inline">n^*=1</math>) if and only if <math display="inline">f_1(q_{1,1},t_{1,1},1)< f_2(q_{2,0},t_{2,0},0)</math>. Let <math display="inline">{t'}_r=(mQ^*-S^*)/D</math>, the discussion is further divided into the following two subcases based on the relationship between <math display="inline">t_s</math> and <math display="inline">{t'}_r</math>.
+
'''Case 1''': <math display="inline">t_f\leqslant t_e<((m+1)Q^*-S^*)/D</math>. Given that <math display="inline">t_f</math> is the unique regular replenishment point in the promotion period <math display="inline">[t_s,t_e]</math>, the retailer needs to decide whether to place a regular order at time <math display="inline">t_f</math>. If he does so (i.e., <math display="inline">n=1</math>), by <math display="inline">t_e<((m+1)Q^*-S^*)/D</math>, Lemmas 3(i), and Lemma 4, <math display="inline">f(q_r,t_r,1)</math> reaches the minimum at <math display="inline">(q_{1,1},t_{1,1})</math>; that is <math display="inline">f(q_r,t_r,1)\geqslant f(q_{1,1},t_{1,1},1)=f_1(q_{1,1},t_{1,1},1)</math> for any <math display="inline">q_r\geqslant 0</math> and <math display="inline">t_r\in [t_s,t_e]</math>. If he does not so (i.e., <math display="inline">n=0</math>), given that <math display="inline">t_e\geqslant (mQ^*-S^*)/D</math>, the minimum of <math display="inline">f(q_r,t_r,0)</math> occurs at <math display="inline">(q_{2,0},t_{2,0})</math>; that is, <math display="inline">f(q_r,t_r,1)\geqslant f(q_{2,0},t_{2,0},0)=f_2(q_{2,0},t_{2,0},0)</math> for any <math display="inline">q_r\geqslant 0</math> and <math display="inline">t_r\in [t_s,t_e]</math>. In this sense, the retailer places a regular order at time <math display="inline">t_s</math> (i.e., <math display="inline">n^*=1</math>) if and only if <math display="inline">f_1(q_{1,1},t_{1,1},1)< f_2(q_{2,0},t_{2,0},0)</math>. Let <math display="inline">{t'}_r=(mQ^*-S^*)/D</math>, the discussion is further divided into the following two subcases based on the relationship between <math display="inline">t_s</math> and <math display="inline">{t'}_r</math>.
  
'''Case 1.1''' <math display="inline">{t'}_r\geqslant t_s</math>. From Lemma 3 (ii), we have <math display="inline">f_2(q_{1,1}{,t'}_{r},0)\geqslant f_2(q_{2,0},t_{2,0},0)</math>, where <math display="inline">(q_{2,0},t_{2,0})</math> is the minimizer of <math display="inline">f_2(q_r,t_r,0)</math>. We then prove <math display="inline">f_1(q_{1,1},t_{1,1},1)>f_2(q_{1,1}{,t'}_r,0)</math> by mildly extending the promotion period from <math display="inline">[t_s,t_e]</math> to <math display="inline">{[t_s,t'}_e]</math>, where <math display="inline">{t'}_e={({(m+1)}Q^*-S^*)}/D</math>. It is straightforward that Lemmas 1-3 hold for the alternative promotion period <math display="inline">{[t_s,t'}_e]</math>. Following Lemma 2(i) and <math display="inline">{f_0(t'}_r)=f_1(t'_e)=0</math>, we have <math display="inline">f_1(q_{1,1},t_{1,1},1)>f_1(q_{1,1}{,t'}_e,1_=f_2(q_{1,1}{,t'}_r,0)</math>. Combining the above analysis, we have <math display="inline">f_1(q_{1,1},t_{1,1},1)>f_2(q_{2,0},t_{2,0},0)</math>. Thus, <math display="inline">n^*=0</math>.
+
'''Case 1.1''': <math display="inline">{t'}_r\geqslant t_s</math>. From Lemma 3 (ii), we have <math display="inline">f_2(q_{1,1}{,t'}_{r},0)\geqslant f_2(q_{2,0},t_{2,0},0)</math>, where <math display="inline">(q_{2,0},t_{2,0})</math> is the minimizer of <math display="inline">f_2(q_r,t_r,0)</math>. We then prove <math display="inline">f_1(q_{1,1},t_{1,1},1)>f_2(q_{1,1}{,t'}_r,0)</math> by mildly extending the promotion period from <math display="inline">[t_s,t_e]</math> to <math display="inline">{[t_s,t'}_e]</math>, where <math display="inline">{t'}_e={({(m+1)}Q^*-S^*)}/D</math>. It is straightforward that Lemmas 1-3 hold for the alternative promotion period <math display="inline">{[t_s,t'}_e]</math>. Following Lemma 2(i) and <math display="inline">{f_0(t'}_r)=f_1(t'_e)=0</math>, we have <math display="inline">f_1(q_{1,1},t_{1,1},1)>f_1(q_{1,1}{,t'}_e,1_=f_2(q_{1,1}{,t'}_r,0)</math>. Combining the above analysis, we have <math display="inline">f_1(q_{1,1},t_{1,1},1)>f_2(q_{2,0},t_{2,0},0)</math>. Thus, <math display="inline">n^*=0</math>.
  
'''Case 1.2''' <math display="inline">{t'}_r<t_s</math>. Suppose that <math display="inline">c_f\geqslant \sqrt{2Ah/D}</math>, following <math display="inline">S^*=0</math> and <math display="inline">t_s\leqslant Q^*/D</math>, we have <math display="inline">t_s\leqslant {t'}_r</math>, which contradicts with <math display="inline">{t'}_r<t_s</math>. Thus, <math display="inline">c_f<\sqrt{2Ah/D}</math>. It is evident that when <math display="inline">c_f<\sqrt{2Ah/D}</math>, <math display="inline">\bar{t}_0>mQ^*/D</math> if and only if <math display="inline">(1-\gamma )wD>0</math>, which always holds because <math display="inline">0<\gamma{<1}</math>. Following <math display="inline">\bar{t}_0>mQ^*/D</math> and <math display="inline">mQ^*/D\geqslant t_s</math>, we have <math display="inline">\bar{t}_0>t_s</math>. We then prove the result by extending the promotion period from <math display="inline">[t_s,t_e]</math> to <math display="inline">{[t'}t'_e]_e]</math>, where <math display="inline">{t'}_s=t'_r</math> and <math display="inline">{t'}_e={({(m+1)}Q^*-S^*)}/D</math>. Note that Lemmas 1-3 still hold for the alternative promotion period <math display="inline">{[t'}t'_e]_e]</math>. Following Lemma 2(i) and <math display="inline">{f_0(t'}_r)=f_1(t'_e)=0</math>, we have <math display="inline">f_1(q_{1,1},t_{1,1},1)>f_1(q_{1,1}{,t'}_e,1_=f_2(q_{1,1}{,t'}_r,0)</math>. Because <math display="inline">\bar{t}{_0>t'}_r</math>, <math display="inline">f_2(q_{1,1},t_r,0)</math> is strictly decreasing in <math display="inline">t_r</math> when <math display="inline">t_r\in [{{t'}_r},{{t''}_r}]</math>, where <math display="inline">{t''}_r=\min \{ \bar{t}_0,t_e\} </math> satisfying <math display="inline">{t''}_r\in [t_s,t_e]</math> (see Lemma 2). Thus, <math display="inline">f_2(q_{1,1}{,t'}_r,0_>f_2(q_{1,1}{,t''}_r,0)</math>. Given that <math display="inline">{t''}_r\in [t_s,t_e]</math> and that <math display="inline">(q_{2,0},t_{2,0})</math> is the minimizer of <math display="inline">f_2(q_r,t_r,0)</math> under the condition of the promotion period being <math display="inline">[t_s,t_e]</math>, we have <math display="inline">f_2(q_{1,1}{,t''}_r,0)\geqslant f_2(q_{2,0},t_{2,0},0)</math>. Based on the above, we conclude that <math display="inline">f_1(q_{1,1},t_{1,1},1)>f_2(q_{2,0},t_{2,0},0)</math>; that is, <math display="inline">n^*=0</math>.
+
'''Case 1.2''': <math display="inline">{t'}_r<t_s</math>. Suppose that <math display="inline">c_f\geqslant \sqrt{2Ah/D}</math>, following <math display="inline">S^*=0</math> and <math display="inline">t_s\leqslant Q^*/D</math>, we have <math display="inline">t_s\leqslant {t'}_r</math>, which contradicts with <math display="inline">{t'}_r<t_s</math>. Thus, <math display="inline">c_f<\sqrt{2Ah/D}</math>. It is evident that when <math display="inline">c_f<\sqrt{2Ah/D}</math>, <math display="inline">\bar{t}_0>mQ^*/D</math> if and only if <math display="inline">(1-\gamma )wD>0</math>, which always holds because <math display="inline">0<\gamma{<1}</math>. Following <math display="inline">\bar{t}_0>mQ^*/D</math> and <math display="inline">mQ^*/D\geqslant t_s</math>, we have <math display="inline">\bar{t}_0>t_s</math>. We then prove the result by extending the promotion period from <math display="inline">[t_s,t_e]</math> to <math display="inline">{[t'}t'_e]_e]</math>, where <math display="inline">{t'}_s=t'_r</math> and <math display="inline">{t'}_e={({(m+1)}Q^*-S^*)}/D</math>. Note that Lemmas 1-3 still hold for the alternative promotion period <math display="inline">{[t'}t'_e]_e]</math>. Following Lemma 2(i) and <math display="inline">{f_0(t'}_r)=f_1(t'_e)=0</math>, we have <math display="inline">f_1(q_{1,1},t_{1,1},1)>f_1(q_{1,1}{,t'}_e,1_=f_2(q_{1,1}{,t'}_r,0)</math>. Because <math display="inline">\bar{t}{_0>t'}_r</math>, <math display="inline">f_2(q_{1,1},t_r,0)</math> is strictly decreasing in <math display="inline">t_r</math> when <math display="inline">t_r\in [{{t'}_r},{{t''}_r}]</math>, where <math display="inline">{t''}_r=\min \{ \bar{t}_0,t_e\} </math> satisfying <math display="inline">{t''}_r\in [t_s,t_e]</math> (see Lemma 2). Thus, <math display="inline">f_2(q_{1,1}{,t'}_r,0_>f_2(q_{1,1}{,t''}_r,0)</math>. Given that <math display="inline">{t''}_r\in [t_s,t_e]</math> and that <math display="inline">(q_{2,0},t_{2,0})</math> is the minimizer of <math display="inline">f_2(q_r,t_r,0)</math> under the condition of the promotion period being <math display="inline">[t_s,t_e]</math>, we have <math display="inline">f_2(q_{1,1}{,t''}_r,0)\geqslant f_2(q_{2,0},t_{2,0},0)</math>. Based on the above, we conclude that <math display="inline">f_1(q_{1,1},t_{1,1},1)>f_2(q_{2,0},t_{2,0},0)</math>; that is, <math display="inline">n^*=0</math>.
  
 
<br>
 
<br>
'''Case 2''' <math display="inline">t_e\geqslant ((m+1)Q^*-S^*)/D</math>. By Lemmas 3 and 4, the retailer's minimum total cost is <math display="inline">f_2(q_{2,1},t_{2,1},1)</math> if the retailer places a regular order at time <math display="inline">t_f</math>; otherwise, its minimum total cost is <math display="inline">f_2(q_{2,0},t_{2,0},0)</math>. If <math display="inline">c_f\geqslant \sqrt{2Ah/D}+(1-\gamma )wD</math>, then <math display="inline">t_{2,1}=(m+1)Q^*/D</math> (see Lemma 3(ii)). Otherwise, following <math display="inline">\bar{t}_1>(m+1)Q^*/D>t_s</math>, <math display="inline">t_e\geqslant ((m+1)Q^*-S^*)/D</math>, and Lemma 3(ii), we have <math display="inline">t_{2,1}\geqslant ((m+1)Q^*-S^*)/D</math>. Let <math display="inline">{t'}_{2,1}=t_{2,1}-Q^*/D</math>, then <math display="inline">{t'}_{2,1}\in [(mQ^*-S^*)/D,t_e]</math>. Using <math display="inline">{f_0(t'}_{2,1})=f_1(t_{2,1})</math>, we have <math display="inline">f_2(q_{2,1},t_{2,1},1)= f_2(q_{2,1}{,t'}_{2,1},0)</math>. In this sense, the retailer places a regular order at time <math display="inline">t_f</math> (i.e., <math display="inline">n^*=1</math>) if and only if <math display="inline">f_2(q_{2,1}{,t'}_{2,1},0)\leqslant f_2(q_{2,0},t_{2,0},0)</math>. Specifically, if <math display="inline">{t'}_{2,1}\geqslant t_s</math>, using <math display="inline">{t'}_{21}\in [t_s,t_e]</math>, we have <math display="inline">f_2(q_{2,0},t_{2,0},0)\leqslant f_2(q_{2,1}{,t'}_{2,1},0)</math>, where <math display="inline">(q_{2,0},t_{2,0})</math> is the minimizer of <math display="inline">f_2(q_{r},t_{r},0)</math>. Thus, <math display="inline">n^*=0</math>. Alternatively, if <math display="inline">{t'}_{2,1}< t_s</math>, the discussion is further divided into the following two subcases based on the relationship between <math display="inline">\bar{t}_0</math> and <math display="inline">t_e</math>. Note that <math display="inline">{t'}_{2,1}<t_s\leqslant t_{2,0}</math>.
+
'''Case 2''': <math display="inline">t_e\geqslant ((m+1)Q^*-S^*)/D</math>. By Lemmas 3 and 4, the retailer's minimum total cost is <math display="inline">f_2(q_{2,1},t_{2,1},1)</math> if the retailer places a regular order at time <math display="inline">t_f</math>; otherwise, its minimum total cost is <math display="inline">f_2(q_{2,0},t_{2,0},0)</math>. If <math display="inline">c_f\geqslant \sqrt{2Ah/D}+(1-\gamma )wD</math>, then <math display="inline">t_{2,1}=(m+1)Q^*/D</math> (see Lemma 3(ii)). Otherwise, following <math display="inline">\bar{t}_1>(m+1)Q^*/D>t_s</math>, <math display="inline">t_e\geqslant ((m+1)Q^*-S^*)/D</math>, and Lemma 3(ii), we have <math display="inline">t_{2,1}\geqslant ((m+1)Q^*-S^*)/D</math>. Let <math display="inline">{t'}_{2,1}=t_{2,1}-Q^*/D</math>, then <math display="inline">{t'}_{2,1}\in [(mQ^*-S^*)/D,t_e]</math>. Using <math display="inline">{f_0(t'}_{2,1})=f_1(t_{2,1})</math>, we have <math display="inline">f_2(q_{2,1},t_{2,1},1)= f_2(q_{2,1}{,t'}_{2,1},0)</math>. In this sense, the retailer places a regular order at time <math display="inline">t_f</math> (i.e., <math display="inline">n^*=1</math>) if and only if <math display="inline">f_2(q_{2,1}{,t'}_{2,1},0)\leqslant f_2(q_{2,0},t_{2,0},0)</math>. Specifically, if <math display="inline">{t'}_{2,1}\geqslant t_s</math>, using <math display="inline">{t'}_{21}\in [t_s,t_e]</math>, we have <math display="inline">f_2(q_{2,0},t_{2,0},0)\leqslant f_2(q_{2,1}{,t'}_{2,1},0)</math>, where <math display="inline">(q_{2,0},t_{2,0})</math> is the minimizer of <math display="inline">f_2(q_{r},t_{r},0)</math>. Thus, <math display="inline">n^*=0</math>. Alternatively, if <math display="inline">{t'}_{2,1}< t_s</math>, the discussion is further divided into the following two subcases based on the relationship between <math display="inline">\bar{t}_0</math> and <math display="inline">t_e</math>. Note that <math display="inline">{t'}_{2,1}<t_s\leqslant t_{2,0}</math>.
  
'''Case 2.1''' <math display="inline">\bar{t}_0< t_e</math>. Suppose that <math display="inline">c_f\geqslant \sqrt{2Ah/D}</math>, then <math display="inline">S^*=0</math>. Using <math display="inline">S^*=0</math>, <math display="inline">t_s\leqslant mQ^*/D</math>, and <math display="inline">{t'}_{2,1}\geqslant (mQ^*-S^*)/D</math>, we have <math display="inline">t_s\leqslant {t'}_{2,1}</math>, which contradicts with <math display="inline">{t'}_{2,1}<t_s</math>. Hence, <math display="inline">c_f<\sqrt{2Ah/D}</math>. Following <math display="inline">c_f<\sqrt{2Ah/D}</math> and <math display="inline">0<\gamma{<1}</math>, we have <math display="inline">\bar{t}_0\geqslant mQ^*/D</math> and thus <math display="inline">\bar{t}_0\geqslant t_s</math>. The result will be proven by replacing <math display="inline">[t_s,t_e]</math> with <math display="inline">{[t'}_{2,1},t_{2,0}]</math>. Lemmas 1-3 still hold for the promotion period <math display="inline">{[t'}_{2,1},t_{2,0}]</math>. By <math display="inline">c_f<\sqrt{2Ah/D}</math>, <math display="inline">t_s\leqslant \bar{t}_0<t_e</math>, and Lemma 3 (ii), we have <math display="inline">t_{2,0}=\bar{t}_0</math>. Thus, <math display="inline">f_2(q_r,t_r,0)</math> is strictly decreasing in <math display="inline">t_r</math> when <math display="inline">t_r\in {[t'}_{2,0},t_{2,0}]</math> (see Lemma 2). In this sense, we have that <math display="inline">f_2(q_{2,1}{,t'}_{2,1},0)> f_2(q_{2,1},t_{2,0},0)\geqslant f_2(q_{2,0},t_{2,0},0)</math>, where <math display="inline">(q_{2,0},t_{2,0})</math> is the minimizer of <math display="inline">f_2(q_r,t_r,0)</math> under the condition of the promotion period being <math display="inline">[t_s,t_e]</math>. Thus, <math display="inline">n^*=0</math>.
+
'''Case 2.1''': <math display="inline">\bar{t}_0< t_e</math>. Suppose that <math display="inline">c_f\geqslant \sqrt{2Ah/D}</math>, then <math display="inline">S^*=0</math>. Using <math display="inline">S^*=0</math>, <math display="inline">t_s\leqslant mQ^*/D</math>, and <math display="inline">{t'}_{2,1}\geqslant (mQ^*-S^*)/D</math>, we have <math display="inline">t_s\leqslant {t'}_{2,1}</math>, which contradicts with <math display="inline">{t'}_{2,1}<t_s</math>. Hence, <math display="inline">c_f<\sqrt{2Ah/D}</math>. Following <math display="inline">c_f<\sqrt{2Ah/D}</math> and <math display="inline">0<\gamma{<1}</math>, we have <math display="inline">\bar{t}_0\geqslant mQ^*/D</math> and thus <math display="inline">\bar{t}_0\geqslant t_s</math>. The result will be proven by replacing <math display="inline">[t_s,t_e]</math> with <math display="inline">{[t'}_{2,1},t_{2,0}]</math>. Lemmas 1-3 still hold for the promotion period <math display="inline">{[t'}_{2,1},t_{2,0}]</math>. By <math display="inline">c_f<\sqrt{2Ah/D}</math>, <math display="inline">t_s\leqslant \bar{t}_0<t_e</math>, and Lemma 3 (ii), we have <math display="inline">t_{2,0}=\bar{t}_0</math>. Thus, <math display="inline">f_2(q_r,t_r,0)</math> is strictly decreasing in <math display="inline">t_r</math> when <math display="inline">t_r\in {[t'}_{2,0},t_{2,0}]</math> (see Lemma 2). In this sense, we have that <math display="inline">f_2(q_{2,1}{,t'}_{2,1},0)> f_2(q_{2,1},t_{2,0},0)\geqslant f_2(q_{2,0},t_{2,0},0)</math>, where <math display="inline">(q_{2,0},t_{2,0})</math> is the minimizer of <math display="inline">f_2(q_r,t_r,0)</math> under the condition of the promotion period being <math display="inline">[t_s,t_e]</math>. Thus, <math display="inline">n^*=0</math>.
  
'''Case 2.2''' <math display="inline">\bar{t}_0\geqslant t_e</math>. By Lemma 3 (ii), we have <math display="inline">t_{2,0}=t_e</math>. We prove by replacing <math display="inline">[t_s,t_e]</math> with <math display="inline">{[t'}_{2,1},t_{2,0}]</math>. Lemmas 1-3 hold for <math display="inline">{[t'}_{2,1},t_{2,0}]</math>. Following <math display="inline">\bar{t}_{0}\geqslant t_e</math> and <math display="inline">t_e=t_{2,0}</math>, we have that <math display="inline">f_2(q_r,t_r,0)</math> is strictly decreasing in <math display="inline">t_r</math> when <math display="inline">t_r\in {[t'}_{2,1},t_{2,0}]</math>. Thus, <math display="inline">f_2(q_{2,1}{,t'}_{2,1},0)> f_2(q_{2,1},t_{2,0},0)\geqslant f_2(q_{2,0},t_{2,0},0)</math> (i.e., <math display="inline">n^*=0</math>), where <math display="inline">(q_{2,0},t_{2,0})</math> is the minimizer of <math display="inline">f_2(q_r,t_r,0)</math> under the condition of the promotion period being <math display="inline">[t_s,t_e]</math>.
+
'''Case 2.2''': <math display="inline">\bar{t}_0\geqslant t_e</math>. By Lemma 3 (ii), we have <math display="inline">t_{2,0}=t_e</math>. We prove by replacing <math display="inline">[t_s,t_e]</math> with <math display="inline">{[t'}_{2,1},t_{2,0}]</math>. Lemmas 1-3 hold for <math display="inline">{[t'}_{2,1},t_{2,0}]</math>. Following <math display="inline">\bar{t}_{0}\geqslant t_e</math> and <math display="inline">t_e=t_{2,0}</math>, we have that <math display="inline">f_2(q_r,t_r,0)</math> is strictly decreasing in <math display="inline">t_r</math> when <math display="inline">t_r\in {[t'}_{2,1},t_{2,0}]</math>. Thus, <math display="inline">f_2(q_{2,1}{,t'}_{2,1},0)> f_2(q_{2,1},t_{2,0},0)\geqslant f_2(q_{2,0},t_{2,0},0)</math> (i.e., <math display="inline">n^*=0</math>), where <math display="inline">(q_{2,0},t_{2,0})</math> is the minimizer of <math display="inline">f_2(q_r,t_r,0)</math> under the condition of the promotion period being <math display="inline">[t_s,t_e]</math>.
  
 
<br>
 
<br>

Revision as of 15:44, 26 June 2023

Abstract

This study investigates a retailer's ordering strategy under the framework of the economic order quantity (EOQ) model. A supplier offers a retailer a disposable coupon and allows it to place a special order at any time in a promotion period. The promotion period is not necessary short and shortages are allowed throughout the time horizon. In addition to the special order time and the special order quantity, the retailer needs to decide whether to place some regular orders in the promotion period before placing the special order for the purpose of making better use of this coupon. We show that the coupon should be used to the retailer's first order in the promotion period regardless of the duration of the promotion period. Moreover, the retailer's maximum inventory level is higher than that in the classical EOQ model. We find that a longer promotion period can benefit the retailer by endowing it with more flexibility in its decision-making. Therefore, the supplier can improve the cash flow and reduce the overstock by integrating a disposable coupon with a longer promotion period. Numerous managerial insights are obtained from sensitivity analysis and numerical experiments.

Keywords: Inventory, price discount, disposable coupon, promotion period, economic order quantity, shortages

1. Introduction

“Small profits and quick returns” has been widely adopted by functional managers in real industrial practices. To accelerate cash flow and reduce overstock, it is common for a supplier to encourage a retailer to place a larger order by temporarily charging a lower wholesale price. In this context, the retailer can improve its inventory system by placing one or more special orders. Despite a reduced wholesale price, the retailer's order decision is driven by a trade-off between the benefit from the special order (e.g., reduced purchasing cost and unit inventory holding cost) and the loss from it (e.g., increased ordering cost and inventory level). As such, the retailer is generally prudent to make its order decision, which depends on the discount rate and the promotion period simultaneously [1].

Given the diversity of retailers, the motivation effect of a short promotion period may be marginally pronounced because it undermines the flexibility of retailers in their decision-making. Nevertheless, if the length of the promotion period is long, retailers may repeatedly place small special orders for the purpose of cutting the purchasing cost and the inventory holding cost simultaneously, which works to the disadvantage of the supplier. To resolve the problem, the supplier can set a longer promotion period and offer the retailer a disposable coupon whereby the latter can order a special quantity only once during the promotion period [2]. We are interested in the following research questions:

RQ1: Will the retailer place some regular orders in the promotion period before the special order?
RQ2: How does the discount rate influence the retailer's optimal order decision?
RQ3: How does the duration of the promotion period affect the retailer's total cost?

To address the above questions, we develop an inventory model in which a supplier offers a retailer a disposable coupon whereby the retailer can order a special quantity at a reduced wholesale price in a promotion period. The promotion period is not necessary short. Thus, in addition to the special order time and the special order quantity, the retailer needs to decide whether to place some regular orders in the promotion period before the special order. Shortages are allowed and all shortages are backordered. We derive the retailer's optimal order decision by first constructing its total cost function and then minimizing it. It is worthy mentioning that the retailer's total cost function is continuous with respect to the special order time and the special order quantity, while discrete with respect to the number of regular orders.

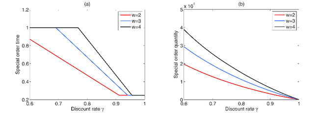
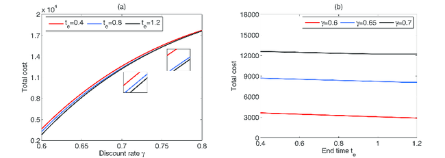
Our analytical results generate numerous managerial insights. Specifically, the coupon should be used to the first order in the promotion period regardless of the duration of the promotion period. Even if the supplier sets a long promotion period, the retailer has no incentive to deliberately postpone its special order, which improves the supplier's cash flow. Moreover, the maximum inventory level in our model is always higher than that in the classical economic order quantity (EOQ) model, indicating that the disposable coupon can reduce the supplier's overstock by passing on its excess stock to the downstream retailer. We investigate the effect of the discount rate on the retailer's optimal order decision. Overall speaking, a higher (lower) discount rate results in the retailer placing its special order earlier (later) and ordering less (more) special quantity simultaneously. In this sense, the supplier needs to make a trade-off between a earlier special order and a larger special order when setting the discount rate. Interestingly, the retailer's total cost decreases with the length of the promotion period, which implies that the supplier can attract more retailers by extending the promotion period in addition to reducing the wholesale price. The intuition is that a longer promotion period can make the retailer better off by endowing it with more flexibility in its ordering decision-making.

The remainder of this paper is organized as follows. Section 2 reviews the relevant literature. Section 3 describes the model. The retailer's optimal order decision and the corresponding managerial insights are presented in Section 4. In Section 5, we conduct numerical experiments to validate the proposed model. Section 6 concludes this study. All proofs are presented in Appendix.

2. Literature review

The literature is reviewed from two perspectives: price discounts at a future time and price discounts over a short period.

For instantaneous price discounts, Lev and Weiss [3] investigated how a retailer adjusts its order quantity according to fluctuations of various operational costs. Tersine and Barman [4] developed a composite EOQ model which can be disaggregated into a family of hybrid models to deal with specific conditions. Wee and Yu [5] determined the optimal order quantity for deteriorating products. Cárdenas-Barrón et al. [6] generalized Tersine and Barman's model by allowing for shortages and two backorder costs. Yang et al. [7] examined an inventory setting in which the leading time hinges on the retailer's order quantity. Chang and Lin [8] generalized Lev and Weiss's model by incorporating perishable items. Yang et al. [9] formulated an inventory model with limited warehouse capacity. Taleizadeh [10] further extended Tersine and Barman's model by considering partial backordering shortages. Shaposhnik [11] developed an inventory model with a stochastic price discount. Inventory models with instantaneous price discounts include, among many others, [12,13,14,15,16,17,18,19].

For price discounts over a short period, Ardalan [20] suggested that the special order should be placed at a time when the inventory level reaches the minimum (i.e., the minimum inventory principle). Aull-Hyde [21] extended Ardalan's model by incorporating some supplier-restricted purchasing options. Ardalan [22] examined the retailer's replenishment and pricing strategy in a three-echelon supply chain. Aull-Hyde [23] investigated the retailer's ordering strategy under allowable shortages and restricted promotion period. Chu et al. [24] showed that the minimum inventory principle is still valid for Aull-Hyde's model. Abad [25] examined the retailer optimal order decision under a price-dependent demand. Sarker and Kindi [26] extended the time horizon from the special replenishment cycle to the whole year. Cárdenas-Barrón [27,28] generalized Sarker and Kindi's model by considering some practical extensions. Kindi and Sarker [29] further generalized Sarker and Kindi's model by allowing for shortages. Sari et al. [30] formulated an inventory model with time-based price discounts. Karimi-Nasab and Konstantaras [31] investigated the retailer's order strategy with stochastic replenishment cycles. Cárdenas-Barrón et al. [32] revised Kindi and Sarker's model and derived the closed-form optimal total gain costs. Wang et al. [33] developed an inventory model with a stochastic short-term price discount. Gao et al. [34] generalized Wang et al.'s model by allowing for partial backorders.

The literature referred to above generally assumes that the promotion period is too short to tolerate more than one order, which undermines the practicality of the price discount. Although Kindi and Sarker [26,29] examined the retailer's ordering strategy under a long promotion period, the start time of the promotion period is required to be exactly coincident with a regular replenishment point of the classical EOQ model. In this sense, the supplier's promotion policy is actually exclusive to a particular retailer and, thus, is hardly appropriate to various retailers. This paper complements the above literature by relaxing the assumption on the start time of the promotion period. To our best knowledge, this study is the first to allow the retailer to place some regular orders in the promotion period to better prepare for the subsequent special order, which endows the retailer with more flexibility in its decision-making and, thus, is suitable for a variety of retailers.

Our study is also related to Arcelus et al. [35], who investigated the retailer's special order time and special order quantity under a promotion period of unknown length. This study also examines the retailer's ordering strategy with a promotion period of arbitrary length, but differs from their model in two aspects. First, they allow the retailer to repeatedly place special orders throughout the promotion period, which enables the retailer to fully take advantage of the price discount. In contrast, we restrict the number of special orders to hurry the retailer into placing a larger special order for the purpose of improving the supplier's cash flow. Second, shortages are prohibited in their study, but they are allowed in this study, which endow the retailer with more flexibility in its decision-making.

3. Model setup

Consider a supply chain setting in which a supplier sells a product to a retailer and charges a wholesale price Failed to parse (MathML with SVG or PNG fallback (recommended for modern browsers and accessibility tools): Invalid response ("Math extension cannot connect to Restbase.") from server "https://mathoid.scipedia.com/localhost/v1/":): {\textstyle w}

for each unit of its product. To promote sales, the supplier offers the retailer a disposable coupon whereby the latter can place a special order in a promotion period Failed to parse (MathML with SVG or PNG fallback (recommended for modern browsers and accessibility tools): Invalid response ("Math extension cannot connect to Restbase.") from server "https://mathoid.scipedia.com/localhost/v1/":): {\textstyle [t_s,t_e]}
at a reduced wholesale price Failed to parse (MathML with SVG or PNG fallback (recommended for modern browsers and accessibility tools): Invalid response ("Math extension cannot connect to Restbase.") from server "https://mathoid.scipedia.com/localhost/v1/":): {\textstyle \gamma w}

, Failed to parse (MathML with SVG or PNG fallback (recommended for modern browsers and accessibility tools): Invalid response ("Math extension cannot connect to Restbase.") from server "https://mathoid.scipedia.com/localhost/v1/":): {\textstyle 0<\gamma{<1}} . The promotion period may include one or more regular replenishment points. If that is the case, the retailer needs to decide whether to continue placing some regular orders after the coupon is available (at time Failed to parse (MathML with SVG or PNG fallback (recommended for modern browsers and accessibility tools): Invalid response ("Math extension cannot connect to Restbase.") from server "https://mathoid.scipedia.com/localhost/v1/":): {\textstyle t_s} ) to prepare for the special order. Shortages are allowed and fully backordered throughout the time horizon. The length of the time horizon is exogenously given and long enough to include the special order period. In addition to the special order time Failed to parse (MathML with SVG or PNG fallback (recommended for modern browsers and accessibility tools): Invalid response ("Math extension cannot connect to Restbase.") from server "https://mathoid.scipedia.com/localhost/v1/":): {\textstyle t_r} , the special order quantity Failed to parse (MathML with SVG or PNG fallback (recommended for modern browsers and accessibility tools): Invalid response ("Math extension cannot connect to Restbase.") from server "https://mathoid.scipedia.com/localhost/v1/":): {\textstyle q_r} , the retailer needs to determine the number of regular orders Failed to parse (MathML with SVG or PNG fallback (recommended for modern browsers and accessibility tools): Invalid response ("Math extension cannot connect to Restbase.") from server "https://mathoid.scipedia.com/localhost/v1/":): {\textstyle n}

placed in Failed to parse (MathML with SVG or PNG fallback (recommended for modern browsers and accessibility tools): Invalid response ("Math extension cannot connect to Restbase.") from server "https://mathoid.scipedia.com/localhost/v1/":): {\textstyle [t_s,t_r]}

. For convenience, we denote simply by a triple Failed to parse (MathML with SVG or PNG fallback (recommended for modern browsers and accessibility tools): Invalid response ("Math extension cannot connect to Restbase.") from server "https://mathoid.scipedia.com/localhost/v1/":): {\textstyle (q_r,t_r,n)}

the retailer's ordering strategy with a disposable coupon. To highlight the retailer's inventory mechanism, we adopt a constant demand rate under the framework of the classical EOQ model. To better illustrate our analytical model, we consider a two-echelon supply chain in which Coca-Cola and Costo act as the supplier and the retailer, respectively. The product is cola, which is produced by Coca-Cola and sold to Costco. It is worthy noting that the local demand for cola has tended to be steady [36]. A summary of the model notation is listed in the Table 1.
Table 1. Model notation
Notation Description
Failed to parse (MathML with SVG or PNG fallback (recommended for modern browsers and accessibility tools): Invalid response ("Math extension cannot connect to Restbase.") from server "https://mathoid.scipedia.com/localhost/v1/":): {\textstyle D} Annual market demand
Failed to parse (MathML with SVG or PNG fallback (recommended for modern browsers and accessibility tools): Invalid response ("Math extension cannot connect to Restbase.") from server "https://mathoid.scipedia.com/localhost/v1/":): w Wholesale price
Failed to parse (MathML with SVG or PNG fallback (recommended for modern browsers and accessibility tools): Invalid response ("Math extension cannot connect to Restbase.") from server "https://mathoid.scipedia.com/localhost/v1/":): \gamma Discount rate, Failed to parse (MathML with SVG or PNG fallback (recommended for modern browsers and accessibility tools): Invalid response ("Math extension cannot connect to Restbase.") from server "https://mathoid.scipedia.com/localhost/v1/":): {\textstyle 0<\gamma{<1}}
Failed to parse (MathML with SVG or PNG fallback (recommended for modern browsers and accessibility tools): Invalid response ("Math extension cannot connect to Restbase.") from server "https://mathoid.scipedia.com/localhost/v1/":): A Fixed ordering cost
Failed to parse (MathML with SVG or PNG fallback (recommended for modern browsers and accessibility tools): Invalid response ("Math extension cannot connect to Restbase.") from server "https://mathoid.scipedia.com/localhost/v1/":): h Unit inventory holding cost
Failed to parse (MathML with SVG or PNG fallback (recommended for modern browsers and accessibility tools): Invalid response ("Math extension cannot connect to Restbase.") from server "https://mathoid.scipedia.com/localhost/v1/":): c_f Fixed backorder cost
Failed to parse (MathML with SVG or PNG fallback (recommended for modern browsers and accessibility tools): Invalid response ("Math extension cannot connect to Restbase.") from server "https://mathoid.scipedia.com/localhost/v1/":): c_l Unit backorder cost
Failed to parse (MathML with SVG or PNG fallback (recommended for modern browsers and accessibility tools): Invalid response ("Math extension cannot connect to Restbase.") from server "https://mathoid.scipedia.com/localhost/v1/":): Q^* Regular economic order quantity (EOQ) order quantity
Failed to parse (MathML with SVG or PNG fallback (recommended for modern browsers and accessibility tools): Invalid response ("Math extension cannot connect to Restbase.") from server "https://mathoid.scipedia.com/localhost/v1/":): S^* Regular economic order quantity (EOQ) backorder level
Failed to parse (MathML with SVG or PNG fallback (recommended for modern browsers and accessibility tools): Invalid response ("Math extension cannot connect to Restbase.") from server "https://mathoid.scipedia.com/localhost/v1/":): k The length of the time horizon
Failed to parse (MathML with SVG or PNG fallback (recommended for modern browsers and accessibility tools): Invalid response ("Math extension cannot connect to Restbase.") from server "https://mathoid.scipedia.com/localhost/v1/":): t_s The start time of the promotion period
Failed to parse (MathML with SVG or PNG fallback (recommended for modern browsers and accessibility tools): Invalid response ("Math extension cannot connect to Restbase.") from server "https://mathoid.scipedia.com/localhost/v1/":): t_e The end time of the promotion period
Failed to parse (MathML with SVG or PNG fallback (recommended for modern browsers and accessibility tools): Invalid response ("Math extension cannot connect to Restbase.") from server "https://mathoid.scipedia.com/localhost/v1/":): m The number of regular orders placed in Failed to parse (MathML with SVG or PNG fallback (recommended for modern browsers and accessibility tools): Invalid response ("Math extension cannot connect to Restbase.") from server "https://mathoid.scipedia.com/localhost/v1/":): {\textstyle [0,t_s)}
Failed to parse (MathML with SVG or PNG fallback (recommended for modern browsers and accessibility tools): Invalid response ("Math extension cannot connect to Restbase.") from server "https://mathoid.scipedia.com/localhost/v1/":): n The number of regular orders placed in Failed to parse (MathML with SVG or PNG fallback (recommended for modern browsers and accessibility tools): Invalid response ("Math extension cannot connect to Restbase.") from server "https://mathoid.scipedia.com/localhost/v1/":): {\textstyle [t_s,t_r]}
Failed to parse (MathML with SVG or PNG fallback (recommended for modern browsers and accessibility tools): Invalid response ("Math extension cannot connect to Restbase.") from server "https://mathoid.scipedia.com/localhost/v1/":): q_r Special order quantity
Failed to parse (MathML with SVG or PNG fallback (recommended for modern browsers and accessibility tools): Invalid response ("Math extension cannot connect to Restbase.") from server "https://mathoid.scipedia.com/localhost/v1/":): t_r Special order time


3.1 Inventory level

In this subsection, we characterize the retailer's inventory level with respect to its ordering strategy. To this end, we first examine the fixed number of regular EOQ orders placed before the promotion period. Let Failed to parse (MathML with SVG or PNG fallback (recommended for modern browsers and accessibility tools): Invalid response ("Math extension cannot connect to Restbase.") from server "https://mathoid.scipedia.com/localhost/v1/":): {\textstyle m=\lceil t_sD/Q^*\rceil } , where Failed to parse (MathML with SVG or PNG fallback (recommended for modern browsers and accessibility tools): Invalid response ("Math extension cannot connect to Restbase.") from server "https://mathoid.scipedia.com/localhost/v1/":): {\textstyle \lceil x\rceil }

denotes the smallest integer greater than or equal to Failed to parse (MathML with SVG or PNG fallback (recommended for modern browsers and accessibility tools): Invalid response ("Math extension cannot connect to Restbase.") from server "https://mathoid.scipedia.com/localhost/v1/":): {\textstyle x}

. Thus, Failed to parse (MathML with SVG or PNG fallback (recommended for modern browsers and accessibility tools): Invalid response ("Math extension cannot connect to Restbase.") from server "https://mathoid.scipedia.com/localhost/v1/":): {\textstyle m}

denotes the number of regular orders placed in Failed to parse (MathML with SVG or PNG fallback (recommended for modern browsers and accessibility tools): Invalid response ("Math extension cannot connect to Restbase.") from server "https://mathoid.scipedia.com/localhost/v1/":): {\textstyle [0,t_s)}

, which satisfies Failed to parse (MathML with SVG or PNG fallback (recommended for modern browsers and accessibility tools): Invalid response ("Math extension cannot connect to Restbase.") from server "https://mathoid.scipedia.com/localhost/v1/":): {\textstyle (m-1)Q^*/D<t_s\leqslant mQ^*/D} .

We then investigate the number of regular orders placed in Failed to parse (MathML with SVG or PNG fallback (recommended for modern browsers and accessibility tools): Invalid response ("Math extension cannot connect to Restbase.") from server "https://mathoid.scipedia.com/localhost/v1/":): {\textstyle [t_s,t_r]} , wherein Failed to parse (MathML with SVG or PNG fallback (recommended for modern browsers and accessibility tools): Invalid response ("Math extension cannot connect to Restbase.") from server "https://mathoid.scipedia.com/localhost/v1/":): {\textstyle [t_s,t_r]}

denotes the period from the coupon being available (at time Failed to parse (MathML with SVG or PNG fallback (recommended for modern browsers and accessibility tools): Invalid response ("Math extension cannot connect to Restbase.") from server "https://mathoid.scipedia.com/localhost/v1/":): {\textstyle t_s}

) to the special order being placed (at time Failed to parse (MathML with SVG or PNG fallback (recommended for modern browsers and accessibility tools): Invalid response ("Math extension cannot connect to Restbase.") from server "https://mathoid.scipedia.com/localhost/v1/":): {\textstyle t_r} ). Note that in the classic EOQ model, the Failed to parse (MathML with SVG or PNG fallback (recommended for modern browsers and accessibility tools): Invalid response ("Math extension cannot connect to Restbase.") from server "https://mathoid.scipedia.com/localhost/v1/":): {\textstyle i} -th, Failed to parse (MathML with SVG or PNG fallback (recommended for modern browsers and accessibility tools): Invalid response ("Math extension cannot connect to Restbase.") from server "https://mathoid.scipedia.com/localhost/v1/":): {\textstyle i\geqslant 1} , regular order is placed at time Failed to parse (MathML with SVG or PNG fallback (recommended for modern browsers and accessibility tools): Invalid response ("Math extension cannot connect to Restbase.") from server "https://mathoid.scipedia.com/localhost/v1/":): {\textstyle (i-1)Q^*/D} . If the retailer decides to place Failed to parse (MathML with SVG or PNG fallback (recommended for modern browsers and accessibility tools): Invalid response ("Math extension cannot connect to Restbase.") from server "https://mathoid.scipedia.com/localhost/v1/":): {\textstyle n} , Failed to parse (MathML with SVG or PNG fallback (recommended for modern browsers and accessibility tools): Invalid response ("Math extension cannot connect to Restbase.") from server "https://mathoid.scipedia.com/localhost/v1/":): {\textstyle n\geqslant{0}} , regular orders in Failed to parse (MathML with SVG or PNG fallback (recommended for modern browsers and accessibility tools): Invalid response ("Math extension cannot connect to Restbase.") from server "https://mathoid.scipedia.com/localhost/v1/":): {\textstyle [t_s,t_r]} , it will place a total of Failed to parse (MathML with SVG or PNG fallback (recommended for modern browsers and accessibility tools): Invalid response ("Math extension cannot connect to Restbase.") from server "https://mathoid.scipedia.com/localhost/v1/":): {\textstyle m+n}

regular orders in Failed to parse (MathML with SVG or PNG fallback (recommended for modern browsers and accessibility tools): Invalid response ("Math extension cannot connect to Restbase.") from server "https://mathoid.scipedia.com/localhost/v1/":): {\textstyle [0,t_r]}

. In particular, the Failed to parse (MathML with SVG or PNG fallback (recommended for modern browsers and accessibility tools): Invalid response ("Math extension cannot connect to Restbase.") from server "https://mathoid.scipedia.com/localhost/v1/":): {\textstyle (m+n)} -th regular order is to be placed at time Failed to parse (MathML with SVG or PNG fallback (recommended for modern browsers and accessibility tools): Invalid response ("Math extension cannot connect to Restbase.") from server "https://mathoid.scipedia.com/localhost/v1/":): {\textstyle (m+n-1)Q^*/D} . To measure the retailer's inventory level at the special order time Failed to parse (MathML with SVG or PNG fallback (recommended for modern browsers and accessibility tools): Invalid response ("Math extension cannot connect to Restbase.") from server "https://mathoid.scipedia.com/localhost/v1/":): {\textstyle t_r} , let us define Failed to parse (MathML with SVG or PNG fallback (recommended for modern browsers and accessibility tools): Invalid response ("Math extension cannot connect to Restbase.") from server "https://mathoid.scipedia.com/localhost/v1/":): {\textstyle f_n(t)=(m+n)Q^*-S^*-tD}

for Failed to parse (MathML with SVG or PNG fallback (recommended for modern browsers and accessibility tools): Invalid response ("Math extension cannot connect to Restbase.") from server "https://mathoid.scipedia.com/localhost/v1/":): {\textstyle n\geqslant 0}
and Failed to parse (MathML with SVG or PNG fallback (recommended for modern browsers and accessibility tools): Invalid response ("Math extension cannot connect to Restbase.") from server "https://mathoid.scipedia.com/localhost/v1/":): {\textstyle t\in [0,+\infty )}

. In this light, Failed to parse (MathML with SVG or PNG fallback (recommended for modern browsers and accessibility tools): Invalid response ("Math extension cannot connect to Restbase.") from server "https://mathoid.scipedia.com/localhost/v1/":): {\textstyle f_n(t_r)}

is exactly the inventory level at the special order time Failed to parse (MathML with SVG or PNG fallback (recommended for modern browsers and accessibility tools): Invalid response ("Math extension cannot connect to Restbase.") from server "https://mathoid.scipedia.com/localhost/v1/":): {\textstyle t_r}

.

Given that all items purchased through the last regular order before the promotion period will be sold out at time Failed to parse (MathML with SVG or PNG fallback (recommended for modern browsers and accessibility tools): Invalid response ("Math extension cannot connect to Restbase.") from server "https://mathoid.scipedia.com/localhost/v1/":): {\textstyle ((m+n)Q^*-S^*)/D} , we refer to Failed to parse (MathML with SVG or PNG fallback (recommended for modern browsers and accessibility tools): Invalid response ("Math extension cannot connect to Restbase.") from server "https://mathoid.scipedia.com/localhost/v1/":): {\textstyle [0,((m+n)Q^*-S^*)/D]}

as the regular order interval. Since all items purchased through the special order will be sold out at time Failed to parse (MathML with SVG or PNG fallback (recommended for modern browsers and accessibility tools): Invalid response ("Math extension cannot connect to Restbase.") from server "https://mathoid.scipedia.com/localhost/v1/":): {\textstyle ((m+n)Q^*-S^*+q_r)/D}

, we refer to Failed to parse (MathML with SVG or PNG fallback (recommended for modern browsers and accessibility tools): Invalid response ("Math extension cannot connect to Restbase.") from server "https://mathoid.scipedia.com/localhost/v1/":): {\textstyle (((m+n)Q^*-S^*)/D,((m+n)Q^*-S^*+q_r)/D]}

as the the special order interval. The retailer's inventory level is illustrated in Figure 1, where “RI”, “SI”, and “RH” denote the regular order interval, the special order interval, and the remaining time horizon, respectively.
Retailer's Ordering Strategy with n=0.
Figure 1. Retailer's ordering strategy with Failed to parse (MathML with SVG or PNG fallback (recommended for modern browsers and accessibility tools): Invalid response ("Math extension cannot connect to Restbase.") from server "https://mathoid.scipedia.com/localhost/v1/":): n=0


3.2 Total cost

In this subsection, we examine the retailer's total cost with respect to the ordering strategy Failed to parse (MathML with SVG or PNG fallback (recommended for modern browsers and accessibility tools): Invalid response ("Math extension cannot connect to Restbase.") from server "https://mathoid.scipedia.com/localhost/v1/":): {\textstyle (q_r,t_r,n)}

by adding up its total costs in the regular order interval, the special order interval, and the remaining time horizon.

We first consider the retailer's total cost in the regular order interval. According to [37], the average cost caused by the regular order is Failed to parse (MathML with SVG or PNG fallback (recommended for modern browsers and accessibility tools): Invalid response ("Math extension cannot connect to Restbase.") from server "https://mathoid.scipedia.com/localhost/v1/":): {\textstyle C^*_{ar}=wD+h(Q^*-S^*)} , where Failed to parse (MathML with SVG or PNG fallback (recommended for modern browsers and accessibility tools): Invalid response ("Math extension cannot connect to Restbase.") from server "https://mathoid.scipedia.com/localhost/v1/":): {\textstyle Q^*=\sqrt{2AD/h}}

and Failed to parse (MathML with SVG or PNG fallback (recommended for modern browsers and accessibility tools): Invalid response ("Math extension cannot connect to Restbase.") from server "https://mathoid.scipedia.com/localhost/v1/":): {\textstyle S^*=0}
if Failed to parse (MathML with SVG or PNG fallback (recommended for modern browsers and accessibility tools): Invalid response ("Math extension cannot connect to Restbase.") from server "https://mathoid.scipedia.com/localhost/v1/":): {\textstyle c_f\geqslant \sqrt{2Ah/D}}
otherwise, Failed to parse (MathML with SVG or PNG fallback (recommended for modern browsers and accessibility tools): Invalid response ("Math extension cannot connect to Restbase.") from server "https://mathoid.scipedia.com/localhost/v1/":): {\textstyle Q^*=(2AD(h+c_l)-c_f^2D^2)^{\frac{1}{2}}/(hc_l)^{\frac{1}{2}}}
and Failed to parse (MathML with SVG or PNG fallback (recommended for modern browsers and accessibility tools): Invalid response ("Math extension cannot connect to Restbase.") from server "https://mathoid.scipedia.com/localhost/v1/":): {\textstyle S^*=(hQ^*-c_fD)/(h+c_l)}

. Thus, the total cost in the regular order interval is Failed to parse (MathML with SVG or PNG fallback (recommended for modern browsers and accessibility tools): Invalid response ("Math extension cannot connect to Restbase.") from server "https://mathoid.scipedia.com/localhost/v1/":): {\textstyle (m+n)Q^*C^*_{ar}/D-(c_lS^*+2c_fD)S^*/2D} , where Failed to parse (MathML with SVG or PNG fallback (recommended for modern browsers and accessibility tools): Invalid response ("Math extension cannot connect to Restbase.") from server "https://mathoid.scipedia.com/localhost/v1/":): {\textstyle (c_lS^*+2c_fD)S^*/2D}

is the backorder cost caused by the last regular order before the promotion period, which actually occurs in the subsequent special order interval.

Next, we investigate the retailer's total cost in the special order interval. It is worthy noting that when the wholesale price is reduced from Failed to parse (MathML with SVG or PNG fallback (recommended for modern browsers and accessibility tools): Invalid response ("Math extension cannot connect to Restbase.") from server "https://mathoid.scipedia.com/localhost/v1/":): {\textstyle w}

to Failed to parse (MathML with SVG or PNG fallback (recommended for modern browsers and accessibility tools): Invalid response ("Math extension cannot connect to Restbase.") from server "https://mathoid.scipedia.com/localhost/v1/":): {\textstyle \gamma w}

, the unit inventory holding cost falls from Failed to parse (MathML with SVG or PNG fallback (recommended for modern browsers and accessibility tools): Invalid response ("Math extension cannot connect to Restbase.") from server "https://mathoid.scipedia.com/localhost/v1/":): {\textstyle h}

to Failed to parse (MathML with SVG or PNG fallback (recommended for modern browsers and accessibility tools): Invalid response ("Math extension cannot connect to Restbase.") from server "https://mathoid.scipedia.com/localhost/v1/":): {\textstyle \gamma h}

, while two backorder costs Failed to parse (MathML with SVG or PNG fallback (recommended for modern browsers and accessibility tools): Invalid response ("Math extension cannot connect to Restbase.") from server "https://mathoid.scipedia.com/localhost/v1/":): {\textstyle c_f}

and Failed to parse (MathML with SVG or PNG fallback (recommended for modern browsers and accessibility tools): Invalid response ("Math extension cannot connect to Restbase.") from server "https://mathoid.scipedia.com/localhost/v1/":): {\textstyle c_l}
remain unchanged [6,29].

Lemma 1: When Failed to parse (MathML with SVG or PNG fallback (recommended for modern browsers and accessibility tools): Invalid response ("Math extension cannot connect to Restbase.") from server "https://mathoid.scipedia.com/localhost/v1/":): {\textstyle q_r+f_n(t_r)<0} , the retailer can never achieve the minimum total cost.

Lemma 1 indicates that the inventory level should be non-negative after the retailer places a special order (i.e., Failed to parse (MathML with SVG or PNG fallback (recommended for modern browsers and accessibility tools): Invalid response ("Math extension cannot connect to Restbase.") from server "https://mathoid.scipedia.com/localhost/v1/":): {\textstyle q_r+f_n(t_{r})\geqslant 0} ). Thus, we additionally assume that Failed to parse (MathML with SVG or PNG fallback (recommended for modern browsers and accessibility tools): Invalid response ("Math extension cannot connect to Restbase.") from server "https://mathoid.scipedia.com/localhost/v1/":): {\textstyle q_r+f_n(t_{r})\geqslant 0}

to simplify our discussion, which occurs if and only if Failed to parse (MathML with SVG or PNG fallback (recommended for modern browsers and accessibility tools): Invalid response ("Math extension cannot connect to Restbase.") from server "https://mathoid.scipedia.com/localhost/v1/":): {\textstyle t_r\leqslant ((m+n)Q^*-S^*+q_r)/D}

. If Failed to parse (MathML with SVG or PNG fallback (recommended for modern browsers and accessibility tools): Invalid response ("Math extension cannot connect to Restbase.") from server "https://mathoid.scipedia.com/localhost/v1/":): {\textstyle f_n(t_{r})\geqslant 0} , the retailer will bear the ordering cost, the purchasing cost, and the inventory holding cost simultaneously, in which case, the total cost in the special order interval is given by

Failed to parse (MathML with SVG or PNG fallback (recommended for modern browsers and accessibility tools): Invalid response ("Math extension cannot connect to Restbase.") from server "https://mathoid.scipedia.com/localhost/v1/":): \begin{align}C_1(q_r,t_r,n)=A+\gamma wq_r+\frac{\gamma h((q_r+f_n(t_r))^2-f_n^2(t_{r}))}{2D}; \end{align}

if Failed to parse (MathML with SVG or PNG fallback (recommended for modern browsers and accessibility tools): Invalid response ("Math extension cannot connect to Restbase.") from server "https://mathoid.scipedia.com/localhost/v1/":): {\textstyle f_n(t_{r})<0} , the retailer will additionally pay the fixed backorder cost and the linear backorder cost for its special order, in which case, the corresponding cost is

Failed to parse (MathML with SVG or PNG fallback (recommended for modern browsers and accessibility tools): Invalid response ("Math extension cannot connect to Restbase.") from server "https://mathoid.scipedia.com/localhost/v1/":): \begin{align}C_{2}(q_r,t_r,n)=A+\gamma wq_r+\frac{\gamma h(q_r+f_n(t_r))^2}{2D}-c_ff_n(t_r)+\frac{c_l f_n^2(t_r)}{2D}. \end{align}


Then, we examine the retailer's total cost in the remaining time horizon Failed to parse (MathML with SVG or PNG fallback (recommended for modern browsers and accessibility tools): Invalid response ("Math extension cannot connect to Restbase.") from server "https://mathoid.scipedia.com/localhost/v1/":): {\textstyle (((m+n)Q^*-S^*+q_r)/D,k]} . Given that our inventory model converts to the classical EOQ model after time Failed to parse (MathML with SVG or PNG fallback (recommended for modern browsers and accessibility tools): Invalid response ("Math extension cannot connect to Restbase.") from server "https://mathoid.scipedia.com/localhost/v1/":): {\textstyle ((m+n)Q^*-S^*+q_r)/D} , we adopt the average cost Failed to parse (MathML with SVG or PNG fallback (recommended for modern browsers and accessibility tools): Invalid response ("Math extension cannot connect to Restbase.") from server "https://mathoid.scipedia.com/localhost/v1/":): {\textstyle C^*_{ar}}

of the regular EOQ ordering strategy in the remaining time horizon, where Failed to parse (MathML with SVG or PNG fallback (recommended for modern browsers and accessibility tools): Invalid response ("Math extension cannot connect to Restbase.") from server "https://mathoid.scipedia.com/localhost/v1/":): {\textstyle k}
is large enough to contain the special order interval.1

Combining the above analysis, we can derive the retailer's total cost

Failed to parse (MathML with SVG or PNG fallback (recommended for modern browsers and accessibility tools): Invalid response ("Math extension cannot connect to Restbase.") from server "https://mathoid.scipedia.com/localhost/v1/":): \begin{align}f(q_r,t_r,n)=&\frac{(m+n)Q^*C^*_{ar}}{D}-\frac{(c_lS^*+2c_fD)S^*}{2D}+C_{i}(q_r,t_r,n)\\ &+\bigg(k-\frac{(m+n)Q^*-S^*+q_r}{D}\bigg)C^*_{ar}, \end{align}

where Failed to parse (MathML with SVG or PNG fallback (recommended for modern browsers and accessibility tools): Invalid response ("Math extension cannot connect to Restbase.") from server "https://mathoid.scipedia.com/localhost/v1/":): {\textstyle i=1}

if Failed to parse (MathML with SVG or PNG fallback (recommended for modern browsers and accessibility tools): Invalid response ("Math extension cannot connect to Restbase.") from server "https://mathoid.scipedia.com/localhost/v1/":): {\textstyle f_n(t_{r})\geqslant 0}
and Failed to parse (MathML with SVG or PNG fallback (recommended for modern browsers and accessibility tools): Invalid response ("Math extension cannot connect to Restbase.") from server "https://mathoid.scipedia.com/localhost/v1/":): {\textstyle i=2}
otherwise. One can check that Failed to parse (MathML with SVG or PNG fallback (recommended for modern browsers and accessibility tools): Invalid response ("Math extension cannot connect to Restbase.") from server "https://mathoid.scipedia.com/localhost/v1/":): {\textstyle f(q_r,t_r,n)}
is continuous with respect to Failed to parse (MathML with SVG or PNG fallback (recommended for modern browsers and accessibility tools): Invalid response ("Math extension cannot connect to Restbase.") from server "https://mathoid.scipedia.com/localhost/v1/":): {\textstyle q_r}
and Failed to parse (MathML with SVG or PNG fallback (recommended for modern browsers and accessibility tools): Invalid response ("Math extension cannot connect to Restbase.") from server "https://mathoid.scipedia.com/localhost/v1/":): {\textstyle t_r}
while discrete with respect to Failed to parse (MathML with SVG or PNG fallback (recommended for modern browsers and accessibility tools): Invalid response ("Math extension cannot connect to Restbase.") from server "https://mathoid.scipedia.com/localhost/v1/":): {\textstyle n}

. The retailer can determine the optimal order decision by minimizing Failed to parse (MathML with SVG or PNG fallback (recommended for modern browsers and accessibility tools): Invalid response ("Math extension cannot connect to Restbase.") from server "https://mathoid.scipedia.com/localhost/v1/":): {\textstyle f(q_r,t_r,n)}

subject to the constraints: Failed to parse (MathML with SVG or PNG fallback (recommended for modern browsers and accessibility tools): Invalid response ("Math extension cannot connect to Restbase.") from server "https://mathoid.scipedia.com/localhost/v1/":): {\textstyle q_r\geqslant 0}

, Failed to parse (MathML with SVG or PNG fallback (recommended for modern browsers and accessibility tools): Invalid response ("Math extension cannot connect to Restbase.") from server "https://mathoid.scipedia.com/localhost/v1/":): {\textstyle t_s\leqslant t_r\leqslant \min \{ t_e,((m+n)Q^*-S^*+q_r)/D\} } , and Failed to parse (MathML with SVG or PNG fallback (recommended for modern browsers and accessibility tools): Invalid response ("Math extension cannot connect to Restbase.") from server "https://mathoid.scipedia.com/localhost/v1/":): {\textstyle n\geqslant 0} .

(1) The retailer's optimal order decision is actually independent of the length of the time horizon Failed to parse (MathML with SVG or PNG fallback (recommended for modern browsers and accessibility tools): Invalid response ("Math extension cannot connect to Restbase.") from server "https://mathoid.scipedia.com/localhost/v1/":): k

see Proposition 1.

4. Analysis

Thus far, we have established the retailer's total cost function Failed to parse (MathML with SVG or PNG fallback (recommended for modern browsers and accessibility tools): Invalid response ("Math extension cannot connect to Restbase.") from server "https://mathoid.scipedia.com/localhost/v1/":): {\textstyle f(q_r,t_r,n)} . In this subsection, we further examine the retailer's optimal order decision by minimizing Failed to parse (MathML with SVG or PNG fallback (recommended for modern browsers and accessibility tools): Invalid response ("Math extension cannot connect to Restbase.") from server "https://mathoid.scipedia.com/localhost/v1/":): {\textstyle f(q_r,t_r,n)} . To this end, we first derive the minimizer, denoted by Failed to parse (MathML with SVG or PNG fallback (recommended for modern browsers and accessibility tools): Invalid response ("Math extension cannot connect to Restbase.") from server "https://mathoid.scipedia.com/localhost/v1/":): {\textstyle (q_{n},t_{n})} , of Failed to parse (MathML with SVG or PNG fallback (recommended for modern browsers and accessibility tools): Invalid response ("Math extension cannot connect to Restbase.") from server "https://mathoid.scipedia.com/localhost/v1/":): {\textstyle f(q_r,t_r,n)}

for a fixed Failed to parse (MathML with SVG or PNG fallback (recommended for modern browsers and accessibility tools): Invalid response ("Math extension cannot connect to Restbase.") from server "https://mathoid.scipedia.com/localhost/v1/":): {\textstyle n}
and then determine the optimal number Failed to parse (MathML with SVG or PNG fallback (recommended for modern browsers and accessibility tools): Invalid response ("Math extension cannot connect to Restbase.") from server "https://mathoid.scipedia.com/localhost/v1/":): {\textstyle n^*}

. For ease of exposition, let us define Failed to parse (MathML with SVG or PNG fallback (recommended for modern browsers and accessibility tools): Invalid response ("Math extension cannot connect to Restbase.") from server "https://mathoid.scipedia.com/localhost/v1/":): {\textstyle f_1(q_r,t_r,n)=f(q_r,t_r,n)|_{f_n(t_r)\geqslant 0}}

and Failed to parse (MathML with SVG or PNG fallback (recommended for modern browsers and accessibility tools): Invalid response ("Math extension cannot connect to Restbase.") from server "https://mathoid.scipedia.com/localhost/v1/":): {\textstyle f_2(q_r,t_r,n)=f(q_r,t_r,n)|_{f_n(t_r)\leqslant 0}}
then Failed to parse (MathML with SVG or PNG fallback (recommended for modern browsers and accessibility tools): Invalid response ("Math extension cannot connect to Restbase.") from server "https://mathoid.scipedia.com/localhost/v1/":): {\textstyle f(q_r,t_r,n)}
can be seen as a piecewise-defined function consisting of two sub-functions Failed to parse (MathML with SVG or PNG fallback (recommended for modern browsers and accessibility tools): Invalid response ("Math extension cannot connect to Restbase.") from server "https://mathoid.scipedia.com/localhost/v1/":): {\textstyle f_1(q_r,t_r,n)}
and Failed to parse (MathML with SVG or PNG fallback (recommended for modern browsers and accessibility tools): Invalid response ("Math extension cannot connect to Restbase.") from server "https://mathoid.scipedia.com/localhost/v1/":): {\textstyle f_2(q_r,t_r,n)}

.

Lemma 2: For a given Failed to parse (MathML with SVG or PNG fallback (recommended for modern browsers and accessibility tools): Invalid response ("Math extension cannot connect to Restbase.") from server "https://mathoid.scipedia.com/localhost/v1/":): {\textstyle n} , (i) Failed to parse (MathML with SVG or PNG fallback (recommended for modern browsers and accessibility tools): Invalid response ("Math extension cannot connect to Restbase.") from server "https://mathoid.scipedia.com/localhost/v1/":): {\textstyle f_1(q_r,t_r,n)}

is strictly decreasing in Failed to parse (MathML with SVG or PNG fallback (recommended for modern browsers and accessibility tools): Invalid response ("Math extension cannot connect to Restbase.") from server "https://mathoid.scipedia.com/localhost/v1/":): {\textstyle t_r}
and convex in Failed to parse (MathML with SVG or PNG fallback (recommended for modern browsers and accessibility tools): Invalid response ("Math extension cannot connect to Restbase.") from server "https://mathoid.scipedia.com/localhost/v1/":): {\textstyle q_r}
(ii) Failed to parse (MathML with SVG or PNG fallback (recommended for modern browsers and accessibility tools): Invalid response ("Math extension cannot connect to Restbase.") from server "https://mathoid.scipedia.com/localhost/v1/":): {\textstyle f_2(q_r,t_r,n)}
is strictly convex in Failed to parse (MathML with SVG or PNG fallback (recommended for modern browsers and accessibility tools): Invalid response ("Math extension cannot connect to Restbase.") from server "https://mathoid.scipedia.com/localhost/v1/":): {\textstyle t_r}
and Failed to parse (MathML with SVG or PNG fallback (recommended for modern browsers and accessibility tools): Invalid response ("Math extension cannot connect to Restbase.") from server "https://mathoid.scipedia.com/localhost/v1/":): {\textstyle q_r}

.

Lemma 2 reveals the structural property of the sub-function Failed to parse (MathML with SVG or PNG fallback (recommended for modern browsers and accessibility tools): Invalid response ("Math extension cannot connect to Restbase.") from server "https://mathoid.scipedia.com/localhost/v1/":): {\textstyle f_i(q_r,t_r,n)}

for Failed to parse (MathML with SVG or PNG fallback (recommended for modern browsers and accessibility tools): Invalid response ("Math extension cannot connect to Restbase.") from server "https://mathoid.scipedia.com/localhost/v1/":): {\textstyle i=1,2}

. Solving Failed to parse (MathML with SVG or PNG fallback (recommended for modern browsers and accessibility tools): Invalid response ("Math extension cannot connect to Restbase.") from server "https://mathoid.scipedia.com/localhost/v1/":): {\textstyle \partial f_2/\partial t_r=0}

yields Failed to parse (MathML with SVG or PNG fallback (recommended for modern browsers and accessibility tools): Invalid response ("Math extension cannot connect to Restbase.") from server "https://mathoid.scipedia.com/localhost/v1/":): {\textstyle t_r=\bar{t}_{n}}

, where Failed to parse (MathML with SVG or PNG fallback (recommended for modern browsers and accessibility tools): Invalid response ("Math extension cannot connect to Restbase.") from server "https://mathoid.scipedia.com/localhost/v1/":): {\textstyle \bar{t}_{n}=((m+n)Q^*-S^*)/D+(C^*_{ar}-c_fD-\gamma wD)/c_lD} . It is evident that Failed to parse (MathML with SVG or PNG fallback (recommended for modern browsers and accessibility tools): Invalid response ("Math extension cannot connect to Restbase.") from server "https://mathoid.scipedia.com/localhost/v1/":): {\textstyle f_2(q_r,t_r,n)}

strictly decreases in Failed to parse (MathML with SVG or PNG fallback (recommended for modern browsers and accessibility tools): Invalid response ("Math extension cannot connect to Restbase.") from server "https://mathoid.scipedia.com/localhost/v1/":): {\textstyle t_r}
when Failed to parse (MathML with SVG or PNG fallback (recommended for modern browsers and accessibility tools): Invalid response ("Math extension cannot connect to Restbase.") from server "https://mathoid.scipedia.com/localhost/v1/":): {\textstyle t_r\leqslant \bar{t}_{n}}
and increases in Failed to parse (MathML with SVG or PNG fallback (recommended for modern browsers and accessibility tools): Invalid response ("Math extension cannot connect to Restbase.") from server "https://mathoid.scipedia.com/localhost/v1/":): {\textstyle t_r}
when Failed to parse (MathML with SVG or PNG fallback (recommended for modern browsers and accessibility tools): Invalid response ("Math extension cannot connect to Restbase.") from server "https://mathoid.scipedia.com/localhost/v1/":): {\textstyle t_r\geqslant \bar{t}_{n}}

. Next, we derive the minimizer, denoted by Failed to parse (MathML with SVG or PNG fallback (recommended for modern browsers and accessibility tools): Invalid response ("Math extension cannot connect to Restbase.") from server "https://mathoid.scipedia.com/localhost/v1/":): {\textstyle (q_{i,n},t_{i,n})} , of Failed to parse (MathML with SVG or PNG fallback (recommended for modern browsers and accessibility tools): Invalid response ("Math extension cannot connect to Restbase.") from server "https://mathoid.scipedia.com/localhost/v1/":): {\textstyle f_i(q_r,t_r,n)}

for a given Failed to parse (MathML with SVG or PNG fallback (recommended for modern browsers and accessibility tools): Invalid response ("Math extension cannot connect to Restbase.") from server "https://mathoid.scipedia.com/localhost/v1/":): {\textstyle n}

.

Lemma 3: For a given Failed to parse (MathML with SVG or PNG fallback (recommended for modern browsers and accessibility tools): Invalid response ("Math extension cannot connect to Restbase.") from server "https://mathoid.scipedia.com/localhost/v1/":): {\textstyle n} , (i) the minimum of the sub-function Failed to parse (MathML with SVG or PNG fallback (recommended for modern browsers and accessibility tools): Invalid response ("Math extension cannot connect to Restbase.") from server "https://mathoid.scipedia.com/localhost/v1/":): {\textstyle f_1(q_r,t_r,n)}

occurs at Failed to parse (MathML with SVG or PNG fallback (recommended for modern browsers and accessibility tools): Invalid response ("Math extension cannot connect to Restbase.") from server "https://mathoid.scipedia.com/localhost/v1/":): {\textstyle (q_{1,n},t_{1,n})}

, where Failed to parse (MathML with SVG or PNG fallback (recommended for modern browsers and accessibility tools): Invalid response ("Math extension cannot connect to Restbase.") from server "https://mathoid.scipedia.com/localhost/v1/":): {\textstyle q_{1,n}=(C^*_{ar}-\gamma wD)/\gamma h-f_n(t_{1,n})}

and Failed to parse (MathML with SVG or PNG fallback (recommended for modern browsers and accessibility tools): Invalid response ("Math extension cannot connect to Restbase.") from server "https://mathoid.scipedia.com/localhost/v1/":): {\textstyle t_{1,n}=\min \{ t_e,((m+n)Q^*-S^*)/D\} }
(ii) the minimum of the sub-function Failed to parse (MathML with SVG or PNG fallback (recommended for modern browsers and accessibility tools): Invalid response ("Math extension cannot connect to Restbase.") from server "https://mathoid.scipedia.com/localhost/v1/":): {\textstyle f_2(q_r,t_r,n)}
occurs at Failed to parse (MathML with SVG or PNG fallback (recommended for modern browsers and accessibility tools): Invalid response ("Math extension cannot connect to Restbase.") from server "https://mathoid.scipedia.com/localhost/v1/":): {\textstyle (q_{2,n},t_{2,n})}

, where Failed to parse (MathML with SVG or PNG fallback (recommended for modern browsers and accessibility tools): Invalid response ("Math extension cannot connect to Restbase.") from server "https://mathoid.scipedia.com/localhost/v1/":): {\textstyle q_{2,n}=(C^*_{ar}-\gamma wD)/\gamma h-f_n(t_{2,n})}

and Failed to parse (MathML with SVG or PNG fallback (recommended for modern browsers and accessibility tools): Invalid response ("Math extension cannot connect to Restbase.") from server "https://mathoid.scipedia.com/localhost/v1/":): {\textstyle t_{2,n}}
such that if Failed to parse (MathML with SVG or PNG fallback (recommended for modern browsers and accessibility tools): Invalid response ("Math extension cannot connect to Restbase.") from server "https://mathoid.scipedia.com/localhost/v1/":): {\textstyle c_f\geqslant \sqrt{2Ah/D}+(1-\gamma )w/D}

, then Failed to parse (MathML with SVG or PNG fallback (recommended for modern browsers and accessibility tools): Invalid response ("Math extension cannot connect to Restbase.") from server "https://mathoid.scipedia.com/localhost/v1/":): {\textstyle t_{2,n}=(m+n)Q^*/D} , otherwise,

Failed to parse (MathML with SVG or PNG fallback (recommended for modern browsers and accessibility tools): Invalid response ("Math extension cannot connect to Restbase.") from server "https://mathoid.scipedia.com/localhost/v1/":): {t_{2,n}}=\left\{ \begin{align}{t_s}, \quad & \hbox{ if} \quad {t_s>\bar{t}_{n}},\\ {\bar{t}_{n}}, \quad & \hbox{ if} \quad {t_s\leqslant \bar{t}_{n}< t_e},\\ {t_e}, \quad & \hbox{ if} \quad {t_e\leqslant \bar{t}_{n}}.\\ \end{align} \right.

Building upon the minimizers of the sub-functions Failed to parse (MathML with SVG or PNG fallback (recommended for modern browsers and accessibility tools): Invalid response ("Math extension cannot connect to Restbase.") from server "https://mathoid.scipedia.com/localhost/v1/":): {\textstyle f_1(q_r,t_r,n)}

and Failed to parse (MathML with SVG or PNG fallback (recommended for modern browsers and accessibility tools): Invalid response ("Math extension cannot connect to Restbase.") from server "https://mathoid.scipedia.com/localhost/v1/":): {\textstyle f_2(q_r,t_r,n)}
for a given Failed to parse (MathML with SVG or PNG fallback (recommended for modern browsers and accessibility tools): Invalid response ("Math extension cannot connect to Restbase.") from server "https://mathoid.scipedia.com/localhost/v1/":): {\textstyle n}

, we then examine the minimum of the piecewise function Failed to parse (MathML with SVG or PNG fallback (recommended for modern browsers and accessibility tools): Invalid response ("Math extension cannot connect to Restbase.") from server "https://mathoid.scipedia.com/localhost/v1/":): {\textstyle f(q_r,t_r,n)} .

Lemma 4: For a given Failed to parse (MathML with SVG or PNG fallback (recommended for modern browsers and accessibility tools): Invalid response ("Math extension cannot connect to Restbase.") from server "https://mathoid.scipedia.com/localhost/v1/":): {\textstyle n} , the minimum of Failed to parse (MathML with SVG or PNG fallback (recommended for modern browsers and accessibility tools): Invalid response ("Math extension cannot connect to Restbase.") from server "https://mathoid.scipedia.com/localhost/v1/":): {\textstyle f(q_r,t_r,n)}

occurs at Failed to parse (MathML with SVG or PNG fallback (recommended for modern browsers and accessibility tools): Invalid response ("Math extension cannot connect to Restbase.") from server "https://mathoid.scipedia.com/localhost/v1/":): {\textstyle (q_{n},t_{n})}

, where Failed to parse (MathML with SVG or PNG fallback (recommended for modern browsers and accessibility tools): Invalid response ("Math extension cannot connect to Restbase.") from server "https://mathoid.scipedia.com/localhost/v1/":): {\textstyle (q_{n},t_{n})=(q_{1,n},t_{1,n})}

if Failed to parse (MathML with SVG or PNG fallback (recommended for modern browsers and accessibility tools): Invalid response ("Math extension cannot connect to Restbase.") from server "https://mathoid.scipedia.com/localhost/v1/":): {\textstyle t_e<((m+n)Q^*-S^*)/D}
otherwise Failed to parse (MathML with SVG or PNG fallback (recommended for modern browsers and accessibility tools): Invalid response ("Math extension cannot connect to Restbase.") from server "https://mathoid.scipedia.com/localhost/v1/":): {\textstyle (q_{n},t_{n})=(q_{2,n},t_{2,n})}

.

Although the retailer can determine the optimal special order time Failed to parse (MathML with SVG or PNG fallback (recommended for modern browsers and accessibility tools): Invalid response ("Math extension cannot connect to Restbase.") from server "https://mathoid.scipedia.com/localhost/v1/":): {\textstyle t_n}

and the optimal special order quantity Failed to parse (MathML with SVG or PNG fallback (recommended for modern browsers and accessibility tools): Invalid response ("Math extension cannot connect to Restbase.") from server "https://mathoid.scipedia.com/localhost/v1/":): {\textstyle q_n}
given the number of regular orders Failed to parse (MathML with SVG or PNG fallback (recommended for modern browsers and accessibility tools): Invalid response ("Math extension cannot connect to Restbase.") from server "https://mathoid.scipedia.com/localhost/v1/":): {\textstyle n}

, it is not clear whether the retailer should place some regular orders in the promotion period to prepare for the special order. In the following, we derive the retailer's optimal order decision, Failed to parse (MathML with SVG or PNG fallback (recommended for modern browsers and accessibility tools): Invalid response ("Math extension cannot connect to Restbase.") from server "https://mathoid.scipedia.com/localhost/v1/":): {\textstyle (q_{n^*},t_{n^*},n^*)} , by substituting Failed to parse (MathML with SVG or PNG fallback (recommended for modern browsers and accessibility tools): Invalid response ("Math extension cannot connect to Restbase.") from server "https://mathoid.scipedia.com/localhost/v1/":): {\textstyle q_r=q_n}

and Failed to parse (MathML with SVG or PNG fallback (recommended for modern browsers and accessibility tools): Invalid response ("Math extension cannot connect to Restbase.") from server "https://mathoid.scipedia.com/localhost/v1/":): {\textstyle t_r=t_n}
into Failed to parse (MathML with SVG or PNG fallback (recommended for modern browsers and accessibility tools): Invalid response ("Math extension cannot connect to Restbase.") from server "https://mathoid.scipedia.com/localhost/v1/":): {\textstyle f(q_r,t_r,n)}
and solving the optimization problem Failed to parse (MathML with SVG or PNG fallback (recommended for modern browsers and accessibility tools): Invalid response ("Math extension cannot connect to Restbase.") from server "https://mathoid.scipedia.com/localhost/v1/":): {\textstyle \min _n\{ f(q_n,t_n,n)\} }
for Failed to parse (MathML with SVG or PNG fallback (recommended for modern browsers and accessibility tools): Invalid response ("Math extension cannot connect to Restbase.") from server "https://mathoid.scipedia.com/localhost/v1/":): {\textstyle n\geqslant 0}

.

Proposition 1: With a disposable coupon, the retailer's optimal order decision is Failed to parse (MathML with SVG or PNG fallback (recommended for modern browsers and accessibility tools): Invalid response ("Math extension cannot connect to Restbase.") from server "https://mathoid.scipedia.com/localhost/v1/":): {\textstyle (q_{0},t_{0},0)} .

Proposition 1 indicates that the coupon should be applied to the retailer's first order in the promotion period (i.e., Failed to parse (MathML with SVG or PNG fallback (recommended for modern browsers and accessibility tools): Invalid response ("Math extension cannot connect to Restbase.") from server "https://mathoid.scipedia.com/localhost/v1/":): {\textstyle n^*=0} ). Even if the promotion period lasts for a long time, the retailer will quickly place a special order after the coupon is available, which improves the supplier's cash flow and mitigates its overstock simultaneously. In particular, when Failed to parse (MathML with SVG or PNG fallback (recommended for modern browsers and accessibility tools): Invalid response ("Math extension cannot connect to Restbase.") from server "https://mathoid.scipedia.com/localhost/v1/":): {\textstyle t_e\leqslant (mQ^*-S^*)/D} , the retailer always places the special order at the end time of the promotion period (i.e., Failed to parse (MathML with SVG or PNG fallback (recommended for modern browsers and accessibility tools): Invalid response ("Math extension cannot connect to Restbase.") from server "https://mathoid.scipedia.com/localhost/v1/":): {\textstyle t_0=t_e} ). The following proposition demonstrates how the discount rate Failed to parse (MathML with SVG or PNG fallback (recommended for modern browsers and accessibility tools): Invalid response ("Math extension cannot connect to Restbase.") from server "https://mathoid.scipedia.com/localhost/v1/":): {\textstyle \gamma }

affects the maximum inventory level of the retailer.

Proposition 2: The maximum inventory level is always higher than that in the classical EOQ model and is strictly decreasing in the discount rate Failed to parse (MathML with SVG or PNG fallback (recommended for modern browsers and accessibility tools): Invalid response ("Math extension cannot connect to Restbase.") from server "https://mathoid.scipedia.com/localhost/v1/":): {\textstyle \gamma } .

From Proposition 2, it would be better for the retailer to check on the capacity of its own warehouse before placing a special order, especially when the forecasted discount rate is highly seductive.

Proposition 3: When Failed to parse (MathML with SVG or PNG fallback (recommended for modern browsers and accessibility tools): Invalid response ("Math extension cannot connect to Restbase.") from server "https://mathoid.scipedia.com/localhost/v1/":): {\textstyle \sqrt{2Ah/D}\leqslant c_f<\sqrt{2Ah/D}+(1-\gamma )w/D}

and Failed to parse (MathML with SVG or PNG fallback (recommended for modern browsers and accessibility tools): Invalid response ("Math extension cannot connect to Restbase.") from server "https://mathoid.scipedia.com/localhost/v1/":): {\textstyle t_e>m\sqrt{2A/hD}}

, shortages cannot benefit the retailer unless the promotion period sets in.

Proposition 3 shows that if the fixed backorder cost is in an intermediate range and the promotion period ends late, the retailer should take shortages into account in the promotion period, even if shortages are futile in the previous regular orders (see Figure 4 for a visual illustration). This result emphasizes the importance of flexibly utilizing shortages.

Proposition 4: When the supplier raises (reduces) the discount rate, (i) the retailer will bring forward (postpone) its special order if the inventory level is negative at the original special order time; otherwise, the retailer will keep the special order time unchanged; (ii) the retailer will reduce (increase) its special order quantity regardless of the current inventory level.

Proposition 4 demonstrates how the retailer adjusts its order decision with respect to the discount rare. In particular, when the inventory level is non-negative throughout the promotion period (i.e., Failed to parse (MathML with SVG or PNG fallback (recommended for modern browsers and accessibility tools): Invalid response ("Math extension cannot connect to Restbase.") from server "https://mathoid.scipedia.com/localhost/v1/":): {\textstyle t_e\leqslant (mQ^*-S^*)D} ), the retailer always places the special order at a time when the inventory level reaches the minimum (i.e., Failed to parse (MathML with SVG or PNG fallback (recommended for modern browsers and accessibility tools): Invalid response ("Math extension cannot connect to Restbase.") from server "https://mathoid.scipedia.com/localhost/v1/":): {\textstyle t_0=t_e} ), regardless of the discount rate; see Proposition 1. This result coincides with the minimum inventory principle in [20]. Differently, our result complements the minimum inventory principle by allowing for shortages and extending the duration of the promotion period.

Proposition 5: The longer the promotion period is, the more attractive the coupon will be to the retailer.

While a lower discount rate can help the supplier sell its products to more retailers, it may hurt the supplier by cutting its sales revenue. Proposition 5 indicates that the supplier can attract more retailers by properly extending the promotion period in addition to reducing the wholesale price. The intuition is that a longer promotion period endows the retailer more flexibility in ordering decision-making, which benefits the retailer and, thus, renders the supplier better off. This result enlightens the supplier on the promotion strategy.

5. Numerical experiments

In this section, some numerical experiments are performed to illustrate the validity of the model.

When the promotion period contains a regular replenishment point, the retailer needs to decide whether to place a regular order at this point. If the retailer does so (i.e., Failed to parse (MathML with SVG or PNG fallback (recommended for modern browsers and accessibility tools): Invalid response ("Math extension cannot connect to Restbase.") from server "https://mathoid.scipedia.com/localhost/v1/":): {\textstyle n=1} ), it incurs a total cost Failed to parse (MathML with SVG or PNG fallback (recommended for modern browsers and accessibility tools): Invalid response ("Math extension cannot connect to Restbase.") from server "https://mathoid.scipedia.com/localhost/v1/":): {\textstyle f(q_1,t_1,1)}

otherwise (i.e., Failed to parse (MathML with SVG or PNG fallback (recommended for modern browsers and accessibility tools): Invalid response ("Math extension cannot connect to Restbase.") from server "https://mathoid.scipedia.com/localhost/v1/":): {\textstyle n=0}

), the corresponding total cost is Failed to parse (MathML with SVG or PNG fallback (recommended for modern browsers and accessibility tools): Invalid response ("Math extension cannot connect to Restbase.") from server "https://mathoid.scipedia.com/localhost/v1/":): {\textstyle f(q_0,t_0,0)} . Given that the retailer must make a trade-off between ``Failed to parse (MathML with SVG or PNG fallback (recommended for modern browsers and accessibility tools): Invalid response ("Math extension cannot connect to Restbase.") from server "https://mathoid.scipedia.com/localhost/v1/":): {\textstyle n=0} and ``Failed to parse (MathML with SVG or PNG fallback (recommended for modern browsers and accessibility tools): Invalid response ("Math extension cannot connect to Restbase.") from server "https://mathoid.scipedia.com/localhost/v1/":): {\textstyle n=1} , the loss caused by the retailer adopting the ordering strategy with Failed to parse (MathML with SVG or PNG fallback (recommended for modern browsers and accessibility tools): Invalid response ("Math extension cannot connect to Restbase.") from server "https://mathoid.scipedia.com/localhost/v1/":): {\textstyle n=1}

can be measured by Failed to parse (MathML with SVG or PNG fallback (recommended for modern browsers and accessibility tools): Invalid response ("Math extension cannot connect to Restbase.") from server "https://mathoid.scipedia.com/localhost/v1/":): {\textstyle f(q_1,t_1,1)-f(q_0,t_0,0)}

, whose graphical illustration is shown in Figure 2. We observe that the ordering strategy with Failed to parse (MathML with SVG or PNG fallback (recommended for modern browsers and accessibility tools): Invalid response ("Math extension cannot connect to Restbase.") from server "https://mathoid.scipedia.com/localhost/v1/":): {\textstyle n=1}

always incurs a higher total cost than that with Failed to parse (MathML with SVG or PNG fallback (recommended for modern browsers and accessibility tools): Invalid response ("Math extension cannot connect to Restbase.") from server "https://mathoid.scipedia.com/localhost/v1/":): {\textstyle n=0}

. Therefore, the retailer should promptly place the special order after the coupon is available, which is consistent with Proposition 1.

As depicted in Figure 2(a), the higher the discount rate is (or the later the promotion period ends), the lower the retailer's loss will be. In particular, when the discount rate is relatively high (e.g., Failed to parse (MathML with SVG or PNG fallback (recommended for modern browsers and accessibility tools): Invalid response ("Math extension cannot connect to Restbase.") from server "https://mathoid.scipedia.com/localhost/v1/":): {\textstyle \gamma=0.9} ), the retailer may postpone placing its special order because there is no difference between the ordering strategies with Failed to parse (MathML with SVG or PNG fallback (recommended for modern browsers and accessibility tools): Invalid response ("Math extension cannot connect to Restbase.") from server "https://mathoid.scipedia.com/localhost/v1/":): {\textstyle n=0}

and Failed to parse (MathML with SVG or PNG fallback (recommended for modern browsers and accessibility tools): Invalid response ("Math extension cannot connect to Restbase.") from server "https://mathoid.scipedia.com/localhost/v1/":): {\textstyle n=1}

. As such, it would be better for the supplier to reduce the wholesale price and shorten the promotion period simultaneously to facilitate the retailer to place the special order earlier. Figure 2(b) shows that the loss of the retailer increases as the fixed backorder cost Failed to parse (MathML with SVG or PNG fallback (recommended for modern browsers and accessibility tools): Invalid response ("Math extension cannot connect to Restbase.") from server "https://mathoid.scipedia.com/localhost/v1/":): {\textstyle c_f}

decreases. In particular, when Failed to parse (MathML with SVG or PNG fallback (recommended for modern browsers and accessibility tools): Invalid response ("Math extension cannot connect to Restbase.") from server "https://mathoid.scipedia.com/localhost/v1/":): {\textstyle c_f}
is reduced to below a certain threshold (i.e., Failed to parse (MathML with SVG or PNG fallback (recommended for modern browsers and accessibility tools): Invalid response ("Math extension cannot connect to Restbase.") from server "https://mathoid.scipedia.com/localhost/v1/":): {\textstyle c_f<0.00374}

), there is a rapid jump in the loss of retailer due to the change of the regular order quantity Failed to parse (MathML with SVG or PNG fallback (recommended for modern browsers and accessibility tools): Invalid response ("Math extension cannot connect to Restbase.") from server "https://mathoid.scipedia.com/localhost/v1/":): {\textstyle Q^*}

and backorder level Failed to parse (MathML with SVG or PNG fallback (recommended for modern browsers and accessibility tools): Invalid response ("Math extension cannot connect to Restbase.") from server "https://mathoid.scipedia.com/localhost/v1/":): {\textstyle S^*}

. This emphasizes the importance of utilizing the coupon in time for a retailer who confronts a low fixed backorder cost.

Comparison of Retailer's Ordering Strategies with n=0 and n=1 (D=1000, A=0.1, h=0.07, cₗ=0.1, w=5, tₛ=0.25, k=7).
Figure 2. Comparison of retailer's ordering strategies with Failed to parse (MathML with SVG or PNG fallback (recommended for modern browsers and accessibility tools): Invalid response ("Math extension cannot connect to Restbase.") from server "https://mathoid.scipedia.com/localhost/v1/":): n=0
and Failed to parse (MathML with SVG or PNG fallback (recommended for modern browsers and accessibility tools): Invalid response ("Math extension cannot connect to Restbase.") from server "https://mathoid.scipedia.com/localhost/v1/":): n=1
(Failed to parse (MathML with SVG or PNG fallback (recommended for modern browsers and accessibility tools): Invalid response ("Math extension cannot connect to Restbase.") from server "https://mathoid.scipedia.com/localhost/v1/":): D=1000

, Failed to parse (MathML with SVG or PNG fallback (recommended for modern browsers and accessibility tools): Invalid response ("Math extension cannot connect to Restbase.") from server "https://mathoid.scipedia.com/localhost/v1/":): A=0.1 , Failed to parse (MathML with SVG or PNG fallback (recommended for modern browsers and accessibility tools): Invalid response ("Math extension cannot connect to Restbase.") from server "https://mathoid.scipedia.com/localhost/v1/":): h=0.07 , Failed to parse (MathML with SVG or PNG fallback (recommended for modern browsers and accessibility tools): Invalid response ("Math extension cannot connect to Restbase.") from server "https://mathoid.scipedia.com/localhost/v1/":): c_l=0.1 , Failed to parse (MathML with SVG or PNG fallback (recommended for modern browsers and accessibility tools): Invalid response ("Math extension cannot connect to Restbase.") from server "https://mathoid.scipedia.com/localhost/v1/":): w=5 , Failed to parse (MathML with SVG or PNG fallback (recommended for modern browsers and accessibility tools): Invalid response ("Math extension cannot connect to Restbase.") from server "https://mathoid.scipedia.com/localhost/v1/":): t_s=0.25 , Failed to parse (MathML with SVG or PNG fallback (recommended for modern browsers and accessibility tools): Invalid response ("Math extension cannot connect to Restbase.") from server "https://mathoid.scipedia.com/localhost/v1/":): k=7 )


The graphical illustration of Proposition 2 is depicted in Figure 3. It implies that the maximum inventory level caused by the special order is always higher than that caused by the regular order. Moreover, the curves gradually decrease and ultimately intersect at Failed to parse (MathML with SVG or PNG fallback (recommended for modern browsers and accessibility tools): Invalid response ("Math extension cannot connect to Restbase.") from server "https://mathoid.scipedia.com/localhost/v1/":): {\textstyle \gamma=1} . This displays how the maximum inventory level varies with the discount rate Failed to parse (MathML with SVG or PNG fallback (recommended for modern browsers and accessibility tools): Invalid response ("Math extension cannot connect to Restbase.") from server "https://mathoid.scipedia.com/localhost/v1/":): {\textstyle \gamma } . In particular, when Failed to parse (MathML with SVG or PNG fallback (recommended for modern browsers and accessibility tools): Invalid response ("Math extension cannot connect to Restbase.") from server "https://mathoid.scipedia.com/localhost/v1/":): {\textstyle \gamma=1} , the maximum inventory level is an invariant constant regardless of the wholesale price and whether the retailer makes use of the coupon, because the benefit of the coupon vanishes. Another feature of Figure 3 is that the curve corresponding to a higher wholesale price (e.g., Failed to parse (MathML with SVG or PNG fallback (recommended for modern browsers and accessibility tools): Invalid response ("Math extension cannot connect to Restbase.") from server "https://mathoid.scipedia.com/localhost/v1/":): {\textstyle w=1.4} ) is higher than that corresponding to a lower wholesale price (e.g., Failed to parse (MathML with SVG or PNG fallback (recommended for modern browsers and accessibility tools): Invalid response ("Math extension cannot connect to Restbase.") from server "https://mathoid.scipedia.com/localhost/v1/":): {\textstyle w=1} ), indicating that a retailer who is charged a higher wholesale price should, if necessary, prepare a larger warehouse for the forthcoming promotion season.

Maximum Inventory Level for γ and w (D=1000, A=1, h=0.1, cf=0.2, cₗ=0.1, tₛ=0.25, tₑ=1, k=7).
Figure 3. Maximum inventory level for Failed to parse (MathML with SVG or PNG fallback (recommended for modern browsers and accessibility tools): Invalid response ("Math extension cannot connect to Restbase.") from server "https://mathoid.scipedia.com/localhost/v1/":): \gamma
and Failed to parse (MathML with SVG or PNG fallback (recommended for modern browsers and accessibility tools): Invalid response ("Math extension cannot connect to Restbase.") from server "https://mathoid.scipedia.com/localhost/v1/":): w
(Failed to parse (MathML with SVG or PNG fallback (recommended for modern browsers and accessibility tools): Invalid response ("Math extension cannot connect to Restbase.") from server "https://mathoid.scipedia.com/localhost/v1/":): D=1000

, Failed to parse (MathML with SVG or PNG fallback (recommended for modern browsers and accessibility tools): Invalid response ("Math extension cannot connect to Restbase.") from server "https://mathoid.scipedia.com/localhost/v1/":): A=1 , Failed to parse (MathML with SVG or PNG fallback (recommended for modern browsers and accessibility tools): Invalid response ("Math extension cannot connect to Restbase.") from server "https://mathoid.scipedia.com/localhost/v1/":): h=0.1 , Failed to parse (MathML with SVG or PNG fallback (recommended for modern browsers and accessibility tools): Invalid response ("Math extension cannot connect to Restbase.") from server "https://mathoid.scipedia.com/localhost/v1/":): c_f=0.2 , Failed to parse (MathML with SVG or PNG fallback (recommended for modern browsers and accessibility tools): Invalid response ("Math extension cannot connect to Restbase.") from server "https://mathoid.scipedia.com/localhost/v1/":): c_l=0.1 , Failed to parse (MathML with SVG or PNG fallback (recommended for modern browsers and accessibility tools): Invalid response ("Math extension cannot connect to Restbase.") from server "https://mathoid.scipedia.com/localhost/v1/":): t_s=0.25 , Failed to parse (MathML with SVG or PNG fallback (recommended for modern browsers and accessibility tools): Invalid response ("Math extension cannot connect to Restbase.") from server "https://mathoid.scipedia.com/localhost/v1/":): t_e=1 , Failed to parse (MathML with SVG or PNG fallback (recommended for modern browsers and accessibility tools): Invalid response ("Math extension cannot connect to Restbase.") from server "https://mathoid.scipedia.com/localhost/v1/":): k=7 )


A graphical illustration of Proposition 3 can be seen in Figure 4. Note that shortages are currently not attractive to the retailer in the regular EOQ ordering strategy [37]. There are two noteworthy observations. First, the curve corresponding to “Shortages” is lower than that corresponding to “No shortages”, indicating that although shortages cannot render the retailer better off in its regular orders, they benefits the retailer in the promotion season. Second, the gap between the two curves becomes wider as the discount rate decreases. This implies that making use of shortages in due time can help the retailer cut back on more spending from a lower discount rate.

Comparison of Retailer's Total Costs under Allowable and Prohibitive Shortages (D=1000, A=0.1, h=0.2, cf=0.1, cₗ=0.06, w=3, tₛ=0.25, tₑ=0.7, k=7).
Figure 4. Comparison of retailer's total costs under allowable and prohibitive shortages (Failed to parse (MathML with SVG or PNG fallback (recommended for modern browsers and accessibility tools): Invalid response ("Math extension cannot connect to Restbase.") from server "https://mathoid.scipedia.com/localhost/v1/":): D=1000

, Failed to parse (MathML with SVG or PNG fallback (recommended for modern browsers and accessibility tools): Invalid response ("Math extension cannot connect to Restbase.") from server "https://mathoid.scipedia.com/localhost/v1/":): A=0.1 , Failed to parse (MathML with SVG or PNG fallback (recommended for modern browsers and accessibility tools): Invalid response ("Math extension cannot connect to Restbase.") from server "https://mathoid.scipedia.com/localhost/v1/":): h=0.2 , Failed to parse (MathML with SVG or PNG fallback (recommended for modern browsers and accessibility tools): Invalid response ("Math extension cannot connect to Restbase.") from server "https://mathoid.scipedia.com/localhost/v1/":): c_f=0.1 , Failed to parse (MathML with SVG or PNG fallback (recommended for modern browsers and accessibility tools): Invalid response ("Math extension cannot connect to Restbase.") from server "https://mathoid.scipedia.com/localhost/v1/":): c_l=0.06 , Failed to parse (MathML with SVG or PNG fallback (recommended for modern browsers and accessibility tools): Invalid response ("Math extension cannot connect to Restbase.") from server "https://mathoid.scipedia.com/localhost/v1/":): w=3 , Failed to parse (MathML with SVG or PNG fallback (recommended for modern browsers and accessibility tools): Invalid response ("Math extension cannot connect to Restbase.") from server "https://mathoid.scipedia.com/localhost/v1/":): t_s=0.25 , Failed to parse (MathML with SVG or PNG fallback (recommended for modern browsers and accessibility tools): Invalid response ("Math extension cannot connect to Restbase.") from server "https://mathoid.scipedia.com/localhost/v1/":): t_e=0.7 , Failed to parse (MathML with SVG or PNG fallback (recommended for modern browsers and accessibility tools): Invalid response ("Math extension cannot connect to Restbase.") from server "https://mathoid.scipedia.com/localhost/v1/":): k=7 )


Figure 5 illustrates the effect of the discount rate elaborated in Proposition 4. As shown in plot (a), the lower the discount rate is, the later the retailer will be to place a special order. Namely, a lower discount rate postpones the retailer's special order. From plot (b), a lower discount rate always facilitates the retailer to place a larger special order. An interesting observation is that the curves are smoother with a lower wholesale price (e.g., Failed to parse (MathML with SVG or PNG fallback (recommended for modern browsers and accessibility tools): Invalid response ("Math extension cannot connect to Restbase.") from server "https://mathoid.scipedia.com/localhost/v1/":): {\textstyle w=2} ), but steeper as Failed to parse (MathML with SVG or PNG fallback (recommended for modern browsers and accessibility tools): Invalid response ("Math extension cannot connect to Restbase.") from server "https://mathoid.scipedia.com/localhost/v1/":): {\textstyle w}

increases. This implies that a retailer who suffers from a higher wholesale price is more sensitive to the discount rate.
Retailer's Order Decision for γ and w (D=1000, A=0.1, h=0.07, cf=0.2, cₗ=1, tₛ=0.25, tₑ=1, k=7).
Figure 5. Retailer's order decision for Failed to parse (MathML with SVG or PNG fallback (recommended for modern browsers and accessibility tools): Invalid response ("Math extension cannot connect to Restbase.") from server "https://mathoid.scipedia.com/localhost/v1/":): \gamma
and Failed to parse (MathML with SVG or PNG fallback (recommended for modern browsers and accessibility tools): Invalid response ("Math extension cannot connect to Restbase.") from server "https://mathoid.scipedia.com/localhost/v1/":): w
(Failed to parse (MathML with SVG or PNG fallback (recommended for modern browsers and accessibility tools): Invalid response ("Math extension cannot connect to Restbase.") from server "https://mathoid.scipedia.com/localhost/v1/":): D=1000

, Failed to parse (MathML with SVG or PNG fallback (recommended for modern browsers and accessibility tools): Invalid response ("Math extension cannot connect to Restbase.") from server "https://mathoid.scipedia.com/localhost/v1/":): A=0.1 , Failed to parse (MathML with SVG or PNG fallback (recommended for modern browsers and accessibility tools): Invalid response ("Math extension cannot connect to Restbase.") from server "https://mathoid.scipedia.com/localhost/v1/":): h=0.07 , Failed to parse (MathML with SVG or PNG fallback (recommended for modern browsers and accessibility tools): Invalid response ("Math extension cannot connect to Restbase.") from server "https://mathoid.scipedia.com/localhost/v1/":): c_f=0.2 , Failed to parse (MathML with SVG or PNG fallback (recommended for modern browsers and accessibility tools): Invalid response ("Math extension cannot connect to Restbase.") from server "https://mathoid.scipedia.com/localhost/v1/":): c_l=1 , Failed to parse (MathML with SVG or PNG fallback (recommended for modern browsers and accessibility tools): Invalid response ("Math extension cannot connect to Restbase.") from server "https://mathoid.scipedia.com/localhost/v1/":): t_s=0.25 , Failed to parse (MathML with SVG or PNG fallback (recommended for modern browsers and accessibility tools): Invalid response ("Math extension cannot connect to Restbase.") from server "https://mathoid.scipedia.com/localhost/v1/":): t_e=1 , Failed to parse (MathML with SVG or PNG fallback (recommended for modern browsers and accessibility tools): Invalid response ("Math extension cannot connect to Restbase.") from server "https://mathoid.scipedia.com/localhost/v1/":): k=7 )


We illustrate Proposition 5 in Figure 6. It is evident that for any fixed end time Failed to parse (MathML with SVG or PNG fallback (recommended for modern browsers and accessibility tools): Invalid response ("Math extension cannot connect to Restbase.") from server "https://mathoid.scipedia.com/localhost/v1/":): {\textstyle t_e}

(e.g., Failed to parse (MathML with SVG or PNG fallback (recommended for modern browsers and accessibility tools): Invalid response ("Math extension cannot connect to Restbase.") from server "https://mathoid.scipedia.com/localhost/v1/":): {\textstyle t_e=0.4}

), the retailer's total cost strictly increases with the discount rate Failed to parse (MathML with SVG or PNG fallback (recommended for modern browsers and accessibility tools): Invalid response ("Math extension cannot connect to Restbase.") from server "https://mathoid.scipedia.com/localhost/v1/":): {\textstyle \gamma }

(see plot (a)). This result is intuitive because a higher discount rate increases the retailer's purchasing cost. In contrast, given the discount rate Failed to parse (MathML with SVG or PNG fallback (recommended for modern browsers and accessibility tools): Invalid response ("Math extension cannot connect to Restbase.") from server "https://mathoid.scipedia.com/localhost/v1/":): {\textstyle \gamma }
 (e.g., Failed to parse (MathML with SVG or PNG fallback (recommended for modern browsers and accessibility tools): Invalid response ("Math extension cannot connect to Restbase.") from server "https://mathoid.scipedia.com/localhost/v1/":): {\textstyle \gamma=0.7}

), the retailer's total cost slightly decreases with the end time Failed to parse (MathML with SVG or PNG fallback (recommended for modern browsers and accessibility tools): Invalid response ("Math extension cannot connect to Restbase.") from server "https://mathoid.scipedia.com/localhost/v1/":): {\textstyle t_e}

(see plot (b)). This indicates that the later the coupon expires, the better off the retailer will be. Thus, the supplier can promote sales by extending the promotion period in addition to setting a lower wholesale price.
Retailer's Total Cost for γ and tₑ (D=1000, A=0.1, h=0.07, cf=0.2, cₗ=0.1, w=3, tₛ=0.25, k=7).
Figure 6. Retailer's total cost for Failed to parse (MathML with SVG or PNG fallback (recommended for modern browsers and accessibility tools): Invalid response ("Math extension cannot connect to Restbase.") from server "https://mathoid.scipedia.com/localhost/v1/":): \gamma
and Failed to parse (MathML with SVG or PNG fallback (recommended for modern browsers and accessibility tools): Invalid response ("Math extension cannot connect to Restbase.") from server "https://mathoid.scipedia.com/localhost/v1/":): t_e
(Failed to parse (MathML with SVG or PNG fallback (recommended for modern browsers and accessibility tools): Invalid response ("Math extension cannot connect to Restbase.") from server "https://mathoid.scipedia.com/localhost/v1/":): D=1000

, Failed to parse (MathML with SVG or PNG fallback (recommended for modern browsers and accessibility tools): Invalid response ("Math extension cannot connect to Restbase.") from server "https://mathoid.scipedia.com/localhost/v1/":): A=0.1 , Failed to parse (MathML with SVG or PNG fallback (recommended for modern browsers and accessibility tools): Invalid response ("Math extension cannot connect to Restbase.") from server "https://mathoid.scipedia.com/localhost/v1/":): h=0.07 , Failed to parse (MathML with SVG or PNG fallback (recommended for modern browsers and accessibility tools): Invalid response ("Math extension cannot connect to Restbase.") from server "https://mathoid.scipedia.com/localhost/v1/":): c_f=0.2 , Failed to parse (MathML with SVG or PNG fallback (recommended for modern browsers and accessibility tools): Invalid response ("Math extension cannot connect to Restbase.") from server "https://mathoid.scipedia.com/localhost/v1/":): c_l=0.1 , Failed to parse (MathML with SVG or PNG fallback (recommended for modern browsers and accessibility tools): Invalid response ("Math extension cannot connect to Restbase.") from server "https://mathoid.scipedia.com/localhost/v1/":): w=3 , Failed to parse (MathML with SVG or PNG fallback (recommended for modern browsers and accessibility tools): Invalid response ("Math extension cannot connect to Restbase.") from server "https://mathoid.scipedia.com/localhost/v1/":): t_s=0.25 , Failed to parse (MathML with SVG or PNG fallback (recommended for modern browsers and accessibility tools): Invalid response ("Math extension cannot connect to Restbase.") from server "https://mathoid.scipedia.com/localhost/v1/":): k=7 )

6. Conclusions

Many suppliers charge lower wholesale prices at times with an intent to attract more retailers and, thus, promote sales. To accelerate cash flow, the suppliers usually encourage their retailers to place one large order in the promotion period instead of many small orders. This paper focuses on an inventory system with allowable shortages under the framework of the EOQ model. The supplier offers the retailer a coupon, which can be utilized only once in the promotion season. The distinguishing feature of the model is that the duration of the promotion period is not necessary temporary, which makes the model more practical. In this sense, the retailer needs to decide the number of regular orders placed in the promotion period before making use of the coupon, in addition to the special order time and the special order quantity.

We derive the retailer's optimal order decision on the disposable coupon. With it, numerous managerial insights are obtained. First, the coupon should be applied to the first order in the promotion period regardless of the length of the promotion period. Second, we show that the maximum inventory level in our model is always higher than that in the classic EOQ model, which highlights the importance of the retailer checking its storage capacity before placing a special order. Third, we find that if the fixed backorder cost is in an intermediate range and the promotion period ends later, shortages can make the retailer better off even if they are not attractive to the retailer before the promotion period. Fourth, when the discount rate becomes lower, the retailer should place a larger special order while postponing the special order to a certain extent. Finally, in addition to reducing the discount rate, the supplier can promote sales by extending the promotion period, which benefits the retailer by endowing it with more flexibility in decision-making.

This paper has some limitations. First, the analysis in our model is constructed on the assumption that the market demand is common knowledge between the retailer and the supplier. The model could be generalized by considering a robust model with uncertain parameters (e.g., unpredictable demands and changeable lead times) [38,39]. Second, for analytical tractability, we assume that the demand rate is constant while normalize the leading time to zero. It could be interesting to consider Failed to parse (MathML with SVG or PNG fallback (recommended for modern browsers and accessibility tools): Invalid response ("Math extension cannot connect to Restbase.") from server "https://mathoid.scipedia.com/localhost/v1/":): {\textstyle (s,S)}

inventory systems with random leading times and multi-period resupply [40,41]. Third, in this paper, the supplier sells the product only through the retailer. In addition to the resell channel, the supplier can directly sell to end consumers by establishing a direct selling channel. Future research would be conducted to incorporate supplier encroachment [42,43].

References

[1] Andriolo A., Battini D., Grubbstrüm R.W., Persona A., Sgarbossa P. A century of evolution from Harris's basic lot size model: Survey and research agenda. International Journal of Production Economics, 155:16-38, 2014.

[2] Ben-Zion U., Hibshoosh A., Spiegel U. The optimal face value of a discount coupon. Journal of Economics & Business, 51(2):159-174, 1999.

[3] Lev B., Weiss H.J. Inventory models with cost changes. Operations Research, 38(1):53-63, 1990.

[4] Tersine R.J., Barman S. Economic purchasing strategies for temporary price discounts. European Journal of Operational Research, 80(2):328-343, 1995.

[5] Wee H., Yu J. A deteriorating inventory model with a temporary price discount. International Journal of Production Economics, 53(1):81-90, 1997.

[6] Cárdenas-Barrón L.E., Smith N.R., Goyal S.K. Optimal order size to take advantage of a one-time discount offer with allowed backorders. Applied Mathematical Modelling, 34(6):1642-1652, 2010.

[7] Yang C., Ouyang L.Y., Wu K.S., Yen H. An inventory model with temporary price discount when lead time links to order quantity. Journal of Scientific & Industrial Research, 69(3):180-187, 2010.

[8] Chang H.J., Lin W.F. A simple solution method for the finite horizon EOQ model for deteriorating items with cost changes. Asia-Pacific Journal of Operational Research, 28(6):689-704, 2011.

[9] Yang C.T., Ouyang L.Y., Wu K.S., Yen H.F. Optimal ordering policy in response to a temporary sale price when retailer's warehouse capacity is limited. European Journal of Industrial Engineering, 6(1):26-49, 2012.

[10] Taleizadeh A.A., Pentico D.W., Aryanezhad M., Ghoreyshi S.M. An economic order quantity model with partial backordering and a special sale price. European Journal of Operational Research, 221(3):571-583, 2012.

[11] Shaposhnik Y., Herer Y.T., Naseraldin H. Optimal ordering for a probabilistic one-time discount. European Journal of Operational Research, 244(3):803-814, 2015.

[12] Arcelus F.J., Shah N.H., Srinivasan G. Retailer's response to special sales: price discount vs. trade credit. Omega, 29(5):417-428, 2001.

[13] Gaither N., Park M.S. Analysis of constrained, one-time, multi-item discount offers. AIIE Transactions, 23(3):228-235, 1991.

[14] Goyal S.K., Srinivasan G., Arcelus F.J. One time only incentives and inventory policies. European Journal of Operational Research, 54(1):1-6, 1991.

[15] Chang H.J., Lin W.F., Ho J.F. Closed-form solutions for Wee's and Martin's EOQ models with a temporary price discount. International Journal of Production Economics, 131(2):528-534, 2011.

[16] Arcelus F.J., Shah N.H., Srinivasan G. Retailer's pricing, credit and inventory policies for deteriorating items in response to temporary price/credit incentives. International Journal of Production Economics, 81-82:153-162, 2003.

[17] Abad P.L. Buyer's response to a temporary price reduction incorporating freight costs. European Journal of Operational Research, 182(3):1073-1083, 2007.

[18] Hsu W.K.K., Yu H.F. EOQ model for imperfective items under a one-time-only discount. Omega, 37(5):1018-1026, 2009.

[19] Chakraborty T., Chauhan S.S., Awasthi A., Bouzdine-Chameeva T. Two-period pricing and ordering policy with price-sensitive uncertain demand. Journal of the Operational Research Society, 70(3):377-394, 2019.

[20] Ardalan A. Optimal ordering policies in response to a sale. IIE Transactions 20(3):292-294, 1988.

[21] Aull-Hyde R.L. Evaluation of supplier-restricted purchasing options under temporary price discounts. AIIE Transactions, 24(2):184-186, 1992.

[22] Ardalan A. Optimal prices and order quantities when temporary price discounts result in increase in demand. European Journal of Operational Research, 72(1):52-61, 1994.

[23] Aull-Hyde R.L. A backlog inventory model during restricted sale periods. Journal of the Operational Research Society, 479:1192-1200, 1996.

[24] Chu P., Chen P.S., Niu T. Note on supplier-restricted order quantity under temporary price discounts. Mathematical Methods of Operations Research, 58(1):141-147, 2003.

[25] Abad P.L. Optimal price and lot size when the supplier offers a temporary price reduction over an interval. Computers and Operations Research, 30(1):63-74, 2003.

[26] Sarker B.R., Kindi M.A. Optimal ordering policies in response to a discount offer. International Journal of Production Economics, 100(2):195-211, 2006.

[27] Cárdenas-Barrón L.E. Optimal ordering policies in response to a discount offer: Corrections. International Journal of Production Economics, 122(2):783-789, 2009.

[28] Cárdenas-Barrón L. E. Optimal ordering policies in response to a discount offer: Extensions. International Journal of Production Economics, 122(2):774-782, 2009.

[29] Kindi M.A., Sarker B.R. Optimal inventory system with two backlog costs in response to a discount offer. Production Planning and Control, 22(3):325-333,2011.

[30] Sari D.P., Rusdiansyah A., Huang L. Models of joint economic lot-sizing problem with time-based temporary price discounts. International Journal of Production Economics, 139(1):145-154, 2012.

[31] Karimi-Nasab M., Konstantaras I. An inventory control model with stochastic review interval and special sale offer. European Journal of Operational Research, 227(1):81-87, 2013.

[32] Cárdenas-Barrón L.E., Chung, K.J., Kazemi N., Shekarian E. Optimal inventory system with two backlog costs in response to a discount offer: corrections and complements. Operational Research, 18:97-104, 2018.

[33] Wang Y., Gao H., Wei X. Optimal replenishment and stocking strategies for inventory mechanism with a dynamically stochastic short-term price discount. Journal of Global Optimization, 70(1):27-53, 2018.

[34] Gao H., Wang D., Santibanez Gonzalez E.D.R., Ju Y. Optimal stocking strategies for inventory mechanism with a stochastic short-term price discount and partial backordering. International Journal of Production Research, 57(2):1-30, 2019.

[35] Arcelus F.J., Pakkala T.P.M., Srinivasan G. A retailer's decision process when anticipating a vendor's temporary discount offer. Computers & Industrial Engineering 57(1):253-260, 2009.

[36] Zhang Z., Zhang S.T., Yue M.S. Joint ordering policy for a conditional trade credit model with two retailers. European Journal of Industrial Engineering, 16(4):398-417, 2022.

[37] Sphicas G.P. EOQ and EPQ with linear and fixed backorder costs: Two cases identified and models analyzed without calculus. International Journal of Production Economics, 98(1):59-64, 2006.

[38] Shang C., You F.Q. Distributionally robust optimization for planning and scheduling under uncertainty. Computers & Chemical Engineering, 110:53-68, 2018.

[39] Wang Y.D., Shi Q., Li L., Li F., Xia W. Spare parts supply network optimization with uncertain distributed lead times and demands. Revista Internacional de Métodos Numéricos para Cálculo y Diseño en Ingeniería, 37(1), 1, 2021.

[40] Bashyam S., Fu M.C. Optimization of Failed to parse (MathML with SVG or PNG fallback (recommended for modern browsers and accessibility tools): Invalid response ("Math extension cannot connect to Restbase.") from server "https://mathoid.scipedia.com/localhost/v1/":): {\textstyle (s,S)}

Inventory systems with random lead times and a service level constraint. Management Science, 44:S243-S256, 1998.

[41] Deng H.Y., Shi Q., Wang Y.D. Joint optimization of condition-based maintenance and inventory ordering based on status monitoring for multi-unit system. Revista Internacional de Métodos Numéricos para Cálculo y Diseño en Ingeniería, 37(4), 45, 2021.

[42] Huang S., Guan X., Chen Y.J. Retailer information sharing with supplier encroachment. Production & Operations Management, 27(6):1133-1147, 2018.

[43] Yue M.S., Zhang S.T., Zhang Z. Deterrence effect of risk aversion information sharing on supplier encroachment. Computers & Industrial Engineering, 169, 108246, 2022.

Appendix

Proof of Lemma 1: We denote by Failed to parse (MathML with SVG or PNG fallback (recommended for modern browsers and accessibility tools): Invalid response ("Math extension cannot connect to Restbase.") from server "https://mathoid.scipedia.com/localhost/v1/":): {\textstyle \pi }

the retailer's ordering strategy Failed to parse (MathML with SVG or PNG fallback (recommended for modern browsers and accessibility tools): Invalid response ("Math extension cannot connect to Restbase.") from server "https://mathoid.scipedia.com/localhost/v1/":): {\textstyle (q_r,t_r,n)}
satisfying Failed to parse (MathML with SVG or PNG fallback (recommended for modern browsers and accessibility tools): Invalid response ("Math extension cannot connect to Restbase.") from server "https://mathoid.scipedia.com/localhost/v1/":): {\textstyle q_r+f_n(t_r)<0}
and define Failed to parse (MathML with SVG or PNG fallback (recommended for modern browsers and accessibility tools): Invalid response ("Math extension cannot connect to Restbase.") from server "https://mathoid.scipedia.com/localhost/v1/":): {\textstyle \pi' {=(q_r,t'}_r,n)}

, where Failed to parse (MathML with SVG or PNG fallback (recommended for modern browsers and accessibility tools): Invalid response ("Math extension cannot connect to Restbase.") from server "https://mathoid.scipedia.com/localhost/v1/":): {\textstyle {t'}_r=t_r+_r+f_n(n(t_r))/D} . Note that although Failed to parse (MathML with SVG or PNG fallback (recommended for modern browsers and accessibility tools): Invalid response ("Math extension cannot connect to Restbase.") from server "https://mathoid.scipedia.com/localhost/v1/":): {\textstyle \pi }

and Failed to parse (MathML with SVG or PNG fallback (recommended for modern browsers and accessibility tools): Invalid response ("Math extension cannot connect to Restbase.") from server "https://mathoid.scipedia.com/localhost/v1/":): {\textstyle \pi' }
involve the same special order quantity Failed to parse (MathML with SVG or PNG fallback (recommended for modern browsers and accessibility tools): Invalid response ("Math extension cannot connect to Restbase.") from server "https://mathoid.scipedia.com/localhost/v1/":): {\textstyle q_r}

, the special order time Failed to parse (MathML with SVG or PNG fallback (recommended for modern browsers and accessibility tools): Invalid response ("Math extension cannot connect to Restbase.") from server "https://mathoid.scipedia.com/localhost/v1/":): {\textstyle {t'}_r}

in Failed to parse (MathML with SVG or PNG fallback (recommended for modern browsers and accessibility tools): Invalid response ("Math extension cannot connect to Restbase.") from server "https://mathoid.scipedia.com/localhost/v1/":): {\textstyle \pi' }
is earlier than the special order time Failed to parse (MathML with SVG or PNG fallback (recommended for modern browsers and accessibility tools): Invalid response ("Math extension cannot connect to Restbase.") from server "https://mathoid.scipedia.com/localhost/v1/":): {\textstyle t_r}
in Failed to parse (MathML with SVG or PNG fallback (recommended for modern browsers and accessibility tools): Invalid response ("Math extension cannot connect to Restbase.") from server "https://mathoid.scipedia.com/localhost/v1/":): {\textstyle \pi }
(i.e., Failed to parse (MathML with SVG or PNG fallback (recommended for modern browsers and accessibility tools): Invalid response ("Math extension cannot connect to Restbase.") from server "https://mathoid.scipedia.com/localhost/v1/":): {\textstyle {t'}_r<t_r}

). We then prove that the total cost of Failed to parse (MathML with SVG or PNG fallback (recommended for modern browsers and accessibility tools): Invalid response ("Math extension cannot connect to Restbase.") from server "https://mathoid.scipedia.com/localhost/v1/":): {\textstyle \pi }

is higher than that of Failed to parse (MathML with SVG or PNG fallback (recommended for modern browsers and accessibility tools): Invalid response ("Math extension cannot connect to Restbase.") from server "https://mathoid.scipedia.com/localhost/v1/":): {\textstyle \pi' }

.

Since Failed to parse (MathML with SVG or PNG fallback (recommended for modern browsers and accessibility tools): Invalid response ("Math extension cannot connect to Restbase.") from server "https://mathoid.scipedia.com/localhost/v1/":): {\textstyle q_r+f_n(t_r)<0} , Failed to parse (MathML with SVG or PNG fallback (recommended for modern browsers and accessibility tools): Invalid response ("Math extension cannot connect to Restbase.") from server "https://mathoid.scipedia.com/localhost/v1/":): {\textstyle {q_r+f_n(t'}_r)=0} , and Failed to parse (MathML with SVG or PNG fallback (recommended for modern browsers and accessibility tools): Invalid response ("Math extension cannot connect to Restbase.") from server "https://mathoid.scipedia.com/localhost/v1/":): {\textstyle {t'}_r<t_r} , the two ordering strategies (i.e., Failed to parse (MathML with SVG or PNG fallback (recommended for modern browsers and accessibility tools): Invalid response ("Math extension cannot connect to Restbase.") from server "https://mathoid.scipedia.com/localhost/v1/":): {\textstyle \pi }

and Failed to parse (MathML with SVG or PNG fallback (recommended for modern browsers and accessibility tools): Invalid response ("Math extension cannot connect to Restbase.") from server "https://mathoid.scipedia.com/localhost/v1/":): {\textstyle \pi' }

) lead to the same inventory level in the time horizon Failed to parse (MathML with SVG or PNG fallback (recommended for modern browsers and accessibility tools): Invalid response ("Math extension cannot connect to Restbase.") from server "https://mathoid.scipedia.com/localhost/v1/":): {\textstyle [0,k]}

except for the interval Failed to parse (MathML with SVG or PNG fallback (recommended for modern browsers and accessibility tools): Invalid response ("Math extension cannot connect to Restbase.") from server "https://mathoid.scipedia.com/localhost/v1/":): {\textstyle {[t'}_r,t_r]}

. Thus, we need only to compare the total costs of Failed to parse (MathML with SVG or PNG fallback (recommended for modern browsers and accessibility tools): Invalid response ("Math extension cannot connect to Restbase.") from server "https://mathoid.scipedia.com/localhost/v1/":): {\textstyle \pi }

and Failed to parse (MathML with SVG or PNG fallback (recommended for modern browsers and accessibility tools): Invalid response ("Math extension cannot connect to Restbase.") from server "https://mathoid.scipedia.com/localhost/v1/":): {\textstyle \pi' }
in Failed to parse (MathML with SVG or PNG fallback (recommended for modern browsers and accessibility tools): Invalid response ("Math extension cannot connect to Restbase.") from server "https://mathoid.scipedia.com/localhost/v1/":): {\textstyle {[t'}_r,t_r]}

. Given that the inventory level of Failed to parse (MathML with SVG or PNG fallback (recommended for modern browsers and accessibility tools): Invalid response ("Math extension cannot connect to Restbase.") from server "https://mathoid.scipedia.com/localhost/v1/":): {\textstyle \pi' }

is always non-positive and higher than that of Failed to parse (MathML with SVG or PNG fallback (recommended for modern browsers and accessibility tools): Invalid response ("Math extension cannot connect to Restbase.") from server "https://mathoid.scipedia.com/localhost/v1/":): {\textstyle \pi }
in Failed to parse (MathML with SVG or PNG fallback (recommended for modern browsers and accessibility tools): Invalid response ("Math extension cannot connect to Restbase.") from server "https://mathoid.scipedia.com/localhost/v1/":): {\textstyle {[t'}_r,t_r]}

, Failed to parse (MathML with SVG or PNG fallback (recommended for modern browsers and accessibility tools): Invalid response ("Math extension cannot connect to Restbase.") from server "https://mathoid.scipedia.com/localhost/v1/":): {\textstyle \pi }

and Failed to parse (MathML with SVG or PNG fallback (recommended for modern browsers and accessibility tools): Invalid response ("Math extension cannot connect to Restbase.") from server "https://mathoid.scipedia.com/localhost/v1/":): {\textstyle \pi' }
lead to the same fixed backorder cost and Failed to parse (MathML with SVG or PNG fallback (recommended for modern browsers and accessibility tools): Invalid response ("Math extension cannot connect to Restbase.") from server "https://mathoid.scipedia.com/localhost/v1/":): {\textstyle \pi' }
incurs a lower linear backorder cost than Failed to parse (MathML with SVG or PNG fallback (recommended for modern browsers and accessibility tools): Invalid response ("Math extension cannot connect to Restbase.") from server "https://mathoid.scipedia.com/localhost/v1/":): {\textstyle \pi }

. Therefore, the ordering strategy Failed to parse (MathML with SVG or PNG fallback (recommended for modern browsers and accessibility tools): Invalid response ("Math extension cannot connect to Restbase.") from server "https://mathoid.scipedia.com/localhost/v1/":): {\textstyle (q_r,t_r,n)}

with Failed to parse (MathML with SVG or PNG fallback (recommended for modern browsers and accessibility tools): Invalid response ("Math extension cannot connect to Restbase.") from server "https://mathoid.scipedia.com/localhost/v1/":): {\textstyle q_r+f_n(t_r)<0}
cannot help the retailer reach the minimum total cost.


Proof of Lemma 2: Taking the partial derivatives of Failed to parse (MathML with SVG or PNG fallback (recommended for modern browsers and accessibility tools): Invalid response ("Math extension cannot connect to Restbase.") from server "https://mathoid.scipedia.com/localhost/v1/":): {\textstyle f_1}

and Failed to parse (MathML with SVG or PNG fallback (recommended for modern browsers and accessibility tools): Invalid response ("Math extension cannot connect to Restbase.") from server "https://mathoid.scipedia.com/localhost/v1/":): {\textstyle f_2}
with respect to Failed to parse (MathML with SVG or PNG fallback (recommended for modern browsers and accessibility tools): Invalid response ("Math extension cannot connect to Restbase.") from server "https://mathoid.scipedia.com/localhost/v1/":): {\textstyle q_r}
and Failed to parse (MathML with SVG or PNG fallback (recommended for modern browsers and accessibility tools): Invalid response ("Math extension cannot connect to Restbase.") from server "https://mathoid.scipedia.com/localhost/v1/":): {\textstyle t_r}
yields Failed to parse (MathML with SVG or PNG fallback (recommended for modern browsers and accessibility tools): Invalid response ("Math extension cannot connect to Restbase.") from server "https://mathoid.scipedia.com/localhost/v1/":): {\textstyle \partial f_1/\partial t_r=-\gamma hq_r}

, Failed to parse (MathML with SVG or PNG fallback (recommended for modern browsers and accessibility tools): Invalid response ("Math extension cannot connect to Restbase.") from server "https://mathoid.scipedia.com/localhost/v1/":): {\textstyle \partial f_2/\partial t_r=-(\gamma h+c_l)f_n(t_r)-\gamma hq_r+c_fD} , Failed to parse (MathML with SVG or PNG fallback (recommended for modern browsers and accessibility tools): Invalid response ("Math extension cannot connect to Restbase.") from server "https://mathoid.scipedia.com/localhost/v1/":): {\textstyle \partial f_1/\partial q_r=\partial f_2/\partial q_r=\gamma w+(\gamma hf_n(t_r)+\gamma hq_r-C^*_{ar})/D} . The corresponding second partial derivatives are Failed to parse (MathML with SVG or PNG fallback (recommended for modern browsers and accessibility tools): Invalid response ("Math extension cannot connect to Restbase.") from server "https://mathoid.scipedia.com/localhost/v1/":): {\textstyle \partial ^2 f_1/\partial t_r^2=0} , Failed to parse (MathML with SVG or PNG fallback (recommended for modern browsers and accessibility tools): Invalid response ("Math extension cannot connect to Restbase.") from server "https://mathoid.scipedia.com/localhost/v1/":): {\textstyle \partial ^2 f_1/\partial q_r^2=\gamma h/D} , Failed to parse (MathML with SVG or PNG fallback (recommended for modern browsers and accessibility tools): Invalid response ("Math extension cannot connect to Restbase.") from server "https://mathoid.scipedia.com/localhost/v1/":): {\textstyle \partial ^2 f_2/\partial t_r^2=(\gamma h+c_l)D} , Failed to parse (MathML with SVG or PNG fallback (recommended for modern browsers and accessibility tools): Invalid response ("Math extension cannot connect to Restbase.") from server "https://mathoid.scipedia.com/localhost/v1/":): {\textstyle \partial ^2 f_2/\partial t_r\partial q_r=-\gamma h} , and Failed to parse (MathML with SVG or PNG fallback (recommended for modern browsers and accessibility tools): Invalid response ("Math extension cannot connect to Restbase.") from server "https://mathoid.scipedia.com/localhost/v1/":): {\textstyle \partial ^2 f_2/\partial q_r^2=\gamma h/D} .

Since Failed to parse (MathML with SVG or PNG fallback (recommended for modern browsers and accessibility tools): Invalid response ("Math extension cannot connect to Restbase.") from server "https://mathoid.scipedia.com/localhost/v1/":): {\textstyle \partial f_1/\partial t_r<0}

and Failed to parse (MathML with SVG or PNG fallback (recommended for modern browsers and accessibility tools): Invalid response ("Math extension cannot connect to Restbase.") from server "https://mathoid.scipedia.com/localhost/v1/":): {\textstyle \partial ^2 f_1/\partial q_r^2>0}

, Failed to parse (MathML with SVG or PNG fallback (recommended for modern browsers and accessibility tools): Invalid response ("Math extension cannot connect to Restbase.") from server "https://mathoid.scipedia.com/localhost/v1/":): {\textstyle f_1}

is decreasing Failed to parse (MathML with SVG or PNG fallback (recommended for modern browsers and accessibility tools): Invalid response ("Math extension cannot connect to Restbase.") from server "https://mathoid.scipedia.com/localhost/v1/":): {\textstyle t_r}
and convex in Failed to parse (MathML with SVG or PNG fallback (recommended for modern browsers and accessibility tools): Invalid response ("Math extension cannot connect to Restbase.") from server "https://mathoid.scipedia.com/localhost/v1/":): {\textstyle q_r}

. Constructing the Hessian matrix Failed to parse (MathML with SVG or PNG fallback (recommended for modern browsers and accessibility tools): Invalid response ("Math extension cannot connect to Restbase.") from server "https://mathoid.scipedia.com/localhost/v1/":): {\textstyle H}

of Failed to parse (MathML with SVG or PNG fallback (recommended for modern browsers and accessibility tools): Invalid response ("Math extension cannot connect to Restbase.") from server "https://mathoid.scipedia.com/localhost/v1/":): {\textstyle f_2}
and calculating the determinant of it yields Failed to parse (MathML with SVG or PNG fallback (recommended for modern browsers and accessibility tools): Invalid response ("Math extension cannot connect to Restbase.") from server "https://mathoid.scipedia.com/localhost/v1/":): {\textstyle |H|=\gamma h c_l>0}

. Hence, Failed to parse (MathML with SVG or PNG fallback (recommended for modern browsers and accessibility tools): Invalid response ("Math extension cannot connect to Restbase.") from server "https://mathoid.scipedia.com/localhost/v1/":): {\textstyle f_2}

is convex with respect to Failed to parse (MathML with SVG or PNG fallback (recommended for modern browsers and accessibility tools): Invalid response ("Math extension cannot connect to Restbase.") from server "https://mathoid.scipedia.com/localhost/v1/":): {\textstyle q_r}
and Failed to parse (MathML with SVG or PNG fallback (recommended for modern browsers and accessibility tools): Invalid response ("Math extension cannot connect to Restbase.") from server "https://mathoid.scipedia.com/localhost/v1/":): {\textstyle t_r}

.


Proof of Lemma 3: (i) For a given Failed to parse (MathML with SVG or PNG fallback (recommended for modern browsers and accessibility tools): Invalid response ("Math extension cannot connect to Restbase.") from server "https://mathoid.scipedia.com/localhost/v1/":): {\textstyle n} , because Failed to parse (MathML with SVG or PNG fallback (recommended for modern browsers and accessibility tools): Invalid response ("Math extension cannot connect to Restbase.") from server "https://mathoid.scipedia.com/localhost/v1/":): {\textstyle f_n(t_r)\geqslant 0}

if and only if Failed to parse (MathML with SVG or PNG fallback (recommended for modern browsers and accessibility tools): Invalid response ("Math extension cannot connect to Restbase.") from server "https://mathoid.scipedia.com/localhost/v1/":): {\textstyle t_r\leqslant ((m+n)Q^*-S^*)/D}

, we need only to minimize Failed to parse (MathML with SVG or PNG fallback (recommended for modern browsers and accessibility tools): Invalid response ("Math extension cannot connect to Restbase.") from server "https://mathoid.scipedia.com/localhost/v1/":): {\textstyle f_1(q_r,t_r,n)}

subject to the constrains: Failed to parse (MathML with SVG or PNG fallback (recommended for modern browsers and accessibility tools): Invalid response ("Math extension cannot connect to Restbase.") from server "https://mathoid.scipedia.com/localhost/v1/":): {\textstyle q_r\geqslant 0}
and Failed to parse (MathML with SVG or PNG fallback (recommended for modern browsers and accessibility tools): Invalid response ("Math extension cannot connect to Restbase.") from server "https://mathoid.scipedia.com/localhost/v1/":): {\textstyle t_s\leqslant t_r\leqslant \min \{ t_e,((m+n)Q^*-S^*)/D\} }

. The result directly follows from Lemma 2(i) and the first-order optimality condition (i.e., Failed to parse (MathML with SVG or PNG fallback (recommended for modern browsers and accessibility tools): Invalid response ("Math extension cannot connect to Restbase.") from server "https://mathoid.scipedia.com/localhost/v1/":): {\textstyle \partial f_1/\partial q_r=0} ).

(ii) By the same token, we minimize Failed to parse (MathML with SVG or PNG fallback (recommended for modern browsers and accessibility tools): Invalid response ("Math extension cannot connect to Restbase.") from server "https://mathoid.scipedia.com/localhost/v1/":): {\textstyle f_2(q_r,t_r,n)}

for a fixed Failed to parse (MathML with SVG or PNG fallback (recommended for modern browsers and accessibility tools): Invalid response ("Math extension cannot connect to Restbase.") from server "https://mathoid.scipedia.com/localhost/v1/":): {\textstyle n}
subject to Failed to parse (MathML with SVG or PNG fallback (recommended for modern browsers and accessibility tools): Invalid response ("Math extension cannot connect to Restbase.") from server "https://mathoid.scipedia.com/localhost/v1/":): {\textstyle q_r\geqslant 0}
and Failed to parse (MathML with SVG or PNG fallback (recommended for modern browsers and accessibility tools): Invalid response ("Math extension cannot connect to Restbase.") from server "https://mathoid.scipedia.com/localhost/v1/":): {\textstyle \max \{ t_s,((m+n)Q^*-S^*)/D\} \leqslant t_r\leqslant}

Failed to parse (MathML with SVG or PNG fallback (recommended for modern browsers and accessibility tools): Invalid response ("Math extension cannot connect to Restbase.") from server "https://mathoid.scipedia.com/localhost/v1/":): \min \{ t_e,((m+n)Q^*-S^*+q_r)/D\} . The stable point, (Failed to parse (MathML with SVG or PNG fallback (recommended for modern browsers and accessibility tools): Invalid response ("Math extension cannot connect to Restbase.") from server "https://mathoid.scipedia.com/localhost/v1/":): {\textstyle \bar{q}_n,\bar{t}_n} ), of Failed to parse (MathML with SVG or PNG fallback (recommended for modern browsers and accessibility tools): Invalid response ("Math extension cannot connect to Restbase.") from server "https://mathoid.scipedia.com/localhost/v1/":): {\textstyle f_2(q_r,t_r,n)}

for a fixed Failed to parse (MathML with SVG or PNG fallback (recommended for modern browsers and accessibility tools): Invalid response ("Math extension cannot connect to Restbase.") from server "https://mathoid.scipedia.com/localhost/v1/":): {\textstyle n}
satisfies Failed to parse (MathML with SVG or PNG fallback (recommended for modern browsers and accessibility tools): Invalid response ("Math extension cannot connect to Restbase.") from server "https://mathoid.scipedia.com/localhost/v1/":): {\textstyle \bar{q}_n=((1-\gamma )wD+h(Q^*-S^*))/\gamma h-f_n(\bar{t}_n)}
and Failed to parse (MathML with SVG or PNG fallback (recommended for modern browsers and accessibility tools): Invalid response ("Math extension cannot connect to Restbase.") from server "https://mathoid.scipedia.com/localhost/v1/":): {\textstyle \bar{t}_n=((m+n)Q^*-S^*)/D+(C^*_{ar}-c_fD-\gamma wD)/c_lD}

. We then discuss whether the stable point (Failed to parse (MathML with SVG or PNG fallback (recommended for modern browsers and accessibility tools): Invalid response ("Math extension cannot connect to Restbase.") from server "https://mathoid.scipedia.com/localhost/v1/":): {\textstyle \bar{q}_n,\bar{t}_n} ) locates in the feasible domain of Failed to parse (MathML with SVG or PNG fallback (recommended for modern browsers and accessibility tools): Invalid response ("Math extension cannot connect to Restbase.") from server "https://mathoid.scipedia.com/localhost/v1/":): {\textstyle f_2}

mentioned above. It is worthy noting that Failed to parse (MathML with SVG or PNG fallback (recommended for modern browsers and accessibility tools): Invalid response ("Math extension cannot connect to Restbase.") from server "https://mathoid.scipedia.com/localhost/v1/":): {\textstyle \bar{q}_n\geqslant 0}
always holds under the condition of Failed to parse (MathML with SVG or PNG fallback (recommended for modern browsers and accessibility tools): Invalid response ("Math extension cannot connect to Restbase.") from server "https://mathoid.scipedia.com/localhost/v1/":): {\textstyle f_n(\bar{t}_n)\leqslant 0}

, which occurs if and only if Failed to parse (MathML with SVG or PNG fallback (recommended for modern browsers and accessibility tools): Invalid response ("Math extension cannot connect to Restbase.") from server "https://mathoid.scipedia.com/localhost/v1/":): {\textstyle \bar{t}_n\leqslant ((m+n)Q^*-S^*)/D} . Following Failed to parse (MathML with SVG or PNG fallback (recommended for modern browsers and accessibility tools): Invalid response ("Math extension cannot connect to Restbase.") from server "https://mathoid.scipedia.com/localhost/v1/":): {\textstyle \bar{q}_n+f_n(\bar{t}_n)=((1-\gamma )wD+h(Q^*-S^*))/\gamma h\geqslant{0}} , we have Failed to parse (MathML with SVG or PNG fallback (recommended for modern browsers and accessibility tools): Invalid response ("Math extension cannot connect to Restbase.") from server "https://mathoid.scipedia.com/localhost/v1/":): {\textstyle \bar{t}_n\leqslant ((m+n)Q^*-S^*+\bar{q}_n)/D} . Given that Failed to parse (MathML with SVG or PNG fallback (recommended for modern browsers and accessibility tools): Invalid response ("Math extension cannot connect to Restbase.") from server "https://mathoid.scipedia.com/localhost/v1/":): {\textstyle \bar{t}_n\geqslant ((m+n)Q^*-S^*)/D}

if and only if Failed to parse (MathML with SVG or PNG fallback (recommended for modern browsers and accessibility tools): Invalid response ("Math extension cannot connect to Restbase.") from server "https://mathoid.scipedia.com/localhost/v1/":): {\textstyle C^*_{ar}-c_fD-\gamma wD\geqslant 0}

, the discussion is divided into the following two cases based on the values of Failed to parse (MathML with SVG or PNG fallback (recommended for modern browsers and accessibility tools): Invalid response ("Math extension cannot connect to Restbase.") from server "https://mathoid.scipedia.com/localhost/v1/":): {\textstyle Q^*}

and Failed to parse (MathML with SVG or PNG fallback (recommended for modern browsers and accessibility tools): Invalid response ("Math extension cannot connect to Restbase.") from server "https://mathoid.scipedia.com/localhost/v1/":): {\textstyle S^*}
[37].


Case 1: Failed to parse (MathML with SVG or PNG fallback (recommended for modern browsers and accessibility tools): Invalid response ("Math extension cannot connect to Restbase.") from server "https://mathoid.scipedia.com/localhost/v1/":): {\textstyle c_f<\sqrt{2Ah/D}} . Following Failed to parse (MathML with SVG or PNG fallback (recommended for modern browsers and accessibility tools): Invalid response ("Math extension cannot connect to Restbase.") from server "https://mathoid.scipedia.com/localhost/v1/":): {\textstyle C^*_{ar}-c_fD-\gamma wD=(1-\gamma )wD+c_lS^*\geqslant 0} , we have Failed to parse (MathML with SVG or PNG fallback (recommended for modern browsers and accessibility tools): Invalid response ("Math extension cannot connect to Restbase.") from server "https://mathoid.scipedia.com/localhost/v1/":): {\textstyle \bar{t}_n\geqslant ((m+n)Q^*-S^*)/D}

(or equivalently, Failed to parse (MathML with SVG or PNG fallback (recommended for modern browsers and accessibility tools): Invalid response ("Math extension cannot connect to Restbase.") from server "https://mathoid.scipedia.com/localhost/v1/":): {\textstyle f_n(\bar{t}_n)\leqslant 0}

) and thus Failed to parse (MathML with SVG or PNG fallback (recommended for modern browsers and accessibility tools): Invalid response ("Math extension cannot connect to Restbase.") from server "https://mathoid.scipedia.com/localhost/v1/":): {\textstyle \bar{q}_n\geqslant 0} . In this case, Failed to parse (MathML with SVG or PNG fallback (recommended for modern browsers and accessibility tools): Invalid response ("Math extension cannot connect to Restbase.") from server "https://mathoid.scipedia.com/localhost/v1/":): {\textstyle (\bar{q}_n,\bar{t}_n)}

locates in the feasible domain of Failed to parse (MathML with SVG or PNG fallback (recommended for modern browsers and accessibility tools): Invalid response ("Math extension cannot connect to Restbase.") from server "https://mathoid.scipedia.com/localhost/v1/":): {\textstyle f_2}
if and only if Failed to parse (MathML with SVG or PNG fallback (recommended for modern browsers and accessibility tools): Invalid response ("Math extension cannot connect to Restbase.") from server "https://mathoid.scipedia.com/localhost/v1/":): {\textstyle t_s\leqslant \bar{t}_n\leqslant t_e}

. Thus, Failed to parse (MathML with SVG or PNG fallback (recommended for modern browsers and accessibility tools): Invalid response ("Math extension cannot connect to Restbase.") from server "https://mathoid.scipedia.com/localhost/v1/":): {\textstyle t_{2,n}=t_s}

if Failed to parse (MathML with SVG or PNG fallback (recommended for modern browsers and accessibility tools): Invalid response ("Math extension cannot connect to Restbase.") from server "https://mathoid.scipedia.com/localhost/v1/":): {\textstyle \bar{t}_n< t_s}
Failed to parse (MathML with SVG or PNG fallback (recommended for modern browsers and accessibility tools): Invalid response ("Math extension cannot connect to Restbase.") from server "https://mathoid.scipedia.com/localhost/v1/":): {\textstyle t_{2,n}=t_e}
if Failed to parse (MathML with SVG or PNG fallback (recommended for modern browsers and accessibility tools): Invalid response ("Math extension cannot connect to Restbase.") from server "https://mathoid.scipedia.com/localhost/v1/":): {\textstyle \bar{t}_n> t_e}
and Failed to parse (MathML with SVG or PNG fallback (recommended for modern browsers and accessibility tools): Invalid response ("Math extension cannot connect to Restbase.") from server "https://mathoid.scipedia.com/localhost/v1/":): {\textstyle t_{2,n}=\bar{t}_n}
if Failed to parse (MathML with SVG or PNG fallback (recommended for modern browsers and accessibility tools): Invalid response ("Math extension cannot connect to Restbase.") from server "https://mathoid.scipedia.com/localhost/v1/":): {\textstyle t_s\leqslant \bar{t}_n\leqslant t_e}

. And Failed to parse (MathML with SVG or PNG fallback (recommended for modern browsers and accessibility tools): Invalid response ("Math extension cannot connect to Restbase.") from server "https://mathoid.scipedia.com/localhost/v1/":): {\textstyle q_{2,n}}

follows from the first-order optimality condition.


Case 2: Failed to parse (MathML with SVG or PNG fallback (recommended for modern browsers and accessibility tools): Invalid response ("Math extension cannot connect to Restbase.") from server "https://mathoid.scipedia.com/localhost/v1/":): {\textstyle c_f\geqslant \sqrt{2Ah/D}} . In this case, we have Failed to parse (MathML with SVG or PNG fallback (recommended for modern browsers and accessibility tools): Invalid response ("Math extension cannot connect to Restbase.") from server "https://mathoid.scipedia.com/localhost/v1/":): {\textstyle C^*_{ar}-c_fD-\gamma wD=(1-\gamma )wD+\sqrt{2ADh}-c_fD} . Since Failed to parse (MathML with SVG or PNG fallback (recommended for modern browsers and accessibility tools): Invalid response ("Math extension cannot connect to Restbase.") from server "https://mathoid.scipedia.com/localhost/v1/":): {\textstyle S^*=0}

and Failed to parse (MathML with SVG or PNG fallback (recommended for modern browsers and accessibility tools): Invalid response ("Math extension cannot connect to Restbase.") from server "https://mathoid.scipedia.com/localhost/v1/":): {\textstyle t_s\leqslant mQ^*/D}

, the feasible domain of Failed to parse (MathML with SVG or PNG fallback (recommended for modern browsers and accessibility tools): Invalid response ("Math extension cannot connect to Restbase.") from server "https://mathoid.scipedia.com/localhost/v1/":): {\textstyle f_2}

is reduced to Failed to parse (MathML with SVG or PNG fallback (recommended for modern browsers and accessibility tools): Invalid response ("Math extension cannot connect to Restbase.") from server "https://mathoid.scipedia.com/localhost/v1/":): {\textstyle q_r\geqslant 0}
and Failed to parse (MathML with SVG or PNG fallback (recommended for modern browsers and accessibility tools): Invalid response ("Math extension cannot connect to Restbase.") from server "https://mathoid.scipedia.com/localhost/v1/":): {\textstyle (m+n)Q^*/D\leqslant t_r\leqslant \min \{ t_e,((m+n)Q^*+q_r)/D\} }

. If Failed to parse (MathML with SVG or PNG fallback (recommended for modern browsers and accessibility tools): Invalid response ("Math extension cannot connect to Restbase.") from server "https://mathoid.scipedia.com/localhost/v1/":): {\textstyle c_f\leqslant (1-\gamma )w+\sqrt{2Ah/D}} , then Failed to parse (MathML with SVG or PNG fallback (recommended for modern browsers and accessibility tools): Invalid response ("Math extension cannot connect to Restbase.") from server "https://mathoid.scipedia.com/localhost/v1/":): {\textstyle \bar{t}_n\geqslant (m+n)Q^*/D}

and Failed to parse (MathML with SVG or PNG fallback (recommended for modern browsers and accessibility tools): Invalid response ("Math extension cannot connect to Restbase.") from server "https://mathoid.scipedia.com/localhost/v1/":): {\textstyle \bar{q}_n\geqslant 0}

. In this context, Failed to parse (MathML with SVG or PNG fallback (recommended for modern browsers and accessibility tools): Invalid response ("Math extension cannot connect to Restbase.") from server "https://mathoid.scipedia.com/localhost/v1/":): {\textstyle (\bar{q}_n,\bar{t}_n)}

locates in the feasible domain of Failed to parse (MathML with SVG or PNG fallback (recommended for modern browsers and accessibility tools): Invalid response ("Math extension cannot connect to Restbase.") from server "https://mathoid.scipedia.com/localhost/v1/":): {\textstyle f_2}
if and only if Failed to parse (MathML with SVG or PNG fallback (recommended for modern browsers and accessibility tools): Invalid response ("Math extension cannot connect to Restbase.") from server "https://mathoid.scipedia.com/localhost/v1/":): {\textstyle t_s\leqslant \bar{t}_n\leqslant t_e}

. Alternatively, if Failed to parse (MathML with SVG or PNG fallback (recommended for modern browsers and accessibility tools): Invalid response ("Math extension cannot connect to Restbase.") from server "https://mathoid.scipedia.com/localhost/v1/":): {\textstyle c_f>\sqrt{2Ah/D}+(1-\gamma )w/D} , then Failed to parse (MathML with SVG or PNG fallback (recommended for modern browsers and accessibility tools): Invalid response ("Math extension cannot connect to Restbase.") from server "https://mathoid.scipedia.com/localhost/v1/":): {\textstyle \bar{t}_{n}<(m+n)Q^*/D} . In this context, Failed to parse (MathML with SVG or PNG fallback (recommended for modern browsers and accessibility tools): Invalid response ("Math extension cannot connect to Restbase.") from server "https://mathoid.scipedia.com/localhost/v1/":): {\textstyle (\bar{q}_n,\bar{t}_n)}

does not locate in the feasible domain of Failed to parse (MathML with SVG or PNG fallback (recommended for modern browsers and accessibility tools): Invalid response ("Math extension cannot connect to Restbase.") from server "https://mathoid.scipedia.com/localhost/v1/":): {\textstyle f_2}

. Thus, Failed to parse (MathML with SVG or PNG fallback (recommended for modern browsers and accessibility tools): Invalid response ("Math extension cannot connect to Restbase.") from server "https://mathoid.scipedia.com/localhost/v1/":): {\textstyle t_{2,n}=(m+n)Q^*/D}

and Failed to parse (MathML with SVG or PNG fallback (recommended for modern browsers and accessibility tools): Invalid response ("Math extension cannot connect to Restbase.") from server "https://mathoid.scipedia.com/localhost/v1/":): {\textstyle q_{2,n}=((1-\gamma )wD+h(Q^*-S^*))/\gamma h\geqslant 0}

.


Proof of Lemma 4: The discussion is divided into the following two cases.

Case 1 Failed to parse (MathML with SVG or PNG fallback (recommended for modern browsers and accessibility tools): Invalid response ("Math extension cannot connect to Restbase.") from server "https://mathoid.scipedia.com/localhost/v1/":): {\textstyle t_e<((m+n)Q^*-S^*)/D} . Given that Failed to parse (MathML with SVG or PNG fallback (recommended for modern browsers and accessibility tools): Invalid response ("Math extension cannot connect to Restbase.") from server "https://mathoid.scipedia.com/localhost/v1/":): {\textstyle t_r<((m+n)Q^*-S^*)/D}

for any Failed to parse (MathML with SVG or PNG fallback (recommended for modern browsers and accessibility tools): Invalid response ("Math extension cannot connect to Restbase.") from server "https://mathoid.scipedia.com/localhost/v1/":): {\textstyle t_r\in [t_s,t_e]}

, we always have Failed to parse (MathML with SVG or PNG fallback (recommended for modern browsers and accessibility tools): Invalid response ("Math extension cannot connect to Restbase.") from server "https://mathoid.scipedia.com/localhost/v1/":): {\textstyle f_n(t_r)>0} . In this context, the feasible domain of Failed to parse (MathML with SVG or PNG fallback (recommended for modern browsers and accessibility tools): Invalid response ("Math extension cannot connect to Restbase.") from server "https://mathoid.scipedia.com/localhost/v1/":): {\textstyle f_2(q_r,t_r,n)}

is empty; thus, the minimizer of Failed to parse (MathML with SVG or PNG fallback (recommended for modern browsers and accessibility tools): Invalid response ("Math extension cannot connect to Restbase.") from server "https://mathoid.scipedia.com/localhost/v1/":): {\textstyle f(q_r,t_r,n)}
is coincident with that of Failed to parse (MathML with SVG or PNG fallback (recommended for modern browsers and accessibility tools): Invalid response ("Math extension cannot connect to Restbase.") from server "https://mathoid.scipedia.com/localhost/v1/":): {\textstyle f_1(q_r,t_r,n)}

.


Case 2: Failed to parse (MathML with SVG or PNG fallback (recommended for modern browsers and accessibility tools): Invalid response ("Math extension cannot connect to Restbase.") from server "https://mathoid.scipedia.com/localhost/v1/":): {\textstyle t_e\geqslant ((m+n)Q^*-S^*)/D} . If Failed to parse (MathML with SVG or PNG fallback (recommended for modern browsers and accessibility tools): Invalid response ("Math extension cannot connect to Restbase.") from server "https://mathoid.scipedia.com/localhost/v1/":): {\textstyle t_s\leqslant ((m+n)Q^*-S^*)/D} , then Failed to parse (MathML with SVG or PNG fallback (recommended for modern browsers and accessibility tools): Invalid response ("Math extension cannot connect to Restbase.") from server "https://mathoid.scipedia.com/localhost/v1/":): {\textstyle f_1(q_r,t_r,n)}

reaches the minimum at Failed to parse (MathML with SVG or PNG fallback (recommended for modern browsers and accessibility tools): Invalid response ("Math extension cannot connect to Restbase.") from server "https://mathoid.scipedia.com/localhost/v1/":): {\textstyle (q_{1,n},t_{1,n})}

, where Failed to parse (MathML with SVG or PNG fallback (recommended for modern browsers and accessibility tools): Invalid response ("Math extension cannot connect to Restbase.") from server "https://mathoid.scipedia.com/localhost/v1/":): {\textstyle q_{1,n}=(C^*_{ar}-\gamma wD)/\gamma h}

and Failed to parse (MathML with SVG or PNG fallback (recommended for modern browsers and accessibility tools): Invalid response ("Math extension cannot connect to Restbase.") from server "https://mathoid.scipedia.com/localhost/v1/":): {\textstyle t_{1,n}=((m+n)Q^*-S^*)/D}
(see Lemma 3). Since Failed to parse (MathML with SVG or PNG fallback (recommended for modern browsers and accessibility tools): Invalid response ("Math extension cannot connect to Restbase.") from server "https://mathoid.scipedia.com/localhost/v1/":): {\textstyle f_n(t_{1,n})=0}

, the minimizer of Failed to parse (MathML with SVG or PNG fallback (recommended for modern browsers and accessibility tools): Invalid response ("Math extension cannot connect to Restbase.") from server "https://mathoid.scipedia.com/localhost/v1/":): {\textstyle f_1}

also locates in the feasible domain of Failed to parse (MathML with SVG or PNG fallback (recommended for modern browsers and accessibility tools): Invalid response ("Math extension cannot connect to Restbase.") from server "https://mathoid.scipedia.com/localhost/v1/":): {\textstyle f_2}

. Hence, the minimizer of Failed to parse (MathML with SVG or PNG fallback (recommended for modern browsers and accessibility tools): Invalid response ("Math extension cannot connect to Restbase.") from server "https://mathoid.scipedia.com/localhost/v1/":): {\textstyle f}

can be regarded as that of Failed to parse (MathML with SVG or PNG fallback (recommended for modern browsers and accessibility tools): Invalid response ("Math extension cannot connect to Restbase.") from server "https://mathoid.scipedia.com/localhost/v1/":): {\textstyle f_2}

. Alternatively, if Failed to parse (MathML with SVG or PNG fallback (recommended for modern browsers and accessibility tools): Invalid response ("Math extension cannot connect to Restbase.") from server "https://mathoid.scipedia.com/localhost/v1/":): {\textstyle t_s>((m+n)Q^*-S^*)/D} , then Failed to parse (MathML with SVG or PNG fallback (recommended for modern browsers and accessibility tools): Invalid response ("Math extension cannot connect to Restbase.") from server "https://mathoid.scipedia.com/localhost/v1/":): {\textstyle f_n(t_r)<0}

always holds for any Failed to parse (MathML with SVG or PNG fallback (recommended for modern browsers and accessibility tools): Invalid response ("Math extension cannot connect to Restbase.") from server "https://mathoid.scipedia.com/localhost/v1/":): {\textstyle t_r\in [t_s,t_e]}

. In this context, the domain of Failed to parse (MathML with SVG or PNG fallback (recommended for modern browsers and accessibility tools): Invalid response ("Math extension cannot connect to Restbase.") from server "https://mathoid.scipedia.com/localhost/v1/":): {\textstyle f_1(q_r,t_r,n)}

is empty. Thus, the minimizer of Failed to parse (MathML with SVG or PNG fallback (recommended for modern browsers and accessibility tools): Invalid response ("Math extension cannot connect to Restbase.") from server "https://mathoid.scipedia.com/localhost/v1/":): {\textstyle f(q_r,t_r,n)}
is exactly that of Failed to parse (MathML with SVG or PNG fallback (recommended for modern browsers and accessibility tools): Invalid response ("Math extension cannot connect to Restbase.") from server "https://mathoid.scipedia.com/localhost/v1/":): {\textstyle f_2(q_r,t_r,n)}

.


Proof of Proposition 1: We first show that the optimal number Failed to parse (MathML with SVG or PNG fallback (recommended for modern browsers and accessibility tools): Invalid response ("Math extension cannot connect to Restbase.") from server "https://mathoid.scipedia.com/localhost/v1/":): {\textstyle n^*\in \{ 0,1\} } . To this end, we need to find some Failed to parse (MathML with SVG or PNG fallback (recommended for modern browsers and accessibility tools): Invalid response ("Math extension cannot connect to Restbase.") from server "https://mathoid.scipedia.com/localhost/v1/":): {\textstyle n'\in \{ 0,1\} }

for any ordering strategy Failed to parse (MathML with SVG or PNG fallback (recommended for modern browsers and accessibility tools): Invalid response ("Math extension cannot connect to Restbase.") from server "https://mathoid.scipedia.com/localhost/v1/":): {\textstyle (q_r,t_r,n)}
with Failed to parse (MathML with SVG or PNG fallback (recommended for modern browsers and accessibility tools): Invalid response ("Math extension cannot connect to Restbase.") from server "https://mathoid.scipedia.com/localhost/v1/":): {\textstyle n\geqslant 2}
such that Failed to parse (MathML with SVG or PNG fallback (recommended for modern browsers and accessibility tools): Invalid response ("Math extension cannot connect to Restbase.") from server "https://mathoid.scipedia.com/localhost/v1/":): {\textstyle f(q_{n'},t_{n'},n')\leqslant f(q_r,t_r,n)}

, where Failed to parse (MathML with SVG or PNG fallback (recommended for modern browsers and accessibility tools): Invalid response ("Math extension cannot connect to Restbase.") from server "https://mathoid.scipedia.com/localhost/v1/":): {\textstyle (q_{n'},t_{n'})}

is the minimizer of Failed to parse (MathML with SVG or PNG fallback (recommended for modern browsers and accessibility tools): Invalid response ("Math extension cannot connect to Restbase.") from server "https://mathoid.scipedia.com/localhost/v1/":): {\textstyle f(q_r,t_r,n')}

. Specifically, when Failed to parse (MathML with SVG or PNG fallback (recommended for modern browsers and accessibility tools): Invalid response ("Math extension cannot connect to Restbase.") from server "https://mathoid.scipedia.com/localhost/v1/":): {\textstyle t_r<t_s+nQ^*/D} , let Failed to parse (MathML with SVG or PNG fallback (recommended for modern browsers and accessibility tools): Invalid response ("Math extension cannot connect to Restbase.") from server "https://mathoid.scipedia.com/localhost/v1/":): {\textstyle t_r'=t_r-(n-1)Q^*/D}

then Failed to parse (MathML with SVG or PNG fallback (recommended for modern browsers and accessibility tools): Invalid response ("Math extension cannot connect to Restbase.") from server "https://mathoid.scipedia.com/localhost/v1/":): {\textstyle {t'}_r\in [t_s,t_e]}
and Failed to parse (MathML with SVG or PNG fallback (recommended for modern browsers and accessibility tools): Invalid response ("Math extension cannot connect to Restbase.") from server "https://mathoid.scipedia.com/localhost/v1/":): {\textstyle {f_1(t'}_r)=f_n(t_r)}

. Following Failed to parse (MathML with SVG or PNG fallback (recommended for modern browsers and accessibility tools): Invalid response ("Math extension cannot connect to Restbase.") from server "https://mathoid.scipedia.com/localhost/v1/":): {\textstyle {f_1(t'}_r)=f_n(t_r)} , we have Failed to parse (MathML with SVG or PNG fallback (recommended for modern browsers and accessibility tools): Invalid response ("Math extension cannot connect to Restbase.") from server "https://mathoid.scipedia.com/localhost/v1/":): {\textstyle {f(q_r,t_r,n)=f(q_r,t'}_r,1)\geqslant f(q_{1},t_{1},1)} , where Failed to parse (MathML with SVG or PNG fallback (recommended for modern browsers and accessibility tools): Invalid response ("Math extension cannot connect to Restbase.") from server "https://mathoid.scipedia.com/localhost/v1/":): {\textstyle (q_{1},t_{1})}

is the minimizer of Failed to parse (MathML with SVG or PNG fallback (recommended for modern browsers and accessibility tools): Invalid response ("Math extension cannot connect to Restbase.") from server "https://mathoid.scipedia.com/localhost/v1/":): {\textstyle f(q_r,t_r,1)}

. Similarly, when Failed to parse (MathML with SVG or PNG fallback (recommended for modern browsers and accessibility tools): Invalid response ("Math extension cannot connect to Restbase.") from server "https://mathoid.scipedia.com/localhost/v1/":): {\textstyle t_r\geqslant t_s+nQ^*/D} , let Failed to parse (MathML with SVG or PNG fallback (recommended for modern browsers and accessibility tools): Invalid response ("Math extension cannot connect to Restbase.") from server "https://mathoid.scipedia.com/localhost/v1/":): {\textstyle t_r'=t_r-nQ/D}

then Failed to parse (MathML with SVG or PNG fallback (recommended for modern browsers and accessibility tools): Invalid response ("Math extension cannot connect to Restbase.") from server "https://mathoid.scipedia.com/localhost/v1/":): {\textstyle {f(q_r,t_r,n)=f(q_r,t'}_r,0)\geqslant f(q_{0},t_{0},0)}

. Therefore, it is not necessary for the retailer to place more than one regular orders in Failed to parse (MathML with SVG or PNG fallback (recommended for modern browsers and accessibility tools): Invalid response ("Math extension cannot connect to Restbase.") from server "https://mathoid.scipedia.com/localhost/v1/":): {\textstyle [t_s,t_r]}

that is, Failed to parse (MathML with SVG or PNG fallback (recommended for modern browsers and accessibility tools): Invalid response ("Math extension cannot connect to Restbase.") from server "https://mathoid.scipedia.com/localhost/v1/":): {\textstyle 0\leqslant n^*\leqslant 1}

.

Next, we examine when the retailer places a regular order in Failed to parse (MathML with SVG or PNG fallback (recommended for modern browsers and accessibility tools): Invalid response ("Math extension cannot connect to Restbase.") from server "https://mathoid.scipedia.com/localhost/v1/":): {\textstyle [t_s,t_r]} . For ease of exposition, we denote by Failed to parse (MathML with SVG or PNG fallback (recommended for modern browsers and accessibility tools): Invalid response ("Math extension cannot connect to Restbase.") from server "https://mathoid.scipedia.com/localhost/v1/":): {\textstyle t_f}

the first regular replenishment point after time Failed to parse (MathML with SVG or PNG fallback (recommended for modern browsers and accessibility tools): Invalid response ("Math extension cannot connect to Restbase.") from server "https://mathoid.scipedia.com/localhost/v1/":): {\textstyle t_s}

, i.e., Failed to parse (MathML with SVG or PNG fallback (recommended for modern browsers and accessibility tools): Invalid response ("Math extension cannot connect to Restbase.") from server "https://mathoid.scipedia.com/localhost/v1/":): {\textstyle t_f=mQ^*/D} . Specifically, if Failed to parse (MathML with SVG or PNG fallback (recommended for modern browsers and accessibility tools): Invalid response ("Math extension cannot connect to Restbase.") from server "https://mathoid.scipedia.com/localhost/v1/":): {\textstyle t_e<t_f} , there is no regular replenishment point in the promotion period Failed to parse (MathML with SVG or PNG fallback (recommended for modern browsers and accessibility tools): Invalid response ("Math extension cannot connect to Restbase.") from server "https://mathoid.scipedia.com/localhost/v1/":): {\textstyle [t_s,t_e]}

thus, the retailer never places regular orders in Failed to parse (MathML with SVG or PNG fallback (recommended for modern browsers and accessibility tools): Invalid response ("Math extension cannot connect to Restbase.") from server "https://mathoid.scipedia.com/localhost/v1/":): {\textstyle [t_s,t_r]}
(i.e., Failed to parse (MathML with SVG or PNG fallback (recommended for modern browsers and accessibility tools): Invalid response ("Math extension cannot connect to Restbase.") from server "https://mathoid.scipedia.com/localhost/v1/":): {\textstyle n^*=0}

). If Failed to parse (MathML with SVG or PNG fallback (recommended for modern browsers and accessibility tools): Invalid response ("Math extension cannot connect to Restbase.") from server "https://mathoid.scipedia.com/localhost/v1/":): {\textstyle t_e\geqslant t_f} , the discussion is divided into two cases based on the relationship between Failed to parse (MathML with SVG or PNG fallback (recommended for modern browsers and accessibility tools): Invalid response ("Math extension cannot connect to Restbase.") from server "https://mathoid.scipedia.com/localhost/v1/":): {\textstyle t_e}

and Failed to parse (MathML with SVG or PNG fallback (recommended for modern browsers and accessibility tools): Invalid response ("Math extension cannot connect to Restbase.") from server "https://mathoid.scipedia.com/localhost/v1/":): {\textstyle ((m+1)Q^*-S^*)/D}

. Note that all items will be sold out at time Failed to parse (MathML with SVG or PNG fallback (recommended for modern browsers and accessibility tools): Invalid response ("Math extension cannot connect to Restbase.") from server "https://mathoid.scipedia.com/localhost/v1/":): {\textstyle ((m+1)Q^*-S^*)/D}

if the retailer places a regular order at time Failed to parse (MathML with SVG or PNG fallback (recommended for modern browsers and accessibility tools): Invalid response ("Math extension cannot connect to Restbase.") from server "https://mathoid.scipedia.com/localhost/v1/":): {\textstyle t_f}

.


Case 1: Failed to parse (MathML with SVG or PNG fallback (recommended for modern browsers and accessibility tools): Invalid response ("Math extension cannot connect to Restbase.") from server "https://mathoid.scipedia.com/localhost/v1/":): {\textstyle t_f\leqslant t_e<((m+1)Q^*-S^*)/D} . Given that Failed to parse (MathML with SVG or PNG fallback (recommended for modern browsers and accessibility tools): Invalid response ("Math extension cannot connect to Restbase.") from server "https://mathoid.scipedia.com/localhost/v1/":): {\textstyle t_f}

is the unique regular replenishment point in the promotion period Failed to parse (MathML with SVG or PNG fallback (recommended for modern browsers and accessibility tools): Invalid response ("Math extension cannot connect to Restbase.") from server "https://mathoid.scipedia.com/localhost/v1/":): {\textstyle [t_s,t_e]}

, the retailer needs to decide whether to place a regular order at time Failed to parse (MathML with SVG or PNG fallback (recommended for modern browsers and accessibility tools): Invalid response ("Math extension cannot connect to Restbase.") from server "https://mathoid.scipedia.com/localhost/v1/":): {\textstyle t_f} . If he does so (i.e., Failed to parse (MathML with SVG or PNG fallback (recommended for modern browsers and accessibility tools): Invalid response ("Math extension cannot connect to Restbase.") from server "https://mathoid.scipedia.com/localhost/v1/":): {\textstyle n=1} ), by Failed to parse (MathML with SVG or PNG fallback (recommended for modern browsers and accessibility tools): Invalid response ("Math extension cannot connect to Restbase.") from server "https://mathoid.scipedia.com/localhost/v1/":): {\textstyle t_e<((m+1)Q^*-S^*)/D} , Lemmas 3(i), and Lemma 4, Failed to parse (MathML with SVG or PNG fallback (recommended for modern browsers and accessibility tools): Invalid response ("Math extension cannot connect to Restbase.") from server "https://mathoid.scipedia.com/localhost/v1/":): {\textstyle f(q_r,t_r,1)}

reaches the minimum at Failed to parse (MathML with SVG or PNG fallback (recommended for modern browsers and accessibility tools): Invalid response ("Math extension cannot connect to Restbase.") from server "https://mathoid.scipedia.com/localhost/v1/":): {\textstyle (q_{1,1},t_{1,1})}
that is Failed to parse (MathML with SVG or PNG fallback (recommended for modern browsers and accessibility tools): Invalid response ("Math extension cannot connect to Restbase.") from server "https://mathoid.scipedia.com/localhost/v1/":): {\textstyle f(q_r,t_r,1)\geqslant f(q_{1,1},t_{1,1},1)=f_1(q_{1,1},t_{1,1},1)}
for any Failed to parse (MathML with SVG or PNG fallback (recommended for modern browsers and accessibility tools): Invalid response ("Math extension cannot connect to Restbase.") from server "https://mathoid.scipedia.com/localhost/v1/":): {\textstyle q_r\geqslant 0}
and Failed to parse (MathML with SVG or PNG fallback (recommended for modern browsers and accessibility tools): Invalid response ("Math extension cannot connect to Restbase.") from server "https://mathoid.scipedia.com/localhost/v1/":): {\textstyle t_r\in [t_s,t_e]}

. If he does not so (i.e., Failed to parse (MathML with SVG or PNG fallback (recommended for modern browsers and accessibility tools): Invalid response ("Math extension cannot connect to Restbase.") from server "https://mathoid.scipedia.com/localhost/v1/":): {\textstyle n=0} ), given that Failed to parse (MathML with SVG or PNG fallback (recommended for modern browsers and accessibility tools): Invalid response ("Math extension cannot connect to Restbase.") from server "https://mathoid.scipedia.com/localhost/v1/":): {\textstyle t_e\geqslant (mQ^*-S^*)/D} , the minimum of Failed to parse (MathML with SVG or PNG fallback (recommended for modern browsers and accessibility tools): Invalid response ("Math extension cannot connect to Restbase.") from server "https://mathoid.scipedia.com/localhost/v1/":): {\textstyle f(q_r,t_r,0)}

occurs at Failed to parse (MathML with SVG or PNG fallback (recommended for modern browsers and accessibility tools): Invalid response ("Math extension cannot connect to Restbase.") from server "https://mathoid.scipedia.com/localhost/v1/":): {\textstyle (q_{2,0},t_{2,0})}
that is, Failed to parse (MathML with SVG or PNG fallback (recommended for modern browsers and accessibility tools): Invalid response ("Math extension cannot connect to Restbase.") from server "https://mathoid.scipedia.com/localhost/v1/":): {\textstyle f(q_r,t_r,1)\geqslant f(q_{2,0},t_{2,0},0)=f_2(q_{2,0},t_{2,0},0)}
for any Failed to parse (MathML with SVG or PNG fallback (recommended for modern browsers and accessibility tools): Invalid response ("Math extension cannot connect to Restbase.") from server "https://mathoid.scipedia.com/localhost/v1/":): {\textstyle q_r\geqslant 0}
and Failed to parse (MathML with SVG or PNG fallback (recommended for modern browsers and accessibility tools): Invalid response ("Math extension cannot connect to Restbase.") from server "https://mathoid.scipedia.com/localhost/v1/":): {\textstyle t_r\in [t_s,t_e]}

. In this sense, the retailer places a regular order at time Failed to parse (MathML with SVG or PNG fallback (recommended for modern browsers and accessibility tools): Invalid response ("Math extension cannot connect to Restbase.") from server "https://mathoid.scipedia.com/localhost/v1/":): {\textstyle t_s}

(i.e., Failed to parse (MathML with SVG or PNG fallback (recommended for modern browsers and accessibility tools): Invalid response ("Math extension cannot connect to Restbase.") from server "https://mathoid.scipedia.com/localhost/v1/":): {\textstyle n^*=1}

) if and only if Failed to parse (MathML with SVG or PNG fallback (recommended for modern browsers and accessibility tools): Invalid response ("Math extension cannot connect to Restbase.") from server "https://mathoid.scipedia.com/localhost/v1/":): {\textstyle f_1(q_{1,1},t_{1,1},1)< f_2(q_{2,0},t_{2,0},0)} . Let Failed to parse (MathML with SVG or PNG fallback (recommended for modern browsers and accessibility tools): Invalid response ("Math extension cannot connect to Restbase.") from server "https://mathoid.scipedia.com/localhost/v1/":): {\textstyle {t'}_r=(mQ^*-S^*)/D} , the discussion is further divided into the following two subcases based on the relationship between Failed to parse (MathML with SVG or PNG fallback (recommended for modern browsers and accessibility tools): Invalid response ("Math extension cannot connect to Restbase.") from server "https://mathoid.scipedia.com/localhost/v1/":): {\textstyle t_s}

and Failed to parse (MathML with SVG or PNG fallback (recommended for modern browsers and accessibility tools): Invalid response ("Math extension cannot connect to Restbase.") from server "https://mathoid.scipedia.com/localhost/v1/":): {\textstyle {t'}_r}

.

Case 1.1: Failed to parse (MathML with SVG or PNG fallback (recommended for modern browsers and accessibility tools): Invalid response ("Math extension cannot connect to Restbase.") from server "https://mathoid.scipedia.com/localhost/v1/":): {\textstyle {t'}_r\geqslant t_s} . From Lemma 3 (ii), we have Failed to parse (MathML with SVG or PNG fallback (recommended for modern browsers and accessibility tools): Invalid response ("Math extension cannot connect to Restbase.") from server "https://mathoid.scipedia.com/localhost/v1/":): {\textstyle f_2(q_{1,1}{,t'}_{r},0)\geqslant f_2(q_{2,0},t_{2,0},0)} , where Failed to parse (MathML with SVG or PNG fallback (recommended for modern browsers and accessibility tools): Invalid response ("Math extension cannot connect to Restbase.") from server "https://mathoid.scipedia.com/localhost/v1/":): {\textstyle (q_{2,0},t_{2,0})}

is the minimizer of Failed to parse (MathML with SVG or PNG fallback (recommended for modern browsers and accessibility tools): Invalid response ("Math extension cannot connect to Restbase.") from server "https://mathoid.scipedia.com/localhost/v1/":): {\textstyle f_2(q_r,t_r,0)}

. We then prove Failed to parse (MathML with SVG or PNG fallback (recommended for modern browsers and accessibility tools): Invalid response ("Math extension cannot connect to Restbase.") from server "https://mathoid.scipedia.com/localhost/v1/":): {\textstyle f_1(q_{1,1},t_{1,1},1)>f_2(q_{1,1}{,t'}_r,0)}

by mildly extending the promotion period from Failed to parse (MathML with SVG or PNG fallback (recommended for modern browsers and accessibility tools): Invalid response ("Math extension cannot connect to Restbase.") from server "https://mathoid.scipedia.com/localhost/v1/":): {\textstyle [t_s,t_e]}
to Failed to parse (MathML with SVG or PNG fallback (recommended for modern browsers and accessibility tools): Invalid response ("Math extension cannot connect to Restbase.") from server "https://mathoid.scipedia.com/localhost/v1/":): {\textstyle {[t_s,t'}_e]}

, where Failed to parse (MathML with SVG or PNG fallback (recommended for modern browsers and accessibility tools): Invalid response ("Math extension cannot connect to Restbase.") from server "https://mathoid.scipedia.com/localhost/v1/":): {\textstyle {t'}_e={({(m+1)}Q^*-S^*)}/D} . It is straightforward that Lemmas 1-3 hold for the alternative promotion period Failed to parse (MathML with SVG or PNG fallback (recommended for modern browsers and accessibility tools): Invalid response ("Math extension cannot connect to Restbase.") from server "https://mathoid.scipedia.com/localhost/v1/":): {\textstyle {[t_s,t'}_e]} . Following Lemma 2(i) and Failed to parse (MathML with SVG or PNG fallback (recommended for modern browsers and accessibility tools): Invalid response ("Math extension cannot connect to Restbase.") from server "https://mathoid.scipedia.com/localhost/v1/":): {\textstyle {f_0(t'}_r)=f_1(t'_e)=0} , we have Failed to parse (MathML with SVG or PNG fallback (recommended for modern browsers and accessibility tools): Invalid response ("Math extension cannot connect to Restbase.") from server "https://mathoid.scipedia.com/localhost/v1/":): {\textstyle f_1(q_{1,1},t_{1,1},1)>f_1(q_{1,1}{,t'}_e,1_=f_2(q_{1,1}{,t'}_r,0)} . Combining the above analysis, we have Failed to parse (MathML with SVG or PNG fallback (recommended for modern browsers and accessibility tools): Invalid response ("Math extension cannot connect to Restbase.") from server "https://mathoid.scipedia.com/localhost/v1/":): {\textstyle f_1(q_{1,1},t_{1,1},1)>f_2(q_{2,0},t_{2,0},0)} . Thus, Failed to parse (MathML with SVG or PNG fallback (recommended for modern browsers and accessibility tools): Invalid response ("Math extension cannot connect to Restbase.") from server "https://mathoid.scipedia.com/localhost/v1/":): {\textstyle n^*=0} .

Case 1.2: Failed to parse (MathML with SVG or PNG fallback (recommended for modern browsers and accessibility tools): Invalid response ("Math extension cannot connect to Restbase.") from server "https://mathoid.scipedia.com/localhost/v1/":): {\textstyle {t'}_r<t_s} . Suppose that Failed to parse (MathML with SVG or PNG fallback (recommended for modern browsers and accessibility tools): Invalid response ("Math extension cannot connect to Restbase.") from server "https://mathoid.scipedia.com/localhost/v1/":): {\textstyle c_f\geqslant \sqrt{2Ah/D}} , following Failed to parse (MathML with SVG or PNG fallback (recommended for modern browsers and accessibility tools): Invalid response ("Math extension cannot connect to Restbase.") from server "https://mathoid.scipedia.com/localhost/v1/":): {\textstyle S^*=0}

and Failed to parse (MathML with SVG or PNG fallback (recommended for modern browsers and accessibility tools): Invalid response ("Math extension cannot connect to Restbase.") from server "https://mathoid.scipedia.com/localhost/v1/":): {\textstyle t_s\leqslant Q^*/D}

, we have Failed to parse (MathML with SVG or PNG fallback (recommended for modern browsers and accessibility tools): Invalid response ("Math extension cannot connect to Restbase.") from server "https://mathoid.scipedia.com/localhost/v1/":): {\textstyle t_s\leqslant {t'}_r} , which contradicts with Failed to parse (MathML with SVG or PNG fallback (recommended for modern browsers and accessibility tools): Invalid response ("Math extension cannot connect to Restbase.") from server "https://mathoid.scipedia.com/localhost/v1/":): {\textstyle {t'}_r<t_s} . Thus, Failed to parse (MathML with SVG or PNG fallback (recommended for modern browsers and accessibility tools): Invalid response ("Math extension cannot connect to Restbase.") from server "https://mathoid.scipedia.com/localhost/v1/":): {\textstyle c_f<\sqrt{2Ah/D}} . It is evident that when Failed to parse (MathML with SVG or PNG fallback (recommended for modern browsers and accessibility tools): Invalid response ("Math extension cannot connect to Restbase.") from server "https://mathoid.scipedia.com/localhost/v1/":): {\textstyle c_f<\sqrt{2Ah/D}} , Failed to parse (MathML with SVG or PNG fallback (recommended for modern browsers and accessibility tools): Invalid response ("Math extension cannot connect to Restbase.") from server "https://mathoid.scipedia.com/localhost/v1/":): {\textstyle \bar{t}_0>mQ^*/D}

if and only if Failed to parse (MathML with SVG or PNG fallback (recommended for modern browsers and accessibility tools): Invalid response ("Math extension cannot connect to Restbase.") from server "https://mathoid.scipedia.com/localhost/v1/":): {\textstyle (1-\gamma )wD>0}

, which always holds because Failed to parse (MathML with SVG or PNG fallback (recommended for modern browsers and accessibility tools): Invalid response ("Math extension cannot connect to Restbase.") from server "https://mathoid.scipedia.com/localhost/v1/":): {\textstyle 0<\gamma{<1}} . Following Failed to parse (MathML with SVG or PNG fallback (recommended for modern browsers and accessibility tools): Invalid response ("Math extension cannot connect to Restbase.") from server "https://mathoid.scipedia.com/localhost/v1/":): {\textstyle \bar{t}_0>mQ^*/D}

and Failed to parse (MathML with SVG or PNG fallback (recommended for modern browsers and accessibility tools): Invalid response ("Math extension cannot connect to Restbase.") from server "https://mathoid.scipedia.com/localhost/v1/":): {\textstyle mQ^*/D\geqslant t_s}

, we have Failed to parse (MathML with SVG or PNG fallback (recommended for modern browsers and accessibility tools): Invalid response ("Math extension cannot connect to Restbase.") from server "https://mathoid.scipedia.com/localhost/v1/":): {\textstyle \bar{t}_0>t_s} . We then prove the result by extending the promotion period from Failed to parse (MathML with SVG or PNG fallback (recommended for modern browsers and accessibility tools): Invalid response ("Math extension cannot connect to Restbase.") from server "https://mathoid.scipedia.com/localhost/v1/":): {\textstyle [t_s,t_e]}

to Failed to parse (MathML with SVG or PNG fallback (recommended for modern browsers and accessibility tools): Invalid response ("Math extension cannot connect to Restbase.") from server "https://mathoid.scipedia.com/localhost/v1/":): {\textstyle {[t'}t'_e]_e]}

, where Failed to parse (MathML with SVG or PNG fallback (recommended for modern browsers and accessibility tools): Invalid response ("Math extension cannot connect to Restbase.") from server "https://mathoid.scipedia.com/localhost/v1/":): {\textstyle {t'}_s=t'_r}

and Failed to parse (MathML with SVG or PNG fallback (recommended for modern browsers and accessibility tools): Invalid response ("Math extension cannot connect to Restbase.") from server "https://mathoid.scipedia.com/localhost/v1/":): {\textstyle {t'}_e={({(m+1)}Q^*-S^*)}/D}

. Note that Lemmas 1-3 still hold for the alternative promotion period Failed to parse (MathML with SVG or PNG fallback (recommended for modern browsers and accessibility tools): Invalid response ("Math extension cannot connect to Restbase.") from server "https://mathoid.scipedia.com/localhost/v1/":): {\textstyle {[t'}t'_e]_e]} . Following Lemma 2(i) and Failed to parse (MathML with SVG or PNG fallback (recommended for modern browsers and accessibility tools): Invalid response ("Math extension cannot connect to Restbase.") from server "https://mathoid.scipedia.com/localhost/v1/":): {\textstyle {f_0(t'}_r)=f_1(t'_e)=0} , we have Failed to parse (MathML with SVG or PNG fallback (recommended for modern browsers and accessibility tools): Invalid response ("Math extension cannot connect to Restbase.") from server "https://mathoid.scipedia.com/localhost/v1/":): {\textstyle f_1(q_{1,1},t_{1,1},1)>f_1(q_{1,1}{,t'}_e,1_=f_2(q_{1,1}{,t'}_r,0)} . Because Failed to parse (MathML with SVG or PNG fallback (recommended for modern browsers and accessibility tools): Invalid response ("Math extension cannot connect to Restbase.") from server "https://mathoid.scipedia.com/localhost/v1/":): {\textstyle \bar{t}{_0>t'}_r} , Failed to parse (MathML with SVG or PNG fallback (recommended for modern browsers and accessibility tools): Invalid response ("Math extension cannot connect to Restbase.") from server "https://mathoid.scipedia.com/localhost/v1/":): {\textstyle f_2(q_{1,1},t_r,0)}

is strictly decreasing in Failed to parse (MathML with SVG or PNG fallback (recommended for modern browsers and accessibility tools): Invalid response ("Math extension cannot connect to Restbase.") from server "https://mathoid.scipedia.com/localhost/v1/":): {\textstyle t_r}
when Failed to parse (MathML with SVG or PNG fallback (recommended for modern browsers and accessibility tools): Invalid response ("Math extension cannot connect to Restbase.") from server "https://mathoid.scipedia.com/localhost/v1/":): {\textstyle t_r\in [{{t'}_r},{{t''}_r}]}

, where Failed to parse (MathML with SVG or PNG fallback (recommended for modern browsers and accessibility tools): Invalid response ("Math extension cannot connect to Restbase.") from server "https://mathoid.scipedia.com/localhost/v1/":): {\textstyle {t''}_r=\min \{ \bar{t}_0,t_e\} }

satisfying Failed to parse (MathML with SVG or PNG fallback (recommended for modern browsers and accessibility tools): Invalid response ("Math extension cannot connect to Restbase.") from server "https://mathoid.scipedia.com/localhost/v1/":): {\textstyle {t''}_r\in [t_s,t_e]}
(see Lemma 2). Thus, Failed to parse (MathML with SVG or PNG fallback (recommended for modern browsers and accessibility tools): Invalid response ("Math extension cannot connect to Restbase.") from server "https://mathoid.scipedia.com/localhost/v1/":): {\textstyle f_2(q_{1,1}{,t'}_r,0_>f_2(q_{1,1}{,t''}_r,0)}

. Given that Failed to parse (MathML with SVG or PNG fallback (recommended for modern browsers and accessibility tools): Invalid response ("Math extension cannot connect to Restbase.") from server "https://mathoid.scipedia.com/localhost/v1/":): {\textstyle {t''}_r\in [t_s,t_e]}

and that Failed to parse (MathML with SVG or PNG fallback (recommended for modern browsers and accessibility tools): Invalid response ("Math extension cannot connect to Restbase.") from server "https://mathoid.scipedia.com/localhost/v1/":): {\textstyle (q_{2,0},t_{2,0})}
is the minimizer of Failed to parse (MathML with SVG or PNG fallback (recommended for modern browsers and accessibility tools): Invalid response ("Math extension cannot connect to Restbase.") from server "https://mathoid.scipedia.com/localhost/v1/":): {\textstyle f_2(q_r,t_r,0)}
under the condition of the promotion period being Failed to parse (MathML with SVG or PNG fallback (recommended for modern browsers and accessibility tools): Invalid response ("Math extension cannot connect to Restbase.") from server "https://mathoid.scipedia.com/localhost/v1/":): {\textstyle [t_s,t_e]}

, we have Failed to parse (MathML with SVG or PNG fallback (recommended for modern browsers and accessibility tools): Invalid response ("Math extension cannot connect to Restbase.") from server "https://mathoid.scipedia.com/localhost/v1/":): {\textstyle f_2(q_{1,1}{,t''}_r,0)\geqslant f_2(q_{2,0},t_{2,0},0)} . Based on the above, we conclude that Failed to parse (MathML with SVG or PNG fallback (recommended for modern browsers and accessibility tools): Invalid response ("Math extension cannot connect to Restbase.") from server "https://mathoid.scipedia.com/localhost/v1/":): {\textstyle f_1(q_{1,1},t_{1,1},1)>f_2(q_{2,0},t_{2,0},0)}

that is, Failed to parse (MathML with SVG or PNG fallback (recommended for modern browsers and accessibility tools): Invalid response ("Math extension cannot connect to Restbase.") from server "https://mathoid.scipedia.com/localhost/v1/":): {\textstyle n^*=0}

.


Case 2: Failed to parse (MathML with SVG or PNG fallback (recommended for modern browsers and accessibility tools): Invalid response ("Math extension cannot connect to Restbase.") from server "https://mathoid.scipedia.com/localhost/v1/":): {\textstyle t_e\geqslant ((m+1)Q^*-S^*)/D} . By Lemmas 3 and 4, the retailer's minimum total cost is Failed to parse (MathML with SVG or PNG fallback (recommended for modern browsers and accessibility tools): Invalid response ("Math extension cannot connect to Restbase.") from server "https://mathoid.scipedia.com/localhost/v1/":): {\textstyle f_2(q_{2,1},t_{2,1},1)}

if the retailer places a regular order at time Failed to parse (MathML with SVG or PNG fallback (recommended for modern browsers and accessibility tools): Invalid response ("Math extension cannot connect to Restbase.") from server "https://mathoid.scipedia.com/localhost/v1/":): {\textstyle t_f}
otherwise, its minimum total cost is Failed to parse (MathML with SVG or PNG fallback (recommended for modern browsers and accessibility tools): Invalid response ("Math extension cannot connect to Restbase.") from server "https://mathoid.scipedia.com/localhost/v1/":): {\textstyle f_2(q_{2,0},t_{2,0},0)}

. If Failed to parse (MathML with SVG or PNG fallback (recommended for modern browsers and accessibility tools): Invalid response ("Math extension cannot connect to Restbase.") from server "https://mathoid.scipedia.com/localhost/v1/":): {\textstyle c_f\geqslant \sqrt{2Ah/D}+(1-\gamma )wD} , then Failed to parse (MathML with SVG or PNG fallback (recommended for modern browsers and accessibility tools): Invalid response ("Math extension cannot connect to Restbase.") from server "https://mathoid.scipedia.com/localhost/v1/":): {\textstyle t_{2,1}=(m+1)Q^*/D}

(see Lemma 3(ii)). Otherwise, following Failed to parse (MathML with SVG or PNG fallback (recommended for modern browsers and accessibility tools): Invalid response ("Math extension cannot connect to Restbase.") from server "https://mathoid.scipedia.com/localhost/v1/":): {\textstyle \bar{t}_1>(m+1)Q^*/D>t_s}

, Failed to parse (MathML with SVG or PNG fallback (recommended for modern browsers and accessibility tools): Invalid response ("Math extension cannot connect to Restbase.") from server "https://mathoid.scipedia.com/localhost/v1/":): {\textstyle t_e\geqslant ((m+1)Q^*-S^*)/D} , and Lemma 3(ii), we have Failed to parse (MathML with SVG or PNG fallback (recommended for modern browsers and accessibility tools): Invalid response ("Math extension cannot connect to Restbase.") from server "https://mathoid.scipedia.com/localhost/v1/":): {\textstyle t_{2,1}\geqslant ((m+1)Q^*-S^*)/D} . Let Failed to parse (MathML with SVG or PNG fallback (recommended for modern browsers and accessibility tools): Invalid response ("Math extension cannot connect to Restbase.") from server "https://mathoid.scipedia.com/localhost/v1/":): {\textstyle {t'}_{2,1}=t_{2,1}-Q^*/D} , then Failed to parse (MathML with SVG or PNG fallback (recommended for modern browsers and accessibility tools): Invalid response ("Math extension cannot connect to Restbase.") from server "https://mathoid.scipedia.com/localhost/v1/":): {\textstyle {t'}_{2,1}\in [(mQ^*-S^*)/D,t_e]} . Using Failed to parse (MathML with SVG or PNG fallback (recommended for modern browsers and accessibility tools): Invalid response ("Math extension cannot connect to Restbase.") from server "https://mathoid.scipedia.com/localhost/v1/":): {\textstyle {f_0(t'}_{2,1})=f_1(t_{2,1})} , we have Failed to parse (MathML with SVG or PNG fallback (recommended for modern browsers and accessibility tools): Invalid response ("Math extension cannot connect to Restbase.") from server "https://mathoid.scipedia.com/localhost/v1/":): {\textstyle f_2(q_{2,1},t_{2,1},1)= f_2(q_{2,1}{,t'}_{2,1},0)} . In this sense, the retailer places a regular order at time Failed to parse (MathML with SVG or PNG fallback (recommended for modern browsers and accessibility tools): Invalid response ("Math extension cannot connect to Restbase.") from server "https://mathoid.scipedia.com/localhost/v1/":): {\textstyle t_f}

(i.e., Failed to parse (MathML with SVG or PNG fallback (recommended for modern browsers and accessibility tools): Invalid response ("Math extension cannot connect to Restbase.") from server "https://mathoid.scipedia.com/localhost/v1/":): {\textstyle n^*=1}

) if and only if Failed to parse (MathML with SVG or PNG fallback (recommended for modern browsers and accessibility tools): Invalid response ("Math extension cannot connect to Restbase.") from server "https://mathoid.scipedia.com/localhost/v1/":): {\textstyle f_2(q_{2,1}{,t'}_{2,1},0)\leqslant f_2(q_{2,0},t_{2,0},0)} . Specifically, if Failed to parse (MathML with SVG or PNG fallback (recommended for modern browsers and accessibility tools): Invalid response ("Math extension cannot connect to Restbase.") from server "https://mathoid.scipedia.com/localhost/v1/":): {\textstyle {t'}_{2,1}\geqslant t_s} , using Failed to parse (MathML with SVG or PNG fallback (recommended for modern browsers and accessibility tools): Invalid response ("Math extension cannot connect to Restbase.") from server "https://mathoid.scipedia.com/localhost/v1/":): {\textstyle {t'}_{21}\in [t_s,t_e]} , we have Failed to parse (MathML with SVG or PNG fallback (recommended for modern browsers and accessibility tools): Invalid response ("Math extension cannot connect to Restbase.") from server "https://mathoid.scipedia.com/localhost/v1/":): {\textstyle f_2(q_{2,0},t_{2,0},0)\leqslant f_2(q_{2,1}{,t'}_{2,1},0)} , where Failed to parse (MathML with SVG or PNG fallback (recommended for modern browsers and accessibility tools): Invalid response ("Math extension cannot connect to Restbase.") from server "https://mathoid.scipedia.com/localhost/v1/":): {\textstyle (q_{2,0},t_{2,0})}

is the minimizer of Failed to parse (MathML with SVG or PNG fallback (recommended for modern browsers and accessibility tools): Invalid response ("Math extension cannot connect to Restbase.") from server "https://mathoid.scipedia.com/localhost/v1/":): {\textstyle f_2(q_{r},t_{r},0)}

. Thus, Failed to parse (MathML with SVG or PNG fallback (recommended for modern browsers and accessibility tools): Invalid response ("Math extension cannot connect to Restbase.") from server "https://mathoid.scipedia.com/localhost/v1/":): {\textstyle n^*=0} . Alternatively, if Failed to parse (MathML with SVG or PNG fallback (recommended for modern browsers and accessibility tools): Invalid response ("Math extension cannot connect to Restbase.") from server "https://mathoid.scipedia.com/localhost/v1/":): {\textstyle {t'}_{2,1}< t_s} , the discussion is further divided into the following two subcases based on the relationship between Failed to parse (MathML with SVG or PNG fallback (recommended for modern browsers and accessibility tools): Invalid response ("Math extension cannot connect to Restbase.") from server "https://mathoid.scipedia.com/localhost/v1/":): {\textstyle \bar{t}_0}

and Failed to parse (MathML with SVG or PNG fallback (recommended for modern browsers and accessibility tools): Invalid response ("Math extension cannot connect to Restbase.") from server "https://mathoid.scipedia.com/localhost/v1/":): {\textstyle t_e}

. Note that Failed to parse (MathML with SVG or PNG fallback (recommended for modern browsers and accessibility tools): Invalid response ("Math extension cannot connect to Restbase.") from server "https://mathoid.scipedia.com/localhost/v1/":): {\textstyle {t'}_{2,1}<t_s\leqslant t_{2,0}} .

Case 2.1: Failed to parse (MathML with SVG or PNG fallback (recommended for modern browsers and accessibility tools): Invalid response ("Math extension cannot connect to Restbase.") from server "https://mathoid.scipedia.com/localhost/v1/":): {\textstyle \bar{t}_0< t_e} . Suppose that Failed to parse (MathML with SVG or PNG fallback (recommended for modern browsers and accessibility tools): Invalid response ("Math extension cannot connect to Restbase.") from server "https://mathoid.scipedia.com/localhost/v1/":): {\textstyle c_f\geqslant \sqrt{2Ah/D}} , then Failed to parse (MathML with SVG or PNG fallback (recommended for modern browsers and accessibility tools): Invalid response ("Math extension cannot connect to Restbase.") from server "https://mathoid.scipedia.com/localhost/v1/":): {\textstyle S^*=0} . Using Failed to parse (MathML with SVG or PNG fallback (recommended for modern browsers and accessibility tools): Invalid response ("Math extension cannot connect to Restbase.") from server "https://mathoid.scipedia.com/localhost/v1/":): {\textstyle S^*=0} , Failed to parse (MathML with SVG or PNG fallback (recommended for modern browsers and accessibility tools): Invalid response ("Math extension cannot connect to Restbase.") from server "https://mathoid.scipedia.com/localhost/v1/":): {\textstyle t_s\leqslant mQ^*/D} , and Failed to parse (MathML with SVG or PNG fallback (recommended for modern browsers and accessibility tools): Invalid response ("Math extension cannot connect to Restbase.") from server "https://mathoid.scipedia.com/localhost/v1/":): {\textstyle {t'}_{2,1}\geqslant (mQ^*-S^*)/D} , we have Failed to parse (MathML with SVG or PNG fallback (recommended for modern browsers and accessibility tools): Invalid response ("Math extension cannot connect to Restbase.") from server "https://mathoid.scipedia.com/localhost/v1/":): {\textstyle t_s\leqslant {t'}_{2,1}} , which contradicts with Failed to parse (MathML with SVG or PNG fallback (recommended for modern browsers and accessibility tools): Invalid response ("Math extension cannot connect to Restbase.") from server "https://mathoid.scipedia.com/localhost/v1/":): {\textstyle {t'}_{2,1}<t_s} . Hence, Failed to parse (MathML with SVG or PNG fallback (recommended for modern browsers and accessibility tools): Invalid response ("Math extension cannot connect to Restbase.") from server "https://mathoid.scipedia.com/localhost/v1/":): {\textstyle c_f<\sqrt{2Ah/D}} . Following Failed to parse (MathML with SVG or PNG fallback (recommended for modern browsers and accessibility tools): Invalid response ("Math extension cannot connect to Restbase.") from server "https://mathoid.scipedia.com/localhost/v1/":): {\textstyle c_f<\sqrt{2Ah/D}}

and Failed to parse (MathML with SVG or PNG fallback (recommended for modern browsers and accessibility tools): Invalid response ("Math extension cannot connect to Restbase.") from server "https://mathoid.scipedia.com/localhost/v1/":): {\textstyle 0<\gamma{<1}}

, we have Failed to parse (MathML with SVG or PNG fallback (recommended for modern browsers and accessibility tools): Invalid response ("Math extension cannot connect to Restbase.") from server "https://mathoid.scipedia.com/localhost/v1/":): {\textstyle \bar{t}_0\geqslant mQ^*/D}

and thus Failed to parse (MathML with SVG or PNG fallback (recommended for modern browsers and accessibility tools): Invalid response ("Math extension cannot connect to Restbase.") from server "https://mathoid.scipedia.com/localhost/v1/":): {\textstyle \bar{t}_0\geqslant t_s}

. The result will be proven by replacing Failed to parse (MathML with SVG or PNG fallback (recommended for modern browsers and accessibility tools): Invalid response ("Math extension cannot connect to Restbase.") from server "https://mathoid.scipedia.com/localhost/v1/":): {\textstyle [t_s,t_e]}

with Failed to parse (MathML with SVG or PNG fallback (recommended for modern browsers and accessibility tools): Invalid response ("Math extension cannot connect to Restbase.") from server "https://mathoid.scipedia.com/localhost/v1/":): {\textstyle {[t'}_{2,1},t_{2,0}]}

. Lemmas 1-3 still hold for the promotion period Failed to parse (MathML with SVG or PNG fallback (recommended for modern browsers and accessibility tools): Invalid response ("Math extension cannot connect to Restbase.") from server "https://mathoid.scipedia.com/localhost/v1/":): {\textstyle {[t'}_{2,1},t_{2,0}]} . By Failed to parse (MathML with SVG or PNG fallback (recommended for modern browsers and accessibility tools): Invalid response ("Math extension cannot connect to Restbase.") from server "https://mathoid.scipedia.com/localhost/v1/":): {\textstyle c_f<\sqrt{2Ah/D}} , Failed to parse (MathML with SVG or PNG fallback (recommended for modern browsers and accessibility tools): Invalid response ("Math extension cannot connect to Restbase.") from server "https://mathoid.scipedia.com/localhost/v1/":): {\textstyle t_s\leqslant \bar{t}_0<t_e} , and Lemma 3 (ii), we have Failed to parse (MathML with SVG or PNG fallback (recommended for modern browsers and accessibility tools): Invalid response ("Math extension cannot connect to Restbase.") from server "https://mathoid.scipedia.com/localhost/v1/":): {\textstyle t_{2,0}=\bar{t}_0} . Thus, Failed to parse (MathML with SVG or PNG fallback (recommended for modern browsers and accessibility tools): Invalid response ("Math extension cannot connect to Restbase.") from server "https://mathoid.scipedia.com/localhost/v1/":): {\textstyle f_2(q_r,t_r,0)}

is strictly decreasing in Failed to parse (MathML with SVG or PNG fallback (recommended for modern browsers and accessibility tools): Invalid response ("Math extension cannot connect to Restbase.") from server "https://mathoid.scipedia.com/localhost/v1/":): {\textstyle t_r}
when Failed to parse (MathML with SVG or PNG fallback (recommended for modern browsers and accessibility tools): Invalid response ("Math extension cannot connect to Restbase.") from server "https://mathoid.scipedia.com/localhost/v1/":): {\textstyle t_r\in {[t'}_{2,0},t_{2,0}]}
(see Lemma 2). In this sense, we have that Failed to parse (MathML with SVG or PNG fallback (recommended for modern browsers and accessibility tools): Invalid response ("Math extension cannot connect to Restbase.") from server "https://mathoid.scipedia.com/localhost/v1/":): {\textstyle f_2(q_{2,1}{,t'}_{2,1},0)> f_2(q_{2,1},t_{2,0},0)\geqslant f_2(q_{2,0},t_{2,0},0)}

, where Failed to parse (MathML with SVG or PNG fallback (recommended for modern browsers and accessibility tools): Invalid response ("Math extension cannot connect to Restbase.") from server "https://mathoid.scipedia.com/localhost/v1/":): {\textstyle (q_{2,0},t_{2,0})}

is the minimizer of Failed to parse (MathML with SVG or PNG fallback (recommended for modern browsers and accessibility tools): Invalid response ("Math extension cannot connect to Restbase.") from server "https://mathoid.scipedia.com/localhost/v1/":): {\textstyle f_2(q_r,t_r,0)}
under the condition of the promotion period being Failed to parse (MathML with SVG or PNG fallback (recommended for modern browsers and accessibility tools): Invalid response ("Math extension cannot connect to Restbase.") from server "https://mathoid.scipedia.com/localhost/v1/":): {\textstyle [t_s,t_e]}

. Thus, Failed to parse (MathML with SVG or PNG fallback (recommended for modern browsers and accessibility tools): Invalid response ("Math extension cannot connect to Restbase.") from server "https://mathoid.scipedia.com/localhost/v1/":): {\textstyle n^*=0} .

Case 2.2: Failed to parse (MathML with SVG or PNG fallback (recommended for modern browsers and accessibility tools): Invalid response ("Math extension cannot connect to Restbase.") from server "https://mathoid.scipedia.com/localhost/v1/":): {\textstyle \bar{t}_0\geqslant t_e} . By Lemma 3 (ii), we have Failed to parse (MathML with SVG or PNG fallback (recommended for modern browsers and accessibility tools): Invalid response ("Math extension cannot connect to Restbase.") from server "https://mathoid.scipedia.com/localhost/v1/":): {\textstyle t_{2,0}=t_e} . We prove by replacing Failed to parse (MathML with SVG or PNG fallback (recommended for modern browsers and accessibility tools): Invalid response ("Math extension cannot connect to Restbase.") from server "https://mathoid.scipedia.com/localhost/v1/":): {\textstyle [t_s,t_e]}

with Failed to parse (MathML with SVG or PNG fallback (recommended for modern browsers and accessibility tools): Invalid response ("Math extension cannot connect to Restbase.") from server "https://mathoid.scipedia.com/localhost/v1/":): {\textstyle {[t'}_{2,1},t_{2,0}]}

. Lemmas 1-3 hold for Failed to parse (MathML with SVG or PNG fallback (recommended for modern browsers and accessibility tools): Invalid response ("Math extension cannot connect to Restbase.") from server "https://mathoid.scipedia.com/localhost/v1/":): {\textstyle {[t'}_{2,1},t_{2,0}]} . Following Failed to parse (MathML with SVG or PNG fallback (recommended for modern browsers and accessibility tools): Invalid response ("Math extension cannot connect to Restbase.") from server "https://mathoid.scipedia.com/localhost/v1/":): {\textstyle \bar{t}_{0}\geqslant t_e}

and Failed to parse (MathML with SVG or PNG fallback (recommended for modern browsers and accessibility tools): Invalid response ("Math extension cannot connect to Restbase.") from server "https://mathoid.scipedia.com/localhost/v1/":): {\textstyle t_e=t_{2,0}}

, we have that Failed to parse (MathML with SVG or PNG fallback (recommended for modern browsers and accessibility tools): Invalid response ("Math extension cannot connect to Restbase.") from server "https://mathoid.scipedia.com/localhost/v1/":): {\textstyle f_2(q_r,t_r,0)}

is strictly decreasing in Failed to parse (MathML with SVG or PNG fallback (recommended for modern browsers and accessibility tools): Invalid response ("Math extension cannot connect to Restbase.") from server "https://mathoid.scipedia.com/localhost/v1/":): {\textstyle t_r}
when Failed to parse (MathML with SVG or PNG fallback (recommended for modern browsers and accessibility tools): Invalid response ("Math extension cannot connect to Restbase.") from server "https://mathoid.scipedia.com/localhost/v1/":): {\textstyle t_r\in {[t'}_{2,1},t_{2,0}]}

. Thus, Failed to parse (MathML with SVG or PNG fallback (recommended for modern browsers and accessibility tools): Invalid response ("Math extension cannot connect to Restbase.") from server "https://mathoid.scipedia.com/localhost/v1/":): {\textstyle f_2(q_{2,1}{,t'}_{2,1},0)> f_2(q_{2,1},t_{2,0},0)\geqslant f_2(q_{2,0},t_{2,0},0)}

(i.e., Failed to parse (MathML with SVG or PNG fallback (recommended for modern browsers and accessibility tools): Invalid response ("Math extension cannot connect to Restbase.") from server "https://mathoid.scipedia.com/localhost/v1/":): {\textstyle n^*=0}

), where Failed to parse (MathML with SVG or PNG fallback (recommended for modern browsers and accessibility tools): Invalid response ("Math extension cannot connect to Restbase.") from server "https://mathoid.scipedia.com/localhost/v1/":): {\textstyle (q_{2,0},t_{2,0})}

is the minimizer of Failed to parse (MathML with SVG or PNG fallback (recommended for modern browsers and accessibility tools): Invalid response ("Math extension cannot connect to Restbase.") from server "https://mathoid.scipedia.com/localhost/v1/":): {\textstyle f_2(q_r,t_r,0)}
under the condition of the promotion period being Failed to parse (MathML with SVG or PNG fallback (recommended for modern browsers and accessibility tools): Invalid response ("Math extension cannot connect to Restbase.") from server "https://mathoid.scipedia.com/localhost/v1/":): {\textstyle [t_s,t_e]}

.


Proof of Proposition 2: Let Failed to parse (MathML with SVG or PNG fallback (recommended for modern browsers and accessibility tools): Invalid response ("Math extension cannot connect to Restbase.") from server "https://mathoid.scipedia.com/localhost/v1/":): {\textstyle g(\gamma )=q_{0}+f_0(t_{0})-(Q^*-S^*)} , the result directly follows from Failed to parse (MathML with SVG or PNG fallback (recommended for modern browsers and accessibility tools): Invalid response ("Math extension cannot connect to Restbase.") from server "https://mathoid.scipedia.com/localhost/v1/":): {\textstyle g(\gamma )=((1-\gamma )wD+h(Q^*-S^*))/\gamma h>0}

and Failed to parse (MathML with SVG or PNG fallback (recommended for modern browsers and accessibility tools): Invalid response ("Math extension cannot connect to Restbase.") from server "https://mathoid.scipedia.com/localhost/v1/":): {\textstyle \mathrm{d} g(\gamma )/\mathrm{d}\gamma=-(wD+h(Q^*-S^*))/\gamma ^2h<0}

.


Proof of Proposition 3: Following Failed to parse (MathML with SVG or PNG fallback (recommended for modern browsers and accessibility tools): Invalid response ("Math extension cannot connect to Restbase.") from server "https://mathoid.scipedia.com/localhost/v1/":): {\textstyle c_f\geqslant \sqrt{2Ah/D}} , we have Failed to parse (MathML with SVG or PNG fallback (recommended for modern browsers and accessibility tools): Invalid response ("Math extension cannot connect to Restbase.") from server "https://mathoid.scipedia.com/localhost/v1/":): {\textstyle Q^*=\sqrt{2AD/h}}

and Failed to parse (MathML with SVG or PNG fallback (recommended for modern browsers and accessibility tools): Invalid response ("Math extension cannot connect to Restbase.") from server "https://mathoid.scipedia.com/localhost/v1/":): {\textstyle S^*=0}

, indicating that shortages cannot make the retailer better off through regular EOQ orders. We then prove by showing that the minimum inventory level in the promotion period is negative (i.e., Failed to parse (MathML with SVG or PNG fallback (recommended for modern browsers and accessibility tools): Invalid response ("Math extension cannot connect to Restbase.") from server "https://mathoid.scipedia.com/localhost/v1/":): {\textstyle f_0(t_0)<0} ). Using Failed to parse (MathML with SVG or PNG fallback (recommended for modern browsers and accessibility tools): Invalid response ("Math extension cannot connect to Restbase.") from server "https://mathoid.scipedia.com/localhost/v1/":): {\textstyle t_e>mQ^*/D}

and Lemma 4, we have Failed to parse (MathML with SVG or PNG fallback (recommended for modern browsers and accessibility tools): Invalid response ("Math extension cannot connect to Restbase.") from server "https://mathoid.scipedia.com/localhost/v1/":): {\textstyle t_0=t_{2,0}}

. From Failed to parse (MathML with SVG or PNG fallback (recommended for modern browsers and accessibility tools): Invalid response ("Math extension cannot connect to Restbase.") from server "https://mathoid.scipedia.com/localhost/v1/":): {\textstyle c_f<\sqrt{2Ah/D}+(1-\gamma )w/D} , we have Failed to parse (MathML with SVG or PNG fallback (recommended for modern browsers and accessibility tools): Invalid response ("Math extension cannot connect to Restbase.") from server "https://mathoid.scipedia.com/localhost/v1/":): {\textstyle \bar{t}_0>mQ^*/D}

and thus Failed to parse (MathML with SVG or PNG fallback (recommended for modern browsers and accessibility tools): Invalid response ("Math extension cannot connect to Restbase.") from server "https://mathoid.scipedia.com/localhost/v1/":): {\textstyle \bar{t}_0>t_s}

. According to Failed to parse (MathML with SVG or PNG fallback (recommended for modern browsers and accessibility tools): Invalid response ("Math extension cannot connect to Restbase.") from server "https://mathoid.scipedia.com/localhost/v1/":): {\textstyle c_f<\sqrt{2Ah/D}+(1-\gamma )w/D}

and Failed to parse (MathML with SVG or PNG fallback (recommended for modern browsers and accessibility tools): Invalid response ("Math extension cannot connect to Restbase.") from server "https://mathoid.scipedia.com/localhost/v1/":): {\textstyle \bar{t}_0>t_s}

, we have Failed to parse (MathML with SVG or PNG fallback (recommended for modern browsers and accessibility tools): Invalid response ("Math extension cannot connect to Restbase.") from server "https://mathoid.scipedia.com/localhost/v1/":): {\textstyle t_{2,0}=\min \{ t_e,\bar{t}_0\} }

(see Lemma 3(ii)). Given that Failed to parse (MathML with SVG or PNG fallback (recommended for modern browsers and accessibility tools): Invalid response ("Math extension cannot connect to Restbase.") from server "https://mathoid.scipedia.com/localhost/v1/":): {\textstyle t_e>mQ^*/D}
and Failed to parse (MathML with SVG or PNG fallback (recommended for modern browsers and accessibility tools): Invalid response ("Math extension cannot connect to Restbase.") from server "https://mathoid.scipedia.com/localhost/v1/":): {\textstyle \bar{t}_0>mQ^*/D}

, Failed to parse (MathML with SVG or PNG fallback (recommended for modern browsers and accessibility tools): Invalid response ("Math extension cannot connect to Restbase.") from server "https://mathoid.scipedia.com/localhost/v1/":): {\textstyle t_{2,0}>mQ^*/D} . Thus, Failed to parse (MathML with SVG or PNG fallback (recommended for modern browsers and accessibility tools): Invalid response ("Math extension cannot connect to Restbase.") from server "https://mathoid.scipedia.com/localhost/v1/":): {\textstyle f_0(t_0)=f_0(t_{2,0})<0} .


Proof of Proposition 4: (i) If Failed to parse (MathML with SVG or PNG fallback (recommended for modern browsers and accessibility tools): Invalid response ("Math extension cannot connect to Restbase.") from server "https://mathoid.scipedia.com/localhost/v1/":): {\textstyle f_0(t_0)<0} , then Failed to parse (MathML with SVG or PNG fallback (recommended for modern browsers and accessibility tools): Invalid response ("Math extension cannot connect to Restbase.") from server "https://mathoid.scipedia.com/localhost/v1/":): {\textstyle t_0>(mQ^*-S^*)/D} . Suppose that Failed to parse (MathML with SVG or PNG fallback (recommended for modern browsers and accessibility tools): Invalid response ("Math extension cannot connect to Restbase.") from server "https://mathoid.scipedia.com/localhost/v1/":): {\textstyle t_0=t_{1,0}} , we have Failed to parse (MathML with SVG or PNG fallback (recommended for modern browsers and accessibility tools): Invalid response ("Math extension cannot connect to Restbase.") from server "https://mathoid.scipedia.com/localhost/v1/":): {\textstyle f_0(t_0)\geqslant 0} , which yields a contradiction. Thus, Failed to parse (MathML with SVG or PNG fallback (recommended for modern browsers and accessibility tools): Invalid response ("Math extension cannot connect to Restbase.") from server "https://mathoid.scipedia.com/localhost/v1/":): {\textstyle t_0=t_{2,0}} . Suppose that Failed to parse (MathML with SVG or PNG fallback (recommended for modern browsers and accessibility tools): Invalid response ("Math extension cannot connect to Restbase.") from server "https://mathoid.scipedia.com/localhost/v1/":): {\textstyle c_f\geqslant \sqrt{2Ah/D}+(1-\gamma )w/D} , then Failed to parse (MathML with SVG or PNG fallback (recommended for modern browsers and accessibility tools): Invalid response ("Math extension cannot connect to Restbase.") from server "https://mathoid.scipedia.com/localhost/v1/":): {\textstyle t_{2,0}=(mQ^*-S^*)/D} , wherein Failed to parse (MathML with SVG or PNG fallback (recommended for modern browsers and accessibility tools): Invalid response ("Math extension cannot connect to Restbase.") from server "https://mathoid.scipedia.com/localhost/v1/":): {\textstyle S^*=0} . This contradicts with Failed to parse (MathML with SVG or PNG fallback (recommended for modern browsers and accessibility tools): Invalid response ("Math extension cannot connect to Restbase.") from server "https://mathoid.scipedia.com/localhost/v1/":): {\textstyle t_{2,0}>(mQ^*-S^*)/D} . Following Failed to parse (MathML with SVG or PNG fallback (recommended for modern browsers and accessibility tools): Invalid response ("Math extension cannot connect to Restbase.") from server "https://mathoid.scipedia.com/localhost/v1/":): {\textstyle t_0=t_{2,0}} , Failed to parse (MathML with SVG or PNG fallback (recommended for modern browsers and accessibility tools): Invalid response ("Math extension cannot connect to Restbase.") from server "https://mathoid.scipedia.com/localhost/v1/":): {\textstyle c_f<\sqrt{2Ah/D}+(1-\gamma )w/D} , and Lemma 3(ii), we have Failed to parse (MathML with SVG or PNG fallback (recommended for modern browsers and accessibility tools): Invalid response ("Math extension cannot connect to Restbase.") from server "https://mathoid.scipedia.com/localhost/v1/":): {\textstyle dt_{0}/d\gamma =dt_{2,0}/d\gamma =d\bar{t}_{0}/d\gamma=-w/c_l<0}

if Failed to parse (MathML with SVG or PNG fallback (recommended for modern browsers and accessibility tools): Invalid response ("Math extension cannot connect to Restbase.") from server "https://mathoid.scipedia.com/localhost/v1/":): {\textstyle \bar{t}_{0}\in [t_s,t_e]}
otherwise Failed to parse (MathML with SVG or PNG fallback (recommended for modern browsers and accessibility tools): Invalid response ("Math extension cannot connect to Restbase.") from server "https://mathoid.scipedia.com/localhost/v1/":): {\textstyle dt_{0}/d\gamma =dt_{2,0}/d\gamma=0}

. Alternatively, if Failed to parse (MathML with SVG or PNG fallback (recommended for modern browsers and accessibility tools): Invalid response ("Math extension cannot connect to Restbase.") from server "https://mathoid.scipedia.com/localhost/v1/":): {\textstyle f_0(t_0)\geqslant 0} , then Failed to parse (MathML with SVG or PNG fallback (recommended for modern browsers and accessibility tools): Invalid response ("Math extension cannot connect to Restbase.") from server "https://mathoid.scipedia.com/localhost/v1/":): {\textstyle t_0\leqslant (mQ^*-S^*)/D} . Recall that Failed to parse (MathML with SVG or PNG fallback (recommended for modern browsers and accessibility tools): Invalid response ("Math extension cannot connect to Restbase.") from server "https://mathoid.scipedia.com/localhost/v1/":): {\textstyle \bar{t}_0>mQ^*/D}

holds for all Failed to parse (MathML with SVG or PNG fallback (recommended for modern browsers and accessibility tools): Invalid response ("Math extension cannot connect to Restbase.") from server "https://mathoid.scipedia.com/localhost/v1/":): {\textstyle c_f<\sqrt{2Ah/D}+(1-\gamma )w/D}

. Suppose that Failed to parse (MathML with SVG or PNG fallback (recommended for modern browsers and accessibility tools): Invalid response ("Math extension cannot connect to Restbase.") from server "https://mathoid.scipedia.com/localhost/v1/":): {\textstyle t_0=t_{2,0}}

and Failed to parse (MathML with SVG or PNG fallback (recommended for modern browsers and accessibility tools): Invalid response ("Math extension cannot connect to Restbase.") from server "https://mathoid.scipedia.com/localhost/v1/":): {\textstyle c_f<\sqrt{2Ah/D}+(1-\gamma )w/D}
hold simultaneously, using Failed to parse (MathML with SVG or PNG fallback (recommended for modern browsers and accessibility tools): Invalid response ("Math extension cannot connect to Restbase.") from server "https://mathoid.scipedia.com/localhost/v1/":): {\textstyle \bar{t}_0>mQ^*/D}

, we have Failed to parse (MathML with SVG or PNG fallback (recommended for modern browsers and accessibility tools): Invalid response ("Math extension cannot connect to Restbase.") from server "https://mathoid.scipedia.com/localhost/v1/":): {\textstyle t_0=t_{2,0}>mQ^*/D}

(see Lemma 3(ii)). This contradicts with Failed to parse (MathML with SVG or PNG fallback (recommended for modern browsers and accessibility tools): Invalid response ("Math extension cannot connect to Restbase.") from server "https://mathoid.scipedia.com/localhost/v1/":): {\textstyle t_0\leqslant (mQ^*-S^*)/D}

. Thus, we can conclude that either Failed to parse (MathML with SVG or PNG fallback (recommended for modern browsers and accessibility tools): Invalid response ("Math extension cannot connect to Restbase.") from server "https://mathoid.scipedia.com/localhost/v1/":): {\textstyle t_0=t_{1,0}}

or Failed to parse (MathML with SVG or PNG fallback (recommended for modern browsers and accessibility tools): Invalid response ("Math extension cannot connect to Restbase.") from server "https://mathoid.scipedia.com/localhost/v1/":): {\textstyle t_0=mQ^*/D}
holds, which leads to Failed to parse (MathML with SVG or PNG fallback (recommended for modern browsers and accessibility tools): Invalid response ("Math extension cannot connect to Restbase.") from server "https://mathoid.scipedia.com/localhost/v1/":): {\textstyle dt_0/d\gamma=0}

.

(ii) The result directly follows from Failed to parse (MathML with SVG or PNG fallback (recommended for modern browsers and accessibility tools): Invalid response ("Math extension cannot connect to Restbase.") from server "https://mathoid.scipedia.com/localhost/v1/":): {\textstyle dq_0/d\gamma=-C^*_{ar}/\gamma ^2h<0} .


Proof of Proposition 5: If the supplier extends the promotion period, the retailer will always have an option to place the same special order as before. As a consequence, a longer promotion can only benefit the retailer instead of making it worse off.

Back to Top

Document information

Published on 26/06/23
Accepted on 21/06/23
Submitted on 17/05/23

Volume 39, Issue 2, 2023
DOI: 10.23967/j.rimni.2023.06.006
Licence: CC BY-NC-SA license

Document Score

0

Views 57
Recommendations 0

Share this document

claim authorship

Are you one of the authors of this document?